3. Literature Review
In 1980, William Hale [
1] presented a model of the CA problem. Generally, the CA problem has been displayed as a diagram coloring and labeling problem, where the transmitters are spoken to as the vertices of a diagram. If the transmitters are altogether near one another, at that point, two vertices are adjoining. The channels allotted to the transmitters are the labels to the vertices. For each pair of labels, there is a base satisfaction separation between two different vertices with assigned labels. The last point is to find optimal labeling with the span (range) of the channels utilized is minimal.
A graph
consists of
a nonempty set of vertices and
a set of edges. Each edge has either one or two vertices associated with it, called its endpoints. An edge is said to connect its endpoints [
2]. The example of radio transmitters can be well mapped on a graph by considering the transmitters as vertices and channels as edges. Each transmitter is allocated a unique channel (a positive whole number) to avoid interference. The minimum distance between stations can increase interference. Thus the distinction in channel tasks must be more noteworthy. Every transmitter deals with one transmitter or pair of neighboring transmitters. The maximum distance between any two vertices in a simple and connected graph
G is known as diameter of
G, it is denoted as
. A function
is called a radio labeling [
3,
4], if the following radio condition holds for any two distinct vertices
x and
y:
denotes the distance between two distinct vertices
of a connected graph
We denote by
the set of consecutive integers
, where
and
is the span of
, denoted
and
.
The minimum span of a radio labeling for G is called radio number of G, denoted by . A radio labeling of G with will be called optimal radio labeling for G.
Other than its motivation by the channel problem, radio labeling itself is an appealing labeling problem and has been considered by various researchers. It is computationally extremely difficult to decide the radio number on an arbitrary diagram. The problem is known to be NP-hard for diagrams with a maximum distance of 2, yet the complexity, as a rule, is not known [
5]. Thusly, the researchers start their investigation on a particular family of diagrams, for some fundamental classes of diagrams the problem showing to be difficult [
4].
The radio numbers for paths and cycles were investigated in References [
6,
7,
8], and were completely determined in Reference [
4]. For all
with
or 2 or 4
the radio number is studied for cube of
in Reference [
9]. They also demonstrated the estimations of
n for which this diagram is radio graceful. Ahmad and Marinescu-Ghemeci [
10] investigated the radio numbers for some ladder-related diagrams. Marinescue-Ghemeci [
11] determined the radio numbers for thorn stars and Saha et al. [
12] investigated the radio numbers of toroidal grid. For additional detail, see References [
13,
14,
15,
16,
17].
The idea of associating graphs with some algebraic objects was given by Beck [
18], where he introduced a graph structure, called zero-divisor graph
of a commutative ring
R with unity. For
, he let all the ring elements be vertices and two vertices
x and
y are adjacent if and only if
After that, in 1999, Anderson and Livingston introduced a new method of associating a zero divisor graph to a commutative ring
R [
19], where the vertices are all non-zero zero-divisors of
R and the condition for two vertices to be adjacent is the same as in Reference [
18]. Ahmad and Haider [
20] determined the radio number for
. Throughout the paper we use
. For additional study of zero-divisor graphs, see References [
21,
22,
23]. In the next section, we discuss the zero-divisor graph
and its radio number.
5. Main Results
In the next theorem, we investigate the lower bound of radio number for zero-divisor graphs for prime numbers with and .
Theorem 1. Let be two prime numbers with and , then
Proof. If , then the cardinalities of the vertex sets are , , , , and . It is easy to see that , and . Therefore, the total number of vertices are . Let denotes the degree of a vertex x in S and denotes the distance between the vertices of two sets and . We know that the diameter is 3 i.e.,
For any radio labeling
of a
must satisfy the following the radio condition
for any distinct vertices
Let
be an optimal radio labeling for
. We count the number of values needed for labeling and add the minimum number of forbidden values for
. It is possible to use consecutive labels between the vertices of sets that are at distance three. There are no forbidden values associated with vertices which are distance three apart. This implies that there is no forbidden values between the sets
A and
D,
C and
D, and
G and
C because these are at distance three. Since the vertices of sets
G and
D are at distance 2 from the vertices set
B. Therefore there are
forbidden values between them. Similarly, the forbidden values between vertices of sets
E and
D are
. Since,
number of vertices will be left, the distance between the vertices of set
D and
G is 2, therefore the
forbidden values for the remaining vertices of set
D and vertices of set
G. Now, the distance between the vertices of set
G is also 2, therefore
forbidden values for the remaining vertices of set
G. Since the set
F is at distance 1 from the vertices of sets
G and
D and the set
F contains only one vertex for
. Therefore, there are 3 forbidden values between the vertices of set
G and the vertex of set
F.
Thus the total number of minimum forbidden values are: . Adding the forbidden values to the number of vertices, we get the radio number of the given graph. Hence , for and □
Theorem 2. Let be two prime numbers with and , then
Proof. We shall provide a radio labeling of with span , which implies From Theorem 1 and our convenience we define the following:
The radio labeling is defined the following:
, for
;
for
;
for
;
for
and
It is easy to see that the span of
is equal to
Claim: The labeling ϕ is a valid radio labeling.
We must show that the radio condition
holds for all pairs of vertices
, where
.
1: Since the labels on the vertices of set
A are even integers and the distance between the vertices of set
A are also 2. Therefore, the radio condition (
3) is satisfied for the vertices of set
A.
2: Consider the pairs with , we have and the label difference for these pairs are
3: Consider the pairs with , we have and
4: As or for pairs with and .
5: As for pairs with and .
6: As or for pairs with and .
7: Since the distance between the set A with and G is 3, 2, 2, 2, 1 and 1, respectively and , , , , , .
8: Since the distance between the set B with and F is 2, 2, 1, 1 and 1, respectively and , , , , .
9: Since the distance between the set C with and G is 3, 2, 2 and 3, respectively and , , , .
10: Since the distance between the set D with and G is 2, 1 and 2, respectively and , , .
11: Since the distance between the set E with F and G is 1 and 2, respectively and , .
12: Since the distance between the set F with G is 1 and .
It follows that the radio condition (
3) is for all pairs of vertices. Thus
, for
and
. This completes the proof. □
The labeling of the vertices
, for
and
is shown in
Table 1.
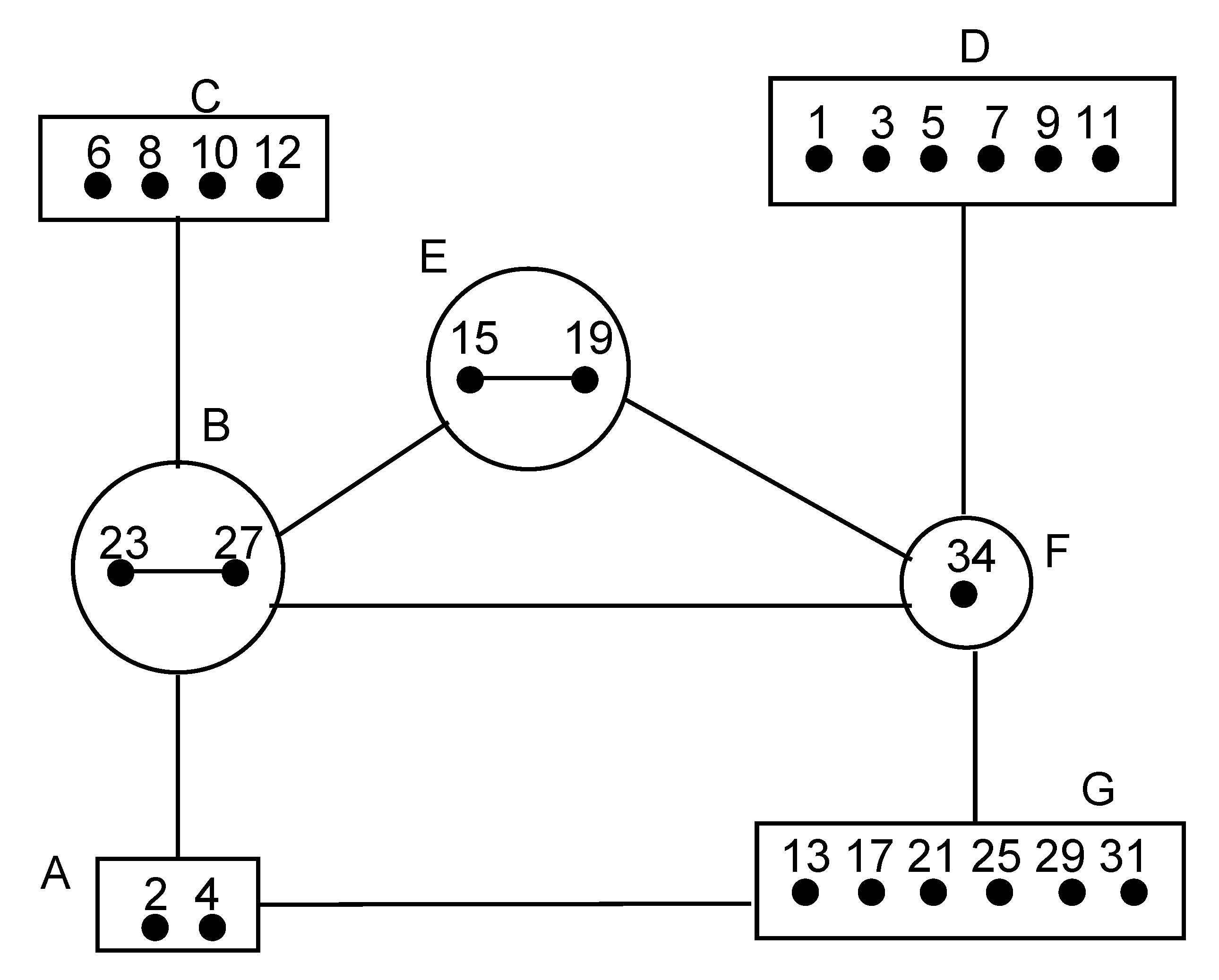
In
Figure 1 the edge connectivity between sets show the complete bipartition of sets and circle around the sets representations the complete subgraphs.
Lemma 1. , for and .
Proof. For
and
,
and
, Therefore the labeling of the vertices
, for
and
is shown in
Table 2 and
Figure 2.
It is easy to see that the radio condition is satisfied. □
By combining Lemma 1, Theorems 1 and 2, we get the following theorem.
Theorem 3. Let be two prime numbers with and , then
Theorem 4. Let be two prime numbers with . Then
Proof. Since,
and
,
,
,
,
and
. For any radio labeling
of a
must satisfy the following the radio condition
for any distinct vertices
Let
be an optimal radio labeling for
. We count the number of values needed for labeling and add the minimum number of forbidden values for
. It is possible to use consecutive labels between the vertices of sets that are at distance three. There are no forbidden values associated with vertices which are distance three apart. Since the distance between the vertices of sets
A and
D,
C and
D, and
C and
G is 3 and among the vertices of sets is 2. Therefore, it is possible to use consecutive labels between the vertices of sets
A and
D,
C and
D, and
C and
G. This means that there are no forbidden values associative with the vertices of sets
A and
C. As,
and
number of elements will be left in set
D.
The vertices of sets B and E are at distance 2 from the vertices of of the set G, i.e., and . Therefore, there are and forbidden values between the vertices of B and E, respectively. As, and number of elements will be left in set G. Hence, there are total number of elements are left in sets D and G. Now, and . This implies that there are forbidden values between set F with set D or G. Hence, the remaining vertices will be left. Since, , therefore the remaining vertices will be the forbidden values between them i.e., forbidden values.
Finally, the total number of minimum forbidden values will be the sum of all forbidden values which is equal to . By adding the forbidden values and the number of vertices to label provide a total of labels, hence , for □
Theorem 5. Let be two prime numbers with . Then
Proof. We shall provide a radio labeling of with span , which implies The radio labeling is defined the following:
Let , , for .
, for .
, for .
, for .
, for .
, for
.
It is easy to see that the span of is equal to
Claim: The labeling ϕ is a valid radio labeling.
We must show that the radio condition
holds for all pairs of vertices
, where
.
1: Since the labels on the vertices of set
A are odd integers and the distance between the vertices of set
A are also 2. Therefore, the radio condition (
5) is satisfied for the vertices of set
A.
2: Consider the pairs with , we have and the label difference for these pairs are
3: Consider the pairs with , we have and
4: As for pairs with and .
5: As for pairs with and .
6: As for pairs with and .
7: As for pairs with and .
8: Since the distance between the set A with and G is 3, 2, 2, 2, 1 and 1, respectively and , , , , , .
9: Since the distance between the set B with and F is 2, 2, 1, 1 and 1, respectively and , , , , .
10: Since the distance between the set C with and G is 3, 2, 2 and 3, respectively and , , , .
11: Since the distance between the set D with and G is 2, 1 and 2, respectively and , , .
12: Since the distance between the set E with F and G is 1 and 2, respectively and , .
13: Since the distance between the set F with G is 1 and .
It follows that the radio condition (
5) is for all pairs of vertices. Thus
, for
. This completes the proof. □
Combining the Theorems 4 and 5, we get the following theorem:
Theorem 6. Let be two prime numbers with . Then