Dynamics of Epidemic Spreading in the Group-Based Multilayer Networks
Abstract
1. Introduction
2. Model
2.1. Structural Representation of Group-Based Multilayer Networks
2.2. Coupled Spreading Processes
3. Microscopic Markov Chain Approach
3.1. Theoretical Analysis
3.2. Numerical Simulations
4. The Outbreak Threshold of Epidemic Spreading
4.1. Theoretical Discussion
4.2. Numerical Simulations
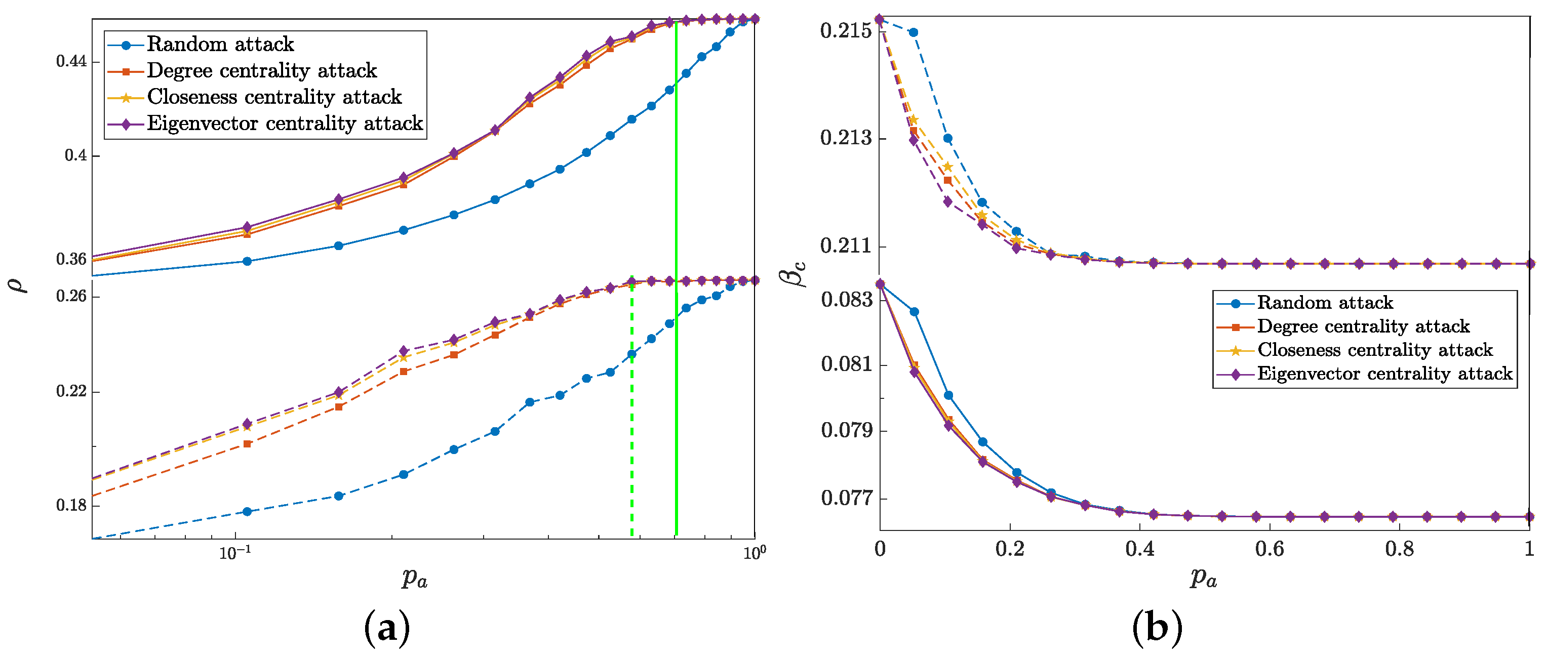
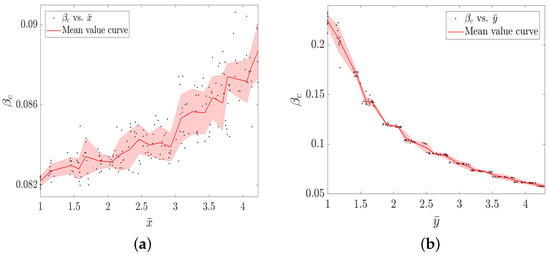
5. Network Propagation Robustness
5.1. Disease Immunization
5.2. Occluded Information Diffusion
6. Conclusions
Author Contributions
Funding
Conflicts of Interest
References
- Pastor-Satorras, R.; Vespignani, A. Epidemic spreading in scale-free networks. Phys. Rev. Lett. 2001, 86, 3200–3203. [Google Scholar] [CrossRef]
- Pastor-Satorras, R.; Castellano, C.; Van Mieghem, P.; Vespignani, A. Epidemic processes in complex networks. Rev. Mod. Phys. 2015, 87, 925–979. [Google Scholar] [CrossRef]
- Balcan, D.; Vespignani, A. Phase transitions in contagion processes mediated by recurrent mobility patterns. Nat. Phys. 2011, 7, 581–586. [Google Scholar] [CrossRef]
- Vespignani, A. Modelling dynamical processes in complex socio-technical systems. Nat. Phys. 2011, 8, 32–39. [Google Scholar] [CrossRef]
- Li, X.; Wang, X.F. Controlling the spreading in small-world evolving networks: Stability, oscillation, and topology. IEEE Trans. Autom. Control 2006, 51, 534–540. [Google Scholar] [CrossRef]
- Saumellmendiola, A.; Serrano, M.A.; Boguna, M. Epidemic spreading on interconnected networks. Phys. Rev. E 2012, 86, 026106. [Google Scholar] [CrossRef]
- Benczik, I.J.; Benczik, S.Z.; Schmittmann, B.; Zia, R.K. Opinion dynamics on an adaptive random network. Phys. Rev. E 2009, 79, 046104. [Google Scholar] [CrossRef]
- Zhang, Z.K.; Liu, C.; Zhan, X.X.; Lu, X.; Zhang, C.X.; Zhang, Y.C. Dynamics of information diffusion and its applications on complex networks. Phys. Rep. 2016, 651, 1–34. [Google Scholar] [CrossRef]
- Moreno, Y.; Nekovee, M.; Pacheco, A.F. Dynamics of rumor spreading in complex networks. Phys. Rev. E 2004, 69, 066130. [Google Scholar] [CrossRef]
- Chierichetti, F.; Lattanzi, S.; Panconesi, A. Rumor spreading in social networks. Theor. Comput. Sci. 2011, 412, 2602–2610. [Google Scholar] [CrossRef]
- Dolfin, M.; Knopoff, D.; Limosani, M.; Xibilia, M.G. Credit risk contagion and systemic risk on networks. Mathematics 2019, 7, 713. [Google Scholar] [CrossRef]
- Hethcote, H.W. The mathematics of infectious diseases. SIAM Rev. 2000, 42, 599–653. [Google Scholar] [CrossRef]
- Kurant, M.; Thiran, P. Layered Complex Networks. Phys. Rev. Lett. 2006, 96, 138701. [Google Scholar] [CrossRef]
- Mucha, P.J.; Richardson, T.; Macon, K.; Porter, M.A.; Onnela, J.P. Community Structure in Time-Dependent, Multiscale, and Multiplex Networks. Science 2010, 328, 876–878. [Google Scholar] [CrossRef] [PubMed]
- De Domenico, M.; Solé-Ribalta, A.; Cozzo, E.; Kivelä, M.; Moreno, Y.; Porter, M.A.; Gómez, S.; Arenas, A. Mathematical Formulation of Multilayer Networks. Phys. Rev. X 2013, 3, 041022. [Google Scholar] [CrossRef]
- de Arruda, G.F.; Rodrigues, F.A.; Moreno, Y. Fundamentals of spreading processes in single and multilayer complex networks. Phys. Rep. 2018, 756, 1–59. [Google Scholar] [CrossRef]
- De Domenico, M.; Granell, C.; Porter, M.A.; Arenas, A. The physics of spreading processes in multilayer networks. Nat. Phys. 2016, 12, 901–906. [Google Scholar] [CrossRef]
- Granell, C.; Gómez, S.; Arenas, A. Dynamical interplay between awareness and epidemic spreading in multiplex networks. Phys. Rev. Lett. 2013, 111, 128701. [Google Scholar] [CrossRef]
- Granell, C.; Gómez, S.; Arenas, A. Competing spreading processes on multiplex networks: Awareness and epidemics. Phys. Rev. E 2014, 90, 012808. [Google Scholar] [CrossRef]
- Gómez, S.; Arenas, A.; Borge-Holthoefer, J.; Meloni, S.; Moreno, Y. Discrete-time Markov chain approach to contact-based disease spreading in complex networks. EPL Eur. Lett 2010, 89, 38009. [Google Scholar] [CrossRef]
- Nie, X.Y.; Tang, M.; Zou, Y.; Guan, S.G.; Zhou, J. The impact of heterogeneous response on coupled spreading dynamics in multiplex networks. Phys. A Stat. Mech. Its Appl. 2017, 484, 225–232. [Google Scholar] [CrossRef]
- Guo, Q.T.; Lei, Y.J.; Xia, C.Y.; Guo, L.; Jiang, X.; Zheng, Z.M. The Role of Node Heterogeneity in the Coupled Spreading of Epidemics and Awareness. PLoS ONE 2016, 11, e0161037. [Google Scholar] [CrossRef]
- Gao, C.; Tang, S.T.; Li, W.H.; Yang, Y.Q.; Zheng, Z.M. Dynamical processes and epidemic threshold on nonlinear coupled multiplex networks. Phys. A Stat. Mech. Its Appl. 2018, 496, 330–338. [Google Scholar] [CrossRef]
- Jiang, J.; Zhou, T. Resource control of epidemic spreading through a multilayer network. Sci. Rep. 2018, 8, 1629. [Google Scholar] [CrossRef]
- Zang, H.J. The effects of global awareness on the spreading of epidemics in multiplex networks. Phys. A Stat. Mech. Its Appl. 2018, 492, 1495–1506. [Google Scholar] [CrossRef]
- Guo, Q.T.; Jiang, X.; Lei, Y.J.; Li, M.; Ma, Y.F.; Zheng, Z.M. Two-stage effects of awareness cascade on epidemic spreading in multiplex networks. Phys. Rev. E 2015, 91, 012822. [Google Scholar] [CrossRef]
- Sagar, V.; Zhao, Y. Collective effect of personal behavior induced preventive measures and differential rate of transmission on spread of epidemics. Chaos 2017, 27, 023115. [Google Scholar] [CrossRef]
- Sagar, V.; Zhao, Y.; Sen, A. Effect of time varying transmission rates on the coupled dynamics of epidemic and awareness over a multiplex network. Chaos 2018, 28, 113125. [Google Scholar] [CrossRef]
- Chen, X.L.; Wang, W.; Cai, S.M.; Stanley, H.E.; Braunstein, L.A. Optimal resource diffusion for suppressing disease spreading in multiplex networks. J. Stat. Mech. Theory Exp. 2018, 2018, 013007. [Google Scholar] [CrossRef]
- Chen, X.L.; Wang, R.J.; Tang, M.; Cai, S.M.; Stanley, H.E.; Braunstein, L.A. Suppressing epidemic spreading in multiplex networks with social-support. New J. Phys. 2018, 20, 053501. [Google Scholar] [CrossRef]
- Zheng, C.Y.; Xia, C.Y.; Guo, Q.T.; Dehmer, M. Interplay between SIR-based disease spreading and awareness diffusion on multiplex networks. J. Parallel Distrib. Comput. 2018, 115, 20–28. [Google Scholar] [CrossRef]
- Xia, C.Y.; Wang, Z.S.; Zheng, C.Y.; Guo, Q.T.; Shi, Y.T.; Dehmer, M.; Chen, Z.Q. A new coupled disease-awareness spreading model with mass media on multiplex networks. Inf. Sci. 2019, 471, 185–200. [Google Scholar] [CrossRef]
- Cozzo, E.; de Arruda, G.F.; Rodrigues, F.A.; Moreno, Y. Multiplex Networks: Basic Formalism and Structural Properties, 1st ed.; Springer: Cham, Switzerland, 2018. [Google Scholar]
- Szell, M.; Lambiotte, R.; Thurner, S. Multirelational organization of large-scale social networks in an online world. Proc. Natl. Acad. Sci. USA 2010, 107, 13636–13641. [Google Scholar] [CrossRef]
- Battiston, S.; Caldarelli, C.; Garas, A. Multiplex and multilevel networks, 1st ed.; Oxford University Press: Oxford, UK, 2019. [Google Scholar]
- Bianconi, G. Multilayer Networks: Structure and Function, 1st ed.; Oxford University Press: Oxford, UK, 2018. [Google Scholar]
- Erdös, P.; Rényi, A. On the Evolution of Random Graphs. Bull. Int. Stat. Inst. 1960, 38, 343–347. [Google Scholar]
- Charkhgard, H.; Subramanian, V.; Silva, W.; Das, T.K. An integer linear programming formulation for removing nodes in a network to minimize the spread of influenza virus infections. Discret. Optim. 2018, 30, 144–167. [Google Scholar] [CrossRef]
- Matamalas, J.T.; Arenas, A.; Gómez, S. Effective approach to epidemic containment using link equations in complex networks. Sci. Adv. 2018, 4. [Google Scholar] [CrossRef] [PubMed]
- Zhou, M.Y.; Xiong, W.M.; Liao, H.; Wang, T.; Wei, Z.W.; Fu, Z.Q. Analytical connection between thresholds and immunization strategies of SIS model in random networks. Chaos 2018, 28, 051101. [Google Scholar] [CrossRef]
- Liu, Y.Y.; Csóka, E.; Zhou, H.; Pósfai, M. Core Percolation on Complex Networks. Phys. Rev. Lett. 2012, 109, 205703. [Google Scholar] [CrossRef]
- Huang, X.; Gao, J.; Buldyrev, S.V.; Havlin, S.; Stanley, H.E. Robustness of interdependent networks under targeted attack. Phys. Rev. E 2011, 83, 065101. [Google Scholar] [CrossRef]
- Callaway, D.S.; Newman, M.E.J.; Strogatz, S.H.; Watts, D.J. Network Robustness and Fragility: Percolation on Random Graphs. Phys. Rev. Lett. 2000, 85, 5468–5471. [Google Scholar] [CrossRef]
- Gallos, L.K.; Cohen, R.; Argyrakis, P.; Bunde, A.; Havlin, S. Stability and Topology of Scale-Free Networks under Attack and Defense Strategies. Phys. Rev. Lett. 2005, 94, 188701. [Google Scholar] [CrossRef]
- Krackhardt, D. Assessing the Political Landscape—Structure, Cognition, and Power in Organizations. Adm. Sci. Q. 1990, 35, 342–369. [Google Scholar] [CrossRef]
- Hage, P.; Harary, F. Eccentricity and Centrality in Networks. Soc. Netw. 1995, 17, 57–63. [Google Scholar] [CrossRef]
- Brin, S.; Page, L. The anatomy of a large-scale hypertextual Web search engine. Comput. Netw. ISDN Syst. 1998, 30, 107–117. [Google Scholar] [CrossRef]









| Parameter | Description |
|---|---|
| Feedback intensity from information layer to physical layer | |
| Feedback intensity from physical layer to information layer | |
| Group size of information layer where node i belongs | |
| Group size of physical layer where node i belongs | |
| X | Group-matrix of information layer |
| Y | Group-matrix of physical layer |
| Infection probability for intra-group unsuppressed nodes | |
| Infection probability for inter-group unsuppressed nodes | |
| Infection probability for intra-group suppressed nodes | |
| Infection probability for inter-group suppressed nodes | |
| Information diffusion probability of intra-group | |
| Information diffusion probability of inter-group | |
| Attenuation factor | |
| The density of infected individuals | |
| Probability of recovery | |
| Probability of forgetting | |
| Proportion of intra-group and inter-group transmission |
Publisher’s Note: MDPI stays neutral with regard to jurisdictional claims in published maps and institutional affiliations. |
© 2020 by the authors. Licensee MDPI, Basel, Switzerland. This article is an open access article distributed under the terms and conditions of the Creative Commons Attribution (CC BY) license (http://creativecommons.org/licenses/by/4.0/).
Share and Cite
Wang, D.; Zhao, Y.; Leng, H. Dynamics of Epidemic Spreading in the Group-Based Multilayer Networks. Mathematics 2020, 8, 1895. https://doi.org/10.3390/math8111895
Wang D, Zhao Y, Leng H. Dynamics of Epidemic Spreading in the Group-Based Multilayer Networks. Mathematics. 2020; 8(11):1895. https://doi.org/10.3390/math8111895
Chicago/Turabian StyleWang, Dong, Yi Zhao, and Hui Leng. 2020. "Dynamics of Epidemic Spreading in the Group-Based Multilayer Networks" Mathematics 8, no. 11: 1895. https://doi.org/10.3390/math8111895
APA StyleWang, D., Zhao, Y., & Leng, H. (2020). Dynamics of Epidemic Spreading in the Group-Based Multilayer Networks. Mathematics, 8(11), 1895. https://doi.org/10.3390/math8111895

