Secretary Problem with Possible Errors in Observation
Abstract
1. Introduction
- There is a fixed and known number of applicants for a position.
- The applicants are interviewed sequentially in random order.
- For each applicant, the decision maker (DM) can ascertain the relative rank of the object based on the previously viewed applicants without any doubts.
- Once rejected, an applicant cannot be recalled.
- The DM has a binary payoff: 1 for selecting the best applican in the whole group and 0 otherwise. He can stop only once during the search.
1.1. Modifications of the CSP
1.2. Motivation
2. General Description
3. Special Case
4. Comparison with the CSP
4.1. Combinatorial Identity
4.2. Numerical Example
- for :
- for :
- for :
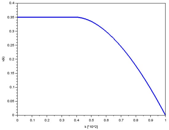
4.3. Asymptotic Behavior of the Threshold and Value
5. Conclusions
Funding
Acknowledgments
Conflicts of Interest
References
- Ferguson, T.S. Who Solved the Secretary Problem? Stat. Sci. 1989, 4, 282–289. [Google Scholar] [CrossRef]
- Gilbert, J.P.; Mosteller, F. Recognizing the Maximum of a Sequence. J. Am. Stat. Assoc. 1966, 61, 35–73. [Google Scholar] [CrossRef]
- Bruss, F.T. Sum the odds to one and stop. Ann. Probab. 2000, 28, 1384–1391. [Google Scholar] [CrossRef]
- Mucci, A.G. Differential Equations and Optimal Choice Problems. Ann. Stat. 1973, 1, 104–113. [Google Scholar] [CrossRef]
- Tamaki, M. Recognizing both the maximum and the second maximum of a sequence. J. Appl. Probab. 1979, 16, 803–812. [Google Scholar] [CrossRef]
- Vanderbei, R.J. The Postdoc Variant of the Secretary Problem; Princeton University: Princeton, NJ, USA, 2013. [Google Scholar]
- Szajowski, K. Optimal choice of an object with a-th rank. Math. Appl. 1982, 10, 51–65. [Google Scholar] [CrossRef]
- Quine, M.P.; Law, J.S. Exact Results for a Secretary Problem. J. Appl. Probab. 1996, 33, 630–639. [Google Scholar] [CrossRef]
- Hsiau, S.R.; Yang, J.R. A natural variation of the standard secretary problem. Stat. Sin. 2000, 10, 639–646. [Google Scholar]
- Bartoszyński, R.; Govindarajulu, Z. The Secretary Problem with Interview Cost. Sankhyā Indian J. Stat. Ser. B (1960–2002) 1978, 40, 11–28. [Google Scholar]
- Szajowski, K. A rank-based selection with cardinal payoffs and a cost of choice. Sci. Math. Jpn. 2009, 69, 285–293. [Google Scholar] [CrossRef]
- Presman, E.L.; Sonin, I.M. The Best Choice Problem for a Random Number of Objects. Theory Probab. Appl. 1973, 17, 657–668. [Google Scholar] [CrossRef]
- Oveis Gharan, S.; Vondrák, J. On Variants of the Matroid Secretary Problem; Algorithms—ESA 2011; Demetrescu, C., Halldórsson, M.M., Eds.; Springer: Berlin/Heidelberg, Germany, 2011; pp. 335–346. [Google Scholar]
- Crews, M.; Jones, B.; Myers, K.; Taalman, L.; Urbanski, M.; Wilson, B. Opportunity costs in the game of best choice. Electron. J. Combin. 2019, 26. Paper 1.45, 9. [Google Scholar] [CrossRef]
- Jones, B. Avoiding patterns and making the best choice. Discret. Math. 2019, 342, 1529–1545. [Google Scholar] [CrossRef]
- Ano, K. Bilateral Secretary Problem Recognizing the Maximum or the Second Maximum of a Sequence. J. Inf. Optim. Sci. 1990, 11, 177–188. [Google Scholar] [CrossRef]
- Peskir, G.; Shiryaev, A. Optimal Stopping and Free-Boundary Problems, 1st ed.; Lectures in Mathematics; Birkhäuser: Basel, Switzerland; ETH Zürich: Zürich, Switzerland, 2006. [Google Scholar] [CrossRef]
- Gusein-Zade, S.M. The Problem of Choice and the Optimal Stopping Rule for a Sequence of Independent Trials. Theory Probab. Appl. 1966, 11, 472–476. [Google Scholar] [CrossRef]
- Seale, D.A.; Rapoport, A. Sequential Decision Making with Relative Ranks: An Experimental Investigation of the “Secretary Problem”. Organ. Behav. Hum. Decis. Process. 1997, 69, 221–236. [Google Scholar] [CrossRef]
- Bearden, N.; Murphy, R. On Generalized Secretary Problems. Uncertain. Risk 2007, 41, 187–205. [Google Scholar] [CrossRef]
- Hsiao, Y.C.; Kemp, S. The effect of incentive structure on search in the secretary problem. Judgm. Decis. Mak. 2020, 15, 82–92. [Google Scholar]
- Krieger, A.M.; Samuel-Cahn, E. The noisy secretary problem and some results on extreme concomitant variables. J. Appl. Probab. 2012, 49, 821–837. [Google Scholar] [CrossRef][Green Version]
- Abdel-Hameed, M. Optimality of the One Step Look-Ahead Stopping Times. J. Appl. Probab. 1977, 14, 162–169. [Google Scholar] [CrossRef]
- Bäuerle, N.; Rieder, U. Markov Decision Processes with Applications to Finance, 1st ed.; Part of the Universitext Book Series (UTX); Springer: Berlin/Heidelberg, Germany, 2011. [Google Scholar] [CrossRef]


© 2020 by the author. Licensee MDPI, Basel, Switzerland. This article is an open access article distributed under the terms and conditions of the Creative Commons Attribution (CC BY) license (http://creativecommons.org/licenses/by/4.0/).
Share and Cite
Skarupski, M. Secretary Problem with Possible Errors in Observation. Mathematics 2020, 8, 1639. https://doi.org/10.3390/math8101639
Skarupski M. Secretary Problem with Possible Errors in Observation. Mathematics. 2020; 8(10):1639. https://doi.org/10.3390/math8101639
Chicago/Turabian StyleSkarupski, Marek. 2020. "Secretary Problem with Possible Errors in Observation" Mathematics 8, no. 10: 1639. https://doi.org/10.3390/math8101639
APA StyleSkarupski, M. (2020). Secretary Problem with Possible Errors in Observation. Mathematics, 8(10), 1639. https://doi.org/10.3390/math8101639

