Next Article in Journal
On a New Formula for Fibonacci’s Family m-step Numbers and Some Applications
Next Article in Special Issue
High Convergence Order Iterative Procedures for Solving Equations Originating from Real Life Problems
Previous Article in Journal
A 4th-Order Optimal Extension of Ostrowski’s Method for Multiple Zeros of Univariate Nonlinear Functions
Previous Article in Special Issue
Kolmogorov-Arnold-Moser Theory and Symmetries for a Polynomial Quadratic Second Order Difference Equation
 
 
Font Type:
Arial Georgia Verdana
Font Size:
Aa Aa Aa
Line Spacing:
Column Width:
Background:
Article

Extending the Applicability of a Two-Step Chord-Type Method for Non-Differentiable Operators

1
Department of Mathematical Sciences, Cameron University, Lawton, OK 73505, USA
2
Department of Mathematics, Maulana Azad National Institute of Technology, Bhopal 462003, India
*
Author to whom correspondence should be addressed.
Mathematics 2019, 7(9), 804; https://doi.org/10.3390/math7090804
Submission received: 20 July 2019 / Revised: 24 August 2019 / Accepted: 25 August 2019 / Published: 1 September 2019

Abstract

The semi-local convergence analysis of a well defined and efficient two-step Chord-type method in Banach spaces is presented in this study. The recurrence relation technique is used under some weak assumptions. The pertinency of the assumed method is extended for nonlinear non-differentiable operators. The convergence theorem is also established to show the existence and uniqueness of the approximate solution. A numerical illustration is quoted to certify the theoretical part which shows that earlier studies fail if the function is non-differentiable.

1. Introduction

In diverse areas of science and engineering, there is an ample number of important problems such as partial differential equations, initial value problems, integral equations, etc. [1,2,3,4,5,6] that can be written in the form of
£ ( a ) = 0 .
Here, £ : A B is a continuous operator whose differentiability is not assumed. Often, the solution of Equation (1) cannot be found in the closed form. In this case, the iterative method is adopted to get an approximate solution.
An illustrious iterative method, namely Newton’s method, cannot be imposed to resolve Equation (1) as the operator £ is not differentiable. Hence, in this situation, the Chord method can be chosen. There are a plethora of studies on higher order methods since it plays an important role where quick convergence is required, like applications where the stiff system of equations is involved. Moreover, many authors have studied the convergence analysis of various types of single-step iterations, multi-step iterations for Equation (1). In this manner, a well-known two-step King–Werner-type method having order 1 + 2 has been studied in the Refs. [7,8,9,10]. Initially, Werner in [7,8] studied a method proposed by King in the article [9], which is defined as:
Given a 0 , b 0 , let
a k + 1 = a k £ a k + b k 2 1 £ ( a k ) , b k + 1 = a k + 1 £ a k + b k 2 1 £ ( a k + 1 ) ,
for each k = 0 , 1 , 2 , and A = R n , B = R , where n is a whole number. In this continuation, McDougall et al. in [11] had discussed the following method:
For a 0 ,
b 0 = a 0 , a 1 = a 0 £ a 0 + b 0 2 1 £ ( a 0 ) , b k = a k £ a k 1 + b k 1 2 1 £ ( a k ) , a k + 1 = a k £ a k + b k 2 1 £ ( a k ) ,
for each k = 1 , 2 , and A = B = R . On analyzing Equations (2) and (3), one can notice that the method (3) is simply the King–Werner-type method on replicating the initial points. Method (3) was also shown to be of order 1 + 2 in Ref. [11]. The study related to the convergence of the iterative methods can be categorized as local and semi-local, which uses the details provided at the solution and at the initial point, respectively. Generally, the local and semilocal study of the methods looks for the root that is closest to the initial approximation. On the contrary, the global study of the methods looks for all the possible roots in the given domain. For differentiable systems, Hanniel and Elber in [1] and Barto n ˇ in [2] give a guarantee for isolation of a single root. Here, we analyze the semi-local convergence of the two-step Chord-type method that is more generalized and derivative-free. Thus, for k = 0 , 1 , 2 , , let
a k + 1 = a k Y k 1 £ ( a k ) , b k + 1 = a k + 1 Y k 1 £ ( a k + 1 ) ,
where a 0 and b 0 are initial points, and Y k = [ a k , b k ; £ ] . Here, [ a , b ; £ ] is a notation for a divided difference having order one for operator £ which satisfies [ a , b ; £ ] ( a b ) = £ ( a ) £ ( b ) for each a , b with a b . For method (4), the study of local and semi-local convergence have been already established under various continuity conditions by using majorizing techniques which can be seen in Refs. [3,4,5,6,12,13].
The interest in introducing the method (4) is: it has an order of convergence similar to method (2), it is an appropriate substitute for method (2), and calculating £ ( a ) may be very expensive and hence method (2) will be of no use. Hence, for all the above-mentioned statements, the aptness of method (2) is extended through method (4) and under weaker assumptions. Let R ( a 0 , ρ ) designate an open ball around a 0 A with radius ρ > 0 and R ( a 0 , ρ ) ¯ be its closure.
In this article, we have two goals: first, to assume a multi-parametric family of iterative methods which is derivative free. The next one is to get semi-local convergence results for the nonlinear non-differentiable operators. Therefore, the following conditions are to be assumed:
( A 1 ) a 0 b 0 s f o r a 0 , b 0 , ( A 2 ) Y 0 1 β w h e r e Y 0 1 = [ a 0 , b 0 ; £ ] 1 , ( A 3 ) Y 0 1 £ ( a 0 ) η , ( A 4 ) [ a , b ; £ ] Y 0 ω 0 ( a a 0 , b b 0 ) a , b a n d e q u a t i o n β ω 0 ( t , s + 3 t ) = 1 h a s a m i n i m a l p o s i t i v e s o l u t i o n ρ 0 . S e t 0 = R ( a 0 , ρ 0 ) , ( A 4 ) [ a , b ; £ ] [ u , v ; £ ] ω ( a u , b v ) a , b , u , v 0 ,
where s > 0 , β > 0 , η > 0 , ω 0 : R + × R + R + , ω : [ 0 , ρ 0 ) × [ 0 , ρ 0 ) R + are continuous and non-decreasing functions in both arguments with ω 0 ( 0 , 0 ) 0 and ω ( 0 , 0 ) 0 .
In the succeeding section, we will corroborate the convergence theorem for the considered method (4) for non-differentiable operators under weak continuity conditions.
Theorem 1.
Let £ : A B be a nonlinear operator defined on a nonempty open convex domain Δ with two Banach spaces A and B. Let the assumptions ( A 1 ) ( A 4 ) be fulfilled and the following equation holds:
μ 1 m 1 β ω 0 ( μ , s + 3 μ ) η = 0 ,
where m = m a x { β ω ( η , s ) , ( β ω ( η , η ) ) } . The above equation has at least one positive root, say ρ, which is also the smallest positive root of (5). If β ω 0 ( ρ , s + 3 ρ ) < 1 , W = m 1 β ω 0 ( ρ , s + 3 ρ ) < 1 and R ( a 0 , ρ ) ¯ , then the sequence { a k } and { b k } produced by two-step Chord-type method (4) converges to a unique solution a of £ ( a ) = 0 . In this addition, a belongs to R ( a 0 , ρ ) , and is unique in 1 = R ( a 0 , ρ ) ¯ .
Proof. 
Initially, by the virtue of mathematical induction, we prove that the iterative sequence given in method (4) is well defined, that is, the iterative procedure is justifiable if the operator Y k is invertible and the point a k + 1 , b k + 1 lies in at each step. From the initial hypotheses, it seems that a 1 is well defined and
a 1 a 0 Y 0 1 £ ( a 0 ) η ρ .
Clearly, a 1 R ( a 0 , ρ ) . After that, we observe
£ ( a 1 ) = £ ( a 1 ) £ ( a 0 ) + £ ( a 0 ) = ( [ a 1 , a 0 ; £ ] [ a 0 , b 0 ; £ ] ) ( a 1 a 0 )
and
£ ( a 1 ) ω 0 ( a 1 a 0 , a 0 b 0 ) a 1 a 0 ω 0 ( ρ , s + ρ ) η .
Consequently, we obtain
b 1 a 0 a 1 a 0 + Y 0 1 £ ( a 1 ) η + β ω 0 ( ρ , s + ρ ) η < ρ .
Therefore, b 1 R ( a 0 , ρ ) . From the second sub-step of the considered method (4), we have
b 1 a 1 β ω 0 ( ρ , s + ρ ) η < ρ .
Furthermore, we will show that Y 1 1 exists and, for this, we have
I Y 0 1 Y 1 Y 0 1 Y 0 Y 1 β [ a 0 , b 0 ; £ ] [ a 1 , b 1 ; £ ] β ω 0 ( ρ , s + 3 ρ ) < 1 .
Hence, by using the Banach Lemma [5,6], it follows that the operator Y 1 1 exists and
Y 1 1 β 1 β ω 0 ( ρ , s + 3 ρ ) .
Again, the approximation a 2 is well defined and
a 2 a 1 Y 1 1 £ ( a 1 ) Y 1 1 £ ( a 1 ) W η η , £ ( a 2 ) [ a 2 , a 1 ; £ ] [ a 1 , b 1 ; £ ] a 2 a 1 ω ( η , η ) η , b 2 a 2 β 1 β ω 0 ( ρ , s + 3 ρ ) × ω ( η , η ) W η < ρ .
If we now suppose that Y j = [ a j , b j ; £ ] is invertible and b j + 1 , a j + 1 R ( a 0 , ρ ) j = 1 , 2 , 3 , , k 1 , then
( 1 ) Y j 1 = [ a j , b j ; £ ] 1 s u c h t h a t Y j 1 β 1 β ω 0 ( ρ , s + 3 ρ ) , ( 2 ) a j + 1 a j W a j a j 1 W j a 1 a 0 η , ( 3 ) £ ( a j + 1 ) ω ( η , η ) a j + 1 a j , ( 4 ) b j + 1 a j + 1 W j + 1 η .
By induction hypotheses, we obtain
I Y 0 1 Y k Y 0 1 Y 0 Y k Y 0 1 [ a 0 , b 0 ; £ ] [ a k , b k ; £ ] β ω 0 ( ρ , s + 3 ρ ) < 1 .
Thus, by Banach lemma,
Y k 1 β 1 β ω 0 ( ρ , s + 3 ρ ) .
Thus,
a k + 1 a k Y k 1 £ ( a k ) W k η < η . a k + 1 a 0 a k + 1 a k + a k a k 1 + + a 1 a 0 ( W k + W k 1 + + 1 ) a 1 a 0 1 W k + 1 1 W a 1 a 0 < ρ .
Thus, a k + 1 R ( a 0 , ρ ) . Subsequently,
£ ( a k + 1 ) [ a k + 1 , a k ; £ ] [ a k , b k ; £ ] a k + 1 a k ω ( a k + 1 a k , a k b k ) a k + 1 a k ω ( η , η ) a k + 1 a k
b k + 1 a k + 1 Y k 1 £ ( a k + 1 ) W k + 1 η .
Besides this, we will show that b k + 1 R ( a 0 , ρ ) :
b k + 1 a 0 b k + 1 a k + 1 + a k + 1 a k + + a 1 a 0 ( W k + 1 + W k + W k 1 + + 1 ) a 1 a 0 1 W k + 2 1 W a 1 a 0 < ρ
b k + 1 R ( a 0 , ρ ) . Hence, the mathematical induction is true for all j = 1 , 2 , 3 n . Eventually, we will show that the sequence { b k } is a Cauchy sequence. For this, let p 1 ,
b k + p b k b k + p a k + p + a k + p a k + p 1 + + a k b k ( W p + W p 1 + W p 2 + + 1 ) W k η 1 W p + 1 1 W W k η W k η 1 W .
Since W < 1 , hence { b k } is a Cauchy sequence. Similarly, we can say that the sequence { a k } is a Cauchy sequence. Thus, sequences { a k } and { b k } are convergent and converge to a R ( a 0 , ρ ) .
To claim uniqueness of the solution, let ∃ be another solution b of £ ( a ) = 0 in R ( a 0 , ρ ) such that £ ( b ) = 0 . Consider the operator, T = [ a , b ; £ ] and, if T is invertible, then a = b . Now, let
Y 0 1 T I Y 0 1 T Y 0 Y 0 1 [ a , b ; £ ] [ a 0 , b 0 ; £ ] β ω 0 ( a a 0 , b b 0 ) β ω 0 ( ρ , s + 3 ρ ) < 1 .
Hence, the operator T 1 exists by Banach lemma and a = b .  □
Remark 1.
In the literature, stronger conditions than ( A 4 ) and ( A 4 ) are used in Refs. [3,4,13]:
( A 4 ) [ a , b ; £ ] [ u , v ; £ ] ω 1 ( a u , b v ) a , b , u , v ,
where ω 1 : R + × R + R + is a continuous and non-decreasing function in both arguments with ω 1 ( 0 , 0 ) 0 . By ( A 4 ) , ( A 4 ) , ( A 4 ) , and 0 , we have
ω 0 ( s , t ) ω 1 ( s , t )
and
ω ( s , t ) ω 1 ( s , t ) .
Clearly, the results using only ( A 4 ) are obtained if we set ω 0 = ω = ω 1 in Theorem 1. Otherwise, i.e., if Equations (6) or (7) hold as strict inequalities, then our results extend the applicability of the old ones with the following advantages:
( 1 ) Wider convergence region and weaker sufficient convergence criteria ( ρ always implies the existence of ρ but not necessarily vice versa).
( 2 ) Tighter error bounds (since W W ).
( 3 ) More specific information about the location of the solution.
( 4 ) ( A 4 ) implies ( A 4 ) and ( A 4 ) but not vice versa.
The advantages are obtained under the same computational cost since the computation of ω 1 generally requires that of ω 0 and ω as special cases. The same procedure can be used to extend the applicability of the other methods using inverses of divided differences. Examples where Equations (6) or (7) hold as strict inequalities can be found in Refs. [5,6].

2. Numerical Example

Example 1.
Let A = B = = R 2 . Consider an operator £ = ( £ 1 , £ 2 ) on Δ by
£ 1 ( a 1 , a 2 ) = a 1 2 a 2 + 1 + 1 9 | a 1 1 | , £ 2 ( a 1 , a 2 ) = a 2 2 + a 1 7 + 1 9 | a 2 | ,
where a = ( a 1 , a 2 ) R 2 and we use infinity norm here. For v , w R 2 , we take [ v , w ; £ ] L ( A , B ) as
[ v , w ; £ ] i 1 = £ i ( v 1 , w 2 ) £ i ( w 1 , w 2 ) v 1 w 1 , [ v , w ; £ ] i 2 = £ i ( v 1 , v 2 ) £ i ( v 1 , w 2 ) v 2 w 2 .
Therefore,
[ v , w ; £ ] = v 1 2 w 1 2 v 1 w 1 1 1 v 2 2 w 2 2 v 2 w 2 + 1 9 | v 1 1 | | w 1 1 | v 1 w 1 0 0 | v 2 | | w 2 | v 2 w 2
and
[ a , b ; £ ] [ v , w ; £ ] a v + b w + 2 9 .
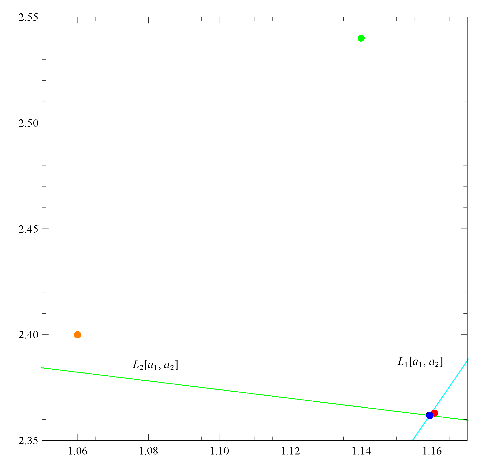
Thus, we can take ω 0 = ( a , b ) = ω ( a , b ) = a + b + 2 9 . Clearly, here the conditions assumed in [4] fail as the function is non-differentiable. Moreover, we have included a figure that shows the iterations of the algorithm.
Now, we choose a 0 = ( 1.06 , 2.40 ) , b 0 = ( 1.14 , 2.54 ) , which is represented as orange and green dots, respectively, in Figure 1. For Equation (5) in Theorem 1, we can obtain the following parameters:
β 0.4775 , s 0.14 , ρ 0.1997 , η 0.1007 , m 0.2210 . In addition, a 1 ( 1.1607 , 2.3629 ) , b 1 ( 1.1593 , 2.3619 ) are represented as red and black dots, respectively, in Figure 1. Since all the iterations are not visible in Figure 1, hence, we have magnified the graph to represent the approximate root of Equation (5) in Figure 2. In Figure 2, the blue dot represents the approximate root of Equation (5). In this case, the solution of Equation (5) is satisfied, which confirms that the unique solution of £ ( a ) = 0 exists in R ( a 0 , ρ ) ¯ . As a solution of Equation (1), we acquire the vector a ( 1.159361 , 2.361824 ) after the second iteration.

3. Conclusions

In this work, we scrutinize the semi-local convergence result of the two-step Chord-type method when applied for non-differentiable operators. In this idea, basically, we have extended the results of Kumar et al. [4], where the author has considered the applicability of the method for a differentiable case only. Hence, it is noteworthy that we have extended the implications of the two-step Chord-type method for non-differentiable operators. A concrete example is also considered to sustain the theory.

Author Contributions

Conceptualization, N.G. and J.P.J.; formal analysis, N.G. and J.P.J.; review and editing, I.K.A.

Funding

This research work is supported by the Science and Engineering Research Board (SERB), New Delhi, India under the scheme Start-up-Grant (Young Scientists) (Ref. No. YSS/2015/ 001507).

Acknowledgments

The authors are grateful to the reviewers and editor for their useful comments.

Conflicts of Interest

No potential conflict of interest was reported by the authors.

References

  1. Hanniel, I.; Elber, G. Subdivision termination criteria in subdivision multivariate solvers using dual hyperplanes representations. Comput.-Aided Des. 2007, 39, 369–378. [Google Scholar] [CrossRef]
  2. Bartoň, M. Solving polynomial systems using no-root elimination blending schemes. Comput.-Aided Des. 2011, 43, 1870–1878. [Google Scholar]
  3. Kumar, A.; Gupta, D.K.; Srivastava, S. Influence of the center condition on the two-step Secant method. Int. J. Anal. 2017, 2017, 7364236. [Google Scholar] [CrossRef]
  4. Kumar, A.; Gupta, D.K.; Martínez, E.; Singh, S. Semilocal convergence of a Secant-type method under weak Lipschitz conditions in Banach spaces. J. Comput. Appl. Math. 2018, 330, 732–741. [Google Scholar] [CrossRef]
  5. Argyros, I.K. Convergence and Applications of Newton-Type Iterations; Springer: Berlin, Germany, 2008. [Google Scholar]
  6. Argyros, I.K.; Magrenan, A.A.A. Contemporary Study of Iterative Methods; Academic Press: San Diego, CA, USA, 2007. [Google Scholar]
  7. Werner, W. Some supplementary results on the 1 + 2 order method for the solution of nonlinear equations. Numer. Math. 1982, 38, 383–392. [Google Scholar] [CrossRef]
  8. Werner, W. Uber ein Verfahren der Ordnung 1 + 2 zur Nullstellenbestimmung. Numer. Math. 1979, 32, 333–342. [Google Scholar] [CrossRef]
  9. King, R.F. Tangent methods for nonlinear equations. Numer. Math. 1972, 18, 298–304. [Google Scholar] [CrossRef]
  10. Argyros, I.K.; Ren, H. On the convergence of efficient King–Werner-type methods of order 1 + 2 . J. Comput. Appl. Math. 2015, 285, 169–180. [Google Scholar] [CrossRef]
  11. McDougall, T.J.; Wotherspoon, S.J. A simple modification of Newton’s method to achieve convergence of order 1 + 2 . Appl. Math. Lett. 2014, 29, 20–25. [Google Scholar] [CrossRef]
  12. Ren, H.; Argyros, I.K. On the convergence of King–Werner-type methods of order 1 + 2 free of derivatives. Appl. Math. Comput. 2015, 256, 148–159. [Google Scholar]
  13. Lin, R.; Wu, Q.; Chen, M.; Khan, Y. The convergence ball and error analysis of the two-step Secant method. Appl. Math. J. Chin. Univ. 2017, 32, 397–406. [Google Scholar] [CrossRef]
Figure 1. Values of a k and b k after two iterations.
Figure 1. Values of a k and b k after two iterations.
Mathematics 07 00804 g001
Figure 2. Magnified part of the approximated root after two iterations.
Figure 2. Magnified part of the approximated root after two iterations.
Mathematics 07 00804 g002

Share and Cite

MDPI and ACS Style

Argyros, I.K.; Gupta, N.; Jaiswal, J.P. Extending the Applicability of a Two-Step Chord-Type Method for Non-Differentiable Operators. Mathematics 2019, 7, 804. https://doi.org/10.3390/math7090804

AMA Style

Argyros IK, Gupta N, Jaiswal JP. Extending the Applicability of a Two-Step Chord-Type Method for Non-Differentiable Operators. Mathematics. 2019; 7(9):804. https://doi.org/10.3390/math7090804

Chicago/Turabian Style

Argyros, Ioannis K., Neha Gupta, and J. P. Jaiswal. 2019. "Extending the Applicability of a Two-Step Chord-Type Method for Non-Differentiable Operators" Mathematics 7, no. 9: 804. https://doi.org/10.3390/math7090804

APA Style

Argyros, I. K., Gupta, N., & Jaiswal, J. P. (2019). Extending the Applicability of a Two-Step Chord-Type Method for Non-Differentiable Operators. Mathematics, 7(9), 804. https://doi.org/10.3390/math7090804

Note that from the first issue of 2016, this journal uses article numbers instead of page numbers. See further details here.

Article Metrics

Back to TopTop