Next Article in Journal
Deriving Fuzzy Weights of the Fuzzy Analytic Network Process via Fuzzy Inverse Matrix
Previous Article in Journal
An Improved Curvature Circle Algorithm for Orthogonal Projection onto a Planar Algebraic Curve
Previous Article in Special Issue
Some Qualitative Behavior of Solutions of General Class of Difference Equations
 
 
Font Type:
Arial Georgia Verdana
Font Size:
Aa Aa Aa
Line Spacing:
Column Width:
Background:
Article

Highly Accurate Numerical Technique for Population Models via Rational Chebyshev Collocation Method

by
Mohamed Abdel-Latif Ramadan
1,*,
Dumitru Baleanu
2,3 and
Mahmoud Abdel-Ghany Nassar
4
1
Mathematics & Computer Science Department, Faculty of Science, Menoufia University, Menoufia 11352, Egypt
2
Department of Mathematics, Cankaya University, Ankara 06530, Turkey
3
Institute of Atomic Physics, Magurele, 077125 Bucharest, Romania
4
Mathematics Department, Faculty of Science, Al-Azhar University, Nasr-City, Cairo 11884, Egypt
*
Author to whom correspondence should be addressed.
Mathematics 2019, 7(10), 913; https://doi.org/10.3390/math7100913
Submission received: 18 July 2019 / Revised: 5 September 2019 / Accepted: 25 September 2019 / Published: 1 October 2019

Abstract

The present work introduces the application of rational Chebyshev collocation technique for approximating bio-mathematical problems of continuous population models for single and interacting species (C.P.M.). We study systematically the logistic growth model in a population, prey-predator model: Lotka-Volterra system (L.V.M.), the simple two-species Lotka-Volterra competition model (L.V.C.M.) and the prey-predator model with limit cycle periodic behavior (P.P.M.). For testing the accuracy, the numerical results for our method and others existing methods as well as the exact solution are compared. The obtained numerical results indicate the ability, the reliability and the accuracy of the present method.

1. Introduction

As we know, the nonlinear differential equations and their system play a crucial role due to their applications in applied mathematics and science, for example, in real life phenomena modeling and in many other fields of science, such as the epidemic model [1,2], kinetic model [3,4], ozone decomposition model [5,6], dynamical models of happiness [7], modeling of mosquito dispersal [8], modeling a thermal explosion [9] and Volterra population model [10].
The purpose of this investigation is applying rational Chebyshev (RC) collocation method to solve four nonlinear biological problems. Four problems are investigated; the first problem is the continuous population model (C.P.M.) represented as a nonlinear first order ordinary differential equation, whereas the other models are systems of non-linear differential equations. They are represented, respectively, as the Lotka-Volterra system (L.V.M.), Lotka-Volterra competition model (L.V.C.M.) and prey-predator model (P.P.M.) [11].
Spectral methods have an important and significant role in approximate differential equations, which makes it easy in treating many phenomena and models in physics, engineering, economic and many other fields. The most common distinguished feature for spectral methods is using them as a basis in form polynomials or functions that are orthogonal with respect to the weight functions defined in bounded and unbounded domain.
The choice of trial functions gives the spectral methods a great distinguish feature. This choice depended on the analytical solution of the differential equation denoted by f ( x ) and the values of x for the proposed equation. This means that if f ( x ) is polynomial in finite domain use Chebyshev polynomials, but if f ( x ) periodic prefer Fourier series. If f ( x ) defined in unbounded domain then use Hermit functions or exponential Chebyshev functions. However, if the solution defined in semi-infinite interval x [ 0 , ) uses Laguerre functions or rational Chebyshev functions, especially the solution f ( x ) in fraction or exponential form in semi-infinite domain, the RC functions is preferred.
The RC functions were proposed by Boyd [12] in 1987, used as a basis function with the spectral methods. RC collocation method is one of the spectral methods characterized by the domain and gives us high efficient and better accuracy especially if the analytical solution is as fraction or exponential form. The RC collocation method transforms the proposed four nonlinear biological problems and conditions to algebraic non-linear systems of equations with unknown RC coefficients. In terms of the RC functions the solutions are, then obtained after solving the systems. On the other hand, rational Chebyshev functions are presented to solve differential equation in many papers by Ramadan et al. [13,14,15,16,17,18] and Yuksel et al. [19].

2. Definition, Properties and Derivative of Rational Chebyshev Functions

In this section, we use an algebraic transformation to extend the domain of Chebyshev polynomials to semi-infinite domain, which provide set of bases functions so called rational Chebyshev functions that deal with differential equations define on an infinite interval.
The new basis are written as T L n ( x ) :
T L n ( x ) = T n ( y ) = cos   n θ
where L is a constant map parameter and the three coordinates are related by:
x = L ( 1 + y ) 1 y , y = x L x + L
x = L   cot 2 ( θ / 2 ) , θ = 2 a r c cot ( [ x / L ] 1 / 2 ) .
To avoid confusion as we leap from one coordinate to another, we shall adopt the convention that x [ 0 , ) is the argument of the T L n ( x ) , y [ 1 ,   1 ] is the argument of the ordinary Chebyshev polynomials T n ( x ) , and θ [ 0 , π ] is the argument of the cosines [12,20].
From Equations (1) and (2) we get:
T L n ( x ) = T n ( y ) = T n ( x L x + L ) .
In this study we take L = 1 (according to the study by Boyd [12], this is the optimal value of L), and relation (4) obtains as:
T L n ( x ) = T n ( x 1 x + 1 ) = R n ( x ) ,
where we symbolized rational Chebyshev function as R n ( x ) instead of T L n ( x ) . Consequently, from above we can define rational Chebyshev functions as following.
The rational Chebyshev functions Rn(x) of the first kind are functions of x defined on Λ , Λ = { x / 0 x < } defined by the relation:
R n ( x ) = T ( x 1 x + 1 ) , when x = cot 2 ( θ / 2 )   x Λ .
If the variable x ranges in the interval [0, ∞) hence the corresponding θ ranges in [ 0 , π ] . Now, since x = 0 corresponds to θ = π and x corresponds to θ = 0, these ranges are traversed in opposite directions.
The solution function y ( x ) defined on Λ can be expanded in terms of RC functions where RC functions are orthogonal and complete, as:
y ( x ) = n = 0 a n R n ( x ) ,
where:
a n = 2 c n π Λ R n ( x ) y ( x ) w ( x ) d x ,
with respect to the weight function w ( x ) = 1 / ( ( x + 1 ) x ) , and:
c n = { 2 , n = 0 1 , n 1
For more details, (see [14]).
If in Expression (5), y ( x ) is truncated to N < ∞ for the RC functions, then y(x) will be in the following form:
y ( x ) = n = 0 N a n R n ( x ) = R ( x ) A ,   x Λ ,
where N is chosen as positive integer and a n is unknown RC coefficients, where R(x) is a row vector with size 1 × (N + 1) of RC functions and A is a column vector with size (N + 1) × 1 as:
R ( x ) = [ R 0 ( x ) R 1 ( x ) R N ( x ) ] And A = [ a 0 a 1 a N ] T .
The kth order derivative of y(x) according to Equation (6):
y ( k ) ( x ) = n = 0 N a n ( R n ( x ) ) ( k ) = R ( k ) ( x ) A .
When applying RC collocation method in the interval x [ 0 , ) will define the collocation points by:
x k = ( 1 + cos ( k π N ) 1 cos ( k π N ) ) , k = 1 , , N ,
and at k = 0 x 0 .
However, if x [ 0 , q ] , where q < will take the collocation points as:
x k = k N q , k = 0 , 1 , 2 , , N .
We are interested only on the initial behavior of solutions, since our numerical tests are in the interval [0,1].

3. Description of the Problems

The size of population will grow if the rate of birth exceeds the death rate. The growth of Malthusian model is the grandfather of all population models:
d N d t = ( b ¯ d ¯ ) N ( t ) ,
where N(t) is number of individuals in a population at time t while b and d are the average per capita rate of birth and rate of death respectively. The solution for N (t) will grow exponentially, that is, N ( t ) = N 0 e r t where r = b ¯ d ¯ and N0 is an initial population size [11].
However, over a long period of time, the growth law of exponential form for the size of population is unrealistic. Thus, we may consider that the environment has intrinsic carrying capacity K to define the model in the well-known logistic form:
{ N ( t ) = r N r N 2 K   , N ( 0 ) = N 0 , 0 t b ,
where b is appropriate constant, we may transform (10) to dimensionless as:
u ( τ ) = N ( t ) K , τ = r t ,
and takes the form:
{ u ( τ ) = u u 2 , u 0 = N 0 K ,
where, u 0 = u ( 0 ) .
Hence, the exact solution of (11) takes the form:
u ( τ ) = 1 1 + ( K N 0 1 ) e τ .
The next model, L.V.M., is governed by:
{ N ( t ) = α N β P N , P ( t ) = γ P N λ P ,
where α, β, γ and λ are appropriate constants. Here, the prey population is P = P(t) and the predator at time t is that N = N ( t ) . Transforming system (13) to dimensionless form by setting:
u ( τ ) = γ N ( t ) λ , v ( τ ) = β P ( t ) α , τ = α t , a = λ α .
this finally becomes:
{ u ( τ ) = u u v , v ( τ ) = a u v a v , u 0 = d , v 0 = l .
Lastly, L.V.C.M. is considered. Each of the two species N1 and N2 having logistic growth in the absence of the other, where the logistic growth inclusion in the L.V.M. makes them more realistic. However, we consider the simpler model that gives a lot of the properties of more complicated models to highlight the principle, especially in regarding stability. Therefore, we consider the system as:
{ N 1 ( t ) = r 1 N 1 r 1 N 1 2 K 1 β 12 r 1 N 1 N 2 K 1 , N 2 ( t ) = r 2 N 2 β 21 r 2 N 2 N 1 K 2 r 2 N 2 2 N 2 K 2 ,
the constants r1, K1, r2, K2, β12 and β21 are all positive. Additionally, the r’s represent the rates of birth, while the Ks are the carrying capacities. In addition, the constants β12 and β21 give a measure to the competitive effect of N2 on N1 and N1 on N2, respectively: in general they are not equal. This model can also be non-dimensionalized by writing:
u = N 1 K 1 , v = N 2 K 2 , τ = r 1 t , a = r 2 r 1 , b = b 12 K 2 K 1 , c = b 21 K 1 K 2 .
Now, we can express (15) by:
{ u ( τ ) = u u 2 b u v , v ( τ ) = a v a v a c u v , u 0 = d , v 0 = l .
Finally, P.P.M. is represented as:
{ N ( t ) = r N r N 2 K k N P N + D , P ( t ) = P s h P 2 s N ,
where r, K, k, D, s and h are positive constants. The following relations can be used by being non-dimensionalized (17):
u = N K , v = h P K , τ = r t ,   a = D K ,   b = k h r   c = s r ,
The system (17) takes the following form:
{ u ( τ ) = u u 2 b u v u + a , v ( τ ) = c v c v 2 u , u 0 = d , v 0 = l .

4. Method Description

Consider the nonlinear first order initial value problem (11) as follows:
u ( τ ) = u u 2 ,
with initial condition:
u 0 = N 0 K
It is easy to conclude the following nonlinear equation in the unknown vector A:
R A = R A ( R A ) 2
u ( τ ) is approximated, as in Equation (6). Note that the typical collocation method is employed to obtain the approximate solution u N ( τ ) . Thus, Equation (19) is collocated at (N + 1) points, which may be taken as Equation (9) where q = 1 :
τ k = k N ,
Then, the proposed technique produced a system of (N + 1) nonlinear algebraic equation. By applying the same technique on the condition, we will get another equation, and then replace it by any equation of the nonlinear system. Hence, the nonlinear system is in the RC coefficients, where one can use a suitable numerical method to solve this system. For example, the Newton iterative method with 100 iterations can be used to obtain u N ( τ ) .
Similarly, with the nonlinear systems (14), (16) and (18), u N ( τ ) and v N ( τ ) can also be obtained by using the collocation method:
{ R   A 1 = R A 1 R A 1 R   A 2 , R   A 2 = a R   A 2 R   A 1 a R   A 2 ,
{ R   A 1 = R   A 1 ( R   A 1 ) 2 b R   A 2 R   A 1 , R   A 2 = a R   A 2 a ( R   A 2 ) 2 c a R   A 1 R   A 2 ,
{ R   A 1 = R   A 1 ( R   A 1 ) 2 b   R   A 1   R   A 2 R   A 1   + a , R   A 2 = c R   A 2   c A 2 R   A 2 A 1 .
where
R ( x ) = [ R 0 ( x ) R 1 ( x ) R N ( x ) ] , R ( 1 ) ( x ) = [ R 0 ( 1 ) ( x ) R 1 ( 1 ) ( x ) R N ( 1 ) ( x ) ] .
and
A 1 = [ a 10 a 11 a 1 N ] T , A 2 = [ a 20 a 21 a 2 N ] T .
Additionally, by substituting Equation (9) where q = 1 , and replacing the equation that we got from the condition, we get a block non-linear system. Hence, a set of 2(N + 1) nonlinear system is generated in the RC coefficients. The Newton iterative method is used with 100 iterations. Then, we can obtain the approximate solutions of u N ( τ ) land v N ( τ ) .

5. Stability and Error Estimation

The collocation method is considered to be one of most common spectral techniques used to handle the solution of differential equations. This method is easy to be implemented once the operational matrices are computed. The condition number of the coefficient matrix, which is always full, behaving like O ( N 2 j ) (j represents differential equation order); see [21,22]. The four models are from the first order ( j = 1 ) ; we found that N [ 6 , 16 ] . Thus, the maximum condition number of the RC coefficient vector of the system in this study operates similar to O ( 256 ) . Thus, this approach is well-conditioned and is a stable RC collocation method.

Error Estimation

The accuracy of (11) is checked by computing the absolute error e N , which is defined as:
e N = | u ( τ ) u N ( τ ) | .
As the approximate solutions of Equations (14), (16) and (18) are computed, the approximate solutions u N ( τ ) , v N ( τ ) , with their derivatives are replaced in systems. From that, we can get the residual error for the three systems, which for the second system take the form:
{ e 1 , N = | u N ( τ k ) u N ( τ k ) + u N ( τ k ) v N ( τ k ) | 0 , e 2 , N = | v N ( τ k ) a u N ( τ k ) v N ( τ k ) + a v N ( τ k ) | 0 ,
and for the third system:
{ e 1 , N = | u N ( τ k ) u N ( τ k ) + ( u N ( τ k ) ) 2 + b u N ( τ k ) v N ( τ k ) | 0 , e 2 , N = | v N ( τ k ) + a c u N ( τ k ) v N ( τ k ) + a ( v N ( τ k ) ) 2 a v N ( τ k ) | 0 ,
and the fourth system:
{ e 1 , N = | u N ( τ k ) u N ( τ k ) + ( u N ( τ k ) ) 2 + b u N ( τ k ) v N ( τ k ) u N ( τ k ) + a | 0 , e 2 , N = | v N ( τ k ) c v N ( τ k ) + c ( v N ( τ k ) ) 2 u N ( τ k ) | 0 ,
where τ k [ 0 ,   1 ] , e i , N 10 q k ,   i = 1 , 2 (where q k positive integer), see [21,22].

6. Numerical Results and Discussion

Four models are considered to obtain the effectiveness properties and accuracy of the RC collocation method. The calculations are carried out on the P.C. Mathematica 7.0 program (Wolform Research, Inc. 100 Trade Center Drive Champing IL 61820-7237, USA). Additionally, these problems are solved by a fourth order Runge-Kutta method.

6.1. Example 1

Consider the following problem for first model. This example is mentioned in [23,24,25,26]:
{ u ( τ ) = u u 2 , u 0 = 2 ,
where N 0 K = 2 and the analytic solution is u ( τ ) = 2 2 e τ .
The presented method is applied to get the approximate solution u N ( t ) for N = 6, 8, 10 and 16 by the truncated rational Chebyshev series. Table 1 shows the coefficients a i of the rational Chebyshev series at different N as u N ( τ ) = i = 0 N a i R i ( τ ) , while Table 2 shows the comparison of the results of the presented method at N = 6, 8, 10 and 16 with the analytical solution. Table 3 shows the results of the other methods. When compared to ours, the results of our method shows higher efficiently and accuracy along the domain [0,1]. The solution mentioned by He’s Homotopy perturbation method [24] are given as:
u = 2 2 τ p + 3 τ 2 p ( 13 / 3 ) τ 3 p + ( 25 / 4 ) τ 4 p ( 541 / 60 ) τ 5 p + ( 1561 / 120 ) τ 6 p ( 47293 / 2520 ) τ 7 p + ( 36389 / 1344 ) τ 8 p ,
The He’s Homotopy perturbation solution gives Adomian solution at p = 1, thus the results of Adomian solution [23] are not mentioned. These results are given in Table 3 and are approximately the same in seven decimal places.
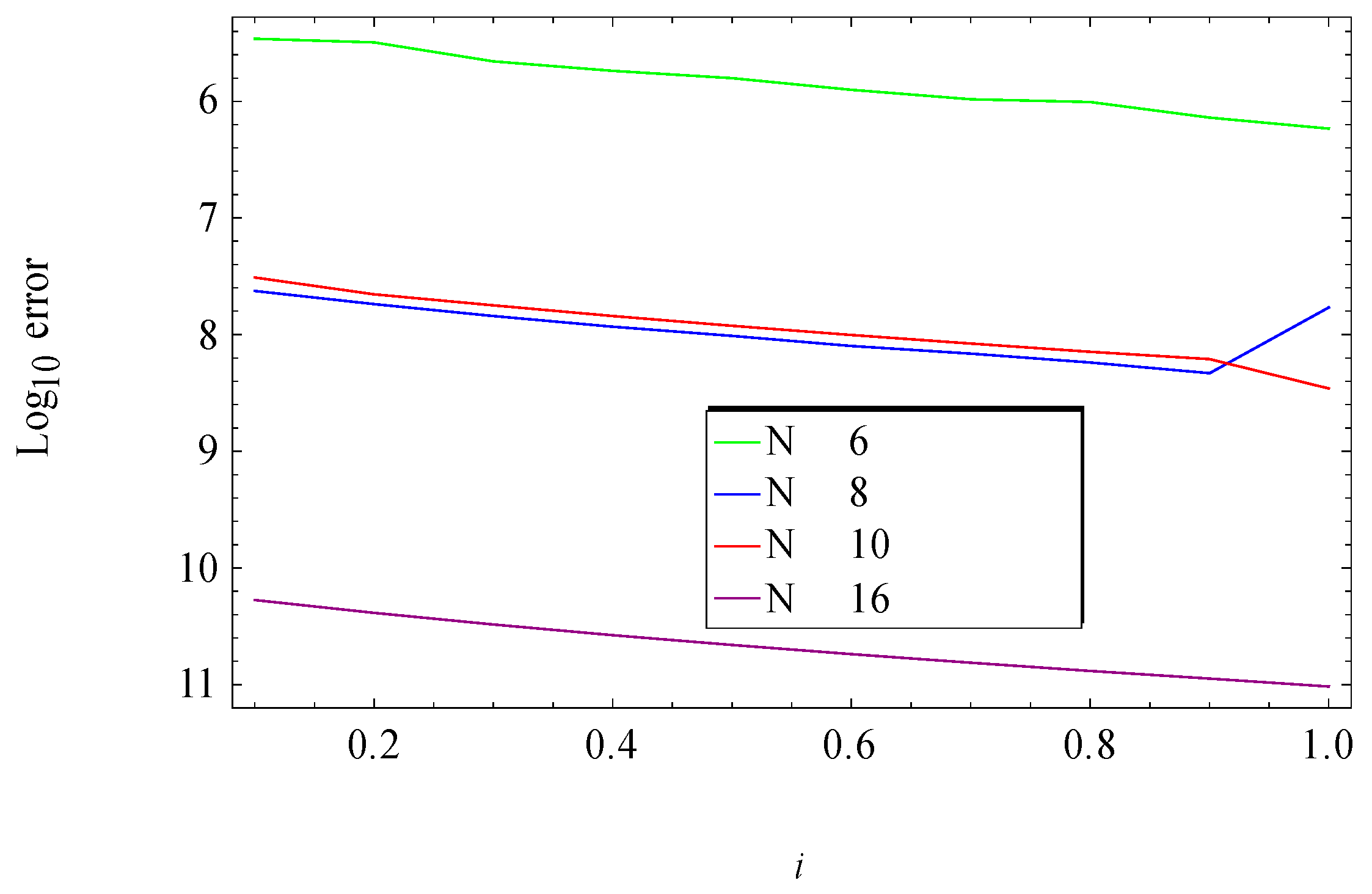
The errors obtained in Table 4 and Table 5 show that the proposed method is the most efficient. In Table 6, a comparison of the L 2 ,   L error norms of the proposed method and Bessel collocation method shows that N = 6 and 10, thus, the present method is more accurate. Figure 1 shows the approximate solution for RC collocation method at N= 6, 8, 10 and 16, where, Figure 2 obtains the error functions for the present method at different N, finally, Figure 3 comparing the error functions for RC collocation method and Bessel collocation method.

6.2. Example 2

The nonlinear system with the initial conditions for third model is considered as [24]:
{ u ( τ ) = u u 2 u v , v ( τ ) = v 0.8 u v v 2 , u 0 = 1 , v 0 = 1 .
The approximate solution by H’s Homotopy perturbation method mentioned:
u = 1 τ + 1.4 τ 2 1.9607 τ 3 + 2.5814 τ 4 + v = 1 0.8 τ + 1.12 τ 2 1.472 τ 3 + 1.9397 τ 4 +
By applying the present method to find the approximate solutions u N ( τ ) and v N ( τ ) for N = 8 and 10 by the rational Chebyshev functions:
u N ( τ ) = i = 0 N a i R i ( τ ) and v N ( τ ) = i = 0 N b i R i ( τ )
The results in Table 7 shows the comparison of the approximate solutions of RC collocation method at N = 10 with other methods. Table 8 contains the residual errors of present method and the He’s Homotopy perturbation method [24]. From the two tables, we can see that the RC collocation method has better accuracy along the domain [0,1], which is clear in Figure 4 and Figure 5.

6.3. Example 3

The system for the second model is mentioned in [23,24,25] and is given with:
{ u ( τ ) = u u v , v ( τ ) = u v v , u 0 = 1.3 , v 0 = 0.6   .
To find the approximate solutions u N ( τ ) and v N ( τ ) , we apply the RC collocation method for N = 6, 9 and 10 by using the rational Chebyshev functions:
u N ( τ ) = i = 0 N a i R i ( τ ) and v N ( τ ) = i = 0 N b i R i ( τ ) .
Table 9 and Table 10 contain comparison of previous works and the present method in the interval [0,1]. Table 11 and Table 12 contain the residual errors of previous works and present method.

6.4. Example 4

For the nonlinear system for the fourth model, as mentioned in [24], is given with:
{ u ( τ ) = u u 2 u v u + 10 , v ( τ ) = 5 v 5 v 2 u , u 0 = 1.3 , v 0 = 1.2 .
He’s Homotopy perturbation method introduces the approximate solution, which takes the form [24]:
u = 1.3 0.5281 τ + 0.8415 τ 2 2.399 τ 3 + 3.7396 τ 4 + v = 1.2 + 0.4615 τ 4.2024 τ 2 + 35.8016 τ 3 760.493 τ 4 +
By applying the proposed method to get the approximate solutions u N ( τ ) and v N ( τ ) for N = 8 and 10 given in Table 13, and comparison between fourth order Runge-Kutta method and the Homotopy perturbation method [24]. We can see from Table 14, which contains the residual errors and Figure 6 and Figure 7, that the present method is more accurate.
Finally, the numerical computations for all examples are carried out by the Mathematica 7.0, with usual personal computer with specifications (Intel processor CORE i3 2.53 GHz, 2.00 GB RAM). Additionally, in Table 15, the CPU time used by the program for all examples using rational Chebyshev collocation method and He’s Homotopy perturbation method are computed.
The results in Table 15 for the CPU time are expected, since in the He’s Homotopy perturbation method, the code takes a few steps to be implemented, while in our method, the models are transformed to a system of algebraic nonlinear equations that need more speed/storage to be solved.

7. Conclusions

In this paper, an application of the collocation technique for solving single and interacting species C.P.M. using rational Chebyshev series is investigated. The three models we considered are the population logistic growth model, an L.V.M., an L.V.C.M. and a P.P.M. Upon using the rational Chebyshev collocation points, this method transforms the four models to system of nonlinear equations with unknown rational Chebyshev coefficients. A considerable advantage of this technique is that it is very simple to implement using the Mathematica 7.0 computer program. The obtained numerical results indicate the ability and reliability and accuracy of the present method. From this work, we can see the rational Chebyshev functions are better bases to deal with problems such as the four models, as we see the analytical solution of the first model C.P.M. in fraction form for this proposed technique gives high efficiency along the domain. Moreover, the rational Chebyshev functions can deal with large domains, even if x tends to infinity.

Author Contributions

Funding acquisition, D.B.; Investigation, M.A.-L.R. and M.A.-G.N.; Methodology, M.A.-L.R.; Software, M.A.-G.N.; Writing—review and editing, D.B.

Funding

This research received no external funding.

Conflicts of Interest

The authors declare no conflict of interest.

References

  1. Biazar, J. Solution of the epidemic model by Adomian decomposition method. Appl. Math. Comput. 2006, 173, 1101–1106. [Google Scholar] [CrossRef]
  2. Chinviriyasit, S.; Chinviriyasit, W. Numerical modelling of an SIR epidemic model with diffusion. Appl. Math. Comput. 2010, 216, 395–409. [Google Scholar] [CrossRef]
  3. Youssef, C.B.; Goma, G.; Dichara, A.O. Kinetic modelling of Lactobacillus casei ssp. rhamnosus growth and lactic acid production in batch cultures under various medium conditions. Biotechnol. Lett. 2005, 27, 1785–1789. [Google Scholar] [CrossRef] [PubMed]
  4. Biazar, J.; Tango, M.; Babolian, E.; Islam, R. Solution of the kinetic modeling of lactic acid fermentation using Adomian decomposition method. Appl. Math. Comput. 2003, 144, 433–439. [Google Scholar] [CrossRef]
  5. Biazar, J.; Tango, M.; Islam, R. Ozone decomposition of the second order in aqueous solutions. Appl. Math. Comput. 2006, 177, 220–225. [Google Scholar] [CrossRef]
  6. Miansari, M.; Ganjavi, B.; Barari, A.; Gehanbari, M.; Ganji, D.D. Application of homotopy perturbation method to nonlinear ozone decomposition of the second order in aqueous solutions equations. Selcuk J. Appl. Math. 2008, 9, 73–81. [Google Scholar]
  7. Sprott, J.C. Dynamical models of happiness. Nonlinear Dyn. Psychol. Life Sci. 2005, 9, 23–36. [Google Scholar]
  8. Lutambi, A.M.; Penny, M.A.; Smith, T.; Chintis, N. Mathematical modelling of mosquito dispersal in a heterogeneous environment. Math. Biosci. 2013, 241, 198–216. [Google Scholar] [CrossRef] [PubMed]
  9. Momoniat, E.; Harley, C. An implicit series solution for a boundary value problem modelling a thermal explosion. Math. Comput. Model. 2011, 53, 249–260. [Google Scholar] [CrossRef]
  10. Parand, K.; Razzaghi, M. Rational Chebyshev tau method for solving Volterra population model. Appl. Math. Comput. 2004, 149, 893–900. [Google Scholar]
  11. Murray, J.D. Mathematical Biology; Springer: Berlin, Germany, 1993. [Google Scholar]
  12. Boyd, J. Orthogonal rational functions on a semi-infinite interval. J. Comput. Phys. 1987, 70, 63–88. [Google Scholar] [CrossRef]
  13. Ramadan, M.; Raslan, K.; Nassar, M. An approximate analytical solution of higher-order linear differential equations with variable coefficients using improved rational Chebyshev collocation method. Appl. Comput. Math. 2014, 3, 315–322. [Google Scholar]
  14. Ramadan, M.; Raslan, K.; Hadhoud, A.; Nassar, M. A Rational Chebyshev Functions Approach for Fredholm-VolterraIntegro-Differential Equations. Comput. Methods Differ. Equ. 2015, 3, 284–297. [Google Scholar]
  15. Ramadan, M.; Raslan, K.; Nassar, M. An approximate solution of systems of high-order linear differential equations with variable coefficients by means of a rational Chebyshev collocation method. Electron. J. Math. Anal. Appl. 2016, 4, 42–48. [Google Scholar]
  16. Ramadan, M.; Raslan, K.; Nassar, M. Numerical Solution of System of Higher Order Linear Ordinary Differential Equations with Variable Coefficients Using Two Proposed Schemes for Rational Chebyshev Functions. Glob. J. Math. 2015, 3, 322–327. [Google Scholar]
  17. Ramadan, M.; Raslan, K.; Nassar, M. Numerical Solution of high-order linear integro-differential equations with Variable Coefficients using two Proposed Schemes for Rational Chebyshev Functions. New Trends Math. Sci. 2016, 4, 22–35. [Google Scholar] [CrossRef]
  18. Ramadan, M.; Raslan, K.; Hadhoud, A.; Nassar, M. Rational Chebyshev functions with new collocation points in semi-infinite domains for solving higher-order linear ordinary differential equations. J. Adv. Math. 2015, 11, 5403–5410. [Google Scholar] [CrossRef]
  19. Yuksel, G.; Gulsu, M.; Sezer, M. A Chebyshev Polynomial Approach for Higher—Order Linear Fredholm- Volterra Integro-Differential Equations. Ghazi Univ. J. Sci. 2012, 25, 393–401. [Google Scholar]
  20. Grosch, C.; Orszag, S.A. Numerical Solution of Problems in Unbounded Regions: Coordinate Transforms. J. Comp. Phys. 1977, 25, 273–295. [Google Scholar] [CrossRef]
  21. Akyuz-Dascıoglu, A.; Yaslan, H.C. An approximation method for solution of nonlinear integral equations. Appl. Math. Comput. 2006, 174, 619–629. [Google Scholar]
  22. Maleknejad, K.; Mahmoudi, Y. Taylor polynomial solutions of high-order nonlinear Volterra–Fredholm integro-differential equation. Appl. Math. Comput. 2003, 145, 641–653. [Google Scholar] [CrossRef]
  23. Pamuk, S. The decomposition method for continuous population models for single and interacting species. Appl. Math. Comput. 2005, 163, 79–88. [Google Scholar] [CrossRef]
  24. Pamuk, S.; Pamuk, N. He’s Homotopy perturbation method for continuous population models for single and interacting species. Comput. Math. Appl. 2010, 59, 612–621. [Google Scholar] [CrossRef]
  25. Yüzbaşi, Ş. Bessel collocation approach for solving continuous population models for single and interacting species. Appl. Math. Model. 2012, 36, 3787–3802. [Google Scholar] [CrossRef]
  26. Ozturk, Y.; Gulsu, M. An efficient algorithm for solving nonlinear system of differential equations and applications. New Trends Math. Sci. 2015, 3, 192–204. [Google Scholar]
Figure 1. Approximate solution for RC collocation method at different N values.
Figure 1. Approximate solution for RC collocation method at different N values.
Mathematics 07 00913 g001
Figure 2. Error functions for the present method at different N values.
Figure 2. Error functions for the present method at different N values.
Mathematics 07 00913 g002
Figure 3. Comparing error functions for RC collocation method and Bessel collocation method.
Figure 3. Comparing error functions for RC collocation method and Bessel collocation method.
Mathematics 07 00913 g003
Figure 4. Approximate solutions uN(τ) at different N with He’s Homotopy solution.
Figure 4. Approximate solutions uN(τ) at different N with He’s Homotopy solution.
Mathematics 07 00913 g004
Figure 5. Approximate solution vN(τ) at different N with He’s Homotopy solution.
Figure 5. Approximate solution vN(τ) at different N with He’s Homotopy solution.
Mathematics 07 00913 g005
Figure 6. Approximate solutions uN(τ) at different N with He’s Homotopy solution.
Figure 6. Approximate solutions uN(τ) at different N with He’s Homotopy solution.
Mathematics 07 00913 g006
Figure 7. Approximate solution vN(τ) at different N with He’s Homotopy solution.
Figure 7. Approximate solution vN(τ) at different N with He’s Homotopy solution.
Mathematics 07 00913 g007
Table 1. The results of rational Chebyshev (RC) coefficients series.
Table 1. The results of rational Chebyshev (RC) coefficients series.
iN = 6N = 8N = 10
01.37430386524941351.38156766585791281.378760897008215
1−0.48569746796934876−0.472360965127773−0.47762275444551
20.15739106573077330.16766767516960020.163340333772166
30.024724700811673930.031301920878709190.028193249891979
40.0086511015318896270.012078031432541620.010142873118876
50.00148361272849395310.002883000876972440.001852300099965
60.000164813058742721990.000584244676283410.000123719346054
7-0.00007957368660952−0.00008777552305
8-5.913178179 × 10−6−0.00004101762781
9--−9.1851265 × 10−6
10--−9.7072067 × 10−7
Table 2. Approximate solution of the proposed method with the analytical solution.
Table 2. Approximate solution of the proposed method with the analytical solution.
τiu(t) The Exact SolutionuN(t) Proposed Method
N = 6N = 8N = 10N = 16
0222.022
0.21.6930941063701.6930973102821.6930941246411.6930940842611.693094106329
0.41.5041213444161.5041231632851.5041213560871.5041213299811.504121344389
0.61.3781808411251.3781820976281.3781808491241.3781808311981.378180841107
0.81.2897642077011.2897651951621.2897642134551.2897642005941.289764207687
1.01.2253996735611.2253990879911.2253996906221.2253996701011.225399673550
Table 3. The approximate solutions of the other method.
Table 3. The approximate solutions of the other method.
τiBessel Collocation Method [25] N = 10Shifted Chebyshev Collocation Method [26]He’s Homotopy Perturbation Method [24] N = 8Runge-Kutta Method N = 10 h = 0.1Runge-Kutta Method N = 100 h = 0.01
0.02.02.02.02.02.0
0.21.693093447931.69309405881.693109627301.693098390981.69309410677
0.41.504120904061.50412194731.510614146031.504125517601.50412134481
0.61.378180543851.37818012881.589181662861.378184295071.37818084145
0.81.289764067291.28976381713.723526257781.289766971881.28976420796
1.01.225422767061.225384997117.21641865081..1225401875181.22539967376
Table 4. Comparing absolute errors of RC collocation method for different values of N.
Table 4. Comparing absolute errors of RC collocation method for different values of N.
τie6e8e10e16
0.00000
0.23.20391 × 10−61.82704 × 10−82.21096 × 10−84.10847 × 10−11
0.41.81887 × 10−61.16713 × 10−81.44351 × 10−82.65399 × 10−11
0.61.2565 × 10−67.99841 × 10−99.92748 × 10−91.8243 × 10−11
0.89.87462 × 10−75.75504 × 10−97.10665 × 10−91.30811 × 10−11
1.05.85569 × 10−71.70622 × 10−83.45884 × 10−99.6152 × 10−12
Table 5. Comparing absolute errors for pervious works.
Table 5. Comparing absolute errors for pervious works.
Bessel Collocation Method [25]Shifted Chebyshev Collocation Method [26]He’s Homotopy Perturbation Method [24]Runge–Kutta Method
τie10-e8N = 10 h = 0.1N = 100 h = 0.01
0.00.00.00.00.00.0
0.26.5844 × 10−74.75702 × 10−81.5521 × 10−54.28461 × 10−64.08747 × 10−10
0.44.4035 × 10−76.02884 × 10−76.4928 × 10−34.17319 × 10−63.94976 × 10−10
0.62.9727 × 10−77.12326 × 10−72.1100 × 10−13.45395 × 10−63.25475 × 10−10
0.81.4041 × 10−73.90601 × 10−72.4338002.76418 × 10−62.59781 × 10−10
1.02.3094 × 10−51.46765 × 10−515.991002.20162 × 10−62.06548 × 10−10
Table 6. Comparison of the L2, L errors norm.
Table 6. Comparison of the L2, L errors norm.
L2 Proposed MethodL2 Bessel Collocation [21]L Proposed MethodL Bessel Collocation [21]
N = 6 1.17678 × 10−111.56377 × 10−63.43964 × 10−62.20598 × 10−3
N = 10 7.53488 × 10−161.69564 × 10−10 3.09021 × 10−82.30935 × 10−5
N = 16 2.43726 × 10−16-5.29949 × 10−11-
Table 7. Numerical results for vN(τ) and uN(τ) at N = 10 compared with another methods.
Table 7. Numerical results for vN(τ) and uN(τ) at N = 10 compared with another methods.
uN(τ)vN(τ)
τiProposed Method N = 10Fourth Order Runge-KuttaHe’s Homotopy [24]Proposed Method N = 10Fourth Order Runge-KuttaHe’s Homotopy [24]
0.01.000001.000001.000001.000001.000001.00000
0.20.8439980.8421060.8448770.8754790.8755520.876128
0.40.7448610.736660.7680550.7974840.798150.814648
0.60.6768500.6612130.8267020.7455100.7473940.856633
0.80.6276320.6044871.1771100.7095390.7131751.117640
Table 8. The residual errors of the RC collocation method and He’s Homotopy.
Table 8. The residual errors of the RC collocation method and He’s Homotopy.
uN(τ)vN(τ)
τie8e10He’s Homotopye8e10He’s Homotopy
0.001.11022 × 10−160.00−1.11022 × 10−16−1.11022 × 10−16
0.23.18832 × 10−700.0229604−3.01595 × 10−700.0170781
0.42.08784 × 10−800.313171−1.83947 × 10−85.55112 × 10−170.235563
0.6−9.89687 × 10−901.416018.0971 × 10−95.55112 × 10−171.07387
0.8−3.85544 × 10−8−5.55112 × 10−174.389912.92022 × 10−8−5.55112 × 10−173.32221
Table 9. Comparison between RC collocation method and other methods for uN(τ).
Table 9. Comparison between RC collocation method and other methods for uN(τ).
τiBessel Collocation Method N = 9 [25]He’s Homotopy Perturbation Method [24] and Adomian [23]Fourth Order Runge-KuttaProposed Method N = 9
0.01.300001.300001.300001.30000
0.21.402501.402501.404321.40240
0.41.497421.497471.506411.49726
0.61.576451.576641.600481.57625
0.81.629881.629871.678961.62962
1.01.647991.645091.732801.64769
Table 10. Comparison between RC collocation method and other methods for vN(τ).
Table 10. Comparison between RC collocation method and other methods for vN(τ).
τiBessel Collocation Method N = 9 [25]He’s Homotopy Perturbation Method [24] and Adomian [23]Fourth Order Runge-KuttaProposed Method N = 9
0.00.600000.600000.600000.60000
0.20.643700.643710.643780.64386
0.40.704450.704530.705220.70461
0.60.784590.785290.787920.78473
0.80.885630.889180.895760.88575
1.01.007021.019801.032091.00712
Table 11. Comparison of the residual errors of other methods.
Table 11. Comparison of the residual errors of other methods.
uN(τ)vN(τ)
τie9 Bessel Collocation Method [25]He’s Homotopy Perturbation Method [24] and Adomian [23]e9 Bessel Collocation Method [25]He’s Homotopy Perturbation Method [24] and Adomian [23] N = 9
0.00−2.22045 × 10−1600
0.27.5143 × 10−90.03632263.6872 × 10−9−0.00239656
0.43.9632 × 10−90.1228431.8683 × 10−9−0.0168928
0.65.5576 × 10−90.2587092.4142 × 10−9−0.0549218
0.82.4248 × 10−80.4449688.9296 × 10−9−0.128288
1.05.6282 × 10−60.68381.4089 × 10−6−0.2484
Table 12. Comparison of the errors of the present of different values for N.
Table 12. Comparison of the errors of the present of different values for N.
uN(τ)vN(τ)
τie6e9e10e6e9e10
0.01.44329 × 10−159.88098 × 10−15−4.996 × 10−151.77636 × 10−15−8.52096 × 10−151.94567 × 10−14
0.21.40608 × 10−32.09602 × 10−5−8.88178 × 10−16−3.11203 × 10−5−4.55058 × 10−5−2.66454 × 10−15
0.4−4.41867 × 10−43.06784 × 10−6−1.77636 × 10−15−1.76244 × 10−55.98195 × 10−61.27676 × 10−15
0.62.58461 × 10−41.46951 × 10−6−7.77156 × 10−163.17073 × 10−5−2.6324 × 10−62.27596 × 10−15
0.8−3.21336 × 10−42.60506 × 10−60−7.55635 × 10−5−4.3658 × 10−64.44089 × 10−16
1.07.10364 × 10−3−2.89201 × 10−4−1.37099 × 10−42.77429 × 10−34.60118 × 10−41.49865 × 10−4
Table 13. Comparing the results for RC collocation method with other methods.
Table 13. Comparing the results for RC collocation method with other methods.
uN(τ)vN(τ)
τiProposed MethodHe’s Homotopy [24]Fourth Order Runge-KuttaProposed MethodHe’s Homotopy [24]Fourth Order Runge-Kutta
N = 8N = 10N = 8N = 10
0.01.300001.300001.300001.300001.200001.200001.200001.20000
0.21.209441.209441.214831.209531.227731.227730.193831.22768
0.41.142911.142911.165601.143101.189811.18981−16.465101.18987
0.61.093341.093341.252551.093341.139901.13990−90.862701.13996
0.81.055821.055821.719531.055411.095071.09507−294.28801.09492
Table 14. The residual errors for RC collocation method and He’s Homotopy perturbation method.
Table 14. The residual errors for RC collocation method and He’s Homotopy perturbation method.
uN(τ)vN(τ)
τie8e10He’s Homotopye8e10He’s Homotopy
0.0−2.77556 × 10−163.60822 × 10−16−4.69027 × 10−52.16493 × 10−156.10623 × 10−16−3.84615 × 10−5
0.26.31305 × 10−81.11022 × 10−16−0.077732806.53084 × 10−61.59595 × 10−15−22.07360
0.44.97209 × 1093.46945 × 10−16−1.57489003.38616 × 10−71.19349 × 10−151064.8400
0.6−2.74813 × 1091.52656 × 10−16−8.676020−1.33023 × 10−7−6.10623 × 10−1632,788.300
0.8−1.21897 × 10−82.22045 × 10−16−38.070800−4.49676 × 10−78.32667 × 10−17251,805.00
Table 15. The CPU time used for all examples.
Table 15. The CPU time used for all examples.
ExampleHe’s HomotopyRC Collocation Method
N = 6N = 8N = 9N = 10N = 16
10.2960.7041.17-1.52.247
20.281-1.374-2.154-
30.2330.861-1.8091.965-
40.364 1.358-2.09-

Share and Cite

MDPI and ACS Style

Ramadan, M.A.-L.; Baleanu, D.; Nassar, M.A.-G. Highly Accurate Numerical Technique for Population Models via Rational Chebyshev Collocation Method. Mathematics 2019, 7, 913. https://doi.org/10.3390/math7100913

AMA Style

Ramadan MA-L, Baleanu D, Nassar MA-G. Highly Accurate Numerical Technique for Population Models via Rational Chebyshev Collocation Method. Mathematics. 2019; 7(10):913. https://doi.org/10.3390/math7100913

Chicago/Turabian Style

Ramadan, Mohamed Abdel-Latif, Dumitru Baleanu, and Mahmoud Abdel-Ghany Nassar. 2019. "Highly Accurate Numerical Technique for Population Models via Rational Chebyshev Collocation Method" Mathematics 7, no. 10: 913. https://doi.org/10.3390/math7100913

APA Style

Ramadan, M. A.-L., Baleanu, D., & Nassar, M. A.-G. (2019). Highly Accurate Numerical Technique for Population Models via Rational Chebyshev Collocation Method. Mathematics, 7(10), 913. https://doi.org/10.3390/math7100913

Note that from the first issue of 2016, this journal uses article numbers instead of page numbers. See further details here.

Article Metrics

Back to TopTop