Abstract
We introduce the notion of consistent sets of soft contexts and investigate its characterizations. For the purpose of studying the characterizations of consistent sets, we introduce the notions of and classes of independent attributes. By studying the characterizations, we determined that every consistent set has to contain the special class called the Essential Zone of consistent sets. This is very important information that we should consider when constructing consistent sets of a given soft context. Additionally, we study the fundamental theorems necessary to construct the consistent sets of a given soft context. In particular, we apply the Fundamental Theorem 2 to obtain the consistent sets of a given soft context, and show that this fundamental theorem provides a more effective way of constructing the consistent sets of a formal context.
Keywords:
formal context; soft set; soft context; soft concept; soft concept lattice; consistent set MSC:
94D05; 94D99; 03E70; 03E72
1. Introduction
In 1982, Wille introduced formal concept analysis (FCA) [1], which is an important theory for the research of hierarchical structures induced by a binary relation between the set of objects and attributes. The three basic notions of FCA are formal context, formal concept, and concept lattice. A formal context is a kind of information system, which is a tabular form of an object–attribute value relationship [2,3,4,5]. The formal concept consists of two parts called expansion and tension. The expansion contains all objects belonging to this concept and the tension contains all attributes that are valid for all of those objects.
The subconcept–superconcept order relation between two formal concepts can be defined by the inclusion relation on objects and attributes. Furthermore, the set of all formal concepts together with the order relation forms a complete lattice called a concept lattice [5]. A formal concept analysis has been widely applied to many fields and generalized to other types for requirements of real word applications [5,6,7,8,9,10,11,12,13].
The soft set concept was introduced by Molodtsov in 1999 [14], to deal with complicated problems and uncertainties as follows: Let U be an initial universe set (simply, universe set) and A be a collection of characteristics of objects in U. A pair is called a soft set over U if F is a set-valued mapping from A into the set of all subsets of U. In [15], Maji et al. introduced several operators (equality, subset, superset, complement, null, and absolute soft set, etc.) for soft set theory. In [16], Ali et al. introduced new operations that modified some concepts introduced by Maji.
In [17], we studied the new notions such as soft contexts, soft concepts and soft concept lattices, which are closely related to formal contexts and formal concept lattices. The main purpose of studying these new notions was to obtain a more effective method than the traditional method of constructing all formal concepts in a formal context. So, we introduced the soft context, combining the formal contexts and soft sets, and investigated the notions of soft concepts, independent soft concepts, dependent soft concepts and bases. Furthermore, we obtained important results: (1) The set of all soft concepts can be decomposed into the set of all independent soft concepts and the set of all dependent soft concepts; (2) All dependent soft concepts are generated by independent soft concepts; (3) There exists a bijective mapping between the set of all formal concepts and the set of all associated soft concepts in a given formal context.
Based on the above facts, we intend to obtain a more effective method of finding a consistent set in a formal context using soft contexts. So, in this paper, we introduce the notion of consistent sets of soft context and investigate its characterizations. For the purpose of studying the characterizations of consistent sets, we investigate the independence and dependence for attributes in a given soft context, and introduce the notions of and classes of independent attributes. By studying the characterizations, we determine that every consistent set has to contain a special set called the Essential Zone of Consistent Sets. In fact, this is very important information that we should consider when constructing consistent sets of a given soft context. Additionally, we study the fundamental theorems necessary to construct the consistent sets of a given soft context. Finally, we apply the above-mentioned fundamental theorem to obtain the consistent sets of a given soft context. In particular, by using an example, we show that this fundamental theorem provides a more effective way of constructing the consistent sets of a given formal context.
2. Preliminaries
A formal context is a triplet , where X and Y are finite sets, and is a relation from U to A. In a formal context , U is a finite set of objects, A is a finite set of attributes or properties, and if , we simply write and say that x has the property a, or a is possessed by object x. The set of all attributes possessed by and the set of all objects having an attribute were represented as [1,5]:
For a set of objects , is the maximal set of properties shared by all objects in X;
for a set of properties , is the maximal set of objects that all have properties in B; that is,
Let us define two operators between the power sets of U and A as follows:
;
.
Then, obviously, the pair of operators is a contravariant Galois connection between the power sets of U and A.
A pair , , , is called a formal concept of the context if and [1,5]. X is called the extension of the concept, and B is called the extension of the concept.
For a formal context , the concepts of are ordered by the following: For two concepts ,
The ordered set of all concepts in is a complete lattice and the ordered set is denoted by and called the formal concept lattice of .
Let U be a universe set and E be a set of parameters with respect to U. In general, parameters are properties or attributes of objects in U.
A pair is called a soft set [14] over U if F is a set-valued mapping of A into , that is, is a mapping defined by for .
Let be a non-empty finite set of objects, a non-empty finite set of attributes, and a soft set. Then, the triple is called a soft context [17].
Let be a soft context, denote the power set of U and . Then, in [17], and are defined as the following:
- (1)
- is a mapping defined as ;
- (2)
- is a mapping defined as .
Let and . For and , simply, and .
Then, we showed the following facts:
Theorem 1
([17]). Let be a soft context, and .
- (1)
- If , then ; if , then ;
- (2)
- ; ;
- (3)
- , ;
- (4)
- ,
- (5)
- , .
In a soft context , the associated operation [17] was induced by as follows: For each ,
Then, X is called a soft concept in if .
The set of all soft concepts is denoted by . The important properties of soft concepts are obtained as follows:
Theorem 2
([17]). Let be a soft context. Then
- (1)
- ∅, U, are soft concepts.
- (2)
- For each , is a soft concept.
- (3)
- For each , is a soft concept.
- (4)
- X is a soft concept if and only if for some .
- (5)
- .
In a soft context , for , consider a set-valued mapping defined by for all . Then, obviously, is a soft set. Since is a soft set, is also a soft context. From now on, we consider only a subset satisfying the soft set which is pure.
Then, naturally, the associated operation , associated mappings and are induced by the soft set as follows:
- for each .
- for each .
Then, obviously, the following were shown in [17]:
Lemma 1.
([17]) Let be a soft context, and . Then
- (1)
- .
- (2)
- .
- (3)
- .
Now, for ,
- (1)
- X is said to be dependent [17] on if there exist satisfying and , ().
- (2)
- X is said to be independent of if X is not dependent.
We will denote:
The basic properties of such notions are as follows:
Theorem 3
([17]). Let be a soft context.
- (1)
- Both ∅ and U are dependent.
- (2)
- ; .
- (3)
- For a non-empty set , there exists such that for .
- (4)
- For , there exists satisfying .
3. Consistent Sets of Soft Contexts
We introduce the notion of consistent set on a given soft context, and investigate the characterizations of consistent sets. In general, in a formal context , for , if or , then x could be omitted from , and the structure of concept lattice and reduction are not affected. Dually, for , if or , then a could be omitted from , and the structure of concept lattice and reduction is not affected.
Based on this fact, from now on, we assume that every soft set is pure [18], which is defined as: , , and for every .
Definition 1.
Let be a soft context and . Then, C is called a consistent set of if .
We recall the notion of base for in a soft context defined in [17]: Let be a soft context. A subfamily of is called a base for if it satisfies the following conditions:
- (1)
- ;
- (2)
- For each , there exists such that .
Theorem 4
([17]). For a soft context , the family is a base for .
Example 1.
Let and . Let us consider a soft context induced by a soft set where the set-valued mapping is defined by
Then, by Theorem 4,
For , is a set-valued function defined as follows:
Then is a soft set and is a soft context. Furthermore, by Theorem 4,
So, , and C is a consistent set of .
Theorem 5.
Let be a soft context, and . Then, C is a consistent set of if and only if
Proof.
Since and are soft contexts over U, from (5) of Theorem 2, it is obviously obtained. □
Theorem 6.
Let be a soft context, and . Then, C is a consistent set of if and only if (1) and (2) .
Proof.
Let C be a consistent set of . Then, by Theorem 3, and in general, , , and . So, and .
The converse is obviously obtained. □
Theorem 7.
Let be a soft context and . Then, the following are equivalent:
- (1)
- C is a consistent set of .
- (2)
- is a base of .
Proof.
(1) ⇒ (2) Let C be a consistent set of . Then, and by Theorem 4, is a base of . So, is also a base of .
(2) ⇒ (1) For , it is obviously . Now, for the proof of the inclusion relation , let . Then, by hypothesis, there exists such that . Since , . Consequently, and so, C is a consistent set of . □
Corollary 1.
Let be a soft context. Then, A is the greatest consistent set of .
Theorem 8 (Fundamental Theorem I of consistent sets).
Let be a soft context and . Then, C is a consistent set of if and only if for each , there exists a nonempty subset B of C such that .
Proof.
Suppose that C is a consistent set of . For the proof, let . Then, by (3) of Theorem 2, . Since is a base for , there exists such that . Set . Then, and . So, the condition is satisfied.
Conversely, suppose that for each , there exists such that . Now, we show that is a base for . It is sufficient to show that for each , there exists such that . For the proof, let . First, since is a base for , we can take such that . From , it follows that there exists such that . Now, put , and . Then, , and . For each , by hypothesis, there exists such that . From Theorem 1, it follows that . Consequently, put ; then, from , it follows that and . So, the proof is completed. □
Corollary 2.
Let be a soft context and . Then, C is a consistent set of if and only if for every nonempty subset B of , there exists a nonempty subset E of C such that .
Proof.
Suppose that C is a consistent set. Let . Then, for each , there exists such that . So, and . So, the statement is obtained.
The converse is obvious. □
Theorem 9
([17]). Let be a soft context. For , if a mapping defined by for is surjective, then is a base for .
By the above theorem, we obtain the following useful theorem in finding consistent sets:
Theorem 10.
Let be a soft context and . If there exists a surjective mapping , then C is a consistent set.
Remark 1.
In the above theorem, the converse is not always true as shown in the next example.
Example 2.
In Example 1, . Consider a consistent set . Then, since
it is impossible that there is any surjective mapping defined as follows for . So, in Theorem 10, the converse is not true.
Let be a soft context and .
For , d is said to be dependent on A if there exists satisfying : Otherwise, d is said to be independent on A.
We denote:
Example 3.
In Example 1, , and . For , and so, e is dependent. From , and g are obviously independent on A. a is also independent on A, since but . For the same reason, b and c are independent on A.
Obviously, the following are obtained:
Lemma 2.
Let be a soft context. Then
- (1)
- and ;
- (2)
- if a is dependent, then there exists such that where .
Theorem 11.
Let be a soft context. Then, is a consistent set of .
Proof.
First, we show that the mapping defined by for is well-defined and surjective. For each , suppose that for . Then, , by (3) of Theorem 3, there exists such that and . Then, and . Thus, and . This implies that , and it is a contradiction. So, the mapping is well defined.
For each , by (4) of Theorem 3, there exists an element such that . If , then by Lemma 2, and there exists such that where . Then, , which contradicts . From this fact, we can say that , and so is surjective.
Finally, by Theorem 10, is a consistent set of . □
Definition 2.
For a soft context , put . Then,
Example 4.
In Example 3, for a soft context where and , we showed that and
For ,
;
and
from , ;
from , ;
from , .
Consequently,
The following is directly obtained:
Lemma 3.
For a soft context ,
- (1)
- ;
- (2)
- if and only if and for every .
Theorem 12.
Let be a soft context and . Then, for , is a consistent set of .
Proof.
We showed that there exists a surjective mapping defined by in the proof of Theorem 11. Now, for , let and consider the inclusion map . Since , there is at least one element such that and . This implies that the composition map is surjective, and by Theorem 10, is a consistent set of . □
Theorem 13.
Let be a soft context and . Let C be a consistent set of . Then, for , if and only if is not a consistent set of .
Proof.
Let and suppose that is a consistent set of . Then, is a base for . From this fact, for , there exists a nonempty subset such that . This contradicts . So, is not a consistent set of .
Conversely, for , assume that . Then, from , . In case: . By Theorem 12, is a consistent set of , and since , is a consistent set of . By hypothesis, since C is a consistent set of , is also a consistent set of .
In case: . Since is also a consistent set of and , is a consistent set of . □
Theorem 14.
Let be a soft context and . If C is a consistent set of and , then (1) : (2) .
Proof.
(1) It is sufficient to show that . Suppose that for , . Since , . So, , which contradicts the assumption . Consequently, .
(2) Suppose that . Then, for , since , there is no subset B of C such that where for . So, is not a base for , that is, C is a consistent set of . So, the proof is completed. □
The converse of Theorem 14 is not always true as shown in the next example:
Example 5.
Let and . As in Example 1, consider a soft context and the set-valued mapping defined by
Then, we showed in Example 3. For , in Example 4, we found that and .
Take . Then, it is easily obtained:
Clearly, and . However, for , there is no such that . So, by Theorem 8, C is not a consistent set of .
Remark 2 (Essential Zone of consistent sets).
For a soft context , from Theorems 13 and 14, we found that every consistent set has to contain the set . This result is very important information that we should consider when constructing a consistent set of a soft context . Based on this fact, the following fundamental theorem of consistent sets is obtained.
Theorem 15 (Fundamental Theorem II of consistent sets).
Let be a soft context and . Then, C is a consistent set of if and only if C satisfies that
- (1)
- :
- (2)
- For each , .
Proof.
Let C be a consistent set of . Then, obviously, (1) is satisfied by Theorem 14. For the proof of (2), suppose that there is some such that . For , let . Then, we know that and . Now, for , there is no such that . This means that there is no such that . So, is not a base for , C is not a consistent set.
For the converse, assume that the two conditions (1) and (2) are satisfied. Put for . Then, for each , since , is a nonempty subset of C, and so . Now, we show that the mapping defined by for is surjective. For the proof of surjection, let . Then, by Theorem 11, there is an element such that . From , in case , it is obviously . In case , by the condition (2), there exists some such that . So, in any case, for , there exists satisfying . Consequently, is surjective and so is a base for , and so, is also a base for . Hence, C is a consistent set of . □
Corollary 3.
Let be a soft context and . Then, for each , there exists a nonempty subset B of C such that if and only if C satisfies that
- (1)
- ;
- (2)
- For each , .
Proof.
It follows from Theorems 8 and 15. □
Let be a soft context. In [17], we defined an order between as follows: For ,
Then the infimum ⋏ and supremum ⋎ in the ordered set , are defined as follows:
Then, we showed that is a complete lattice. The complete lattice is called the soft concept lattice and simply, denoted by .
Let and be two soft concept lattices. is said to be finer than , which is denoted by the following:
If and , then these two soft concept lattices are said to be isomorphic to each other, and denoted as follows
Theorem 16
([17]). Let be a soft context. Then, if and only if .
Theorem 17.
Let be a soft context. If C is a consistent set of , then .
Proof.
For a consistent set , by Theorem 5, if and only if . So, . □
For a formal context , let us define a soft set as follows . Then, is a soft context. Therefore, every formal context induces a soft context . We call the associated soft context [17] induced by a formal context . Furthermore, for . Then, denote . Then, is a formal context and is also the associated soft context induced by a formal context .
Theorem 18
([17]). Let be a formal context. Then,
- (1)
- the formal concept lattice is order-isomorphic to ;
- (2)
- for the formal concept lattice of ,
Corollary 4.
Let be a formal context and . Then,
- (1)
- the formal concept lattice is order-isomorphic to ;
- (2)
Proof.
(1) For , is a formal context and is the associated soft context of . By Theorem 18, the formal concept lattice is order-isomorphic to .
(2) Since is a formal context and is the formal concept lattice of , it follows from (2) of Theorem 18. □
Let be a formal context. Then, D is called a consistent [7] of if there exists a set such that .
Finally, we obtain the meaningful theorem for the consistent set of a given formal context:
Theorem 19.
Let be a formal context. Then, C is a consistent of if and only if C is a consistent set of the associated soft context .
Proof.
Let C be a consistent set of a formal context . Then, by Theorem 18 and Corollary 4, if and only if if and only if . Hence, C is also a consistent set of the associated soft context . □
4. Application
In this section, we apply the Fundamental Theorem II of Consistent Sets (Theorem 15) to obtain a consistent set of a given formal context. We may write instead of a set .
For and , Table 1 shows a formal context .
Table 1.
A formal context.
From the formal context , naturally, we can define a set-valued mapping as , and from now on, the set-valued mapping is simply denoted by F. Then, is a soft set as follows:
Therefore, we have the associated soft context (simply, ) induced by a formal context . Then, by Theorem 4 and , we can find the family of all soft concepts as:
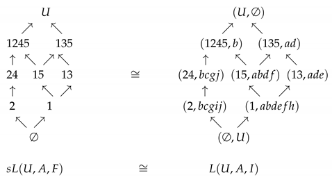
Consequently, by Theorem 18 and , the formal concept lattice is easily obtained as the following diagram:

From now on, we will describe the process of obtaining a consistent set of by using Theorem 19.
First, we explain how to obtain a consistent set of the associated soft context through three steps by using Theorem 15.
Step 1: By using the soft set defined above, we obtain the independent set on A in the following way:
- (1)
- From ,; ; ;; ; :
- (2)
- ;;;; .
From and , it follows that , and so,
Step 2: We find two classes and of in the following way: For ,
; ;
; ;
.
So, ; ; .
Hence,
Step 3: By using Theorem 15, we construct a consistent set C of the associated soft context as follows:
So finally, we obtain a consistent set of the associated soft context .
Furthermore, by Theorem 19, is also a consistent set of a formal context and .
In fact, we can construct the formal concept lattice by using the following facts: For a consistent set of the associated soft context ,
- (1)
- is a set-valued mapping defined as follows:
- (2)
- .
- (3)
- is a mapping defined as follows: For
Finally, by Corollary 4 and ,
where

5. Conclusions
The soft context is a system proposed to study a more effective method of finding all formal concepts and reductions in a formal context, which is induced using a soft set instead of a binary relationship in formal contexts. In this paper, we investigated the notion of consistent sets of soft contexts as in the formal context. For the purpose of studying the characterizations of consistent sets, we introduced the notions of and classes of independent attributes, and determined that every consistent set has to contain the Essential Zone of consistent sets. Additionally, we studied the fundamental theorems necessary to construct the consistent sets of a given soft context. In particular, we have shown that the Fundamental Theorem II provides a more efficient way of constructing a consistent set of a formal context. In a subsequent study, we intend to obtain a more effective method of finding reducts in a formal context using associated soft contexts as in this study. So, we will investigate the notion of reducts of a soft context and a method of constructing reduction of a soft context. In particular, we will look for ways to construct reduction using independent soft concepts and subsets of independent attributes of a soft context. Finally, we will apply the reduction of a soft context to the reduction of a formal context.
Funding
This research was supported by Basic Science Research Program through the National Research Foundation of Korea(NRF) funded by the Ministry of Education (No. NRF-2017R1D1A1B03031399).
Acknowledgments
The author would like to thank the editors and the four anonymous reviewers for their valuable comments and suggestions which have helped immensely in improving the quality of this paper.
Conflicts of Interest
The author declares no conflict of interest.
References
- Wille, R. Restructuring the lattice theory: An approach based on hierarchies of concepts. In Ordered Sets; Rival, I., Ed.; D. Reidel: Dordrecht, The Netherlands; Boston, MA, USA, 1982; pp. 445–470. [Google Scholar]
- Chen, L.; Huang, T.; Song, Z.; Pei, Z. Formal concept analysis based on set-valued mapping. Chin. Q. J. Math. 2008, 23, 390–396. [Google Scholar]
- Ganter, B.; Wille, R. Formal Concept Analysis: Mathematical Foundations; Springer: Berlin, Germany, 1999. [Google Scholar]
- Jin, J.; Qin, K.; Pei, Z. Reduction-Based Approaches towards Constructing Galois (Concept) Lattices; Lecture Notes in Artificial Intelligence, 4062; Springer: Berlin, Germany, 2006; pp. 107–113. [Google Scholar]
- Wille, R. Concept lattices and conceptual knowledge systems. Comput. Math. Appl. 1992, 23, 493–515. [Google Scholar] [CrossRef]
- Belohlavek, R. Concept lattices and order in fuzzy logic. Ann. Pure Appl. Log. 2004, 128, 277–298. [Google Scholar] [CrossRef]
- Medina, J.; Ojeda-Aciego, M.; Ruiz-Calvino, J. Relating attribute reduction in formal, object-oriented and property-oriented concept latticesComput. Math. Appl. 2012, 64, 1992–2002. [Google Scholar]
- Shao, M.W.; Liu, M.; Zhang, W.X. Set approximations in fuzzy formal concept analysis. Fuzzy Set Syst. 2007, 158, 2627–2640. [Google Scholar] [CrossRef]
- Shao, M.W.; Leung, Y. Relations between granular reduct and dominance reduct in formal contexts. Knowl. Based Syst. 2014, 65, 1–11. [Google Scholar] [CrossRef]
- Wang, L.; Liu, X.; Cao, J. A new algebraic structure for formal concept analysis. Inf. Sci. 2010, 180, 4865–4876. [Google Scholar] [CrossRef]
- Wang, X.; Zhang, W.X. Relations of attribute reduction between object and property oriented concept lattices. Knowl. Based Syst. 2008, 21, 398–403. [Google Scholar] [CrossRef]
- Xu, W.H.; Li, W.Q. Granular computing approach to two-way learning based on formal concept analysis in fuzzy datasets. IEEE Trans. Cybern. 2016, 46, 366–379. [Google Scholar] [CrossRef] [PubMed]
- Zhang, W.X.; Ma, J.M.; Fan, S.Q. Variable threshold concept lattices. Inf. Sci. 2007, 177, 4883–4892. [Google Scholar] [CrossRef]
- Molodtsov, D. Soft set theory first results. Comput. Math. Appl. 1999, 37, 19–31. [Google Scholar] [CrossRef]
- Maji, P.K.; Biswas, R.; Roy, R. Soft set theory. Comput. Math. Appl. 2003, 45, 555–562. [Google Scholar] [CrossRef]
- Ali, M.I.; Feng, F.; Liu, X.Y.; Min, W.K.; Shabir, M. On some new operations in soft set theory. Comput. Math. Appl. 2009, 57, 1547–1553. [Google Scholar] [CrossRef]
- Min, W.K.; Kim, Y.K. Soft concept lattice for formal concept analysis based on soft sets: Theoretical foundations and Applications. Soft Comput. 2018. [Google Scholar] [CrossRef]
- Min, W.K. Soft sets over a common topological universe. J. Intell. Fuzzy Syst. 2014, 26, 2099–2106. [Google Scholar]
© 2019 by the author. Licensee MDPI, Basel, Switzerland. This article is an open access article distributed under the terms and conditions of the Creative Commons Attribution (CC BY) license (http://creativecommons.org/licenses/by/4.0/).