Next Article in Journal
Modeling and Simulation of Whooping Cough Transmission in Japan: A SEIRS Approach with LSTM and Latin Hypercube Sampling-Based Parameter Estimation
Previous Article in Journal
Morphisms of Right Groups: Categorical Structure and Enumeration
 
 
Font Type:
Arial Georgia Verdana
Font Size:
Aa Aa Aa
Line Spacing:
Column Width:
Background:
Article

Configuration Design and Kinematic Analysis of RUPU/2UPU Reconfigurable Parallel Mechanism

1
School of Mechanical Engineering, North University of China, Taiyuan 030051, China
2
School of Mechanical and Electrical Engineering, Huanghe Jiaotong University, Jiaozuo 454950, China
3
School of Science, Engineering and Environment, University of Salford, Manchester M5 4WT, UK
4
The State Key Laboratory of CAD&CG, Zhejiang University, Hangzhou 310058, China
*
Author to whom correspondence should be addressed.
Mathematics 2026, 14(7), 1205; https://doi.org/10.3390/math14071205
Submission received: 9 February 2026 / Revised: 12 March 2026 / Accepted: 26 March 2026 / Published: 3 April 2026

Abstract

The configuration synthesis and kinematic analysis of reconfigurable parallel mechanisms are performed for two motion modes: three-translation (3T) and three-translation-one-rotation (3T1R). Firstly, the degrees of freedom and constraint conditions of the moving platform and the limbs of the mechanism are analyzed. The limb configurations satisfying the degrees of freedom are synthesized by using the equivalent motion screw method, and the RUPU/2UPU reconfigurable parallel mechanism is synthesized by reasonably arranging the limbs. The degrees of freedom and motion continuity of the mechanism are analyzed by using the geometric constraint method based on screw theory. It has been proved that the mechanism can switch motion modes via the revolute joint R. The inverse position solution and workspace of the mechanism are analyzed, and its full Jacobian matrix is established. Based on this matrix, the reconfigurability and singularity of the mechanism were analyzed. At the same time, the dexterity of the mechanism is evaluated based on the velocity Jacobian matrix and the actuation Jacobian matrix. The results of the two methods are consistent. Finally, the mechanism’s degrees of freedom, motion continuity, and reconfigurable characteristics are verified through virtual simulation experiments. The experimental results are consistent with the theoretical analysis.

1. Introduction

With the continuous advancement of robot technology, the demand for multi-functional mechanical equipment in various industries is increasing, and the traditional parallel mechanism fails to meet the requirements of diversified applications due to the limitations of topology and degree of freedom. Reconfigurable mechanisms have become a research hotspot in the field of mechanisms due to their variable function and form [1,2,3].
A reconfigurable mechanism is a mechanical system with variable topology that can transform its configuration in response to changes in working conditions, and its most prominent feature is this topological variability [4]. Yu et al. realized the comprehensive design of a reconfigurable parallel mechanism by locking kinematic pairs, variable kinematic pairs, and the variable platform [5]. Wang et al. realized variable topology, variable degree of freedom, and variable structure of reconfigurable mechanism by changing the types, number, and orientations of kinematic pairs [6].
Li et al. used the difference in position–motion characteristics of the connecting rod in the planar four-bar mechanism and applied it to the parallel mechanism as a prismatic pair and a revolute pair to give the mechanism reconfigurable ability [7,8]. Huang et al. designed a reconfigurable platform through a planar four-bar linkage and integrated it into a parallel mechanism to achieve the same function [9]. Based on the single-degree of freedom three-symmetric Bricard space closed-loop mechanism, Xu et al. constructed a reconfigurable motion platform and then designed a reconfigurable parallel mechanism with 3–4 degrees of freedom switching [10]. Kuang et al. treated the folding-induced topological change in origami structures as a reconfigurable pair and proposed a mechanism with switchable 3–6 degrees of freedom [11]. Ye et al. proposed a 3 (Sv) PS parallel mechanism. With the help of a reconfigurable spherical pair (Sv), constrained/unconstrained configuration switching of SvPS branches was realized, and the singular point analysis was completed using the unified Jacobian matrix [12]. The 3 (rA) P (rA) mechanism proposed by Li et al., whose rA shaft (composed of three revolute joint) can evolve three variable U pairs and one revolute pair through the axis of the rotation/locking revolute joint, realizes the flexible switching of degrees of freedom [13]; Chai et al. proposed a 3 (Rc) PU reconfigurable mechanism. The (Rc) pair can be transformed between the U pair and the spherical pair, so that the limb can realize two forms of constrained/unconstrained coupling, and the mechanism can realize four motion modes [14]. In addition, Hu et al. proposed reconfigurable (rS) units, derived different kinematic pairs by adjusting the axis positions, and designed corresponding reconfigurable mechanisms [15,16,17].
The line geometry method in screw theory enables the direct derivation of the constraint screw of the limb through the geometric relationship among the axes of the kinematic pairs within the limb. Consequently, it is extensively employed in the analysis of degrees of freedom and the synthesis of mechanism configurations [18,19]. However, the constraint screw and kinematic screw derived from this method are typically instantaneous, rendering it challenging to apply directly to the quantitative analysis of the mechanism’s overall motion process, such as assessments of motion continuity, dexterity evaluation, and singularity analysis [20,21]. Despite significant advancements in the study of reconfigurable parallel mechanisms, scholars have proposed various reconfigurable configurations; nevertheless, they have yet to effectively address the analysis limitations stemming from the instantaneous nature of the screw.
In view of the above problems to address the aforementioned issues, this paper takes the RUPU/2UPU reconfigurable parallel mechanism as the research object. Based on the geometric relationship between the axes of the UPU kinematic chain, the constraints of the limb are solved, and the internal relationship between the constraints and the geometric relationship between the axes of the branched kinematic pair is revealed. Further, the analytical expressions of the branched kinematic screw and the constrained screw are derived, which overcomes the limitation of the instantaneous screw to a certain extent. On this basis, the full Jacobian matrix [22] of the mechanism is further constructed by using the constraint helix and its driving anti-helix, and it is applied to the analysis of motion continuity, dexterity and singularity, which provides a new idea for the analysis of the global kinematics performance of the mechanism.

2. Configuration Design of Reconfigurable Parallel Mechanism

2.1. Branched Chain Configuration Design

The reconfigurable parallel mechanism has two operational modes: 3T and 3T1R. As illustrated in Figure 1, in the 3T mode, the moving platform is subjected to three spatially distributed couple constraints, namely constraint S 1 τ , constraint S 2 τ and constraint S 3 τ , thereby conferring three translational DOF to the mechanism. In the 3T1R mode, the platform is subjected to two coplanar couple constraints, namely constraint S 2 τ and constraint S 3 τ , which allow the mechanism to possess three translational DOF and one rotational degree of freedom about the Z-axis.
In this paper, the reconfigurable parallel mechanism is composed of three branches. Among them, the first limb is a reconfigurable limb, which contains a rotational actuated joint with a linear mapping relationship with the rotation angle of the moving platform. The second and third limbs are standard branched chains with the same type of kinematic pairs. By reasonably arranging their spatial orientations, the couple constraints provided by the two chains are coplanar. By controlling the first branch revolute joint, the mechanism can be switched between the two motion modes.

2.1.1. Standard Limb Configuration Design

The second and third limbs provide couple constraints S 2 τ and S 3 τ to the moving platform, both lying within the XOY plane. The types of kinematic pairs of the two limbs are the same. Taking the second branched chain as an example for analysis, it is assumed that the direction of the couple constraint S 2 τ provided is along the X-axis, then
S 2 τ = 0 0 0 1 0 0 T
Based on the principle of the screw reciprocal product, the kinematic screw system of the second branched chain:
S 2 = S 21 = 0 0 1 0 0 0 T S 22 = 0 1 0 0 0 0 T S 23 = 0 0 0 1 0 0 T S 24 = 0 0 0 0 1 0 T S 25 = 0 0 0 0 0 1 T
The equivalent kinematic screw system is:
S 21 = S 21 , S 22 = S 22 , S 23 = a 1 S 23 + b 1 S 24 + c 1 S 25 S 24 = S 22 + a 2 S 23 + c 2 S 25 , S 25 = S 21 + a 3 S 23 + b 3 S 24
Equivalent kinematic screw system:
S 2 = S 21 = 0 0 1 0 0 0 T S 22 = 0 1 0 0 0 0 T S 23 = 0 0 0 a 1 b 1 c 1 T S 24 = 0 1 0 a 2 0 c 2 T S 25 = 0 0 1 a 3 b 3 0 T
In the formula, the parameter a i , b i , c i , is a linear combination coefficient, and its value is related to the spatial position of the screw S 23 , S 24 , S 25 . When the direction vector and position vector of the screw are known, they can be directly obtained by the cross product operation of the two. For example, the direction vector of the screw S is s , the position vector is r , and the screw S = s ; s 0 = s ; r × s .
As shown in Figure 2, according to Formula (4), the second branched chain contains: two revolute joints S 21 and S 22 along the Z-axis and Y-axis, respectively, and passing through the origin O; a prismatic joint S 23 pointing to B2 through the O point; and two revolute joints S 24 and S 25 passing through the B2 point and parallel to the Y-axis and the Z-axis, respectively. The two orthogonal revolute joints passing through the O and B2 points are combined into a U pair, and the limb has a UPU configuration.
Among them, the following geometric relationship is satisfied between the axes of the kinematic pairs in the UPU branched chain:
s i 1 s i 2 s i 2 s i 3 s i 3 s i 4 s i 4 s i 5 s i 2 / / s i 4
According to the geometric characteristics of the UPU branched chain, the plane formed by the s 21 and s 22 axes are parallel to the plane formed by the s 24 and s 25 axes, and the couple constraint S 2 τ provided by the limb is perpendicular to the plane containing the s 21 and s 22 axes. We can adjust the spatial orientations of the second and third branches, so that the couple constraints they exert on the moving platform are coplanarly distributed within the XOY plane.

2.1.2. Reconfigurable Limb Configuration Design

To meet the requirements of mechanism reconfiguration, the reconfigurable branched chain needs to provide a couple constraint S 1 τ in the 3T mode, provide no constraints in the 3T1R mode, and the branched chain must contain a revolute joint. Since the second limb can only provide a couple constraint, if a revolute joint S 16 is added, the constraint can be lifted, so that it does not provide constraints in a specific mode. Therefore, the first limb is designed as RUPU configuration, and the revolute joint S 16 on a limb is selected as the actuator joint, and the two modes are switched by the revolute joint S 16 . At the same time, to meet the requirements of the rotation angle of the revolute joint along the Z-axis, the overall direction of the limb needs to be adjusted, and the specific configuration is shown in Figure 3.
When the kinematic pair of the reconfigurable limb S 16 is released, the limb does not provide constraints on the moving platform, and the mechanism is in 3T1 R mode. When the kinematic pair S 16 is fixed, the branched chain provides a couple constraint S 1 τ along the Z-axis for the moving platform, and the mechanism is in 3T mode.
Reconfigurable limb kinematic screw system:
S 1 = S 11 = 1 0 0 0 0 0 T S 12 = 0 1 0 0 0 0 T S 16 = 0 0 1 0 0 0 T S 13 = 0 0 0 a 1 b 1 c 1 T S 14 = 0 1 0 a 2 0 c 2 T S 15 = 1 0 0 0 b 3 c 3 T
Constraints of the reconfigurable limb in 3T mode:
S 1 τ = 0 0 0 0 0 1 T

2.2. Configuration Design of Reconfigurable Mechanism

As shown in Figure 4a, the RUPU/2UPU reconfigurable parallel mechanism is composed of the upper platform (fixed platform), the lower platform (movable platform) and the three branches connecting the two. Among them, the first limb is composed of an R revolute pair, U kinematic joint, P prismatic pair and U kinematic joint. The second and third branched chains are composed of a U kinematic joint, P prismatic joint and U kinematic joint in series.
The mechanism has two motion modes: 3T mode, translational motions along the X, Y, and Z axes; and 3T1R mode: translating in three directions and rotation about the Z-axis. The 3T mode is a special case of the 3T1R mode, when the mechanism fixes the revolute pair S 16 , the mechanism switches to the 3T mode.
Based on the three-dimensional diagram of the mechanism, the corresponding mechanism schematic is constructed, as illustrated in Figure 4b. The rotation center A 1 , A 2 , A 3 of the motion pair connected to the upper platform constitutes an equilateral triangle A 1 A 2 A 3 , which can be used as a virtual upper platform. The coordinate system O X Y Z is established at the center point of the triangle. The X-axis points to the point A 1 , and the Z-axis is perpendicular to the triangle plane. The rotation center B 1 , B 2 , B 3 of the kinematic pair connected to the lower platform constitutes an equilateral triangle B 1 B 2 B 3 , which can be used as an imaginary lower platform. The coordinate system O 1 X 1 Y 1 Z 1 is established at the center point of the triangle. The X1 axis points to the point B 1 , and the Z 1 axis is perpendicular to the triangle plane. The circumradii of the upper and lower platforms are a = 160 mm and b = 80 mm , and the initial distance h = 460 mm between the upper and lower platforms.
As shown in Figure 5, when the mechanism is in the initial position, the connection O O 1 of the center point of the upper and lower platforms is perpendicular to the upper and lower platforms, and the vertical distance is h . The s 11 , s 15 axes of the moving pair are along the X-axis direction, the s 16 , s 21 , s 25 , s 31 , s 35 axes are along the Z-axis direction, and the s 13 , s 23 , s 33 axes of the three moving pairs are from the A i point to the B i point. Because of s i 1 s i 2 , s i 2 s i 3 , the s 22 , s 32 axes of the kinematic pair are tangent to the circumcircle of the upper platform; similarly, the s 24 , s 34 axes are tangent to the circumcircle of the lower platform.

3. Degree of Freedom Analysis of the Reconfigurable Parallel Mechanism

3.1. UPU Limb Constraint Analysis

As shown in Figure 6, the UPU limb consists of five single-DOF kinematic pairs, and the axes of all kinematic pairs intersect in a straight line A i B i . The kinematic spiral system of the limb constitutes a fifth-order kinematic screw system with a constraint.
When the axes s i 1 and s i 5 of the revolute joint in the UPU limb are parallel to each other, the limb is only constrained by a constraint couple S i τ which is perpendicular to the plane composed of the axes s i 1 and s i 5 . According to the mechanical properties of a force couple, a force couple can be translated parallel without altering its constraint effect on the mechanism. Therefore, it can be assumed that this force couple S i τ passes through the coordinate origin O.
The kinematic screw system of the UPU limb:
S i = S i 1 = s i 1 ; 0 S i 2 = s i 2 ; O A i × s i 2 S i 3 = 0 ; s 13 S i 4 = s i 4 ; O B i × s i 4 S i 5 = s i 5 ; O B i × s i 5
The constraint couple can be expressed by the cross product of the axis s i 1 and s i 2 vector.
S i τ = 0 ; s i 1 × s i 2
In Equations (8) and (9), the symbol 0 represents zero vector, and this notation will be consistently used throughout the rest of the paper.
Combining the geometric condition (5), the vector s i j ( i = 1 3 , j = 1 5 ) is equal to:
s i 1 = s i 5 ; s i 3 = A i B i A i B i ; s i 2 = s i 4 = s i 1 × s i 3 s i 1 × s i 3 ;
The kinematic screw and constraint couple of the limb can be expressed by the coordinates of points A i , B i .

3.2. Degree of Freedom Analysis of Reconfigurable Parallel Mechanism

As shown in Figure 7, at the initial moment, the second and third limbs of the reconfigurable parallel mechanism provide two couple constraints S 2 τ and S 3 τ . The couple constraint S i τ is perpendicular to the plane formed by the axes s i 1 and s i 2 . Combined with the initial configuration, the axes s 21 and s 31 of the mechanism are perpendicular to the fixed platform A 1 A 2 A 3 triangle, and s 22 and s 32 are tangent to the circumcircle of A 1 A 2 A 3 . It can be determined that the direction of the constraint couple S i τ is from O point to A 2 and A 3 point. The constraint couples S 2 τ and S 3 τ are coplanarly distributed, forming a second-order constraint screw system, which restricts the two rotational degrees of freedom of the moving platform, so that it retains three degrees of freedom of translation and one degree of freedom of rotation around the Z-axis.
When the revolute joint S 16 of the RUPU branched chain is fixed, the branched chain provides a Z-axis couple constraint S 1 τ to the moving platform, which limits the rotation along the Z-axis, and the mechanism degenerates to the 3T mode.
Due to the instantaneous nature of the screw theory, the above analysis can only determine that the mechanism has 3T1R degrees of freedom at the initial position. In order to verify its motion continuity, an arbitrary displacement is applied along the direction of each degree of freedom under the initial configuration and judges the degree of freedom under the new configuration. If the degree of freedom remains 3T1R, the motion is proven to be continuous. If changed, it is proved that the motion is discontinuous.
The degree of freedom of the mechanism includes three translations and one rotation. In order to verify the continuity of motion, this paper divides it into two categories, translation and rotation, and applies arbitrary displacement along these two categories. By analyzing the state of the mechanism after motion, its continuity in the corresponding direction can be verified.

3.2.1. Verification of Moving Direction Continuity

As shown in Figure 8, when the moving platform B 1 B 2 B 3 translates in any direction, the direction and position of the revolute axes s 21 and s 31 directly connected to the fixed platform are unchanged; because the moving platform moves in parallel, the axes s 25 and s 35 of the revolute joint directly connected to the moving platform remain unchanged in direction. The axes s 21 and s 25 and s 31 and s 35 are always parallel, and the constraint couples remain unchanged.
Because the axis s 22 is perpendicular to s 21 and s 23 , after translating, point A 2 does not move and point B 2 displaces. Obviously, the direction of s 23 changes, resulting in a change in the direction of s 22 . Because s 22 is perpendicular to s 21 , and s 21 is perpendicular to A 1 A 2 A 3 , the axis s 22 is always in the plane A 1 A 2 A 3 ; s 2 τ is perpendicular to the s 21 s 22 plane, while the s 21 s 22 plane is always perpendicular to the A 1 A 2 A 3 plane; thus, s 2 τ is parallel to the A 1 A 2 A 3 plane. Similarly, it follows that s 3 τ is also parallel to the A 1 A 2 A 3 plane.
Assuming that s i τ passes through the A i point, it is deduced that s 2 τ and s 3 τ are always in the plane A 1 A 2 A 3 . Since s 22 and s 32 are always not parallel, s 2 τ and s 3 τ are always coplanar and not parallel, forming a constraint system of order 2 so that the moving platform has three continuous translations in the translating direction and one continuous rotation along the Z-axis.

3.2.2. Verification of Rotation Direction Continuity

As shown in Figure 9, when the moving platform B 1 B 2 B 3 rotates along the Z-axis, the axes s 25 and s 35 are parallel to the Z-axis; thus, the direction of s 25 and s 35 is unchanged after rotation; the axes s 21 and s 25 and s 31 and s 35 are always parallel, and the constraints remain unchanged. After rotation, s 2 τ and s 3 τ are always coplanar and not parallel, and the mechanism maintains translational continuity in the rotation direction.
Similarly, when the moving platform translates in any direction and rotates along the Z-axis, the axes s 21 and s 25 and s 31 and s 35 are always parallel, and the constraints remain unchanged. After rotation, s 2 τ and s 3 τ are always coplanar and the motion is continuous.
The analysis results demonstrate that the motion of the reconfigurable parallel mechanism with four degrees of freedom exhibits continuous motion characteristics.

4. Kinematics Analysis of Reconfigurable Parallel Mechanism

4.1. Analysis of Inverse Position Solution

The mapping between the actuated joint variables and the moving platform pose is established using the prismatic joints in the three limbs, and the revolute joint S 16 on the first limb is used as the actuated joint.
As shown in Figure 7, the initial coordinates of the center point A i of the U joint connected to the fixed platform in the O X Y Z coordinate system, and the initial coordinates of the center point B i 0 of the U joint connected to the moving platform in the O X Y Z coordinate system, where σ = π / 3 , h = 460 mm :
A 1 = a 0 0 T A 2 = a c o s ( σ ) a s i n ( σ ) 0 T A 3 = a c o s ( σ ) a s i n ( σ ) 0 T B 1 0 = b 0 h T B 2 0 = b c o s ( σ ) b s i n ( σ ) h T B 3 0 = b c o s ( σ ) b s i n ( σ ) h T
The rotation angle of the moving platform about the Z-axis is γ , and the corresponding rotation matrix is R z :
R z = cos ( γ ) sin ( γ ) 0 sin ( γ ) cos ( γ ) 0 0 0 1
The displacements of the moving platform along the X, Y, and Z axes are x, y, and z, respectively. The translation matrix is T:
T = x y z T
In the process of movement of the mechanism, the coordinates of the point B i :
B i = R z · B i 0 + T
The closed-loop vector method is used to solve the length of the driving rod:
l i = θ i 3 = A i B i = B i x A i x 2 + B i y A i y 2 + B i z A i z 2
The length l i of the driving rod of the mechanism can be obtained by the simultaneous formula (Equations (11)–(15)).
l 1 = x + b cos γ a 2 + y + b sin γ 2 + z + h 2 l 2 = a 2 + x b cos γ 2 3 b sin γ 2 2 + y 3 a 2 b sin γ 2 + 3 b cos γ 2 2 + z + h 2 l 3 = a 2 + x b cos γ 2 + 3 b sin γ 2 2 + y + 3 a 2 b sin γ 2 3 b cos γ 2 2 + z + h 2
When the revolute joint S 16 is used as the actuated joint, it is difficult to directly establish the analytical relationship between its rotation angle and the motion of the moving platform using the closed-loop vector method. Therefore, based on the geometric relationship between the kinematic pairs in a limb, this paper deduces the corresponding relationship between the rotation angle of the revolute joint and the pose variables of the moving platform.
As shown in Figure 10, the moving platform coordinate system O 1 X 1 Y 1 Z 1 first rotates at a certain angle along the Z-axis, and then moves a distance along the X-axis and the Y-axis to reach O 1 1 X 1 1 Y 1 1 Z 1 1 . The revolute joint axis s 15 is aligned with the X 1 1 axis. The axis s 13 is directed along the line connecting points A 1 and B 1 . Axis s 14 is perpendicular to both s 13 and s 15 . Axis s 12 is parallel to s 14 . Axis s 11 is perpendicular to both s 12 and s 16 .
As shown in Figure 10, s 11 , s 12 , s 13 and s 14 are projected in parallel to the X 1 O 1 Y 1 plane. Since s 11 and s 15 are parallel to the X 1 O 1 Y 1 plane, s 11 1 s 12 1 , s 14 1 s 15 are projected. Because of s 12 / / s 14 , after projection s 12 1 / / s 14 1 ; because of s 11 1 s 12 1 , s 14 1 s 15 , s 12 1 / / s 14 1 , so s 11 1 / / s 15 ; and s 11 1 / / s 11 , it follows that s 11 / / s 15 .
The included angle between axis s 15 before and after rotation represents the rotation angle γ of the moving platform. Similarly, the included angle between axis s 11 before and after rotation denotes the rotation angle α of the revolute pair S 16 . Finally, the rotation angle γ of the moving platform is equal to the rotation angle α of the revolute joint S 16 .
α = γ
As shown in Figure 10, when the rotation angle α of the revolute joint S 16 is equal to a fixed value, the PUPU limb becomes the UPU limb. At this time, the UPU limb will provide a couple constraint S 1 τ , which is perpendicular to s 11 , s 12 and not lying in the X O Y plane, and constraints S 2 τ and S 3 τ form a constraint system of order three, so that the degree of freedom of the moving platform is degraded to three degrees of freedom of translation, and the mechanism switches to 3T mode.
It can be demonstrated that the 2UPU/RUPU mechanism constitutes a reconfigurable parallel mechanism, capable of switching between the 3T mode and the 3T1R mode via the revolute joint S 16 .

4.2. Workspace Analysis

The motion ranges of all joints and the moving platform are defined as follows.
340 l i 600 mm     π / 2 α π / 2 400 x 400 mm 380 y 380 mm 120 z 180 mm π / 2 γ π / 2  
When the parameters of the mechanism are specified, the constraint equations of each actuated joint can be expressed as a function of the output parameters of the moving platform. The output parameters of the moving platform that meet the range of each actuated joint are obtained by the limit search method, and the output parameters are recorded to determine the mechanism workspace.
As shown in Figure 11a–c, the three-dimensional workspace, constructed form the displacement of the moving platform center x , y , z , shows that the center point increases with z displacement, and the reachable region of x , y increases.
As shown in Figure 11d–f, the four-dimensional workspace is composed of the displacement and rotation angle γ of the center point x , y , z of the moving platform. Because the second and third limbs of the parallel mechanism are symmetrical along first limb, the rotation angle of the moving platform along the Z-axis is symmetrical.
The absolute value of the maximum rotation angle of the mechanism at this working point is taken and converted into an angular value, which serves as the third coordinate axis. The z -displacement is taken as the fourth axis to obtain the workspace surfaces corresponding to different z-displacements. The rotation angle of the middle part of the working space plane of each z -displacement plane can be all up to 90 ° , and the rotation angle of the same z plane decreases gradually from the inside to the outside.

4.3. Full Jacobi Matrix Analysis

(1) Establishment of the constrained Jacobian matrix
The instantaneous motion screw S 0 of the moving platform in the O X Y Z coordinate system can be expressed as:
S 0 = w ; v = 0   0   γ ·   x ·   y ·   z · T = i = 1 3 ( j = 1 5 θ · i , j S i , j )
The reciprocal product of the force couple spiral S i τ and the instantaneous screw S 0 is made.
S i r S 0 = 0
Organized as
J c S 0 = J c v w = 0
J c = S 2 τ T S 3 τ T = 0 , s 2 τ T 0 , s 2 τ T
J c is a 2 × 6 matrix, which is the constraint Jacobian matrix of the mechanism. Each row J c represents a constraint couple imposed by a limb on the moving platform. The rank of J c should be 2. When the rank of J c is less than 2, the constraint spiral system of the moving platform is linearly related, the constraints on the moving platform are reduced accordingly, the degree of freedom of the moving platform increases, and the mechanism enters the constraint singular state.
(2) Establishment of the actuation Jacobian matrix
As shown in Figure 12, the moving pair axis s i 3 of the first, second and third branches intersects with the revolute joint axes s i 1 , s i 2 , s i 4 and s i 5 ( s 16 ) , respectively. When the actuated joint S i 3 is locked, the limb will introduce an additional force constraint S i 3 r , which passes through point A i towards another point, B i .
S i 3 r = s i 3 ; s i 3 0 = s i 3 ; O A i × s i 3
Taking the reciprocal product of the force constraint S i 3 r and the instantaneous screw S 0 .
S i 3 r ( S 0 θ · i 3 S i 3 ) = 0 S i 3 r S 0 = θ · i 3 S i 3 r S i 3
When the actuator pair S 16 of a limb is fixed, the limb will add a constraint couple S 1 τ .
The reciprocal product of the constraint couple S 1 τ and the instantaneous screw S 0 is made.
S 1 τ ( S 0 θ · i 6 S i 6 ) = 0 S 1 τ S 0 = θ · i 6 S 1 τ S 16  
Let the kinematic screw S 16 be defined as:
S 16 = 0 0 1 0 b 1 0 T
Driving Reciprocal Screw:
S 1 τ = 0 0 0 a 2 b 2 c 2 T
S 1 τ S 0 = 0   0   0   a 2   b 2   c 2 · x ·   y ·   z ·   0   0   γ · T = c 2 γ · θ · i 6 S 1 τ S 16 = α · S 1 τ S 16 = α · 0   0   0   a 2   b 2   c 2 · 0   b 1   0   0   0   1 T = c 2 α · S 1 τ S 0 = α · S 1 τ S 16 c 2 γ · = c 2 α · γ · = α ·
The value of b 1 in these Equations (26)–(28) depends on the position of S 16 , and the value of a 2 , b 2 , c 2 depends on the direction of S 1 τ .
The rotational angular velocity γ · of the moving platform is equal to the angular velocity α · of the revolute joint S 16 , the corresponding angular displacement obtained by integration is also identical, and the angular acceleration corresponding to the derivation is also the same. It can be obtained that the rotation law of the moving platform is consistent with that of the actuated joint S 16 .
This yields:
L · d = J d S 0 = J d v w
where
L · d = l 1 · l 2 · 0 α · S i 3 r S i 3 = s i 3 2 = 1 J d = S 13 r T / s 13 2 S 23 r T / s 23 2 S 33 r T / s 33 2 S 1 τ / S 1 τ S 16 = s 13 T , s 13 0 T s 23 T , s 23 0 T s 33 T , s 33 0 T 0   0   0   a / c   b / c   1
According to Equations (19), (29) and (30), it is observed that the elements in the fourth and fifth columns of the fourth row of matrix J d have no influence on the solution result L · d . Therefore, the fourth row of the matrix is replaced by 0   0   0   0   0   1 . When γ · = 0 , the calculated result is the driving speed in 3T mode.
J d is a 4 × 6 matrix, which is the actuation Jacobian matrix of the mechanism. Each row of J d represents a driving force or a couple imposed by a branched chain on the moving platform. J d represents the velocity mapping relationship between the output of the moving platform and the input of the actuated joint. The rank of J d should be 4. When the rank of J d is less than 4, the mechanism will have a driving singularity.
(3) Establishment of the full Jacobian matrix:
The constraint Jacobian matrix and the actuation Jacobian matrix are combined, and the full Jacobian matrix of the mechanism is
L · = J S 0 = J v ω l 1 · l 2 · l 3 · 0 0 α · = S 13 r T S 23 r T S 33 r T S 2 τ T S 3 τ T 0   0   0   0   0   1 · x · y · z · 0 0 γ ·
J = J d J c = S 13 r T S 23 r T S 33 r T S 2 τ T S 3 τ T 0   0   0   0   0   1 = s 13 T , s 13 0 T s 23 T , s 23 0 T s 33 T , s 33 0 T 0 , s 2 τ T 0 , s 3 τ T 0   0   0   0   0   1 L · = l 1 · l 2 · l 3 · 0 0 α ·
J is a 6 × 6 matrix, which is the full Jacobian matrix of the mechanism. If the rank of J c is equal to 2, the rank of J d is equal to 4, but the rank of J is less than 6, the mechanism is also a singular state.
Taking the determinant det ( J ) of matrix J , det ( J ) is an expression in terms of x , y , z , γ :
det ( J ) = f x y z α = f 1 g 1   ·   g 2   ·   g 3   ·   g 4   ·   g 5 f 1 = 2304000 4 cos γ 5 z 460 160 cos γ 2 x + x cos γ + y sin γ 200 g 1 = y + 80 cos γ + π 6 80 3 2 + x 80 cos γ π 3 + 80 2 g 2 = y 80 sin γ + π 3 + 80 3 2 + x 80 cos γ + π 3 + 80 2 g 3 = z 460 2 + y + 80 cos γ + π 6 80 3 2 + x 80 cos γ π 3 + 80 2 g 4 = z 460 2 + y 80 sin γ + π 3 + 80 3 2 + x 80 cos γ + π 3 + 80 2 g 5 = z 460 2 + x + 80 cos γ 160 2 + y + 80 sin γ 2
By setting det ( J 3 R ) = 0 , the singular points of the mechanism are determined. Based on the value range of γ , z , we obtain 4 cos γ 5 z 460 > 0 , which is then transformed into det ( J 3 R ) = 0 via 160 cos γ 2 x + x cos γ + y sin γ 200 = 0 .
As shown in Figure 13, regardless of the value of z , for any arbitrary value of rotation angle γ , x and y form a singular line, and all such singular lines collectively constitute a singular surface.

4.4. Dexterity Analysis

Dexterity characterizes the degree to which the output of the moving platform responds to the input supplied by the actuation rod.
(1) Dexterity calculation based on the velocity Jacobian matrix
The length l i and the angle α of the actuator joint are the functions of the displacement angle x , y , z , γ of the moving platform. Taking the total differential of l i and α yields the relationship between the linear and angular velocities of the actuation pairs and the moving platform
d l i d t = d l i d x x · + d l i d y y · + d l i d z z · + d l i d γ γ ·
The velocity Jacobian matrix J v is obtained.
l 1 · l 2 · l 3 · α · = J v x · y · z · γ · = l 1 x · l 1 y · l 1 z · l 1 γ · l 2 x · l 2 y · l 2 z · l 2 γ · l 3 x · l 3 y · l 3 z · l 3 γ · 0 0 0 1 x · y · z · γ ·
The above equation is abbreviated as:
L · = J Q v ·
J v is called the velocity Jacobian matrix, which reflects the velocity mapping relationship between the moving platform and the actuated joint.
Conversely, the speed of the moving platform can also be expressed as:
Q · = J v 1 L ·
During the movement of the mechanism, if the output parameters of the moving platform produce deviation Δ Q · , the input parameters of the actuated joints will also have corresponding deviation Δ L · .
Δ L · = J v Δ Q · Δ Q · = J v Δ 1 L ·
Two norms are taken at both ends of Formula (38). According to the compatibility property of matrix norm (i.e., A B A B ), we obtain:
Δ L · = J v Δ Q · J v Δ Q · Δ Q · = J v Δ 1 L · J v 1 Δ L ·
Starting from Δ L · = J v Δ Q · J v Δ Q · , both sides are divided by L · :
Δ L · L · J v Δ Q · L ·
And because Q · = J v 1 L · , so Q · J v 1 L · , that is 1 / L · J v 1 / Q · . By substituting into the above formula, the relative deviation relationship between Δ L · and Δ Q · can be obtained:
Δ L · L · J v J v 1 Δ Q · Q ·
In addition to the singular points, the velocity Jacobian matrix of the mechanism is invertible, and the condition number is:
k ( J v ) = J v J v 1 = δ max δ min
δ max and δ min are the largest and smallest eigenvalues of J v . Because k J v 0 , , the reciprocal of the condition number is used to describe the dexterity L C I :
L C I = 1 k J v
Among these L C I 0 , 1 , the larger the values of L C I , the better the motion performance of the mechanism. Conversely, the smaller the value of L C I , the poorer the motion performance. If L C I = 0 , a singularity exists at the corresponding configuration of the mechanism. If L C I = 1 , the mechanism achieves its optimal motion performance at that position.
When the rotation angle is a fixed value, the length l i of the three prismatic pairs will become a function of the translating x , y , z of the moving platform, and the velocity Jacobian matrix J v will degenerate into a third-order square matrix.
J v = l 1 x · l 1 y · l 1 z · l 2 x · l 2 y · l 2 z · l 3 x · l 3 y · l 3 z ·
The velocity Jacobian matrix J v is substituted into (43), as shown in Figure 14a,d,g, and the dexterity L C I v performance spectra γ = 0 , π / 3 , π / 3 are calculated respectively. The dexterity is taken as the third axis, and the z-displacement is taken as the fourth axis to obtain the dexterity spectra of different z -displacements. The dexterity surfaces under different z -displacements gradually become larger with x , y from outside to inside, and the middle part is the largest.
(2) Dexterity calculation based on the actuation Jacobian matrix.
When the rotation angle of the moving platform is fixed, the rotation speed w = 0 , L · d is directly determined by the first three rows and the first three columns of the actuation Jacobian matrix J d , and J d is simplified into a square matrix of three rows and three columns:
L · d = s 13 s 23 s 33 T
The simplified actuation Jacobian matrix J d is substituted into Formula (43) to obtain the dexterity L C I d of the corresponding angle.
It can be seen from Figure 14b,e,h that the distribution of dexterity calculated by the two methods in the workspace is the same.
(3) Comparison of dexterity calculated by the two methods
The ratio k γ = L C I v / L C I d is used to judge the difference in sensitivity between the two methods. The closer k γ is to 1, the closer L C I v and L C I d are.
As shown in Figure 14c,f,i, all points in the workspace correspond to k 1 , indicating that the two methods calculate the same dexterity.

4.5. Simulation Verification

This section verifies through simulation experiments that the rotation law of the moving platform of the reconfigurable parallel mechanism is equal to the rotation law of the revolute joint S 16 , and the motion of the moving platform is continuous.
In order to verify that the parallel mechanism is reconfigurable, the motion law of the moving platform of the mechanism is given, and the moving platform in the X, Y and Z directions runs according to the f 1 function law [23]. The rotational degree of freedom along the Z-axis is reconfigurable, and the mechanism will be in 3T mode when the revolute joint S 16 is fixed at any position. When S 16 is released, the mechanism is in 3T1R mode, and the switching between 3T and 3T1R modes is not affected by the position. To demonstrate this, the motion profile along this direction is defined as a piecewise function: the first function γ = f 2 runs for 2 s, the second function runs for 2 s with γ = 60 ° , and the third function γ = f 3 runs for 2 s.
The motion law of the moving platform in all directions is as follows:
x = f 1 ,   h 1 = 300   mm , Τ = 6   s y = f 1 ,   h 1 = 200   mm , Τ = 6   s z = f 1 ,   h 1 = 150   mm , Τ = 6   s 0 t < 2 γ = f 2 , h 3 = 60 ° Τ = 2   s 2 t < 4 γ = 60 ° 4 t < 6 γ = f 3 , h 3 = 60 ° Τ = 2   s
f 1 = 64   h 1 T 3 t 3 192   h 1 T 4 t 4 + 192   h 1 T 5 t 5 64   h 1 T 6 t 6 f 2 = 274   h 2 5 T 3 t 3 747   h 2 5 T 4 t 4 + 702   h 2 5 T 5 t 5 224   h 2 5 T 6 t 6 f 3 = h 3 + 174   h 3 5 T 3 t 3 597   h 3 5 T 4 t 4 + 642   h 3 5 T 5 t 5 224   h 3 5 T 6 t 6
Based on the inverse kinematics, the above motion function is applied to the moving platform, and the corresponding motion function of the measuring mechanism is verified by simulation.
As shown in Figure 15, a diagram of the three-dimensional simulation process of the reconfigurable parallel mechanism is presented. It can be observed that the motion of the mechanism follows a symmetrical pattern: the postures at 0 s and 6 s, 1 s and 5 s, and 2 s and 4 s correspond to each other, respectively. The mechanism is in its initial state at 0 s. The period from 0 to 3 s represents the forward stroke, while the period from 3 to 6 s represents the return stroke.
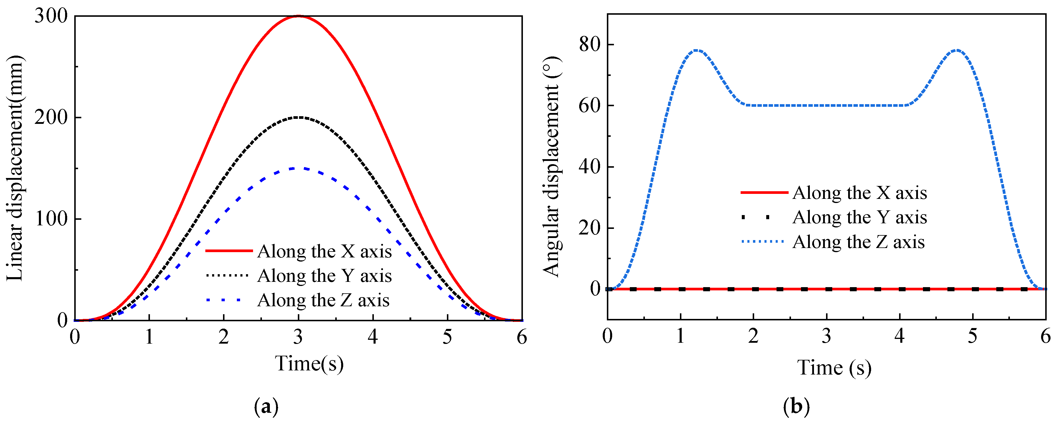
As shown in Figure 16a,b, after simulation, the displacement of the center point of the moving platform along each direction and the rotational displacement are measured. It can be seen from the figure that the moving platform translates 300 mm along the X-direction and returns to the origin, 200 mm along the Y-direction and returns to the origin, and 150 mm along the Z-axis direction and returns to the origin. It rotates 60 ° along the Z-direction from 0 to 2 s, maintains at 60 ° from 2 to 4 s, and returns from 60 ° to 0 ° from 4 to 6 s. As shown in Figure 16c,d, the corresponding linear velocity and angular velocity start and end points are equal to zero, and continuous and smooth, which conforms to the law of motion function of (46) and (47) formula.
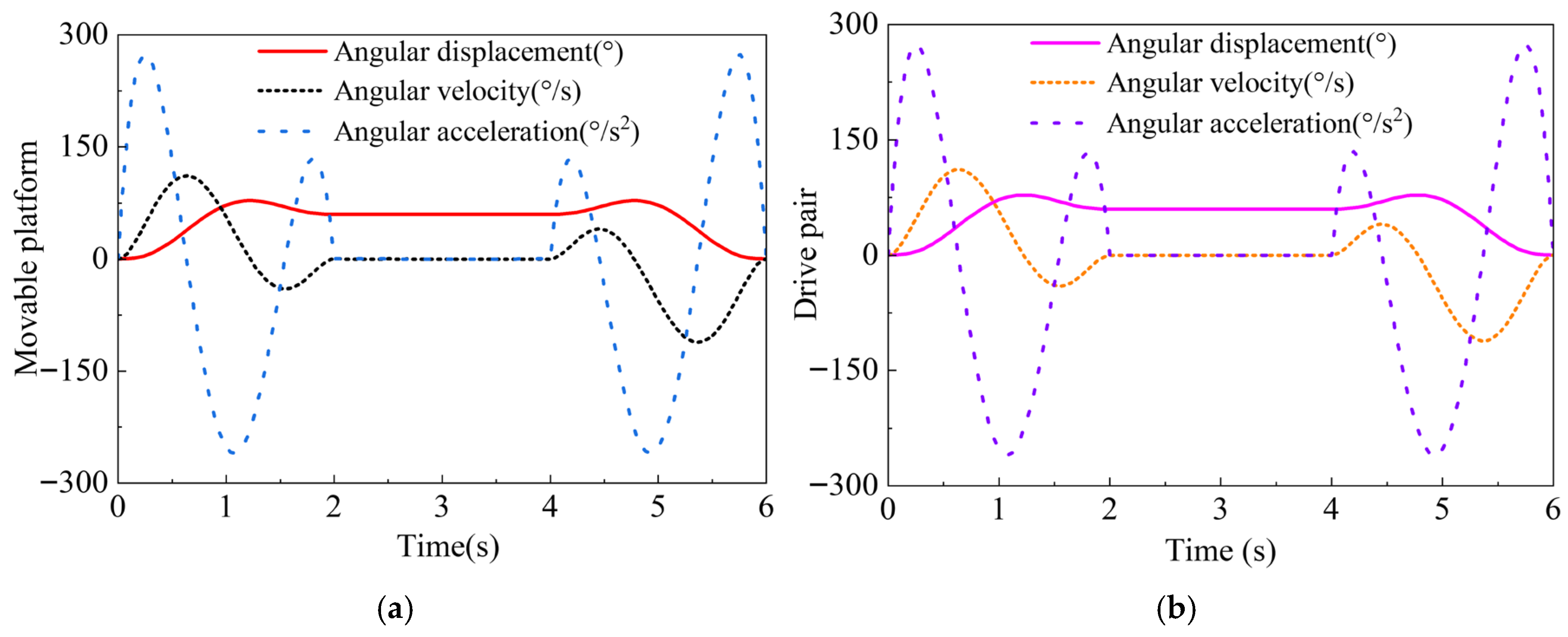
As shown in Figure 17, after simulation, by measuring the rotation law of the moving platform along the Z-axis and the rotation law of the revolute joint S 16 , it is found that the rotation angle, velocity, and acceleration of the moving platform and the revolute joint S 16 are equal. It is proved that the mechanism can realize the switching of two modes through the revolute joint S 16 .
As shown in Figure 18, the linear displacement and linear velocity of the moving actuated joint of the mechanism are measured. The curves are smooth and continuous, indicating that the driving function corresponding to the motion trajectory is good and can be used as the driving function of the actuated joint.
Through the above simulation experiments, it is verified that the parallel mechanism is a reconfigurable mechanism and that it maintains motion continuity.

5. Conclusions

The configuration synthesis and kinematic analysis of the reconfigurable parallel mechanism are carried out for three-translation (3T) and three-translation-one-rotation (3T1R) motion modes.
Based on the equivalent kinematic screw system, two kinds of branched chain configurations of UPU and RUPU are synthesized to meet the requirements. Finally, the RUPU/2UPU reconfigurable parallel mechanism is established by reasonably arranging the limb and its kinematic pair directions.
Using the geometric method of screw theory, according to the spatial geometric relationship between the axes of the UPU branched kinematic pair, the constraints of the branched chain and the degree of freedom of the mechanism are directly determined. By applying a displacement to the moving platform along each DOF direction, it is analyzed and verified that the degree of freedom of the mechanism remains unchanged before and after the movement, thus demonstrating that the mechanism has motion continuity in the direction of the degree of freedom. The geometric method is used to prove that the rotation angle of the moving platform is equal to the rotation angle of the rotating drive pair. The reconfigurability of the mechanism is realized by using this characteristic and verified using screw theory.
The workspace of the mechanism is analyzed, and the full Jacobian matrix is established. Based on this matrix, the reconfigurability and singularity of the mechanism were analyzed. The dexterity evaluation is conducted utilizing the velocity Jacobian matrix and the simplified driving Jacobian matrix, respectively. The results of the two methods are consistent, which confirms the reliability of the evaluation conclusions.
The number of degrees of freedom, motion continuity, and reconfigurable characteristics of the mechanism are verified by virtual simulation experiments, and the correctness of the theoretical analysis is confirmed.
The analysis ideas proposed in this paper are mainly applicable to the relatively simple configuration of the mechanism topology. For the reconfigurable parallel mechanism with complex topology, it is still challenging to establish the specific analytical expressions of its kinematic screw and constraint screw. Therefore, it will be the focus of follow-up research to construct a unified kinematics and dynamics performance analysis model suitable for all kinds of reconfigurable parallel mechanisms.

Author Contributions

Conceptualization, S.Q. and H.W.; Methodology, S.Q. and H.W.; Validation, S.F. and X.T.; Formal analysis, Z.Q. and W.Y.; Investigation, Z.Q. and W.Y.; Data curation, C.L. and S.G.; Writing—original draft, S.F.; Writing—review and editing, S.Q.; Supervision, S.Q.; Project administration, S.Q.; Funding acquisition, S.Q. All authors have read and agreed to the published version of the manuscript.

Funding

This work was supported by Shanxi Provincial Education Science 14th Five-Year Plan Project (GH-230179); the Central Government-Guided Local Development Fund Project, (No. YDZJSX2025D042); the Basic Research Program of Shanxi Province, (No. 202503021211112); the State Key Laboratory of CAD &CG, Zhejiang University, China (Grant No. A2325).

Data Availability Statement

The original contributions presented in the study are included in the article; further inquiries can be directed to the corresponding author.

Conflicts of Interest

The authors declare no conflicts of interest.

References

  1. Kang, X.; Dai, J.D. Theoretical difficulties and research progress of mechanism reconfiguration in mechanisms. China Mech. Eng. 2020, 31, 57–71. [Google Scholar]
  2. Wang, L.; Zhang, J.W.; Zhang, D. A Review on Reconfigurable Parallel Mechanisms: Design, Analysis and Challenge. Engineering 2025, 47, 100–116. [Google Scholar] [CrossRef]
  3. Zhang, W.; Lu, S.; Ding, X. Recent development on innovation design of reconfigurable mechanisms in China. Front. Mech. Eng. 2019, 14, 15–20. [Google Scholar] [CrossRef]
  4. Li, J.; Wu, G.L.; Shen, H.P.; Muller, A.; Liu, A.; Yang, T.-L. Topology of robotic mechanisms: Framework and mathematics methods—In conjunction with a review of four original theories. Mech. Mach. Theory 2022, 175, 104895. [Google Scholar] [CrossRef]
  5. Yu, H.Y.; Zeng, Z.Y.; Guo, Z. Type synthesis method of lower-mobility metamorphic parallel mechanism. J. Harbin Inst. Technol. 2018, 50, 42–49. [Google Scholar]
  6. Wang, R.G.; Sun, J.X.; Dai, J.S. Research on the metamorphic equation of the metamorphic mechanism based on genetic gene theory. Mach. Des. Res. 2019, 35, 75–80+86. [Google Scholar]
  7. Li, D.; Yuan, Y.; Jiao, J.; Wang, W.; Fan, L.; Cai, J. Reconfigurable Parallel Mechanism with Metamorphic Diamond-like Chain: Design and Mode Switching. Chin. J. Mech. Eng. 2025, 38, 156. [Google Scholar] [CrossRef]
  8. Tian, C.; Zhang, D.; Tang, H.; Wu, C. Structure synthesis of reconfigurable generalized parallel mechanisms with configurable platforms. Mech. Mach. Theory 2021, 160, 104281. [Google Scholar] [CrossRef]
  9. Huang, G.; Zhang, D.; Zou, Q.; Ye, W.; Kong, L. Analysis and design method of a class of reconfigurable parallel mechanisms by using the reconfigurable platform. Mech. Mach. Theory 2023, 181, 105215. [Google Scholar] [CrossRef]
  10. Xu, Y.; Liang, Z.; Liu, J. A new metamorphic parallel leg mechanism with reconfigurable moving platform. Math. Probl. Eng. 2020, 2020, 3234969. [Google Scholar] [CrossRef]
  11. Kuang, Y.; Qu, H.; Li, X.; Wang, X.; Guo, S. Design and singularity analysis of a parallel mechanism with origami-inspired reconfigurable 5R closed-loop linkages. Robotica 2024, 42, 1861–1884. [Google Scholar] [CrossRef]
  12. Ye, W.; Chai, X.; Zhang, K. Kinematic modeling and optimization of a new reconfigurable parallel mechanism. Mech. Mach. Theory 2020, 149, 103850. [Google Scholar] [CrossRef]
  13. Li, D.; Jia, P.; Li, J.; Zhang, D.; Kong, X. Constraint and mobility change analysis of Rubik’s cube-inspired reconfigurable pairs and corresponding parallel mechanisms. Chin. J. Mech. Eng. 2020, 33, 81. [Google Scholar] [CrossRef]
  14. Chai, C.; Li, R.; Ning, F.; Li, Y. Motion branch transformation of 3(Rc)PU parallel mechanism with reconfigurable pair and kinematic performance index. Appl. Sci. 2024, 14, 5569. [Google Scholar] [CrossRef]
  15. Hu, X.; Liu, H. Design and analysis of full-configuration decoupled actuating reconfigurable parallel spherical pair. J. Mech. Sci. Technol. 2022, 36, 933–945. [Google Scholar] [CrossRef]
  16. Wang, R.Q.; Kang, X.; Dai, J.S. A novel reconfigurable spherical pair based on linear independence of screws and its resultant metamorphic mechanisms. Mech. Mach. Theory 2021, 164, 104351. [Google Scholar] [CrossRef]
  17. Wei, J.; Dai, J.S. Reconfiguration-aimed and manifold-operation-based type synthesis of metamorphic parallel mechanisms with motion between 1R2T and 2R1T. Mech. Mach. Theory 2019, 139, 66–80. [Google Scholar] [CrossRef]
  18. Wei, J.; Yu, B.; Liu, C.L.; Song, J.; Zhang, J.; Meng, C. Grassmann line-geometry-based configuration synthesis of equivalent UU parallel mechanisms with two virtual centers of motion. Mech. Mach. Theory 2023, 181, 105208. [Google Scholar] [CrossRef]
  19. Yu, J.G.; Liu, X.J.; Ding, X.L.; Dai, J.S. Mathematical Foundation of Robotic Mechanism; China Machine Press: Beijing, China, 2008; pp. 32–34+124+169+193. [Google Scholar]
  20. Zhang, W.Z.; Feng, S.J.; Yuan, X.H.; Shun, P.; Yang, C.; Lu, Y.B. Kinematic Analysis and Performance Optimization of a 2-PRU-PRRPa Parallel Mechanism. Trans. Chin. Soc. Agric. Mach. 2025, 56, 497–506. [Google Scholar]
  21. Feng, S.; Qu, S.; Li, R.; Yao, W.; Ma, C. Design of a 3 (rU) PU Metamorphic Parallel Mechanism Based on VariableAxis Kinematic Pairs. China Mech. Eng. 2026, 37, 361–373. [Google Scholar]
  22. Luo, Z.M.; Li, Y.W.; Peng, H.X.; Huo, W.H.; Chen, Z.M. Singular Properties research on 3-RRS Parallel Mechanism. J. Mech. Eng. 2023, 59, 33–45. [Google Scholar]
  23. Xiang, Y.; Li, Q.; Jiang, X. Dynamic rotational trajectory planning of a cable-driven parallel robot for passing through singular orientations. Mech. Mach. Theory 2021, 158, 104223. [Google Scholar] [CrossRef]
Figure 1. Constraints on the mechanism’s moving platform.
Figure 1. Constraints on the mechanism’s moving platform.
Mathematics 14 01205 g001
Figure 2. The distribution diagram of the kinematic pairs of the second limb.
Figure 2. The distribution diagram of the kinematic pairs of the second limb.
Mathematics 14 01205 g002
Figure 3. The distribution diagram of the kinematic pairs of the reconfigurable limb.
Figure 3. The distribution diagram of the kinematic pairs of the reconfigurable limb.
Mathematics 14 01205 g003
Figure 4. 2UPU/RUPU reconfigurable parallel mechanism: (a) Three-dimensional figure; (b) chematic diagram.
Figure 4. 2UPU/RUPU reconfigurable parallel mechanism: (a) Three-dimensional figure; (b) chematic diagram.
Mathematics 14 01205 g004
Figure 5. Top-view diagram of reconfigurable parallel mechanism.
Figure 5. Top-view diagram of reconfigurable parallel mechanism.
Mathematics 14 01205 g005
Figure 6. UPU limb: (a) Three-dimensional figure; (b) schematic diagram.
Figure 6. UPU limb: (a) Three-dimensional figure; (b) schematic diagram.
Mathematics 14 01205 g006
Figure 7. Reconfigurable parallel mechanism diagram.
Figure 7. Reconfigurable parallel mechanism diagram.
Mathematics 14 01205 g007
Figure 8. The mechanism diagram after the moving platform translates in any direction.
Figure 8. The mechanism diagram after the moving platform translates in any direction.
Mathematics 14 01205 g008
Figure 9. The mechanism diagram of the moving platform after rotating along the Z-axis.
Figure 9. The mechanism diagram of the moving platform after rotating along the Z-axis.
Mathematics 14 01205 g009
Figure 10. Working diagram of the revolute joint S 16 .
Figure 10. Working diagram of the revolute joint S 16 .
Mathematics 14 01205 g010
Figure 11. Reconfigurable parallel mechanism workspace: (a) three-dimensional workspace diagram; (b) top view of the 3D workspace; (c) bottom view of the 3D workspace; (d) four-dimensional workspace diagram; (e) top view of the 4D workspace; (f) bottom view of the 4D workspace.
Figure 11. Reconfigurable parallel mechanism workspace: (a) three-dimensional workspace diagram; (b) top view of the 3D workspace; (c) bottom view of the 3D workspace; (d) four-dimensional workspace diagram; (e) top view of the 4D workspace; (f) bottom view of the 4D workspace.
Mathematics 14 01205 g011
Figure 12. Mechanism diagram of locking drive pair.
Figure 12. Mechanism diagram of locking drive pair.
Mathematics 14 01205 g012
Figure 13. Singular surface of the reconfigurable parallel mechanism. (a) Three-dimensional view; (b) top view.
Figure 13. Singular surface of the reconfigurable parallel mechanism. (a) Three-dimensional view; (b) top view.
Mathematics 14 01205 g013
Figure 14. The dexterity of the reconfigurable parallel mechanism under different rotation angles: (a) using the velocity Jacobian matrix, the dexterity index L C I v at γ = 0 is computed; (b) using the actuation Jacobian matrix, the dexterity index L C I d at γ = 0 ; (c) the ratio k 0 between dexterity L C I v and dexterity L C I d at γ = 0 is calculated using two methods; (d) using the velocity Jacobian matrix, the dexterity index L C I v at γ = π / 3 is computed; (e) using the actuation Jacobian matrix, the dexterity index L C I d at γ = π / 3 ; (f) the ratio k π / 3 between dexterity L C I v and dexterity L C I d at γ = π / 3 is calculated using two methods; (g) using the velocity Jacobian matrix, the dexterity index L C I v at a γ = π / 3 is computed; (h) using the actuation Jacobian matrix, the dexterity index L C I d at a γ = π / 3 ; (i) the ratio k π / 3 between dexterity L C I v and dexterity L C I d at γ = π / 3 is calculated using two methods.
Figure 14. The dexterity of the reconfigurable parallel mechanism under different rotation angles: (a) using the velocity Jacobian matrix, the dexterity index L C I v at γ = 0 is computed; (b) using the actuation Jacobian matrix, the dexterity index L C I d at γ = 0 ; (c) the ratio k 0 between dexterity L C I v and dexterity L C I d at γ = 0 is calculated using two methods; (d) using the velocity Jacobian matrix, the dexterity index L C I v at γ = π / 3 is computed; (e) using the actuation Jacobian matrix, the dexterity index L C I d at γ = π / 3 ; (f) the ratio k π / 3 between dexterity L C I v and dexterity L C I d at γ = π / 3 is calculated using two methods; (g) using the velocity Jacobian matrix, the dexterity index L C I v at a γ = π / 3 is computed; (h) using the actuation Jacobian matrix, the dexterity index L C I d at a γ = π / 3 ; (i) the ratio k π / 3 between dexterity L C I v and dexterity L C I d at γ = π / 3 is calculated using two methods.
Mathematics 14 01205 g014
Figure 15. Three-dimensional simulation diagram of the reconfigurable parallel mechanism.
Figure 15. Three-dimensional simulation diagram of the reconfigurable parallel mechanism.
Mathematics 14 01205 g015
Figure 16. Motion law of moving platforms. (a) Moving line displacement of moving platform; (b) rotating angular displacement of moving platform; (c) the moving speed of the moving platform; (d) rotating angular velocity of moving platform.
Figure 16. Motion law of moving platforms. (a) Moving line displacement of moving platform; (b) rotating angular displacement of moving platform; (c) the moving speed of the moving platform; (d) rotating angular velocity of moving platform.
Mathematics 14 01205 g016aMathematics 14 01205 g016b
Figure 17. Motion law of moving platform and revolute joint S 16 . (a) Rotation law of the moving platform along the Z-axis; (b) rotation law of the revolute joint.
Figure 17. Motion law of moving platform and revolute joint S 16 . (a) Rotation law of the moving platform along the Z-axis; (b) rotation law of the revolute joint.
Mathematics 14 01205 g017
Figure 18. The motion law of the actuated joint (prismatic joint). (a) Displacement function curve of the actuated joint; (b) velocity function curve of the actuator joint.
Figure 18. The motion law of the actuated joint (prismatic joint). (a) Displacement function curve of the actuated joint; (b) velocity function curve of the actuator joint.
Mathematics 14 01205 g018
Disclaimer/Publisher’s Note: The statements, opinions and data contained in all publications are solely those of the individual author(s) and contributor(s) and not of MDPI and/or the editor(s). MDPI and/or the editor(s) disclaim responsibility for any injury to people or property resulting from any ideas, methods, instructions or products referred to in the content.

Share and Cite

MDPI and ACS Style

Qu, S.; Wang, H.; Feng, S.; Tian, X.; Qian, Z.; Yao, W.; Li, C.; Gao, S. Configuration Design and Kinematic Analysis of RUPU/2UPU Reconfigurable Parallel Mechanism. Mathematics 2026, 14, 1205. https://doi.org/10.3390/math14071205

AMA Style

Qu S, Wang H, Feng S, Tian X, Qian Z, Yao W, Li C, Gao S. Configuration Design and Kinematic Analysis of RUPU/2UPU Reconfigurable Parallel Mechanism. Mathematics. 2026; 14(7):1205. https://doi.org/10.3390/math14071205

Chicago/Turabian Style

Qu, Shuwei, Hongfu Wang, Shengquan Feng, Xiaoguang Tian, Zhike Qian, Wei Yao, Chaochao Li, and Shenlin Gao. 2026. "Configuration Design and Kinematic Analysis of RUPU/2UPU Reconfigurable Parallel Mechanism" Mathematics 14, no. 7: 1205. https://doi.org/10.3390/math14071205

APA Style

Qu, S., Wang, H., Feng, S., Tian, X., Qian, Z., Yao, W., Li, C., & Gao, S. (2026). Configuration Design and Kinematic Analysis of RUPU/2UPU Reconfigurable Parallel Mechanism. Mathematics, 14(7), 1205. https://doi.org/10.3390/math14071205

Note that from the first issue of 2016, this journal uses article numbers instead of page numbers. See further details here.

Article Metrics

Back to TopTop