A Mathematical Model for Electro-Magnetohydrodynamic Cavitation Bubbles near a Rigid Wall
Abstract
1. Introduction
2. Physical Configuration and Modeling Assumptions
3. Derivation of the Governing Equations
3.1. Electric Stress at the Cavitation Bubble Interface
3.2. Magnetic Damping Force
3.3. Electric Pressure Due to Surface Charge
3.4. Wall-Induced Hydrodynamic Interaction
3.5. Keller–Miksis Equation in Electromagnetic Field
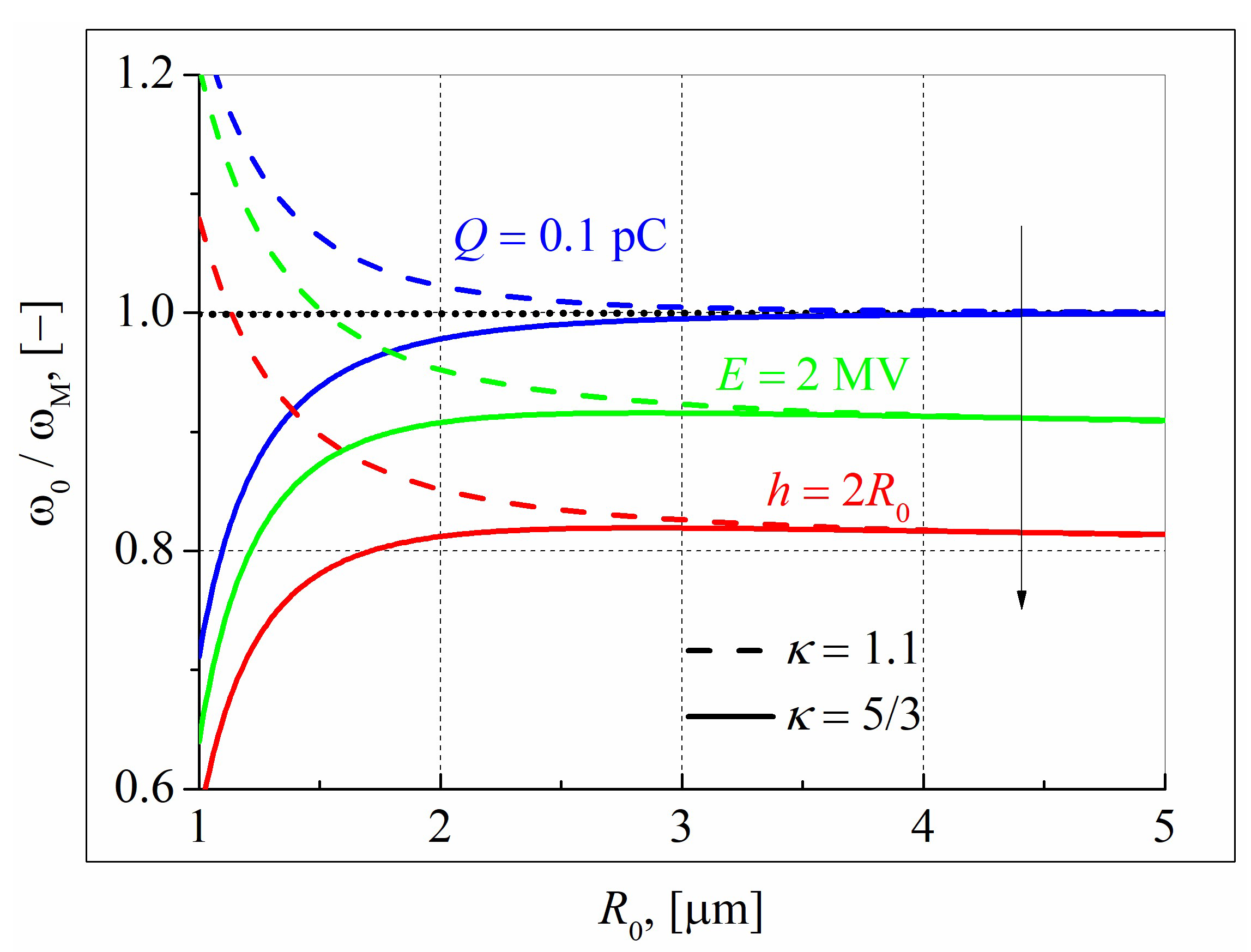
4. Linear Stability and Small-Amplitude Oscillation Analysis
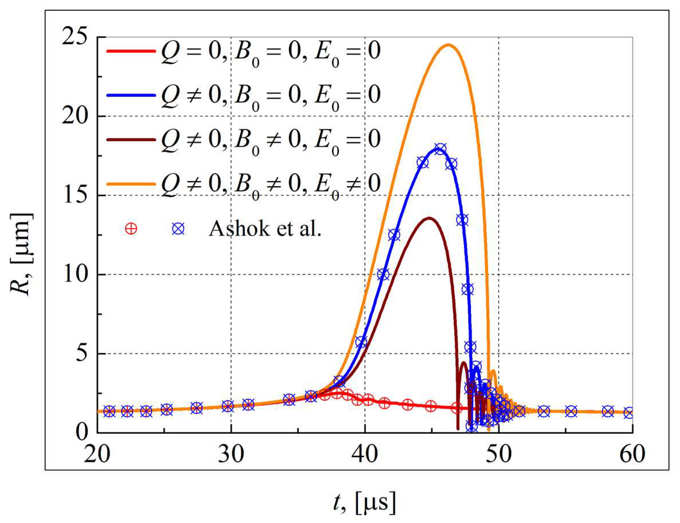
5. Numerical Scheme and Model Validation
6. Results and Discussion
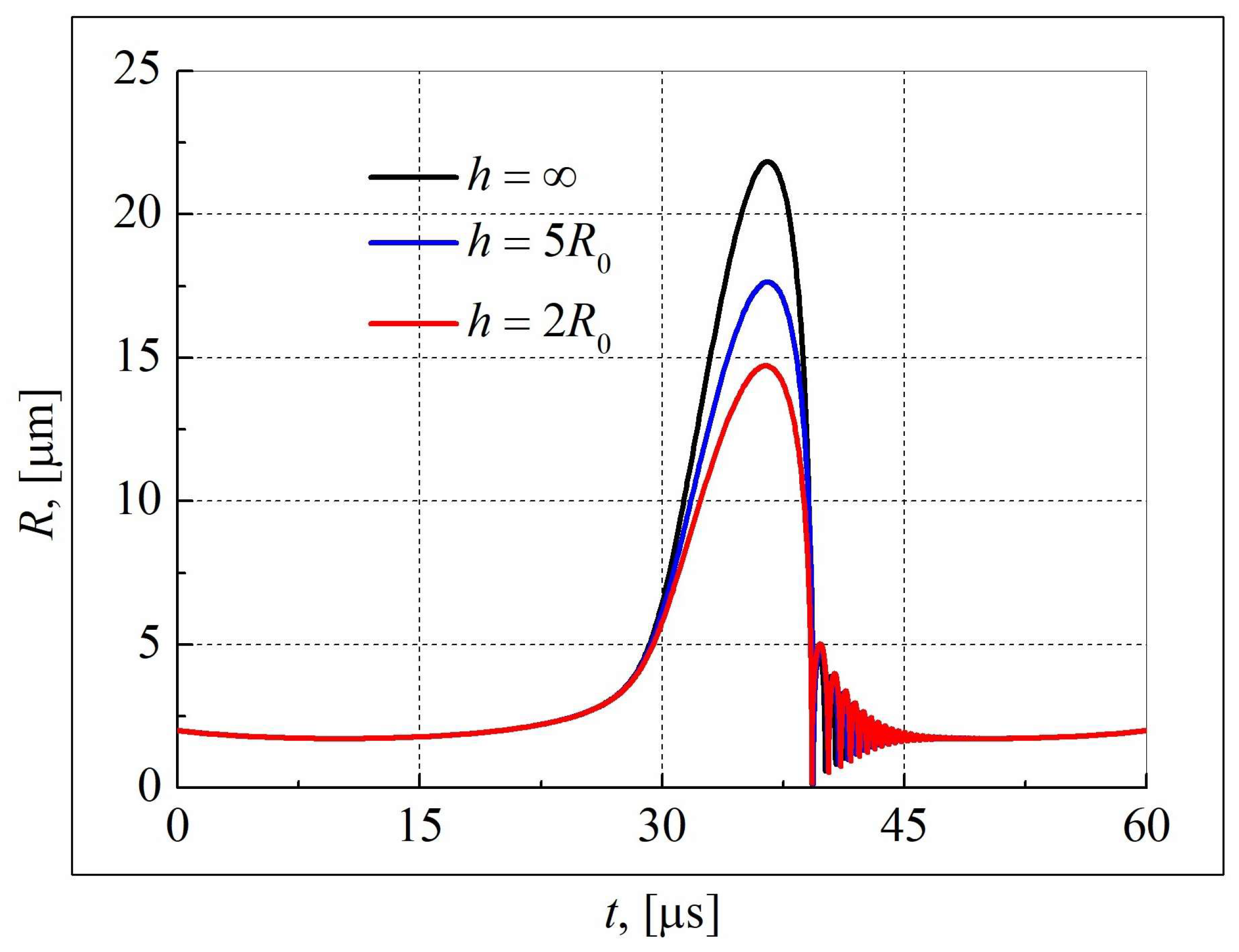
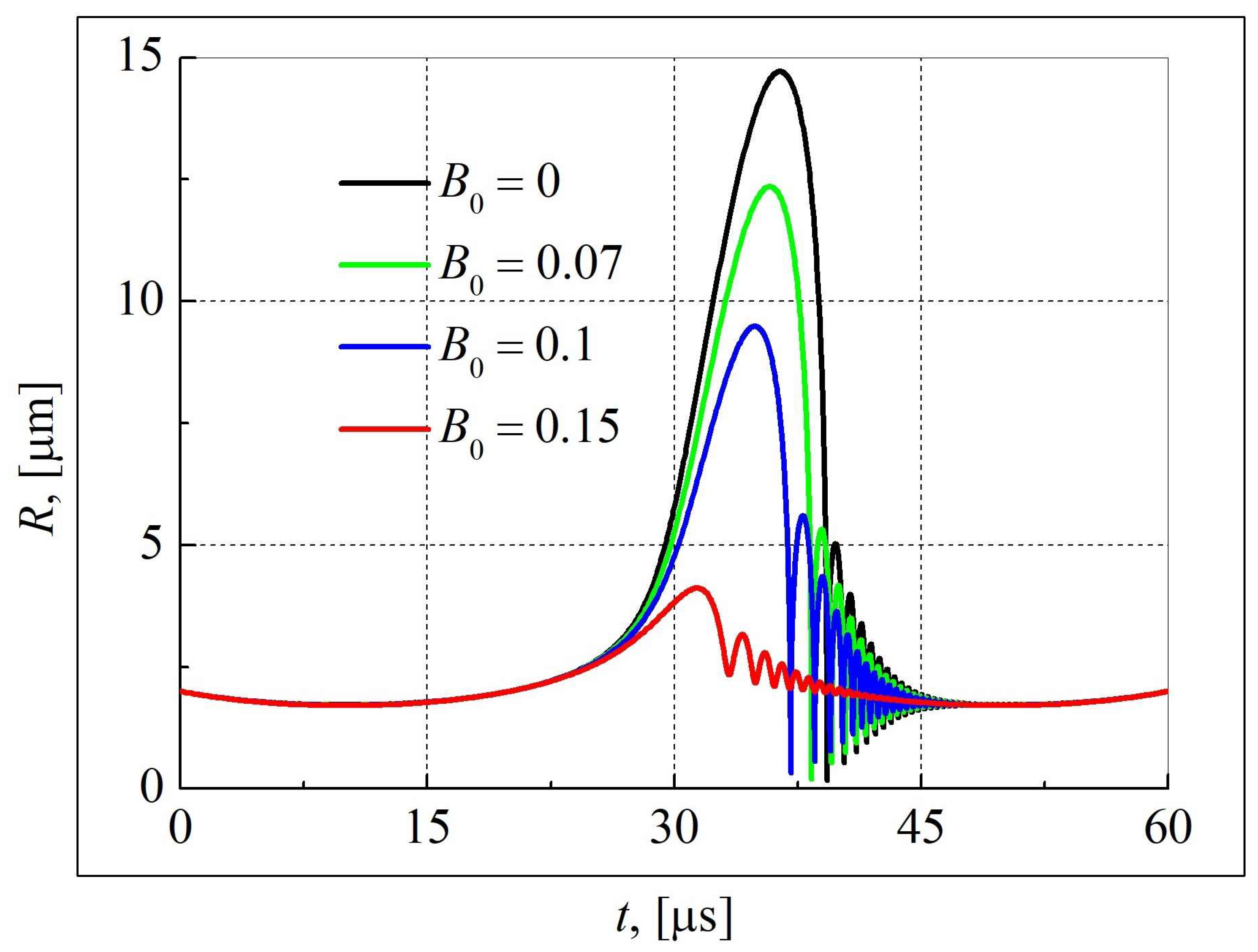
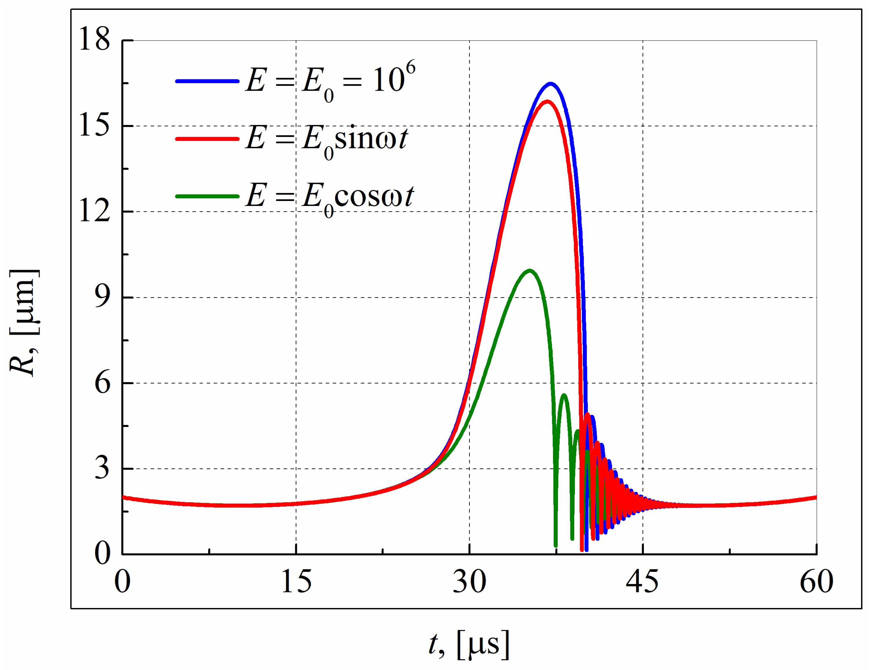
6.1. Parametric Effects on Nonlinear Radial Oscillations
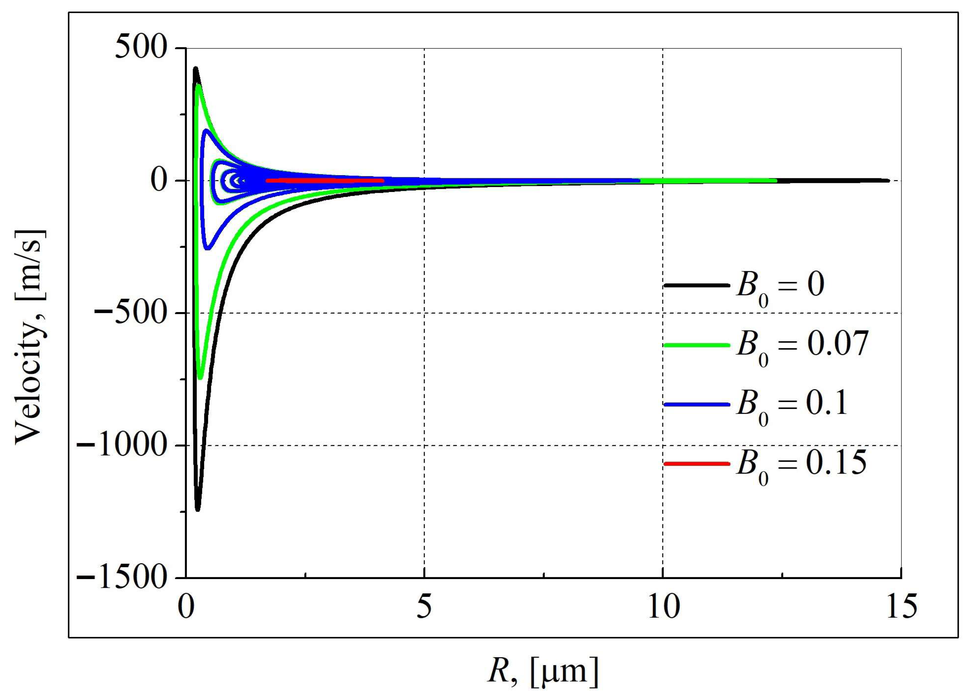
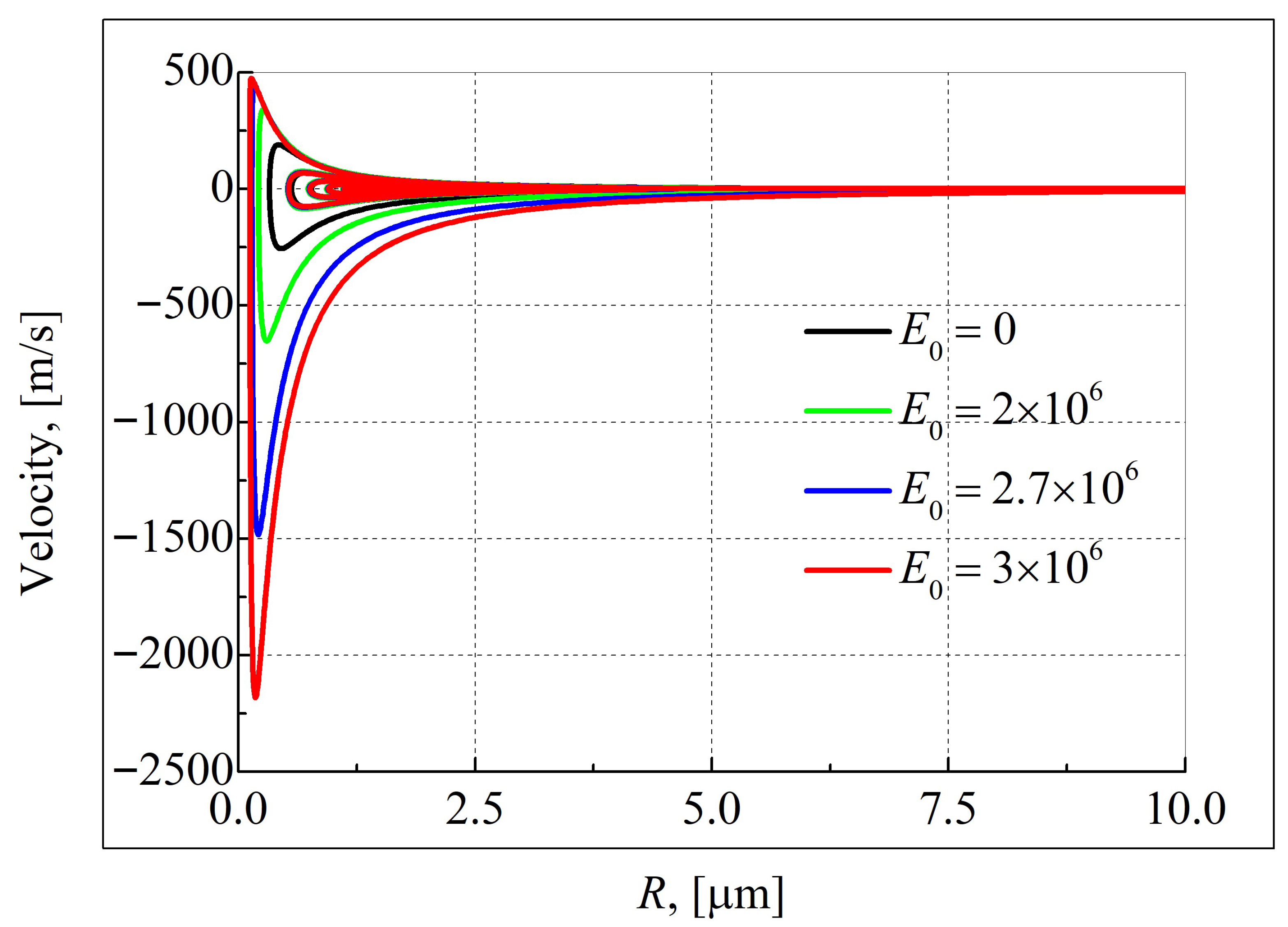
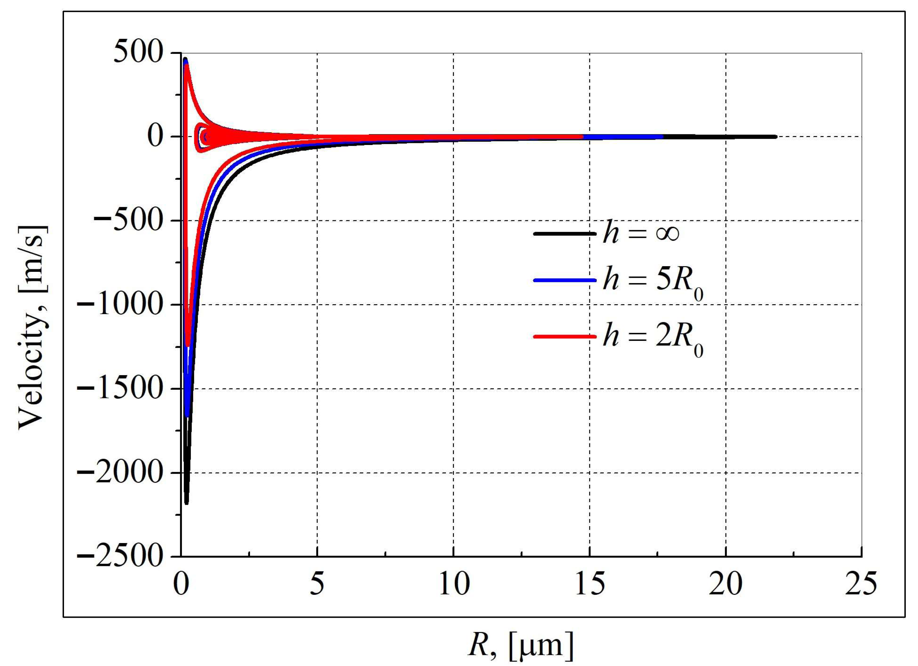
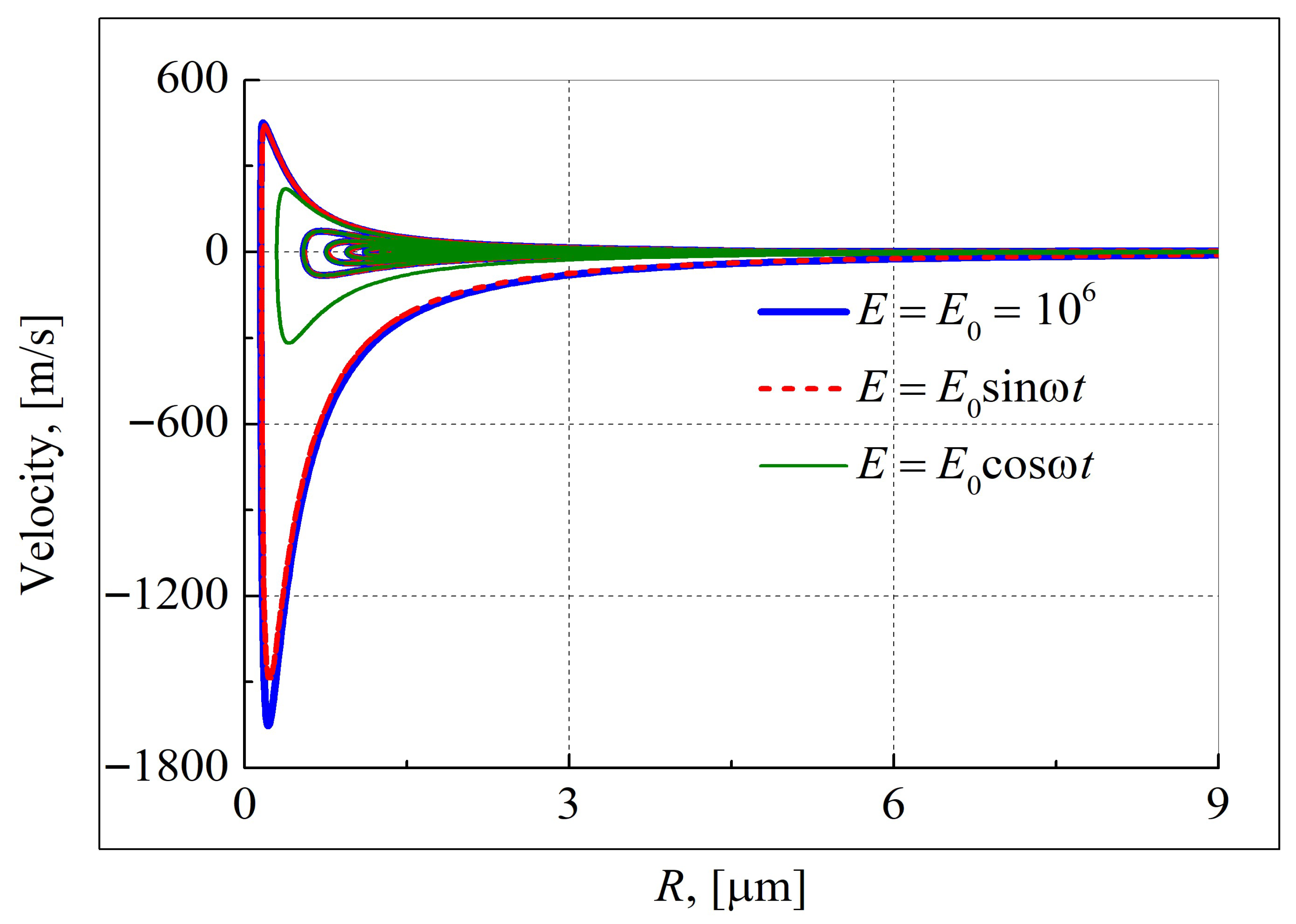
6.2. Velocity–Radius Phase Portrait Analysis
7. Conclusions and Outlook
Author Contributions
Funding
Data Availability Statement
Acknowledgments
Conflicts of Interest
Appendix A. Dimensional Consistency and Classical Limits
Appendix A.1. Dimensional Consistency
Appendix A.2. Classical Limits
References
- Unger, E.C.; Matsunaga, T.O.; McCreery, T.; Schumann, P.; Sweitzer, R.; Quigley, R. Therapeutic Applications of Microbubbles. Eur. J. Radiol. 2002, 42, 160–168. [Google Scholar] [CrossRef]
- Coussios, C.C.; Roy, R.A. Applications of Acoustics and Cavitation to Noninvasive Therapy and Drug Delivery. Annu. Rev. Fluid Mech. 2008, 40, 395–420. [Google Scholar] [CrossRef]
- Mayer, C.R.; Bekeredjian, R. Ultrasonic Gene and Drug Delivery to the Cardiovascular System. Adv. Drug Deliv. Rev. 2008, 60, 1177–1192. [Google Scholar] [CrossRef]
- Ramaswamy, K.; Marx, V.; Laser, D.; Kenny, T.; Chi, T.; Bailey, M.; Sorensen, M.D.; Grubbs, R.H.; Stoller, M.L. Targeted Microbubbles: A Novel Application for the Treatment of Kidney Stones. BJU Int. 2015, 116, 9–16. [Google Scholar] [CrossRef]
- Pishchalnikov, Y.A.; Sapozhnikov, O.A.; Bailey, M.R.; Williams, J.C., Jr.; Cleveland, R.O.; Colonius, T.; Crum, L.A.; Evan, A.P.; McAteer, J.A. Cavitation Bubble Cluster Activity in the Breakage of Kidney Stones by Lithotripter Shockwaves. J. Endourol. 2003, 17, 435–446. [Google Scholar] [CrossRef]
- Pishchalnikov, Y.A.; Behnke-Parks, W.M.; Schmidmayer, K.; Maeda, K.; Colonius, T.; Kenny, T.W.; Laser, D.J. High-Speed Video Microscopy and Numerical Modeling of Bubble Dynamics near a Surface of Urinary Stone. J. Acoust. Soc. Am. 2019, 146, 516. [Google Scholar] [CrossRef]
- Mohamed, K.G.; Mohammadein, S.A.; Abu-Nab, A.K. Effect of Suction Process on the Growth of a Convective Gas Bubble in Diver’s Tissues. Int. J. Biomath. 2022, 16, 2250077. [Google Scholar] [CrossRef]
- Zupanc, M.; Kosjek, T.; Petkovšek, M.; Dular, M.; Kompare, B.; Širok, B.; Blažeka, Ž.; Heath, E. Removal of Pharmaceuticals from Wastewater by Biological Processes, Hydrodynamic Cavitation and UV Treatment. Ultrason. Sonochem. 2013, 20, 1104–1112. [Google Scholar] [CrossRef]
- Reuter, F.; Mettin, R. Mechanisms of Single Bubble Cleaning. Ultrason. Sonochem. 2016, 29, 550–562. [Google Scholar] [CrossRef]
- Zhang, D.; Gökce, B.; Barcikowski, S. Laser Synthesis and Processing of Colloids: Fundamentals and Applications. Chem. Rev. 2017, 117, 3990–4103. [Google Scholar] [CrossRef]
- Rayleigh, L., VIII. On the Pressure Developed in a Liquid during the Collapse of a Spherical Cavity. Lond. Edinb. Dublin Philos. Mag. J. Sci. 1917, 34, 94–98. [Google Scholar] [CrossRef]
- Plesset, M.S. The Dynamics of Cavitation Bubbles. J. Appl. Mech. 1949, 16, 277–282. [Google Scholar] [CrossRef]
- Fuster, D. A Review of Models for Bubble Clusters in Cavitating Flows. Flow Turbul. Combust. 2019, 102, 497–536. [Google Scholar] [CrossRef]
- Blake, J.R.; Taib, B.B.; Doherty, G. Transient Cavities near Boundaries. Part 1. Rigid Boundary. J. Fluid Mech. 1986, 170, 479–497. [Google Scholar] [CrossRef]
- Chahine, G.L.; Kapahi, A.; Choi, J.-K.; Hsiao, C.-T. Modeling of Surface Cleaning by Cavitation Bubble Dynamics and Collapse. Ultrason. Sonochem. 2016, 29, 528–549. [Google Scholar] [CrossRef] [PubMed]
- Supponen, O.; Obreschkow, D.; Tinguely, M.; Kobel, P.; Dorsaz, N.; Farhat, M. Scaling Laws for Jets of Single Cavitation Bubbles. J. Fluid Mech. 2016, 802, 263–293. [Google Scholar] [CrossRef]
- Fourest, T.; Deletombe, E.; Faucher, V.; Arrigoni, M.; Dupas, J.; Laurens, J.-M. Comparison of Keller–Miksis Model and Finite Element Bubble Dynamics Simulations in a Confined Medium. Application to the Hydrodynamic Ram. Eur. J. Mech. B Fluids 2018, 68, 66–75. [Google Scholar] [CrossRef]
- Keller, J.B.; Miksis, M. Bubble Oscillations of Large Amplitude. J. Acoust. Soc. Am. 1980, 68, 628–633. [Google Scholar] [CrossRef]
- Keller, J.B.; Kolodner, I.I. Damping of Underwater Explosion Bubble Oscillations. J. Appl. Phys. 1956, 27, 1152–1161. [Google Scholar] [CrossRef]
- Abu-Nab, A.K.; Mohamed, K.G.; Abu-Bakr, A.F. Microcavitation Dynamics in Viscoelastic Tissue during Histotripsy Process. J. Phys. Condens. Matter 2022, 34, 304005. [Google Scholar] [CrossRef]
- Petrov, A.G.; Fedorov, Y.V. Steady-State Amplitude of an Encapsulated Gas Bubble Radial Oscillations at Resonance. Appl. Math. Model. 2026, 155, 116719. [Google Scholar] [CrossRef]
- Plesset, M.S.; Chapman, R.B. Collapse of an Initially Spherical Vapour Cavity in the Neighbourhood of a Solid Boundary. J. Fluid Mech. 1971, 47, 283–290. [Google Scholar] [CrossRef]
- Lauterborn, W.; Bolle, H. Experimental Investigations of Cavitation-Bubble Collapse in the Neighbourhood of a Solid Boundary. J. Fluid Mech. 1975, 72, 391. [Google Scholar] [CrossRef]
- Koch, M.; Lechner, C.; Reuter, F.; Köhler, K.; Mettin, R.; Lauterborn, W. Numerical Modeling of Laser Generated Cavitation Bubbles with the Finite Volume and Volume of Fluid Method, Using OpenFOAM. Comput. Fluids 2016, 126, 71–90. [Google Scholar] [CrossRef]
- Beig, S.A.; Aboulhasanzadeh, B.; Johnsen, E. Temperatures Produced by Inertially Collapsing Bubbles near Rigid Surfaces. J. Fluid Mech. 2018, 852, 105–125. [Google Scholar] [CrossRef]
- Blake, J.R.; Gibson, D.C. Cavitation Bubbles Near Boundaries. Annu. Rev. Fluid Mech. 1987, 19, 99–123. [Google Scholar] [CrossRef]
- Zhang, X.-Q.; Zhang, X.-F.; Qiu, X.; Gao, D.; Zhang, Y.-N. Experimental Study of the Dynamics of a Single Cavitation Bubble Excited by a Focused Laser near the Boundary of a Rigid Wall. J. Hydrodyn. 2023, 35, 942–953. [Google Scholar] [CrossRef]
- Bußmann, A.; Riahi, F.; Gökce, B.; Adami, S.; Barcikowski, S.; Adams, N.A. Investigation of Cavitation Bubble Dynamics near a Solid Wall by High-Resolution Numerical Simulation. Phys. Fluids 2023, 35, 016115. [Google Scholar] [CrossRef]
- Yang, X.; Liu, C.; Wan, D.; Hu, C. Numerical Study of the Shock Wave and Pressure Induced by Single Bubble Collapse near Planar Solid Wall. Phys. Fluids 2021, 33, 073311. [Google Scholar] [CrossRef]
- Trummler, T.; Schmidt, S.J.; Adams, N.A. Effect of Stand-off Distance and Spatial Resolution on the Pressure Impact of near-Wall Vapor Bubble Collapses. Int. J. Multiph. Flow 2021, 141, 103618. [Google Scholar] [CrossRef]
- Abu-Bakr, A.F.; Kanagawa, T.; Abu-Nab, A.K. Analysis of Doublet Bubble Dynamics near a Rigid Wall in Ferroparticle Nanofluids. Case Stud. Therm. Eng. 2022, 34, 102060. [Google Scholar] [CrossRef]
- Gubaidullin, D.A.; Gubaidullina, D.D.; Fedorov, Y.V. Mathematical Modeling of the Wave Dynamics of an Encapsulated Perfluorocarbon Droplet in a Viscoelastic Liquid. Mathematics 2023, 11, 1083. [Google Scholar] [CrossRef]
- Saccone, G.; Garivalis, A.I.; Di Marco, P. Electrohydrodynamics and Boiling: Experiments, Numerical Calculation and Modeling of Maxwell Stress Tensor and Electric Force Acting on Bubbles. J. Electrost. 2020, 103, 103413. [Google Scholar] [CrossRef]
- Di Marco, P.; Grassi, W.; Memoli, G.; Takamasa, T.; Tomiyama, A.; Hosokawa, S. Influence of Electric Field on Single Gas-Bubble Growth and Detachment in Microgravity. Int. J. Multiph. Flow 2003, 29, 559–578. [Google Scholar] [CrossRef]
- Taleghani, M.H.; Khodadadi, S.; Maddahian, R.; Mokhtari-Dizaji, M. Enhancing the Bubble Collapse Energy Using the Electrohydrodynamic Force. Phys. Fluids 2023, 35, 053316. [Google Scholar] [CrossRef]
- Mehta, K.; Ahuja, M.; Kumar, P.; Kushawaha, R.K.; Baruah, P.K. Synergistic Influence of External Electric Field on Laser Ablation in Liquid: Correlating Nanoparticle Synthesis and Cavitation Bubble Dynamics. Phys. Scr. 2024, 99, 065948. [Google Scholar] [CrossRef]
- Bouzehouane, Y.; Ayela, F.; Budenkova, O. Cavitation under Magnetic Field: Study of an Oscillating Bubble. Magnetohydrodynamics 2025, 61, 77–86. [Google Scholar] [CrossRef]
- Corrado, M. Bubble Dynamics in Liquid Metals under External Horizontal Magnetic Field. Phys. Fluids 2024, 36, 124111. [Google Scholar] [CrossRef]
- Wang, J.; Huang, H.; Lu, P.; Zhu, G.; Shaheen, S. Numerical Study of Bubble-Induced Heat Transfer in a Liquid Metal Cavity Affected by a Horizontal Magnetic Field. Fusion Eng. Des. 2024, 205, 114570. [Google Scholar] [CrossRef]
- Wang, Z.H.; Wang, S.D.; Meng, X.; Ni, M.J. UDV Measurements of Single Bubble Rising in a Liquid Metal Galinstan with a Transverse Magnetic Field. Int. J. Multiph. Flow 2017, 94, 201–208. [Google Scholar] [CrossRef]
- Mori, Y.; Hijikata, K.; Kuriyama, I. Experimental Study of Bubble Motion in Mercury with and without a Magnetic Field. J. Heat Transfer 1977, 99, 404–410. [Google Scholar] [CrossRef]
- Zhang, C.; Eckert, S.; Gerbeth, G. Experimental Study of Single Bubble Motion in a Liquid Metal Column Exposed to a DC Magnetic Field. Int. J. Multiph. Flow 2005, 31, 824–842. [Google Scholar] [CrossRef]
- Abu-Nab, A.K.; Morad, A.M.; Selima, E.S. Impact of Magnetic-Field on the Dynamic of Gas Bubbles in N -Dimensions of Non-Newtonian Hybrid Nanofluid: Analytical Study. Phys. Scr. 2022, 97, 105202. [Google Scholar] [CrossRef]
- Ashok, B.; Hongray, T.; Balakrishnan, J. The Charged Bubble Oscillator: Dynamics and Thresholds. Indian Acad. Sci. Conf. Ser. 2017, 1, 109–115. [Google Scholar] [CrossRef]
- Zaghdoudi, M.C.; Lallemand, M. Study of the Behaviour of a Bubble in an Electric Field: Steady Shape and Local Fluid Motion. Int. J. Therm. Sci. 2000, 39, 39–52. [Google Scholar] [CrossRef]
- Minnaert, M., XVI. On Musical Air-Bubbles and the Sounds of Running Water. Lond. Edinb. Dublin Philos. Mag. J. Sci. 1933, 16, 235–248. [Google Scholar] [CrossRef]
- Greene, C.A.; Wilson, P.S. Laboratory Investigation of a Passive Acoustic Method for Measurement of Underwater Gas Seep Ebullition. J. Acoust. Soc. Am. 2012, 131, EL61–EL66. [Google Scholar] [CrossRef] [PubMed]
- Behnia, S.; Mobadersani, F.; Yahyavi, M.; Rezavand, A.; Hoesinpour, N.; Ezzat, A. Effect of Magnetic Field on the Radial Pulsations of a Gas Bubble in a Non-Newtonian Fluid. Chaos Solitons Fractals 2015, 78, 194–204. [Google Scholar] [CrossRef]
- Aliabadi, A.; Taklifi, A. The Effect of Magnetic Field on Dynamics of Gas Bubbles in Visco-Elastic Fluids. Appl. Math. Model. 2012, 36, 2567–2577. [Google Scholar] [CrossRef]
- Hongray, T.; Ashok, B.; Balakrishnan, J. Effect of Charge on the Dynamics of an Acoustically Forced Bubble. Nonlinearity 2014, 27, 1157–1179. [Google Scholar] [CrossRef]
- Deng, J.-J.; Yang, R.-F.; Lu, H.-Q. Dynamics of Nonspherical Bubble in Compressible Liquid under the Coupling Effect of Ultrasound and Electrostatic Field. Ultrason. Sonochem. 2021, 71, 105371. [Google Scholar] [CrossRef] [PubMed]
- Deng, J.-J.; Yu, M.; Yang, R.-F. Interaction between Double Nonspherical Bubbles in Compressible Liquid under the Coupling Effect of Ultrasound and Electrostatic Field. Acta Acust. 2022, 6, 52. [Google Scholar] [CrossRef]
- Abu-Nab, A.K.; Hakami, A.M.; Abu-Bakr, A.F. Charged Cavitation Multibubbles Dynamics Model: Growth Process. Mathematics 2024, 12, 569. [Google Scholar] [CrossRef]













Disclaimer/Publisher’s Note: The statements, opinions and data contained in all publications are solely those of the individual author(s) and contributor(s) and not of MDPI and/or the editor(s). MDPI and/or the editor(s) disclaim responsibility for any injury to people or property resulting from any ideas, methods, instructions or products referred to in the content. |
© 2026 by the authors. Licensee MDPI, Basel, Switzerland. This article is an open access article distributed under the terms and conditions of the Creative Commons Attribution (CC BY) license.
Share and Cite
Abu-Nab, A.K.; Kanagawa, T.; Fedorov, Y.V. A Mathematical Model for Electro-Magnetohydrodynamic Cavitation Bubbles near a Rigid Wall. Mathematics 2026, 14, 930. https://doi.org/10.3390/math14060930
Abu-Nab AK, Kanagawa T, Fedorov YV. A Mathematical Model for Electro-Magnetohydrodynamic Cavitation Bubbles near a Rigid Wall. Mathematics. 2026; 14(6):930. https://doi.org/10.3390/math14060930
Chicago/Turabian StyleAbu-Nab, Ahmed K., Tetsuya Kanagawa, and Yuri V. Fedorov. 2026. "A Mathematical Model for Electro-Magnetohydrodynamic Cavitation Bubbles near a Rigid Wall" Mathematics 14, no. 6: 930. https://doi.org/10.3390/math14060930
APA StyleAbu-Nab, A. K., Kanagawa, T., & Fedorov, Y. V. (2026). A Mathematical Model for Electro-Magnetohydrodynamic Cavitation Bubbles near a Rigid Wall. Mathematics, 14(6), 930. https://doi.org/10.3390/math14060930

