A Mathematical Model of Within-Host HBV and HTLV-1 Co-Infection Dynamics
Abstract
1. Introduction
- A mathematical framework is proposed to investigate the within-host co-infection dynamics of HBV and HTLV-1, allowing the simultaneous evolution of both viruses to be examined within a single host.
- The formulation of the model reflects the different biological roles of the two viruses, with HBV infecting hepatocytes and triggering immune activation, while HTLV-1 primarily infects CD4+ T lymphocytes.
- The qualitative behavior of the model is analyzed in detail, and the non-negativity and boundedness of solutions are established to ensure biological plausibility.
- Four threshold quantities are derived and used to characterize the conditions under which different equilibrium points exist and remain stable.
- The long-term behavior of the system is further investigated through global stability analysis based on Lyapunov functions.
- Numerical simulations are provided to confirm the analytical findings.
- In addition, a sensitivity analysis is performed to evaluate how variations in key parameters influence the basic reproduction numbers associated with HBV () and HTLV-1 ().
2. HBV and HTLV-1 Co-Infection Model
- Q1
- The model’s essential components include the concentrations of uninfected hepatocytes (), HBV-infected hepatocytes (), capsid (), HBV particles (), uninfected CD4+ T cells (), and HTLV-1-infected CD4+ T cells () at time t. The decay rates of compartments , , , , , and are denoted by , , , , , and , respectively. Figure 1 presents a schematic diagram illustrating the co-dynamics of HBV and HTLV-1.
- Q2
- HBV predominately infects uninfected hepatocytes, which are generated at a constant rate denoted by . These hepatocytes become infected through virus-to-cell (VTC) transmission, occurring at a rate , as described in Equation (1).
- Q3
- The interaction between uninfected hepatocytes and free HBV particles results in the generation of HBV-infected hepatocytes at a rate of (see Equation (2)).
- Q4
- HBV-infected hepatocytes produce capsids containing HBV DNA at a rate of (see Equation (3)).
- Q5
- The rate at which intracellular capsids are transferred into the bloodstream and converted into free virions is given by , where denotes a within-host biological rate parameter characterizing capsid-to-virion conversion and does not correspond to a clinically administered dose. Moreover, CD4+ T cells activate B cells to produce neutralizing antibodies, leading to the clearance of free HBV at a rate of (see Equation (4)).
- Q6
- CD4+ T lymphocytes are the primary targets of HTLV-1. HBV infection activates the immune system, stimulating CD4+ T cell proliferation at a rate of . Accordingly, the production of uninfected CD4+ T cells is regulated by self-regulation mechanisms, represented by , together with virus-induced immune stimulation quantified by . The transmission of HTLV-1 to uninfected CD4+ T cells occurs through cell-to-cell (CTC) contact with infected CD4+ T cells at a rate of , as described in Equation (5).
- Q7
- HTLV-1–infected CD4+ T cells are produced via cell-to-cell interactions between uninfected and infected CD4+ T cells at a rate of , as formulated in Equation (6).

3. Essential Characteristics
3.1. Non-Negativity and Boundedness of Solutions
3.2. Existence of Equilibria
- (I)
- An infection-free equilibrium, denoted by , always exists, where .
- (II)
- In addition to , there exists an HBV mono-infection equilibrium, , if , where .
- (III)
- In addition to , there exists an HTLV-1 mono-infection equilibrium, , if , where .
- (IV)
- In addition to , there exists an HBV and HTLV-1 co-infection equilibrium, , if and , where .
- Infection-free equilibrium, , where and
- HBV mono-infection equilibrium, , whereand fulfillswhereWe define a function as follows:We have to findwhereThen, there exists such that ; as a result,
- HTLV-1 mono-infection equilibrium, , whereand
- HBV/HTLV-1 co-infection equilibrium, , whereand
4. Global Stability
- (I)
- and . Then, from Equation (1), we getEquation (4) providesIn addition, Equation (3) impliesEquation (5) suggests thatTherefore, .
- (II)
- (III)
- (IV)
- (I)
- and . From Equation (5), we haveHence, .
- (II)
- and . Then, from Equation (15) we obtain . Thus, .
- (I)
- If , then from Equation (1),From Equation (4), we haveFrom Equation (3), we haveEquation (5) implies thatThus, .
- (II)
5. Numerical Simulations
5.1. Equilibrium Stability
- Situation 1: Given the parameter values and , our results show that and . Under these conditions, the infection-free equilibrium point is reached by trajectories starting from twelve distinct initial conditions, as illustrated in Figure 2. This suggests that is GAS, in accordance with Theorem 3. Consequently, both HBV and HTLV-1 are expected to be eradicated.
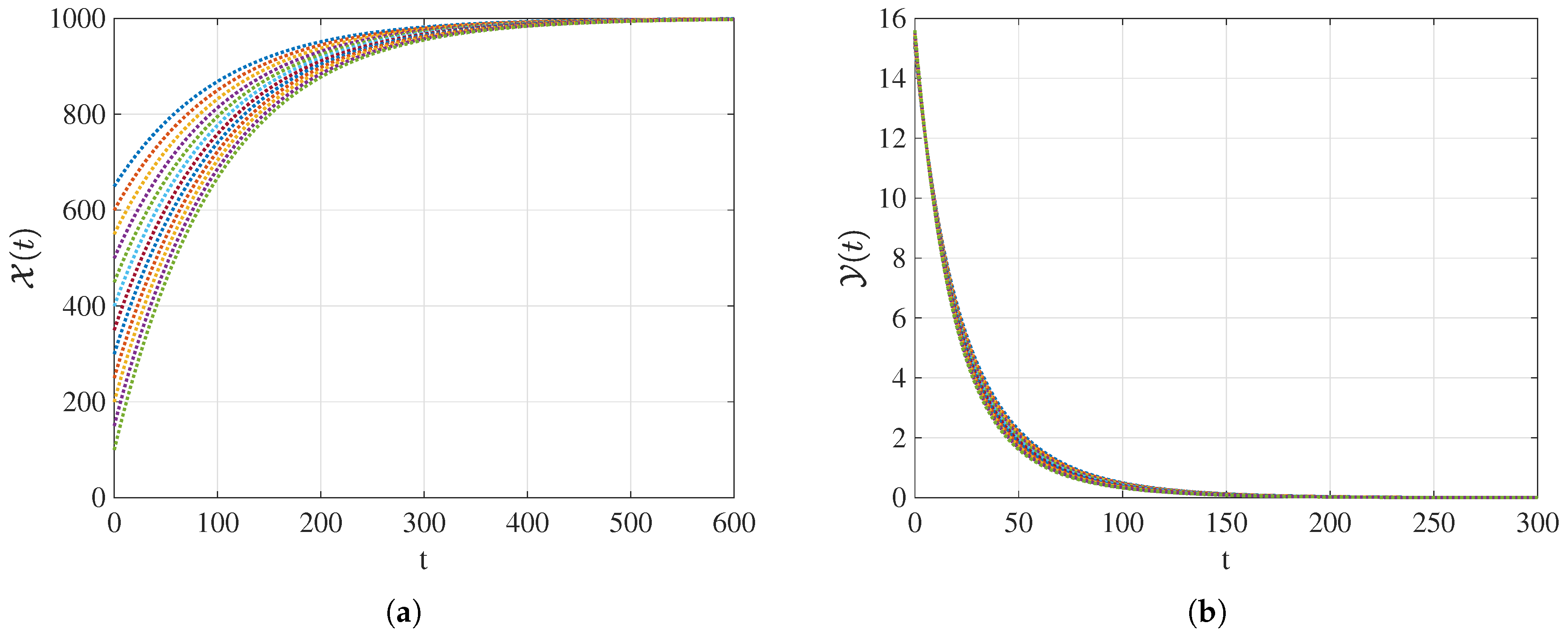
- Situation 2: For and , we obtain and . The results presented in Figure 3 demonstrate that the solutions converge to the HBV mono-infection equilibrium point . These numerical findings are consistent with Theorem 4. This case involves a person infected with HBV but not HTLV-1, where CD4+ T cell activation may contribute to maintaining the HBV viral load. This aligns with findings from other studies indicating that CD4+ T cells are crucial for initiating an effective adaptive immune response to eliminate HBV [60].
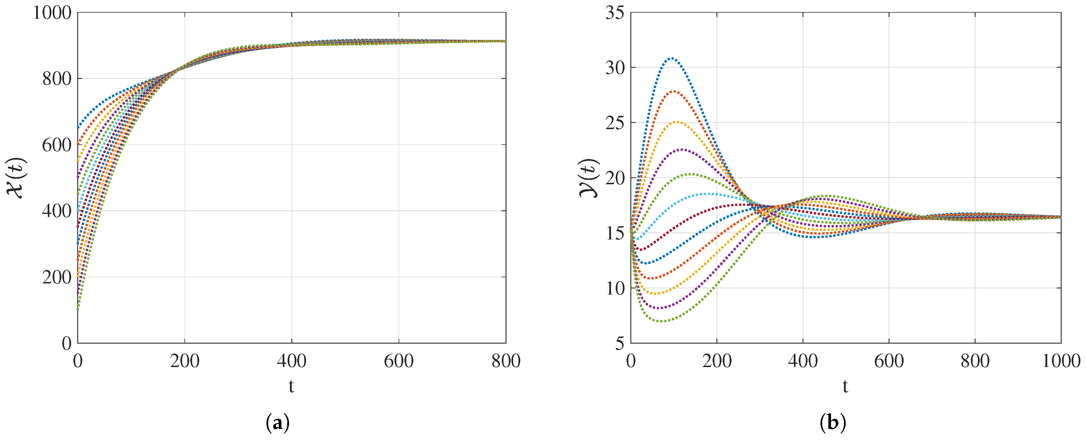
- Situation 3: For and , we compute and . The conditions listed in Table 2 are clearly satisfied. Theorem 5 is validated by the results in Figure 4, which show that the solutions converge to the HTLV-1 mono-infection equilibrium point . The individual in this case is only infected with HTLV-1, without evidence of HBV infection.
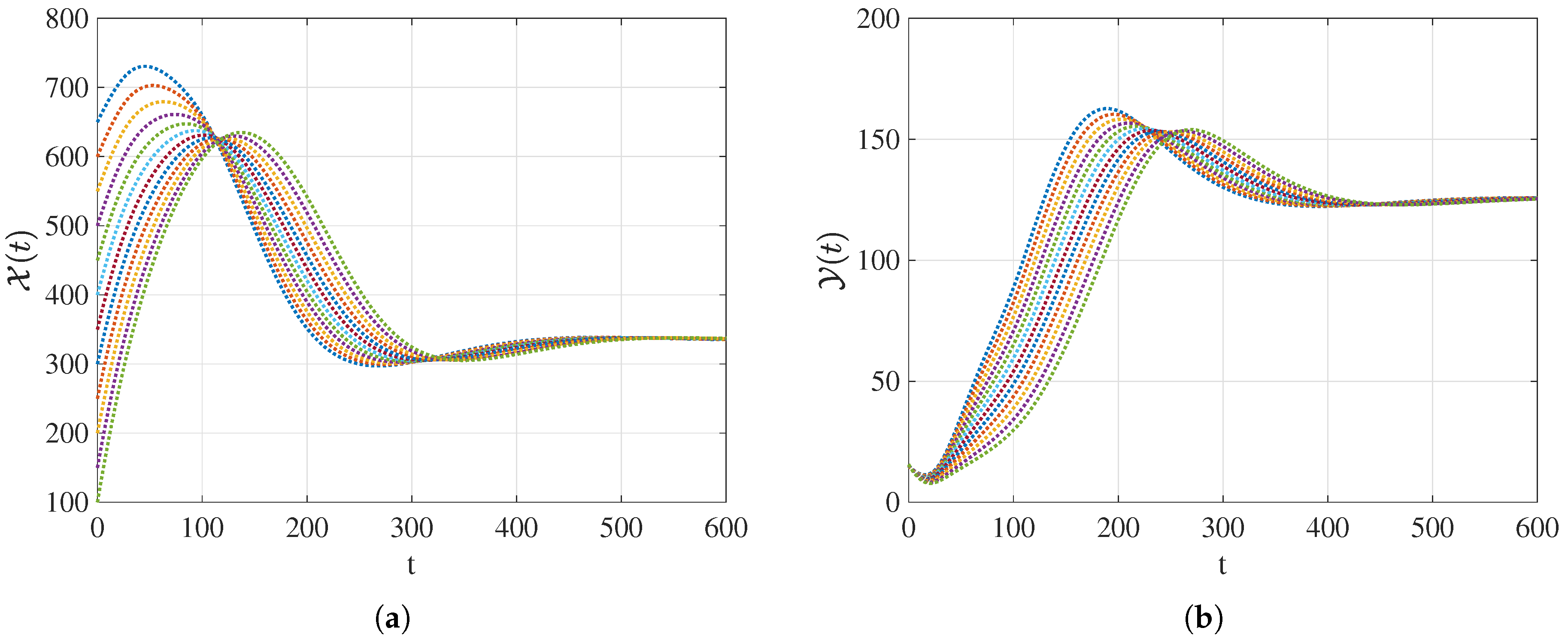
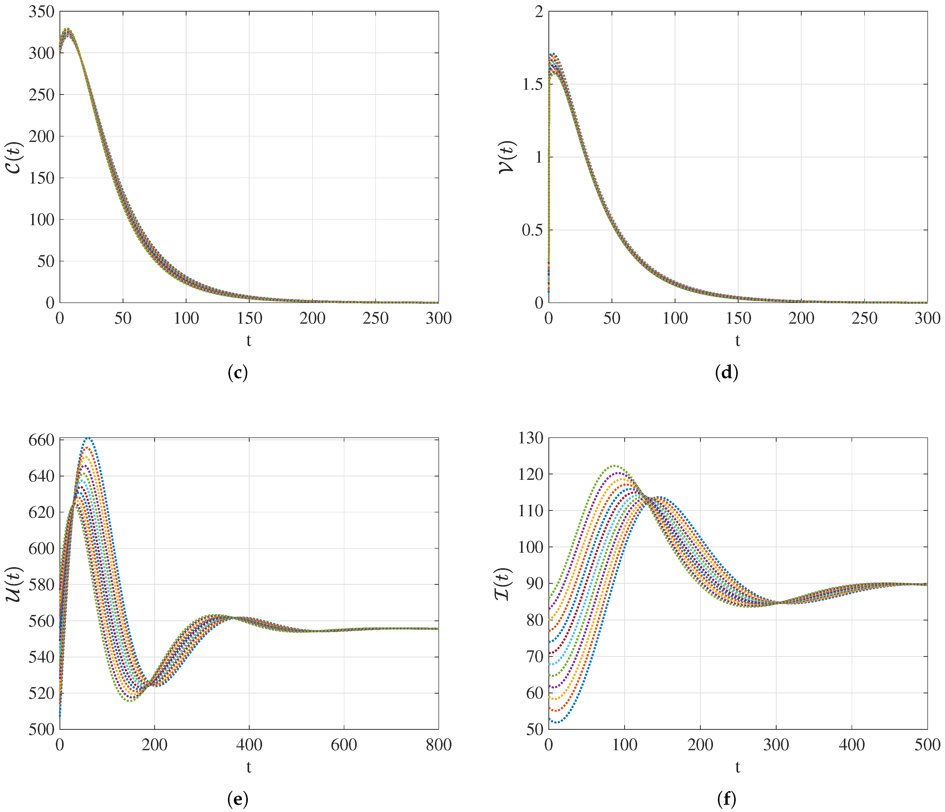
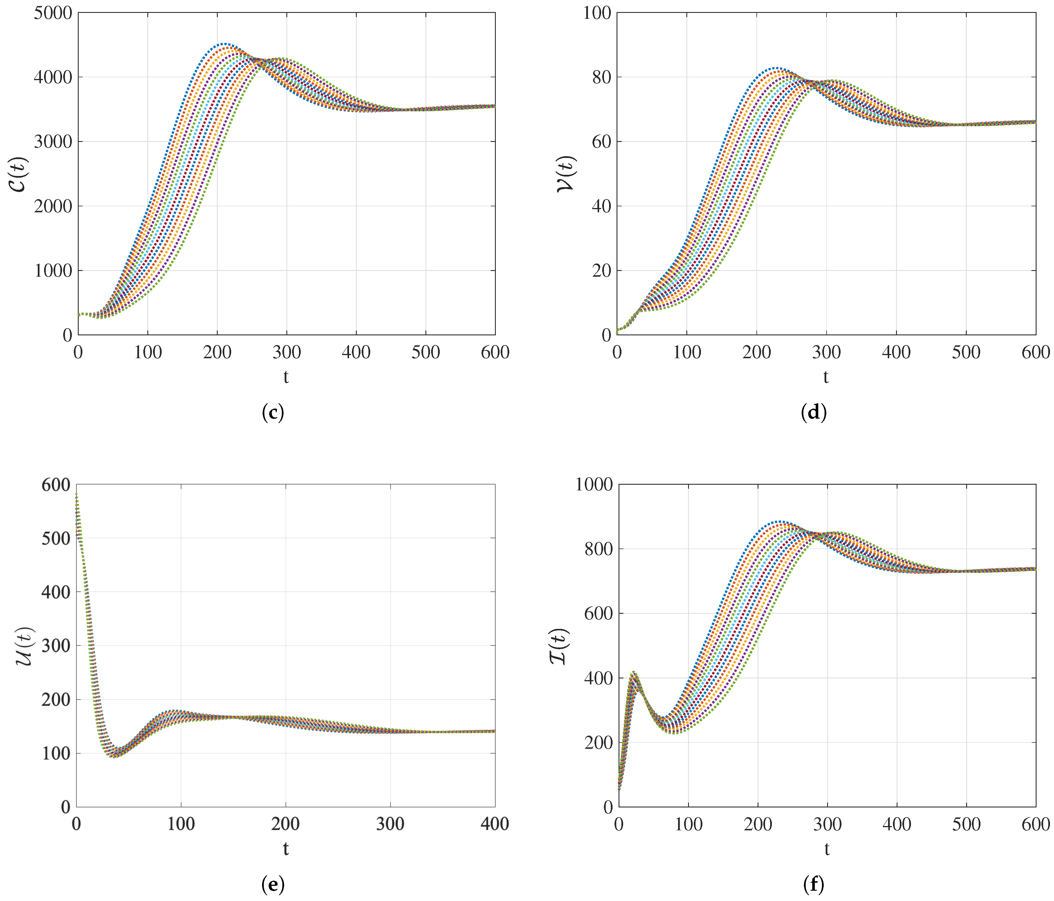
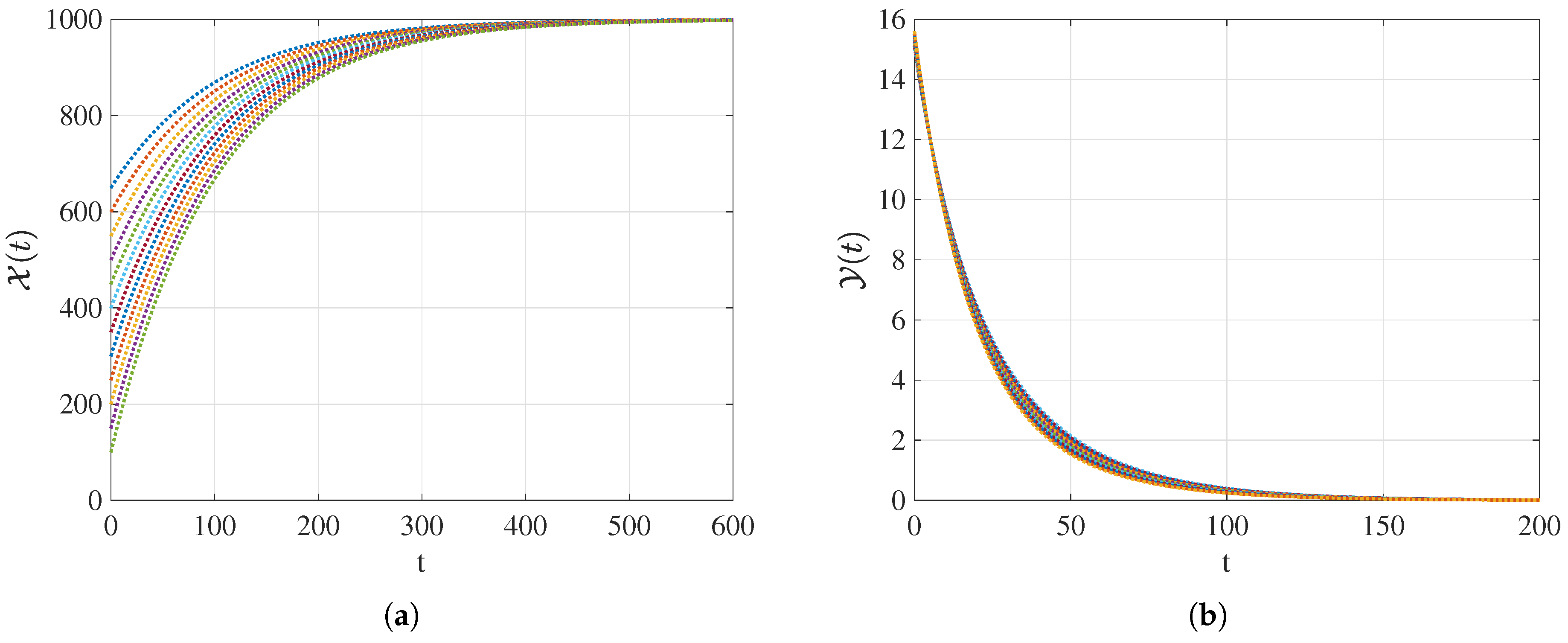
- Situation 4: For and , we compute and . Thus, the conditions listed in Table 2 are clearly satisfied. Figure 5 illustrates the convergence of the solutions to the HBV and HTLV-1 co-infection equilibrium point and supports Theorem 6. This case involves an individual simultaneously infected with both HBV and HTLV-1.
5.2. Sensitivity Analysis
5.2.1. Sensitivity Analysis of
- Obviously, , , , , and have positive sensitivity indices, implying that an increase in any of these parameters will lead to a corresponding increase in for HBV mono-infection. Among these, , , , and show the most significant positive influence.
- It is evident that parameters , , , , , and negatively affect , meaning that increasing any of these will result in a decrease in . Among them, , , , , and have a more pronounced impact than .
| m | |
|---|---|
| 1 | |
| 1 | |
| 1 | |
| 1 | |

5.2.2. Sensitivity Analysis of
- Parameters and have a positive impact on the progression of HTLV-1 within the body, indicating their contribution to the virus’s proliferation.
- In contrast, parameters and are linked to a reduction in the transmission rate of HTLV-1 within humans.
| m | |
|---|---|
| 1 | |
| 1 | |

5.3. Impact of CD4+ T Cell Activation on the Dynamics of HBV and HTLV-1 Co-Infection
5.4. Comparison of Mono-Infection and Co-Infection Dynamics
5.4.1. Comparative Analysis of HBV Mono-Infection and HBV and HTLV-1 Co-Infection
5.4.2. Comparative Analysis of HTLV-1 Mono-Infection and HBV and HTLV-1 Co-Infection
6. Conclusions, Discussion, and Future Perspectives
- The Infection-Free Equilibrium (): This equilibrium arises unconditionally and is GAS when both and . Under these conditions, neither HTLV-1 nor HBV can persist, resulting in their eradication.
- HBV Mono-Infection Equilibrium (): This equilibrium arises when and is GAS provided that . It corresponds to a situation in which only HBV establishes infection.
- HTLV-1 Mono-Infection Equilibrium (): This equilibrium arises when and is GAS if . This equilibrium represents a situation in which only HTLV-1 maintains a persistent infection.
- HBV and HTLV-1 Co-Infection Equilibrium (): This equilibrium arises and is GAS when both and . This equilibrium represents a case where the individual is simultaneously infected with both viruses.
- M1
- In patients with HBV, the presence of HTLV-1 contributes to an elevated HBV viral load.
- M2
- For individuals infected with HTLV-1, co-infection with HBV may increase the risk of HTLV-1-related malignancies.
- M3
- CD4+ T cells are essential mediators in the regulation and control of HBV infection.
Author Contributions
Funding
Data Availability Statement
Acknowledgments
Conflicts of Interest
References
- World Health Organization. Hepatitis B. Available online: https://www.who.int/news-room/fact-sheets/detail/hepatitis-b (accessed on 23 July 2025).
- Lavanchy, D.; Kane, M. Global Epidemiology of Hepatitis B Virus Infection. In Hepatitis B Virus in Human Diseases; Elsevier: Amsterdam, The Netherlands, 2016; pp. 187–203. [Google Scholar]
- Seeger, C.; Mason, W.S. Hepatitis b virus biology. Microbiol. Mol. Biol. Rev. 2000, 1, 51–68. [Google Scholar] [CrossRef]
- Chien, J.; Liu, J.; Lee, M.H.; Jen, C.L.; Batrla-Utermann, R.; Lu, S.N.; Chen, C.J. Risk and predictors of hepatocellular carcinoma for chronic hepatitis B patients with newly developed cirrhosis. J. Gastroenterol. Hepatol. 2016, 31, 1971–1977. [Google Scholar] [CrossRef]
- Holmes, K.K.; Sparling, P.F.; Stamm, W.E.; Piot, P.; Wasserheit, J.N.; Corey, L.; Cohen, M.S.; Watts, D.H. Sexually Transmitted Diseases, 4th ed.; McGraw-Hill: Toronto, ON, Canada, 2008. [Google Scholar]
- World Health Organization. Hepatitis B Fact Sheet No. 204; WHO: Geneva, Switzerland, 2009. [Google Scholar]
- Qesmi, R.; Wu, J.; Wu, J.; Heffernan, J.M. Influence of backward bifurcation in a model of hepatitis B and C viruses. Math. Biosci. 2010, 224, 118–125. [Google Scholar] [CrossRef]
- Kawano, N.; Nagahiro, Y.; Yoshida, S.; Yoshihiro, T.; Tahara, Y.; Himeji, D.; Kuriyama, T.; Tochigi, T.; Nakaike, T.; Shimokawa, T.; et al. Clinical features and treatment outcomes of opportunistic infections among human T-lymphotropic virus type 1 carriers and patients with adult T-cell leukemia-lymphoma at a single institution from 2006 to 2016. J. Clin. Exp. Hematop. 2019, 59, 156–167. [Google Scholar] [CrossRef]
- Tanaka, T.; Sekioka, T.; Usui, M.; Imashuku, S. Opportunistic infections in patients with HTLV-1 infection. Case Rep. Hematol. 2015, 2015, 943867. [Google Scholar] [CrossRef] [PubMed]
- Bunn, P.A., Jr.; Schechter, G.P.; Jaffe, E.; Blayney, D.; Young, R.C.; Matthews, M.J.; Blattner, W.; Broder, S.; Robert-Guroff, M.; Gallo, R.C. Clinical course of retrovirus-associated adult T-cell lymphoma in the United States. N. Engl. J. Med. 1983, 309, 257–264. [Google Scholar] [CrossRef] [PubMed]
- Shimoyama, M. Diagnostic criteria and classification of clinical subtypes of adult T-cell leukaemia-lymphoma: A report from the Lymphoma Study Group (1984–87). Br. J. Haematol. 1991, 79, 428–437. [Google Scholar] [CrossRef]
- Goon, P.K.; Bangham, C.R. Interference with immune function by HTLV-1. Clin. Exp. Immunol. 2004, 137, 234–236. [Google Scholar] [CrossRef]
- Edwards, R.J.; Julien-Serrette, K.; Edwards, J.; Boyce, G. HTLV-1 coinfection among patients attending a large HIV treatment centre in Trinidad. Microorganisms 2022, 10, 2207. [Google Scholar] [CrossRef] [PubMed]
- Turpin, J.; Yurick, D.; Khoury, G.; Pham, H.; Locarnini, S.; Melamed, A.; Einsiedel, L. Impact of hepatitis B virus coinfection on human T-lymphotropic virus type 1 clonality in an indigenous population of Central Australia. J. Infect. Dis. 2019, 219, 562–567. [Google Scholar] [CrossRef]
- Nowak, M.A.; Bonhoeffer, S.; Hill, A.M.; Boehme, R.; Thomas, H.C.; McDade, H. Viral dynamics in hepatitis B virus infection. Proc. Natl. Acad. Sci. USA 1996, 93, 4398–4402. [Google Scholar] [CrossRef]
- Ciupe, S.M.; Ribeiro, R.M.; Nelson, P.W.; Perelson, A.S. Modeling the mechanisms of acute hepatitis B virus infection. J. Theor. Biol. 2007, 247, 23–35. [Google Scholar] [CrossRef]
- Song, B.; Zhang, Y.; Sang, Y.; Zhang, L. Stability and Hopf bifurcation on an immunity delayed HBV/HCV model with intra-and extra-hepatic coinfection and saturation incidence. Nonlinear Dyn. 2023, 111, 14485–14511. [Google Scholar] [CrossRef]
- Tadmon, C.; Foko, S.; Rendall, A.D. Global stability analysis of a delay cell-population model of hepatitis B infection with humoral immune response. Dynam. Syst. 2021, 36, 537–559. [Google Scholar] [CrossRef]
- Yaagoub, Z.; Allali, K. Fractional HBV infection model with both cell-to-cell and virus-to-cell transmissions and adaptive immunity. Chaos Solitons Fractals 2022, 165, 112855. [Google Scholar] [CrossRef]
- Wang, X.; Tan, Y.; Cai, Y.; Wang, K.; Wang, W. Dynamics of a stochastic HBV infection model with cell-to-cell transmission and immune response. Math. Biosci. Eng. 2021, 18, 616–642. [Google Scholar] [CrossRef]
- Din, A. Bifurcation analysis of a delayed stochastic HBV epidemic model: Cell-to-cell transmission. Chaos Solitons Fractals 2024, 181, 114714. [Google Scholar] [CrossRef]
- Yaagoub, Z.; Sadki, M.; Allali, K. A generalized fractional hepatitis B virus infection modelwith both cell-to-cell and virus-to-cell transmissions. Nonlinear Dyn. 2024, 112, 16559–16585. [Google Scholar] [CrossRef]
- Gourley, S.A.; Kuang, Y.; Nagy, J.D. Dynamics of a delay differential equation model of hepatitis B virus infection. J. Biol. Dyn. 2008, 2, 140–153. [Google Scholar] [CrossRef] [PubMed]
- Hattaf, K.; Yousfi, N. A generalized HBV model with diffusion and two delays. Comput. Math. Appl. 2015, 69, 31–40. [Google Scholar] [CrossRef]
- Zhang, F.; Li, J.; Zheng, C.; Wang, L. Dynamics of an HBV/HCV infection model with intracellular delay and cell proliferation. Commun. Nonlinear Sci. Numer. Simul. 2017, 42, 464–476. [Google Scholar] [CrossRef]
- Foko, S. Dynamical analysis of a general delayed HBV infection model with capsids and adaptive immune response in presence of exposed infected hepatocytes. J. Math. Biol. 2024, 88, 75. [Google Scholar] [CrossRef] [PubMed]
- Prakash, M.; Rakkiyappan, R.; Manivannan, A.; Zhu, H.; Cao, J. Stability and bifurcation analysis of hepatitis B-type virus infection model. Math. Methods Appl. Sci. 2021, 44, 6462–6481. [Google Scholar] [CrossRef]
- Wang, K.; Wang, W. Propagation of HBV with spatial dependence. Math. Biosci. 2007, 210, 78–95. [Google Scholar] [CrossRef]
- Wang, K.; Wang, W.; Song, S. Dynamics of an HBV model with diffusion and delay. J. Theor. Biol. 2008, 253, 36–44. [Google Scholar] [CrossRef] [PubMed]
- Manna, K.; Chakrabarty, S.P. Global stability and a non-standard finite difference scheme for a diffusion driven HBV model with capsids. J. Differ. Equ. Appl. 2015, 21, 918–933. [Google Scholar] [CrossRef]
- Guo, T.; Liu, H.; Xu, C.; Yan, F. Global stability of a diffusive and delayed HBV infection model with HBV DNA-containing capsids and general incidence rate. Discrete Contin. Dyn. Syst. B 2018, 23, 4223–4242. [Google Scholar] [CrossRef]
- Elaiw, A.M.; Agha, A.D. Global dynamics of a general diffusive HBV infection model with capsids and adaptive immune response. Adv. Differ. Equ. 2019, 1, 488–519. [Google Scholar] [CrossRef]
- Elaiw, A.M.; Al Agha, A.D.; Alsaadi, G.; Hobiny, A.D. Global analysis of HCV/HBV codynamics model with antibody immunity. Eur. Phys. J. Plus 2024, 139, 850. [Google Scholar] [CrossRef]
- Han, M.Q.; Duan, X.C.; Li, X.Z.; Martcheva, M. Modeling the coinfection of hepatitis B and HIV: A case study in the USA. J. Biol. Syst. 2025, 8, 313. [Google Scholar] [CrossRef]
- Nampala, H.; Luboobi, L.S.; Mugisha, J.Y.; Obua, C.; Jablonska-Sabuka, M. Modelling hepatotoxicity and antiretroviral therapeutic effect in HIV/HBV co-infection. Math. Biosci. 2018, 302, 67–79. [Google Scholar] [CrossRef]
- Elaiw, A.M.; Alhmadi, A.S.; Hobiny, A.D. Dynamics and stability of a within-host HIV-HBV co-infection model with time delays. Front. Appl. Math. Stat. 2025, 11, 1633039. [Google Scholar] [CrossRef]
- Mhlanga, A.; Zakh, R.; Churkin, A.; Reinharz, V.; Glenn, J.S.; Etzion, O.; Cotler, S.J.; Yurdaydin, C.; Barash, D.; Dahari, H. Modeling the Interplay between HDV and HBV in Chronic HDV/HBV Patients. Mathematics 2022, 10, 3917. [Google Scholar] [CrossRef]
- Teklu, S.W.; Abebaw, Y.F. Analysis of the HBV and TB Coinfection Model With Optimal Control Strategies and Cost-Effectiveness. Discrete Dyn. Nat. Soc. 2024, 1, 8811930. [Google Scholar] [CrossRef]
- Omame, A.; Abbas, M. Modeling SARS-CoV-2 and HBV co-dynamics with optimal control. Phys. A 2023, 615, 128607. [Google Scholar] [CrossRef]
- Teklu, S.W. Analysis of HBV and COVID-19 Coinfection Model with Intervention Strategies. Comput. Math. Methods Med. 2023, 2023, 6908757. [Google Scholar] [CrossRef]
- Elaiw, A.M.; AlShamrani, N.H. Analysis of a within-host HIV/HTLV-I co-infection model with immunity. Virus Res. 2021, 295, 198204. [Google Scholar] [CrossRef] [PubMed]
- Elaiw, A.M.; AlShamrani, N.H.; Hobiny, A.D. Mathematical modeling of HIV/HTLV co-infection with CTL-mediated immunity. AIMS Math. 2021, 6, 1634–1676. [Google Scholar] [CrossRef]
- Chowdhury, S.; Ghosh, J.K.; Ghosh, U. Co-infection dynamics between HIV-HTLV-I disease with the effects of Cytotoxic T-lymphocytes, saturated incidence rate and study of optimal control. Math. Comput. Simul. 2024, 223, 195–218. [Google Scholar] [CrossRef]
- Shi, R.; Zhang, Y. Dynamic analysis and optimal control of a fractional order HIV/HTLV co-infection model with HIV-specific CTL immune response. AIMS Math. 2024, 9, 9455–9493. [Google Scholar] [CrossRef]
- Yang, H.; Li, X.; Zhang, W. A stochastic HIV/HTLV-I co-infection model incorporating the AIDS-related cancer cells. Discrete Contin. Dyn. Syst. B 2024, 29, 702–730. [Google Scholar] [CrossRef]
- Almohaimeed, E.A.; Elaiw, A.M.; Hobiny, A.D. Modeling HTLV-1 and HTLV-2 co-infection dynamics. AIMS Math. 2025, 10, 5696–5730. [Google Scholar] [CrossRef]
- Elaiw, A.M.; Shflot, A.S.; Hobin, A.D. Global Stability of Delayed SARS-CoV-2 and HTLV-I Coinfection Models within a Host. Mathematics 2022, 10, 4756. [Google Scholar] [CrossRef]
- Elaiw, A.M. Global stability analysis of humoral immunity virus dynamics model including latently infected cells. J. Biol. Dyn. 2015, 9, 215–228. [Google Scholar] [CrossRef]
- Manna, K. Dynamics of a delayed diffusive HBV infection model with capsids and CTL immune response. Int. J. Appl. Comput. Math. 2018, 4, 116. [Google Scholar] [CrossRef]
- Manna, K.; Hattaf, K. Spatiotemporal dynamics of a generalized HBV infection model with capsids and adaptive immunity. Int. J. Appl. Comput. Math. 2019, 5, 65. [Google Scholar] [CrossRef]
- Perelson, A.; Kirschner, D.; De Boer, R. Dynamics of HIV infection of CD4+ T cells. Math. Biosci. 1993, 114, 81–125. [Google Scholar] [CrossRef] [PubMed]
- Li, F.; Ma, W. Dynamics analysis of an HTLV-1 infection model with mitotic division of actively infected cells and delayed CTL immune response. Math. Methods Appl. Sci. 2018, 41, 3000–3017. [Google Scholar] [CrossRef]
- Callaway, D.S.; Perelson, A.S. HIV-1 infection and low steady state viral loads. Bull. Math. Biol. 2002, 64, 29–64. [Google Scholar] [CrossRef] [PubMed]
- Wang, Y.; Liu, J.; Heffernan, J.M. Viral dynamics of an HTLV-I infection model with intracellular delay and CTL immune response delay. J. Math. Anal. Appl. 2018, 459, 506–527. [Google Scholar] [CrossRef]
- Bera, S.; Khajanchi, S.; Roy, T.K. Dynamics of an HTLV-I infection model with delayed CTLs immune response. Appl. Math. Comput. 2022, 430, 127206. [Google Scholar] [CrossRef]
- Smith, H.L.; Waltman, P. The Theory of the Chemostat: Dynamics of Microbial Competition; Cambridge University Press: Cambridge, UK, 1995. [Google Scholar]
- Korobeinikov, A. Global properties of basic virus dynamics models. Bull. Math. Biol. 2004, 66, 879–883. [Google Scholar] [CrossRef]
- Khalil, H.K.; Grizzle, J.W. Nonlinear Systems; Prentice Hall: Upper Saddle River, NJ, USA, 2002. [Google Scholar]
- Hale, J.K.; Verduyn Lunel, S.M. Introduction to Functional Differential Equations; Springer Science and Business Media: New York, NY, USA, 1993. [Google Scholar]
- Buschow, S.I.; Jansen, D.T. CD4+ T cells in chronic hepatitis b and T cell-directed immunotherapy. Cells 2021, 10, 1114. [Google Scholar] [CrossRef]
- Renardy, M.; Hult, C.; Evans, S.; Linderman, J.J.; Kirschner, D.E. Global sensitivity analysis of biological multiscale models. Curr. Opin. Biomed. Eng. 2019, 11, 109–116. [Google Scholar] [CrossRef]
- Zi, Z. Sensitivity analysis approaches applied to systems biology models. IET Syst. Biol. 2011, 5, 336–346. [Google Scholar] [CrossRef] [PubMed]
- Ray, G. Functional cure of chronic hepatitis B-hope or hype? World J. Hepatol. 2024, 16, 1199. [Google Scholar] [CrossRef] [PubMed]
- Bailey, J.T.; Moshkani, S.; Rexhouse, C.; Cimino, J.L.; Robek, M.D. CD4+ T cells reverse surface antigen persistence in a mouse model of HBV replication. Microbiol. Spectr. 2023, 11, e03447-23. [Google Scholar] [CrossRef]
- Campos, K.R.; Alves, F.A.; Lemos, M.F.; Moreira, R.M.; Marcusso, N.; Caterino-de-Araujo, A. The reasons to include the serology of human T-lymphotropic virus types 1 and 2 (HTLV-1 and HTLV-2) in the clinical follow-up of patients with viral hepatitis B and C in Brazil. PLoS Negl. Trop. Dis. 2020, 14, e0008245. [Google Scholar] [CrossRef] [PubMed]
- Rosadas, C.; Taylor, G.P. HTLV-1 and co-infections. Front. Med. 2022, 9, 812016. [Google Scholar] [CrossRef]
- Elaiw, A.M.; Shflot, A.S.; Hobiny, A.D. Global stability of a general HTLV-I infection model with cytotoxic T-lymphocyte immune response and mitotic transmission. Alex. Eng. J. 2023, 67, 77–91. [Google Scholar] [CrossRef]
- Bellomo, N.; Painter, K.J.; Tao, Y.; Winkler, M. Occurrence vs. Absence of taxis-driven instabilities in a May-Nowak model for virus infection. SIAM J. Appl. Math. 2019, 79, 1990–2010. [Google Scholar] [CrossRef]
- Guo, Y.; Li, T. Fractional-order modeling and optimal control of a new online game addiction model based on real data. Commun. Nonlinear Sci. Numer. Simul. 2023, 121, 107221. [Google Scholar] [CrossRef]
- Gafel, H.S.; Rashid, S.; Elagan, S.K. Novel codynamics of the HIV-1/HTLV-I model involving humoral immune response and cellular outbreak: A new approach to probability density functions and fractional operators. AIMS Math. 2023, 8, 28246–28279. [Google Scholar] [CrossRef]












| Co-Infecting Virus | Reference |
|---|---|
| HBV/HCV | [33] |
| HBV/HIV | [34,35,36] |
| HBV/HDV | [37] |
| HBV/TB | [38] |
| HBV/COVID-19 | [39,40] |
| HTLV-1/HIV | [41,42,43,44,45] |
| HTLV-1/HTLV-2 | [46] |
| HTLV-1/COVID-19 | [47] |
| HBV/HTLV-1 | Current study |
| Symbol | Description | Value | Source |
|---|---|---|---|
| Production rate of uninfected hepatocytes | 10 cells mm−3 day−1 | [48,49] | |
| Decay rate of uninfected hepatocytes | day−1 | [48,49,50] | |
| Incidence rate as a result of VTC contact between HBV particles and uninfected hepatocytes | (Varied) viruses−1 mm3 day−1 | - | |
| Decay rate of HBV-infected hepatocytes | day−1 | [15,49,50] | |
| Production rate of capsids | capsids cells−1 day−1 | [50] | |
| Decay rate of capsids | day−1 | [49,50] | |
| Production rate of HBV | viruses capsids−1 day−1 | [49,50] | |
| Decay rate of HBV | day−1 | [49,50] | |
| Neutralizing rate of HBV | cells−1 mm3 day−1 | [50] | |
| Production rate of uninfected CD4+ T cells | 10 cells mm3 day−1 | [51,52] | |
| Decay rate of uninfected CD4+ T cells | day−1 | [53,54] | |
| Activation rate of uninfected CD4+ T cells | viruses−1 mm3 day−1 | Assumed | |
| Incidence rate generated through CTC interactions between HTLV-1-infected and uninfected CD4+ T cells | (Varied) cells−1 mm3 day−1 | - | |
| Decay rate of HTLV-1-infected CD4+ T cells | day−1 | [54,55] |
| Situation | Equilibrium | Stability | |
|---|---|---|---|
| 1 | Stable | ||
| 2 | Unstable Stable | ||
| 3 | Unstable Stable | ||
| 4 | Unstable Unstable Stable |
Disclaimer/Publisher’s Note: The statements, opinions and data contained in all publications are solely those of the individual author(s) and contributor(s) and not of MDPI and/or the editor(s). MDPI and/or the editor(s) disclaim responsibility for any injury to people or property resulting from any ideas, methods, instructions or products referred to in the content. |
© 2026 by the authors. Licensee MDPI, Basel, Switzerland. This article is an open access article distributed under the terms and conditions of the Creative Commons Attribution (CC BY) license.
Share and Cite
Alsulami, A.; Almohaimeed, E. A Mathematical Model of Within-Host HBV and HTLV-1 Co-Infection Dynamics. Mathematics 2026, 14, 912. https://doi.org/10.3390/math14050912
Alsulami A, Almohaimeed E. A Mathematical Model of Within-Host HBV and HTLV-1 Co-Infection Dynamics. Mathematics. 2026; 14(5):912. https://doi.org/10.3390/math14050912
Chicago/Turabian StyleAlsulami, Amani, and Ebtehal Almohaimeed. 2026. "A Mathematical Model of Within-Host HBV and HTLV-1 Co-Infection Dynamics" Mathematics 14, no. 5: 912. https://doi.org/10.3390/math14050912
APA StyleAlsulami, A., & Almohaimeed, E. (2026). A Mathematical Model of Within-Host HBV and HTLV-1 Co-Infection Dynamics. Mathematics, 14(5), 912. https://doi.org/10.3390/math14050912

