Stability and Bifurcation Analysis of a Discrete Tumor-Immune System with Allee Effects
Abstract
1. Introduction
2. Discretization of Model (1)
3. Dynamics with Weak Allee Effects
- and . These fixed points always exist.
- . This fixed point exists if and only if .
3.1. Existence and Stability of Fixed Points of System (4)
- When , we have
- –
- is locally asymptotically stable (sink) if .
- –
- is a source if .
- –
- is a saddle if with eigenvalues and , or with eigenvalues and
- –
- is non-hyperbolic if
- When , we have that is non-hyperbolic.
- When , we have
- –
- is a saddle if with eigenvalues and .
- –
- is a source if .
- –
- is non-hyperbolic if
- i-
- If any one of the following conditions holds, then is locally asymptotically stable (i.e., a sink):
- 1.
- and
- 2.
- and
- ii-
- If any one of the following conditions holds, then is unstable (i.e., a source):
- 1.
- and
- 2.
- and
- iii-
- The fixed point is unstable (i.e., a saddle point) if
- iv-
- The fixed point is non-hyperbolic if one of the following conditions holds:
- 1.
- and
- 2.
- and and
3.2. Bifurcations of System (4)
3.2.1. Neimark–Sacker Bifurcation Analysis
- If , a stable invariant closed curve bifurcates from for .
- If , an unstable invariant closed curve bifurcates from for .
3.2.2. Period-Doubling Bifurcation Analysis
4. Dynamics with Allee Effects
- These fixed points unconditionally exist for all accepted parameter values.
- This fixed point exists if and only if the assumptions and are satisfied.
4.1. Existence and Stability of Fixed Points of Model (3)
- When , we have
- –
- is a saddle if with eigenvalues and .
- –
- is a source if .
- –
- is non-hyperbolic if
- When , we have that is non-hyperbolic.
- When , we have
- –
- is locally asymptotically stable if .
- –
- is a source if .
- –
- is a saddle if with eigenvalues and , or with eigenvalues and
- –
- is non-hyperbolic if
- i’-
- If any one of the following conditions holds, then is locally asymptotically stable (i.e., a sink):
- 1.
- and
- 2.
- and
- ii’-
- If any one of the following conditions holds, then is unstable (i.e., a source):
- 1.
- and
- 2.
- and
- iii’-
- The fixed point is unstable (i.e., a saddle point) if
- iv’-
- The fixed point is non-hyperbolic if one of the following conditions holds:
- 1.
- and
- 2.
- and and
4.2. Bifurcations of Model (3)
4.2.1. Neimark–Sacker Bifurcation
4.2.2. Period-Doubling Bifurcation
5. Numerical Simulations
5.1. Neimark–Sacker Bifurcation Simulation
- Assume that the parameter values , and and the initial condition then model (4) undergoes a Neimark–Sacker bifurcation at the fixed point , with serving as the bifurcation parameter. This phenomenon can be clearly seen in Figure 1. Moreover, the bifurcation graphs of model (4) are presented in Figure 1a, while Figure 1b presents the maximum Lyapunov exponent (MLE). A stable fixed point is reached by the tumor and effector cell populations for modest values of h. Quasiperiodic oscillations occur as h approaches a crucial value, producing an invariant closed curve in the phase space. Additional increases in h generate secondary bifurcations, which finally lead to chaotic attractors and periodic orbits. Positive Lyapunov exponents and exceptionally dispersed points in the bifurcation diagrams are symptomatic of these complex dynamics. The Jacobian matrix at the bifurcation point is provided byNote that the corresponding characteristic equation isHence, the eigenvalues of this polynomial arewith magnitude . This verifies that when , the system experiences a Neimark–Sacker bifurcation.The phase portraits and time series plots of system (4) for various values of the bifurcation parameter h are shown in Figure 2 and Figure 3. For , the system exhibits a stable fixed point , as illustrated in Figure 2a,b. When , an attracting invariant closed curve forms around the fixed point (Figure 2c,d), indicating the onset of a Neimark–Sacker bifurcation. For , this closed curve persists and continues to attract nearby trajectories, as seen in Figure 2e,f. As h increases further, periodic orbits appear for instance, at and , illustrated in Figure 3a–d. Eventually, for and , the system enters a chaotic regime, giving rise to chaotic attractors, as shown in Figure 3e–h. The phase portrait representation in Figure 3g further highlights the coupled interactions between tumor and effector cell populations and illustrates how their dynamics evolve as the system approaches chaotic regimes.Figure 4a depicts the bifurcation diagram, while the maximum Lyapunov exponent (MLE) is shown in Figure 4b, with C chosen as the bifurcation parameter. These results are obtained using the parameter set (, , , , , and ) and . It is observed that for , model (4) is asymptotically stable at . Moreover, model (4) undergoes a transcritical bifurcation as C passes through the critical value . At this point, the fixed point loses stability and a new stable fixed point appears. It is worth noting that as C increases, model (4) undergoes a supercritical Neimark–Sacker bifurcation at , beyond which the fixed point loses stability and an attracting invariant closed curve emerges. In addition, the bifurcation diagrams of model (4) are plotted in Figure 5a, and the corresponding maximum Lyapunov exponent (MLE) is demonstrated in Figure 5b. The initial conditions and are used to generate these numerical results, and the parameter D is varied over the interval . Furthermore, Figure 6a,c,e illustrate the phase portraits, and Figure 6b,d,f display the time series of model (4) for several representative values of D. We also observe that Figure 6c,e demonstrate that for parameter values , the fixed point remains locally asymptotically stable. At the critical value , loses stability and vanishes, while a new stable fixed appears (see Figure 6e,f, indicating that the model (4) undergoes a transcritical bifurcation. For , an invariant closed curve emerges around , whose radius increases as D moves away from the bifurcation value. This phenomenon arises from a subcritical Neimark–Sacker bifurcation occurring at (see Figure 6a,b).
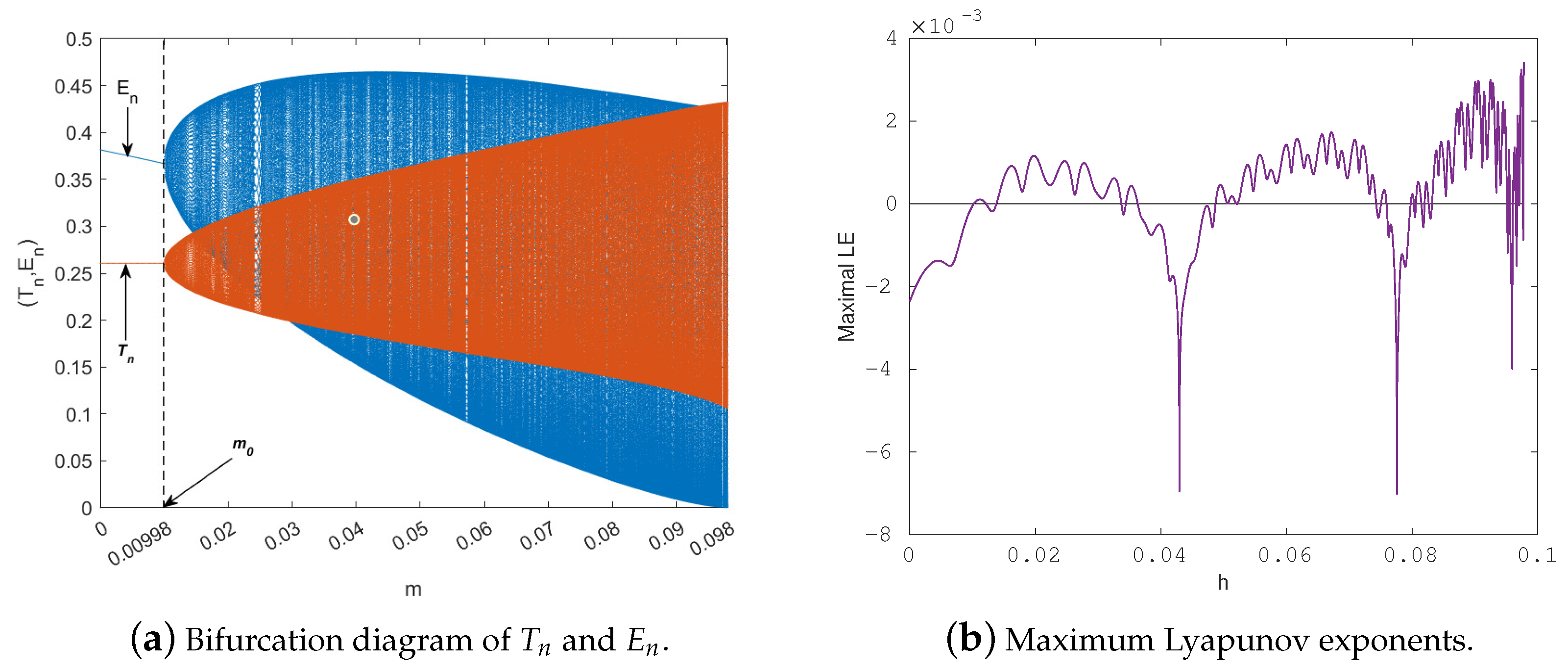
- Here, we utilize the following set of parameter values for the dynamical system described in model (3):together with the initial conditions . The bifurcation parameter h is varied within the interval . At , the system undergoes a Neimark–Sacker bifurcation. At this critical value, the fixed point loses stability, as confirmed by the characteristic polynomial of the Jacobian matrix,The eigenvalues areThese eigenvalues lie on the unit circle at the bifurcation phenomenon. This confirms the existence of a Neimark–Sacker bifurcation.Note that Figure 7 illustrates the bifurcation diagrams of the tumor and effector cell populations together with the corresponding maximum Lyapunov exponent over the interval . It can be seen from Figure 7a that the fixed point of model (3) is locally asymptotically stable for When the parameter exceeds , the fixed point becomes unstable, and a closed invariant curve emerges for This emergence indicates the existence of a Neimark–Sacker bifurcation. This transition is further supported by Figure 7b, where the maximum Lyapunov exponent alternates between negative and positive values, reflecting shifts from stable dynamics to quasi-periodic or chaotic regimes. These results exhibit that even small modifications in the parameter h can have a substantial effect on the behavior of the system, leading to intricate oscillating patterns that could have an effect on the population dynamics over a long time. We show that the strong Allee effect m is a potent bifurcation parameter in Figure 8a,b, producing well-organized and instructive bifurcation diagrams.
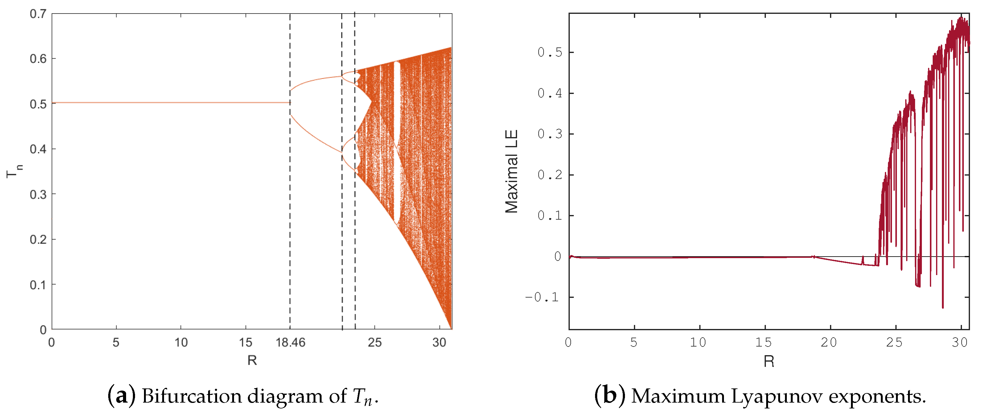
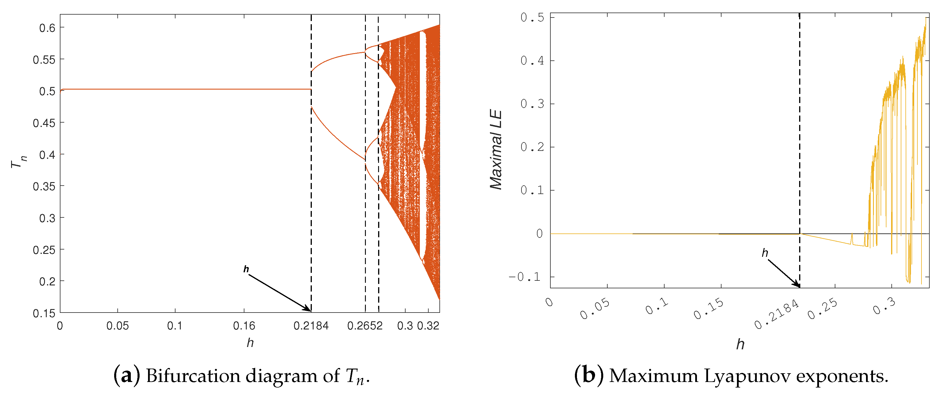
5.2. Period-Doubling Bifurcation Simulation
6. 0–1 Test Method
7. Controlling the Chaos of Model (3)
- By straightforward calculations, the Jacobian matrix of the controlled system evaluated at the fixed point is given by
8. Conclusions and Discussion
Author Contributions
Funding
Data Availability Statement
Conflicts of Interest
Appendix A. Main Concepts
- 1.
- If and , the fixed point is a sink (locally asymptotically stable).
- 2.
- If and , the fixed point is a source (unstable).
- 3.
- If and or and , the fixed point is a saddle.
- 4.
- If or , the fixed point is non-hyperbolic.
- 1.
- and if and only if and .
- 2.
- and if and only if and .
- 3.
- and (or and ) if and only if .
- 4.
- and if and only if and .
- 5.
- and are complex and if and only if and .
- C1-
- Eigenvalue assignment , , , , , for (or 1), when n is odd (or even), respectively.
- C2-
- Transversality condition:
- C3-
- Non-resonance condition: , or resonance condition , where and . Then, a Neimark–Sacker bifurcation occurs at .
- C1-
- Eigenvalue criterion: , , , , (or 1), when n is even (or odd), respectively.
- C2-
- Transversality criterion: , where represents the derivative of at . Then, a period-doubling bifurcation exists at critical value .
Appendix B. Coefficients of Taylor Expansion
References
- Hernandez-Lopez, E.; Wang, X. Bifurcation analysis of tumor-immune dynamics under the dual Allee effects. Math. Biosci. 2025, 387, 109483. [Google Scholar] [CrossRef] [PubMed]
- Danane, J.; Hammouch, Z.; Allali, K.; Rashid, S.; Singh, J. A fractional-order model of coronavirus disease 2019 (COVID-19) with governmental action and individual reaction. Math. Methods Appl. Sci. 2023, 46, 8275–8288. [Google Scholar] [CrossRef] [PubMed]
- Wusu, A.S.; Olabanjo, O.A.; Akanbi, M.A. A model for analysing the dynamics of the second wave of corona virus (COVID-19) in Nigeria. J. Math. Comput. Sci. 2022, 26, 16–21. [Google Scholar] [CrossRef]
- Rezapour, S.; Mohammadi, H. A study on the AH1N1/09 influenza transmission model with the fractional Caputo–Fabrizio derivative. Adv. Differ. Equ. 2020, 2020, 488. [Google Scholar] [CrossRef]
- Li, C.H.; Yousef, A. Bifurcation analysis of a network-based SIR epidemic model with saturated treatment function. Chaos Interdiscip. J. Nonlinear Sci. 2019, 29, 033129. [Google Scholar] [CrossRef]
- Wang, Z.; Jamal, S.S.; Yang, B.; Pham, V.T. Complex behavior of COVID-19’s mathematical model. Eur. Phys. J. Spec. Top. 2022, 231, 885–891. [Google Scholar] [CrossRef]
- Yu, X.; Liu, M.; Zheng, Z.; Hu, D. Complex dynamics of a discrete-time SIR model with nonlinear incidence and recovery rates. Int. J. Biomath. 2023, 16, 2250131. [Google Scholar] [CrossRef]
- Cui, Q.; Qiu, Z.; Liu, W.; Hu, Z. Complex dynamics of an SIR epidemic model with nonlinear saturate incidence and recovery rate. Entropy 2017, 19, 305. [Google Scholar] [CrossRef]
- Ahmed, M.; Masud, M.A.B.; Sarker, M.M.A. Bifurcation analysis and optimal control of discrete SIR model for COVID-19. Chaos Solitons Fractals 2023, 174, 113899. [Google Scholar] [CrossRef]
- AlShamrani, N.H.; Alshaikh, M.A.; Elaiw, A.M.; Hattaf, K. Dynamics of HIV-1/HTLV-I co-infection model with humoral immunity and cellular infection. Viruses 2022, 14, 1719. [Google Scholar] [CrossRef]
- Dehingia, K.; Mohsen, A.A.; Alharbi, S.A.; Alsemiry, R.D.; Rezapour, S. Dynamical behavior of a fractional order model for within-host SARS-CoV-2. Mathematics 2022, 10, 2344. [Google Scholar] [CrossRef]
- Darti, I.; Suryanto, A. Dynamics of a SIR epidemic model of childhood diseases with a saturated incidence rate: Continuous model and its nonstandard finite difference discretization. Mathematics 2020, 8, 1459. [Google Scholar] [CrossRef]
- Gómez, M.; Mondragon, E.; Rubio, F. Mathematical model of a SCIR epidemic system with migration and nonlinear incidence function. J. Math. Comput. Sci. 2023, 31, 345–352. [Google Scholar] [CrossRef]
- Zhou, Y.; Jiang, D. Dynamic behavior of infectious diseases influenced by TV and social media advertisement. Chaos Solitons Fractals 2023, 168, 113127. [Google Scholar] [CrossRef]
- Almatrafi, M.; Berkal, M.; Ahmed, R. Dynamical transitions and chaos control in a discrete predator–prey model with Gompertz growth and Holling type III response. Chaos Solitons Fractals 2025, 200, 117071. [Google Scholar] [CrossRef]
- Nikolopoulou, E.; Eikenberry, S.E.; Gevertz, J.L.; Kuang, Y. Mathematical modeling of an immune checkpoint inhibitor and its synergy with an immunostimulant. Discret. Contin. Dyn. Syst.-B 2021, 26, 2133–2159. [Google Scholar] [CrossRef]
- Kirschner, D.; Panetta, J.C. Modeling immunotherapy of the tumor-immune interaction. J. Math. Biol. 1998, 37, 235–252. [Google Scholar] [CrossRef]
- Carr, J. Applications of Centre Manifold Theory; Springer Science & Business Media: Berlin/Heidelberg, Germany, 2012. [Google Scholar]
- Gottwald, G.A.; Melbourne, I. A new test for chaos in deterministic systems. Proc. R. Soc. Lond. Ser. A Math. Phys. Eng. Sci. 2004, 460, 603–611. [Google Scholar] [CrossRef]
- Terry-Jack, M.; O’Keefe, S. Classifying 1D elementary cellular automata with the 0–1 test for chaos. Phys. D Nonlinear Phenom. 2023, 453, 133786. [Google Scholar] [CrossRef]
- Martinovič, T. Alternative approaches of evaluating the 0-1 test for chaos. Int. J. Comput. Math. 2020, 97, 508–521. [Google Scholar] [CrossRef]
- Azioune, M.; Abdelouahab, M.S.; Lozi, R. Bifurcation Analysis of a Cournot Triopoly Game with Bounded Rationality and Chaos Control Via the OGY Method. Int. J. Bifurc. Chaos 2025, 35, 2530019. [Google Scholar] [CrossRef]
- Almatrafi, M.B.; Berkal, M. Bifurcation analysis and chaos control for fractional predator-prey model with Gompertz growth of prey population. Mod. Phys. Lett. B 2025, 39, 2550103. [Google Scholar] [CrossRef]
- Din, Q.; Zulfiqar, M.A. Qualitative behavior of a discrete predator-prey system under fear effects. Z. Für Naturforschung A 2022, 77, 1023–1043. [Google Scholar] [CrossRef]
- Berkal, M.; Almatrafi, M.B. Bifurcation and stability of two-dimensional activator-inhibitor model with fractional-order derivative. Fractal Fract. 2023, 7, 344. [Google Scholar] [CrossRef]

















Disclaimer/Publisher’s Note: The statements, opinions and data contained in all publications are solely those of the individual author(s) and contributor(s) and not of MDPI and/or the editor(s). MDPI and/or the editor(s) disclaim responsibility for any injury to people or property resulting from any ideas, methods, instructions or products referred to in the content. |
© 2026 by the authors. Licensee MDPI, Basel, Switzerland. This article is an open access article distributed under the terms and conditions of the Creative Commons Attribution (CC BY) license.
Share and Cite
Berkal, M.; Almatrafi, M.B.; Azioune, S.; Abdelouahab, M.-S. Stability and Bifurcation Analysis of a Discrete Tumor-Immune System with Allee Effects. Mathematics 2026, 14, 713. https://doi.org/10.3390/math14040713
Berkal M, Almatrafi MB, Azioune S, Abdelouahab M-S. Stability and Bifurcation Analysis of a Discrete Tumor-Immune System with Allee Effects. Mathematics. 2026; 14(4):713. https://doi.org/10.3390/math14040713
Chicago/Turabian StyleBerkal, Messaoud, Mohammed Bakheet Almatrafi, Samir Azioune, and Mohammed-Salah Abdelouahab. 2026. "Stability and Bifurcation Analysis of a Discrete Tumor-Immune System with Allee Effects" Mathematics 14, no. 4: 713. https://doi.org/10.3390/math14040713
APA StyleBerkal, M., Almatrafi, M. B., Azioune, S., & Abdelouahab, M.-S. (2026). Stability and Bifurcation Analysis of a Discrete Tumor-Immune System with Allee Effects. Mathematics, 14(4), 713. https://doi.org/10.3390/math14040713

