Next Article in Journal
Analytical and Numerical Solution to a Novel Partial Differential Equation of the Optimal Investment–Consumption Combination Problem
Previous Article in Journal
Active Fault Detection of Switched Logical Control Networks with State Constraints
 
 
Font Type:
Arial Georgia Verdana
Font Size:
Aa Aa Aa
Line Spacing:
Column Width:
Background:
Article

Low-Carbon Policy in a Duopoly with Differentiated Products, Green R&D, and Knowledge Spillovers: A Cournot–Bertrand Comparison

School of Economics and Management, Hunan Institute of Science and Technology, Yueyang 414006, China
*
Author to whom correspondence should be addressed.
Mathematics 2026, 14(4), 638; https://doi.org/10.3390/math14040638
Submission received: 1 January 2026 / Revised: 28 January 2026 / Accepted: 2 February 2026 / Published: 11 February 2026
(This article belongs to the Special Issue Game Theory in Economics and Operations Research)

Abstract

This study examines the optimal design of low-carbon policies for governments, firms, and consumers within a unified analytical framework. We develop a three-stage game-theoretic duopoly model with differentiated products, green R&D, and knowledge spillovers to analyze the effects and implications of low-carbon policies in a polluting industry. The analysis encompasses both Cournot and Bertrand competition under commitment and non-commitment regimes, as well as non-cooperative and cooperative R&D structures. Specifically, we (i) quantify the impacts of low-carbon policies on R&D, emissions, profits, and welfare across alternative competition modes, policy-timing regimes, and R&D organizations; (ii) examine the roles of key policy parameters across all scenarios; and (iii) provide an integrated and intuitive interpretation of the underlying economic mechanisms.
MSC:
91B02; 91B24; 91B54; 91B76
JEL Classification:
L13; L51; O33; Q55; Q58

1. Introduction

The United Nations Environment Programme (UNEP) reports that, despite recent climate pledges, global temperatures are still projected to rise by 2.3–2.5 °C by the end of the century, falling short of the Paris Agreement’s 1.5 °C target (UNEP, 2025 [1]). Reinforcing this concern, discussions at the United Nations Climate Change Conference (COP30) emphasized the urgent need to strengthen the implementation and effectiveness of low-carbon policies, particularly through enhanced policy coordination, innovation incentives, and market-based instruments (UNFCCC, 2025 [2]). Against this backdrop, this study analyzes low-carbon policy dynamics in a duopoly with differentiated products, green R&D, and knowledge spillovers under Cournot and Bertrand competition with both commitment and non-commitment regimes. Specifically, we (i) quantify the impacts of low-carbon policies on R&D, emissions, profits, and welfare across alternative competition modes, policy-timing regimes, and R&D organization structures; (ii) examine the roles of key policy parameters across all scenarios; and (iii) provide an integrated and intuitive interpretation of the underlying economic mechanisms. By integrating game theory and environmental policy, this paper sheds light on how market structure and firm strategy shape low-carbon policy effectiveness, thereby informing the design of more efficient and credible climate interventions.
Within a three-stage game-theoretic framework, we construct a duopoly model in which firms invest in green R&D to reduce emissions, with product differentiation and knowledge spillovers playing central roles. In the Cournot non-commitment scenario, firms first choose green R&D, the government then sets a welfare-maximizing carbon tax, and firms subsequently compete à la Cournot. The Bertrand non-commitment scenario follows the same timing, except that firms engage in price competition in the final stage. Under commitment, the government sets the carbon tax in the first stage, firms then choose green R&D, and the final stage involves either Cournot or Bertrand competition, depending on the competitive mode. We consider eight scenarios defined by the following: (i) the competition mode (Cournot or Bertrand), (ii) the regulator’s decision timing (commitment or non-commitment), and (iii) the R&D regime (R&D competition or R&D cooperation). The scenarios are summarized in Section 4 (CCN, CCC, BCN, BCC, CNN, CNC, BNN, and BNC).
This study makes several contributions. To the best of our knowledge, no existing research examines the effects of low-carbon policies on economic, environmental, and social equilibria in a polluting duopoly with differentiated products, green R&D, and knowledge spillovers. Moreover, prior work does not provide a systematic comparison of equilibrium R&D, emissions, industry profits, and welfare across alternative R&D organizations and competition modes under regimes in which the government does or does not precommit to a carbon tax. Methodologically, this study integrates analytical derivations, graphical analysis, and numerical simulations to investigate the determinants and outcomes of R&D, emissions, industry profits, and welfare, as well as the broader implications of low-carbon policies. Model solutions are visualized using a comprehensive multidimensional graph, which simultaneously captures multiple variable dimensions, structural relationships, and scenario-specific contrasts within a unified framework. By adopting a unified perspective encompassing governments, firms, and consumers, this study fills important gaps in the literature and provides novel insights into strategic low-carbon policymaking aimed at achieving multiple objectives. Our analysis identifies the conditions under which superior outcomes in R&D, emissions, industry profits, and welfare can be attained, thereby extending the literature on time-consistent and time-inconsistent environmental policies with abatement R&D and emissions regulation (Ouchida and Goto, 2011, 2014, 2016a, 2016b; Petrakis and Poyago-Theotoky, 2002; Poyago-Theotoky, 2007, 2010; Poyago-Theotoky and Teerasuwannajak, 2002; Wang, 2020, 2021; Wang and Atallah, 2025a, 2025b [3,4,5,6,7,8,9,10,11,12,13]).
This study yields six key insights. First, in the CCN scenario, lower product substitutability and weaker knowledge spillovers jointly increase equilibrium R&D. In other scenarios, lower product substitutability alone consistently raises equilibrium R&D. Cournot and Bertrand contours are nearly collinear in the CNN, BNN, CNC, and BNC scenarios. However, Cournot outcomes diverge significantly from Bertrand in the CCN, BCN, CCC, and BCC scenarios. As product substitutability decreases, R&D levels under CNC and BNC achieve the first-best outcomes. Second, in the CCN, BCN, CCC, and BCC scenarios, higher product substitutability and stronger knowledge spillovers systematically decrease equilibrium emissions. In the other scenarios, higher product substitutability alone reduces emissions. While Cournot and Bertrand contours are nearly collinear in the CNN and BNN scenarios, Cournot outcomes diverge notably from Bertrand when products are complementary or homogeneous, as observed in the CCN, BCN, CCC, and BCC scenarios. As product substitutability increases, emission levels under CCC and BCC reach the first-best outcomes.
Third, lower product substitutability and stronger knowledge spillovers consistently increase equilibrium industry profits. As product substitutability decreases, Cournot outcomes diverge substantially from Bertrand in the CNN, BNN, CNC, and BNC scenarios. In contrast, this divergence becomes more pronounced in the CCN, BCN, CCC, and BCC scenarios when lower substitutability is combined with stronger knowledge spillovers. As product substitutability decreases, industry profits under CNC and BNC reach the first-best outcomes. Fourth, lower product substitutability and stronger knowledge spillovers consistently increase equilibrium welfare. While Cournot and Bertrand contours are nearly collinear in the CNN, BNN, CNC, and BNC scenarios, they diverge in the CCN, BCN, CCC, and BCC scenarios when products become complementary or homogeneous. As product substitutability decreases, welfare under CNC and BNC reaches the first-best outcomes. Fifth, as R&D efficiency decreases, the contour orderings of R&D, emissions, industry profits, and welfare remain qualitatively similar. However, equilibrium R&D, industry profits, and welfare decline, while emissions increase. As environmental damage increases, the contour orderings remain unchanged, but R&D increases, while emissions, industry profits, and welfare decline. Sixth, in the Cournot model, compared to Bertrand, there is a special case where the carbon tax can be negative if the goods are highly complementary and knowledge spillovers are extremely high.
The paper is structured as follows. Section 2 reviews the relevant literature, Section 3 presents the model, and Section 4 analyzes it under Cournot and Bertrand competition, with both non-commitment and commitment. Section 5 evaluates the economic and environmental performance across scenarios, and Section 6 concludes with the main findings and policy implications.

2. Literature Review

The literature on this topic centers on four key areas. First, it examines low-carbon policy and competition modes, highlighting the role of Cournot and Bertrand competition in shaping firm behavior and market outcomes under regulation. Second, it analyzes green R&D and knowledge spillovers and their effects in oligopolistic markets. Third, it compares commitment and non-commitment scenarios to assess their impact on policy outcomes and firm strategies. Fourth, it emphasizes that low-carbon policies combined with industry-level green R&D cooperation are crucial for advancing carbon-neutrality goals.

2.1. Low-Carbon Policy and Competition Mode

The following studies examine the role of Cournot competition in low-carbon policy frameworks, with a focus on green R&D and abatement. Wang (2020) [10] develops a Cournot duopoly model with an emission tax, green R&D with knowledge spillovers, and differentiated products, comparing competition and merger regimes under commitment, non-commitment, and exogenous tax scenarios to assess how mergers and commitment affect green R&D and overall economic performance. Extending this line, Wang (2021) [11] proposes a monopoly model with corporate social responsibility (CSR), product differentiation, and green R&D, in which a regulator sets the emission tax, the monopolist chooses green R&D and output, and the model evaluates economic, environmental, and social sustainability. Wang and Atallah (2025a) [12] construct a Cournot duopoly of polluting firms with asymmetric green R&D knowledge spillovers and symmetric abatement-technology contributions and investigate how R&D efficiencies, R&D organization, and information-sharing schemes shape the economy’s economic and environmental equilibria under environmental regulation (In particular, Wang and Atallah (2025a) [12] (i) compare R&D and profits across regimes featuring non-cooperative R&D, co-operative R&D, and symmetric research joint venture cartelization; (ii) evaluate these regimes in terms of R&D, emissions, profits, and welfare; and (iii) examine how R&D efficiency, spillover asymmetries, and spillover magnitude shape economic–environmental performance. In addition, they validate the symmetric research joint venture cartelization setting under symmetric contributions and analyze strategic R&D interactions across regimes. From the perspectives of the government and consumers, symmetric research joint venture cartelization typically maximizes consumer surplus and welfare while minimizing emissions and environmental damage, and firms also tend to find this regime more profitable.) Wang and Atallah (2025b) [13] further analyze the effects of low-carbon policies in a Cournot triopoly with green R&D and knowledge spillovers, comparing alternative R&D regimes and their economic–environmental performance. (Wang and Atallah (2025b) [13] (i) compare the economic–environmental performance of R&D competition, partial R&D cartelization, and full R&D cartelization under both non-commitment and commitment scenarios and (ii) examine stability conditions between insiders and outsiders in partial R&D cartelization under these scenarios. They find that, under non-commitment, the government, enterprises, and consumers all prefer full R&D cartelization over other regimes. Under commitment, in most cases, only the government and consumers favor full R&D cartelization. Partial R&D cartelization is not an equilibrium under non-commitment when spillovers are sufficiently high, nor under commitment when spillovers are intermediate or sufficiently high.) In Bertrand competition, low-carbon policies generate distinct dynamics. Samano et al. (2017) [14] propose a novel framework for analyzing information sharing and R&D collaboration, examining the short- and long-term socioeconomic impacts within a dynamic Bertrand competition model with strategic, stochastic cost-reducing R&D investments. Their results indicate that long-term welfare is higher under a research joint venture (RJV) than in other equilibrium scenarios. Buccella et al. (2021) [15] analyze firms’ adoption of abatement technology under an emissions tax in differentiated Cournot and Bertrand markets and show that multiple Nash equilibria can arise depending on societal awareness of environmental damage and the perceived importance of technological progress in abatement. Xing and Lee (2025) [16] study how consumer environmental awareness influences green R&D subsidy policies under Cournot and Bertrand competition, showing that governments grant higher subsidies to Bertrand firms, which induces greater green R&D and output, while profits and welfare are higher under Cournot (Bertrand) when product substitutability is high (low). Their results imply that the socially preferred competition mode depends jointly on product substitutability and consumer awareness. Xu et al. (2022) [17] examine the strategic interaction between emission taxes and environmental corporate social responsibility (ECSR) in Cournot and Bertrand settings by comparing two timing structures: a tax-then-ECSR game (T game) and an ECSR-then-tax game (E game). They find that the T game always yields a higher emission tax than the E game, but lower ECSR under Cournot and higher ECSR under Bertrand when marginal environmental damage is high; Cournot yields lower (higher) ECSR in the T (E) game and adjusts the optimal tax with product substitutability. Firms generally prefer Cournot competition with the E game, regardless of substitutability and damage. Taken together, these studies indicate that the effectiveness of low-carbon policies is critically contingent on the prevailing mode of competition.

2.2. Green R&D and Knowledge Spillovers

Public policies that promote green R&D can substantially reduce emissions (Jung et al., 1996) [18]. McDonald and Poyago-Theotoky (2017) [19] stress that policy design is pivotal: without emission taxes that internalize externalities, firms lack incentives to invest in green R&D, and optimal instruments must account for how knowledge spillovers operate. Two canonical formulations capture these knowledge spillovers: d’Aspremont and Jacquemin (1988) [20] model output knowledge spillovers, while Kamien et al. (1992) [21] model input knowledge spillovers. Output knowledge spillovers arise when abatement gains embodied in final output diffuse across firms, whereas input knowledge spillovers occur when firms benefit from others’ abatement expenditures or research inputs (d’Aspremont and Jacquemin, 1988; Kamien et al., 1992) [20,21]. Relative to the Kamien et al. [21] framework, the d’Aspremont–Jacquemin model yields higher abatement, lower emissions, and lower optimal taxes. Because it specifies knowledge spillovers on the output side of the green R&D process, it is particularly suitable for analyzing how green R&D translates into abatement and emission reductions under policy and is therefore often preferred for modeling green R&D and clean technologies (Amir et al., 2008) [22]. Using a non-tournament R&D model, McDonald and Poyago-Theotoky (2017) [19] also show a robust pattern under both formulations: when knowledge spillovers are below 0.5, R&D cooperation generates greater abatement, whereas when knowledge spillovers exceed 0.5, R&D competition yields greater abatement.

2.3. Commitment and Non-Commitment Scenarios

Decision timing materially shapes low-carbon policy outcomes, motivating close attention to commitment versus non-commitment. When carbon-tax paths are determined through multi-period international negotiations, regulators cannot credibly precommit to future tax levels; given the long horizon of green R&D, non-commitment is therefore a natural benchmark. Fukuda and Ouchida (2020) [23] identify two mechanisms that undermine commitment: firms invest in green R&D preemptively to induce laxer future regulation, and governments subsequently adjust policies in response to firms’ strategic behavior. García et al. (2018) [24] analyze competition between a consumer-friendly firm and a profit-maximizing firm under two instruments—tradable permits and an emissions tax—with both commitment and non-commitment. Under commitment, the optimal tax increases with concern for consumer surplus, the consumer-friendly firm earns higher profit, and taxes and permits deliver identical output and emissions, while firms prefer permits. Under non-commitment, similar qualitative patterns hold, but the optimal tax is lower than the permit price; permits lead to less abatement than under commitment, whereas the tax induces greater abatement by the consumer-friendly firm, which continues to earn higher profit except when concern for consumers is very strong. Moreover, Wang (2020) [10] examines how mergers and policy commitment affect green R&D and the broader economy. The results show that (i) mergers increase green R&D under non-commitment and exogenous tax scenarios; (ii) under commitment, mergers reduce green R&D when goods are imperfect substitutes or homogeneous but increase green R&D when goods are complements or independent; and (iii) commitment reduces green R&D across product types and regimes. In a related contribution, Wang and Atallah (2025b) [13] (i) compare economic and environmental performance under R&D competition, partial cartelization, and full cartelization with and without commitment; (ii) derive stability conditions for insider–outsider configurations in partial cartelization under both timings; and (iii) establish full-rank properties of firm- and industry-level variables across cases.

2.4. Industry-Level Green R&D Cooperation

Firms invest in R&D to generate innovation, strengthen market power, sustain competitiveness, and create social value through technological progress (Geroski, 1990; Etro, 2004) [25,26] (The literature identifies four main views on the competition–innovation relationship: (i) market power promotes innovation (Schumpeter, 2013) [27]; (ii) market power hinders innovation (Arrow, 1972) [28]; (iii) the relationship is monotonic in one direction (Schmutzler, 2010) [29]; and (iv) the relationship is inverted U-shaped (Aghion et al., 2005) [30].) Using a non-tournament duopoly, Poyago-Theotoky (1996) [31] analyzes R&D rivalry between asymmetric firms with unequal initial costs and shows that R&D expenditure depends on the balance between incentive and effectiveness effects. In a Cournot oligopoly with knowledge spillovers, Tesoriere (2014) [32] studies competition among R&D cartels and how changes in the number of cartels affect key variables, concluding that welfare criteria and cooperative synergies are central determinants. Departing from standard cost-reduction settings, Lambertini et al. (2017) [33] link Cournot competition to green innovation in an n-firm model where firms strategically invest in green R&D to reduce emissions while a committed regulator endogenously sets the optimal emissions tax (green R&D is closely linked to cleaner technologies, demand for sustainable energy, and climate change (Wang and Atallah, 2025b) [13]); with knowledge spillovers, they find an inverted U-shaped relationship between competition and green innovation. Green R&D cooperation is also a common organizational form in high-tech industries (Wang and Atallah, 2025a,b) [12,13], and much of the literature models it as a single, industry-wide R&D cartel (Kamien et al., 1992; [21] Suzumura, 1992; [34] Leahy and Neary, 1997; [35] Amir, 2000; [36] Amir et al., 2003 [37]). In an oligopoly with knowledge spillovers, Poyago-Theotoky (1995) [38] examines equilibrium and optimal RJV size and shows that (i) knowledge spillovers create a wedge between private and social R&D incentives; (ii) the welfare-maximizing RJV includes all firms; (iii) the equilibrium RJV is always smaller than the optimal one; and (iv) governments should promote industry-wide RJVs in high-tech sectors. Building on this line of research, Wang (2020, 2021) [10,11] show that combining low-carbon policies with industry-level green R&D cooperation is crucial for advancing carbon-neutrality goals (notable examples of industry-wide green R&D cooperation and information sharing for carbon emission reduction include Intel’s “Achieving Carbon-Neutral Computing” initiative (Intel Corporation Corporate Responsibility Report, 2023, pp. 83–86) [39] and Samsung’s efforts toward carbon neutrality (Samsung Newsroom, 2021, pp. 23–36) [40]).

3. The Model

In the context of low-carbon policy, this study develops a duopoly model with differentiated products, green R&D, and knowledge spillovers (the model in this study builds on established frameworks of abatement R&D and emissions regulation (Ouchida and Goto, 2011, 2014, 2016a, 2016b; Petrakis and Poyago-Theotoky, 2002; Poyago-Theotoky, 2007, 2010; Poyago-Theotoky and Teerasuwannajak, 2002; Wang, 2020, 2021; Wang and Atallah, 2025a, 2025b) [3,4,5,6,7,8,9,10,11,12,13]). Production generates pollution, firms invest in R&D to abate emissions, and R&D creates positive spillovers. We employ a three-stage game-theoretic framework under two competition modes (Cournot and Bertrand) and two policy-timing scenarios (commitment and non-commitment) and within each case consider R&D competition and R&D cooperation. In the Cournot non-commitment scenario, firms first choose R&D (cooperatively or non-cooperatively), the government then sets a welfare-maximizing carbon tax, and firms finally compete à la Cournot. The Bertrand non-commitment scenario follows the same timing, but firms engage in price competition in the last stage. Under commitment, the government first sets the carbon tax, firms subsequently choose R&D (cooperatively or non-cooperatively), and the final stage features Cournot or Bertrand competition, depending on the mode. (If the tax is determined through international climate negotiations with long planning horizons, regulators cannot credibly precommit to its level in subsequent negotiation rounds. Given that green R&D is also long-term, assuming no tax precommitment is therefore reasonable. Fukuda and Ouchida (2020) [23] further identify two mechanisms underlying this lack of commitment in environmental regulation: first, firms unilaterally invest in green R&D before policy decisions to induce laxer future regulation; second, governments subsequently revise policies in response to firms’ strategic behavior.)
Two firms, i and j , engage in quantity competition in differentiated products, choosing outputs q i and q j . Each firm faces the following linear demand function:
p i q i , q j = a q i + θ q j , i , j = 1,2 ; i j ,
where a > 0 is a market-size parameter. Product differentiation is captured by θ ( 1,1 ) . When θ ( 1,0 ) , the goods are complements; when θ = 0 , they are independent; when θ ( 0,1 ) , they are imperfect substitutes; and as θ 1 , they approach homogeneity.
Let q 0 denote consumption of a numeraire good, defined as follows:
q 0 q i , q j = m p i q i p j q j ,
where m denotes the consumer’s budget. (The model adopts a representative consumer rather than explicitly modeling heterogeneous individuals. Equation (3) specifies this consumer’s utility function, a standard device for aggregating preferences in macro- and industrial-organization models. The demand system in Equation (1) is derived from the representative consumer’s utility maximization under the aggregate budget constraint, so that market demand reflects the collective behavior of all consumers. As Caselli and Ventura (2000) [41] emphasize, the representative-consumer framework does not preclude heterogeneity; it simply imposes enough structure on individual differences that the aggregate behaves as if generated by a single, fictitious consumer.)
The representative consumer’s utility function is given by
U t q i , q j = q 0 + a q i + a q j 1 2 ( q i 2 + q j 2 + 2 θ q i q j ) ,
Consumer surplus is given by
C s = U t q 0 p i q i p j q j .
The firm’s emissions function is specified as follows:
e i z i , z j , q i = q i z i β z j .
All firms adopt end-of-pipe technologies to reduce emissions, which abate pollution by capturing it at the end of the production process. The R&D spillover parameter is β [ 0 , 1 ] . Firm i benefits from the rival’s R&D through a positive externality β z j .
Profit is defined as follows:
π i z i , z j , t , q i , q j = p i q i c q i t e i ɣ 2 z i 2 ,
where t denotes the carbon tax and c > 0 is the marginal cost parameter.
Industry profit is given by
I p = π i + π j ,
Tax revenue is given by
T e = e i + e j t .
Emissions generate environmental damage, which is measured as follows:
D a = d 2 e i + e j 2 ,
where d > 0 is the environmental damage parameter. (Ouchida and Goto (2016b) [6] argue that the exogenous environmental damage parameter d should be grounded in findings from environmental epidemiology and public health and may be influenced by population growth, depopulation, and pollutant toxicity. Antelo and Loureiro (2009) [42] further emphasize that d reflects the regulator’s overall valuation of environmental quality and its preferences regarding the distribution of environmental damage.)
Each firm’s emissions intensity is normalized to one unit per unit of output, and firm i ’s R&D effort is denoted by z i . An effort level z i allows firm i to abate z i units of emissions. Firm i benefits from both its own and its rival’s R&D efforts. R&D expenditures are assumed to be quadratic, implying decreasing returns to R&D (following Poyago-Theotoky (1999 [43], 2007, 2010 [8]) and Ouchida and Goto (2011, 2014, 2016a,b) [3,4,5,6], we also assume a quadratic R&D expenditure function). For abatement levels of z i and z j , R&D cost is given by
R s z i , z j = ɣ 2 ( z i 2 + z j 2 ) ,
where γ > 0 is the R&D efficiency parameter, with a lower γ indicating higher R&D efficiency (the total cost function of each firm is additively separable into production costs and R&D expenditures (Wang, 2020, 2021; Wang and Atallah, 2025a, 2025b) [10,11,12,13]).
Pollution reduction is defined as follows:
P r = ( z i + β z j ) + ( z j + β z i ) .
Emissions are defined as follows:
E m = e i + e j .
Operational profit is defined as follows:
O p = p i q i c q i + ( p j q j c q j ) .
Joint profit is given by
J p = π i + π j .
Welfare is given by
W = C s + I p + T e D a .
Equations (1)–(15) are formulated under Cournot competition. Under Bertrand competition, Equation (1) is replaced by the following expression, and the model is correspondingly reformulated in terms of prices (see Supplementary Materials):
q i p i , p j = a 1 θ p i + θ p j 1 θ 2 , i , j = 1,2 ; i j ,
The model variables are summarized in Table 1.

4. Scenarios

We consider eight scenarios defined by (i) the competition mode (Cournot or Bertrand), (ii) the regulator’s decision timing (commitment or non-commitment), and (iii) the R&D regime (R&D competition or R&D cooperation). The scenarios are summarized in Table 2.

4.1. Cournot with Commitment Under R&D Competition and Cooperation

In the CCN scenario, the government first sets the welfare-maximizing carbon tax, firms then choose R&D non-cooperatively, and Cournot competition takes place in the final stage. (As standard, we solve the model by backward induction to obtain the subgame-perfect Nash equilibrium in each scenario. Scenario labels are denoted by superscripts on variables and firms by subscripts. The Supplementary Materials reports equilibrium outcomes for all scenarios along with supporting materials. Regarding second-order conditions, under the admissible parameter domain ( a > 0 , c > 0 , γ > 0 , d > 0 , m > 0 , 1 < θ < 1 , 0 β 1 ), firms’ profit functions are strictly concave in output/price and R&D choices, and the government’s welfare function is strictly concave in the carbon tax. These conditions hold across all eight scenarios, ensuring the uniqueness and stability of the equilibria.)
Specifically, in the third stage under commitment, given the R&D levels and carbon tax chosen in earlier stages, each firm non-cooperatively selects its output to maximize profit by solving π i q i = 0 and π j q j = 0 , yielding the equilibrium outputs q i and q j as follows:
q i = q j = a + c + t 2 + θ .
In the second stage, by substituting Equation (17) into Equation (6), each firm independently invests in R&D to maximize profit, setting π i z i = 0 and π j z j = 0 , which yields the equilibrium R&D levels z i and z j as follows:
z i = z j = t γ .
In the first stage, by substituting Equations (17) and (18) into Equation (15), the regulator selects the carbon tax to maximize welfare by setting W t = 0 , resulting in the equilibrium carbon tax t as follows:
t C C N = ( a c ) γ ( γ + 2 d ( 2 + γ + θ + β ( 2 + θ ) ) ) 2 d ( 2 + γ + θ + β ( 2 + θ ) ) 2 + γ ( γ ( 1 + θ ) + ( 2 + θ ) 2 ) .
Therefore, in the CCN scenario, the equilibrium values of R&D and output are as follows:
z i C C N = z j C C N = ( a c ) ( γ + 2 d ( 2 + γ + θ + β ( 2 + θ ) ) ) 2 d ( 2 + γ + θ + β ( 2 + θ ) ) 2 + γ ( γ ( 1 + θ ) + ( 2 + θ ) 2 ) ,
q i C C N = q j C C N = ( a c ) ( γ ( 2 + γ + θ ) + 2 d ( 1 + β ) ( 2 + γ + θ + β ( 2 + θ ) ) ) 2 d ( 2 + γ + θ + β ( 2 + θ ) ) 2 + γ ( γ ( 1 + θ ) + ( 2 + θ ) 2 ) .
In the CCC scenario, the government first sets the welfare-maximizing carbon tax, followed by cooperative R&D investment by the firms, with Cournot competition occurring in the final stage. The key distinction from the CCN scenario lies in the second stage, where, by substituting Equation (17) into Equation (14), firms collaboratively invest in R&D to maximize joint profit, setting J p z i = 0 and J p z j = 0 , resulting in the equilibrium R&D levels as follows:
z i = z j = t + t β γ .
Thus, in the CCC scenario, the equilibrium values are as follows:
t C C C = ( a c ) γ ( γ + 2 d ( 2 + γ + θ + β ( 2 + β ) ( 2 + θ ) ) ) 2 d ( 2 + γ + θ + β ( 2 + β ) ( 2 + θ ) ) 2 + γ ( 4 + γ + ( 4 + γ ) θ + θ 2 + 2 β ( 2 + θ ) 2 + β 2 ( 2 + θ ) 2 ) ,
z i C C C = z j C C C = ( a c ) ( 1 + β ) ( γ + 2 d ( 2 + γ + θ + β ( 2 + β ) ( 2 + θ ) ) ) 2 d ( 2 + γ + θ + β ( 2 + β ) ( 2 + θ ) ) 2 + γ ( 4 + γ + ( 4 + γ ) θ + θ 2 + 2 β ( 2 + θ ) 2 + β 2 ( 2 + θ ) 2 ) ,
q i C C C = q j C C C = ( a c ) ( 2 d ( 1 + β ) 2 + γ ) ( 2 + γ + θ + β ( 2 + β ) ( 2 + θ ) ) 2 d ( 2 + γ + θ + β ( 2 + β ) ( 2 + θ ) ) 2 + γ ( 4 + γ + ( 4 + γ ) θ + θ 2 + 2 β ( 2 + θ ) 2 + β 2 ( 2 + θ ) 2 ) .

4.2. Cournot with Non-Commitment Under R&D Competition and Cooperation

The CNN and CNC scenarios differ from CCN and CCC in the timing of government decisions. In CNN and CNC, firms first choose R&D either cooperatively or non-cooperatively, after which the government sets the welfare-maximizing carbon tax, and Cournot competition takes place in the final stage.
Therefore, in the CNN and CNC scenarios, the equilibrium values are as follows:
z i C N N = z j C N N = ( a c ) ( 1 θ + 2 d ( 1 + 2 d + β + θ ) ) γ ( 1 + θ ) 2 + 2 d 2 ( 2 ( 2 + 2 β + γ ) + ( 1 + β ) ( 3 + β ) θ ) + d ( 1 + θ ) ( 6 + 4 γ + 3 θ + β ( 4 + β ) ( 2 + θ ) ) ,
t C N N = ( a c ) ( 2 d ( 1 + β ) 2 γ + 4 d 2 γ + ( 1 + 2 d ) ( d ( 1 + β ) 2 + γ ) θ ) γ ( 1 + θ ) 2 + 2 d 2 ( 2 ( 2 + 2 β + γ ) + ( 1 + β ) ( 3 + β ) θ ) + d ( 1 + θ ) ( 6 + 4 γ + 3 θ + β ( 4 + β ) ( 2 + θ ) ) ,
q i C N N = q j C N N = ( a c ) ( γ + 2 d ( ( 1 + β ) ( 2 + 2 d + β ) + γ ) + ( d ( 1 + β ) ( 3 + β ) + γ ) θ ) γ ( 1 + θ ) 2 + 2 d 2 ( 2 ( 2 + 2 β + γ ) + ( 1 + β ) ( 3 + β ) θ ) + d ( 1 + θ ) ( 6 + 4 γ + 3 θ + β ( 4 + β ) ( 2 + θ ) ) ,
z i C N C = z j C N C = ( a c ) ( 1 + β ) ( 1 θ + 2 d ( 2 + 2 d + θ ) ) γ + ( 2 + 2 d + θ ) ( γ θ + 2 d ( 2 + γ + 2 θ + 2 β ( 2 + β ) ( 1 + θ ) ) ) ,
t C N C = ( a c ) ( γ + 4 d ( ( 1 + β ) 2 + d γ ) + ( 1 + 2 d ) ( 2 d ( 1 + β ) 2 + γ ) θ ) γ + ( 2 + 2 d + θ ) ( γ θ + 2 d ( 2 + γ + 2 θ + 2 β ( 2 + β ) ( 1 + θ ) ) ) ,
q i C N C = q j C N C = ( a c ) ( γ + 2 d ( ( 3 + 2 d ) ( 1 + β ) 2 + γ ) + ( 4 d ( 1 + β ) 2 + γ ) θ ) γ + ( 2 + 2 d + θ ) ( γ θ + 2 d ( 2 + γ + 2 θ + 2 β ( 2 + β ) ( 1 + θ ) ) ) .

4.3. Bertrand with Commitment Under R&D Competition and Cooperation

The BCN and BCC scenarios differ from the CCN and CCC scenarios in the final stage. In both BCN and BCC, the government first sets the welfare-maximizing carbon tax, followed by firms’ R&D decisions, which can be made either cooperatively or non-cooperatively. Bertrand competition then occurs in the final stage. Thus, the equilibrium values for the BCN and BCC scenarios are presented in the Supplementary Materials (both Cournot and Bertrand competition are derived from the same quasi-linear utility specification, ensuring that welfare comparisons are based on common primitives).

4.4. Bertrand with Non-Commitment Under R&D Competition and Cooperation

The BNN and BNC scenarios differ from the CCN and CCC cases in both the second and the final stage. In BNN and BNC, firms first choose their green R&D levels, either non-cooperatively or cooperatively; in the second stage, the government sets the welfare-maximizing carbon tax; and in the third stage, firms engage in Bertrand price competition. Accordingly, the equilibrium outcomes for the BNN and BNC scenarios are reported in the Supplementary Materials.

5. Results

This study integrates analytical derivations, graphical analysis, and numerical simulations to examine low-carbon policy in a duopoly with differentiated products, green R&D, and knowledge spillovers, offering a systematic Cournot–Bertrand comparison. Model outcomes are visualized using a comprehensive multidimensional graph, which simultaneously represents multiple variable dimensions, structural relationships, and scenario-specific contrasts within a unified graphical framework. Unlike traditional univariate or two-dimensional plots, this approach employs contour maps, multi-panel layouts, or multidimensional-scaling projections to capture interactions among key parameters, decision variables, and institutional regimes. It reveals global patterns, scenario heterogeneity, cross-variable interaction effects, and policy-relevant insights inherent in high-dimensional economic models, thereby providing a more integrated and intuitive understanding of the underlying mechanisms. Propositions 1–6 compare economic and environmental performance across all scenarios and summarize the main findings.
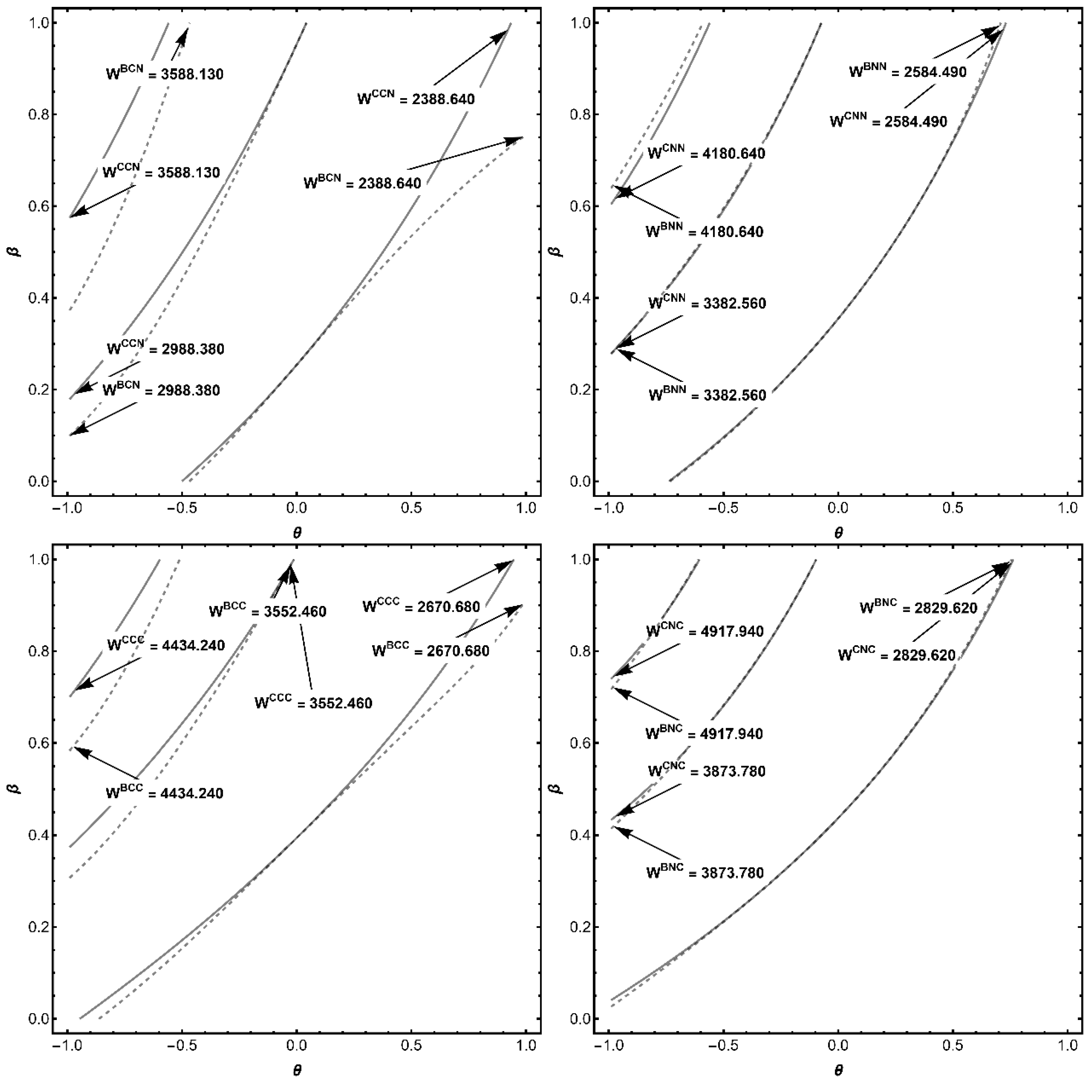
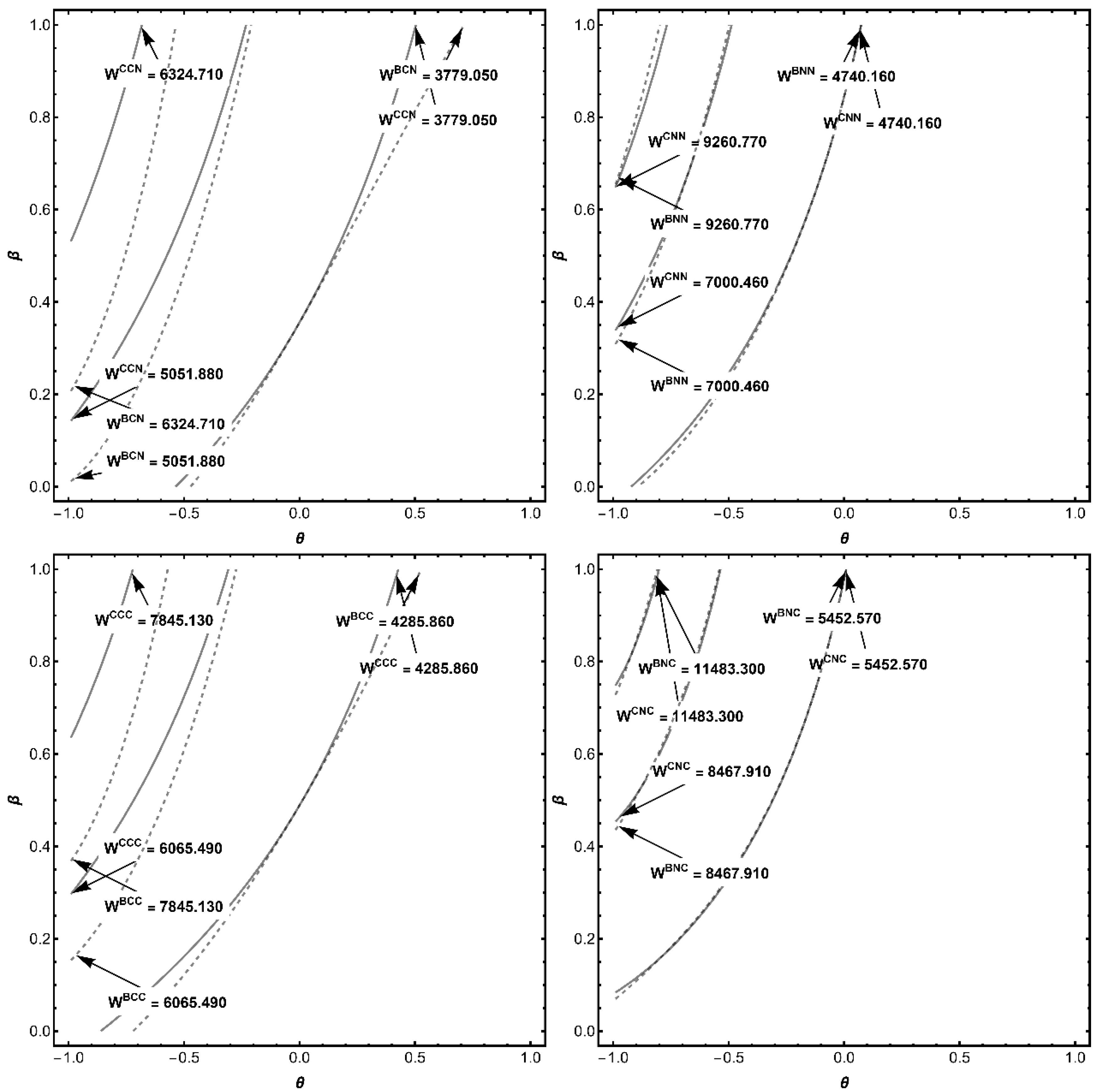
Using the baseline parameters a = 103 , c = 3 , γ = 3 , and d = 3 , and allowing θ ( 1,1 ) and β [ 0,1 ] , the comprehensive multidimensional graphs (Figure 1, Figure 2, Figure 3, Figure 4 and Figure 5) provide a horizontal comparison of R&D, emissions, industry profits, and welfare across the eight scenarios under commitment and non-commitment. The qualitative results are invariant to a and c . In these figures, θ is shown on the horizontal axis and β on the vertical axis, while three solid and three dashed contour lines represent Cournot and Bertrand outcomes at low, medium, and high levels. Table 3, Table 4, Table 5, Table 6, Table 7, Table 8, Table 9 and Table 10 further report numerical simulations that compare scenario outcomes for selected parameter values.
Proposition 1.
 (i) In the CCN scenario, the contour ordering satisfies  Z ( θ , β ) > Z ( θ , β )  whenever  θ < θ  and  β < β , indicating that lower product substitutability and weaker knowledge spillovers jointly increase equilibrium R&D. In the remaining scenarios, the ordering satisfies  Z ( θ , β ) > Z ( θ , β )  whenever  θ < θ , implying that lower product substitutability alone systematically raises equilibrium R&D. (ii) Cournot and Bertrand contours are nearly collinear in the CNN and BNN scenarios, as well as in the CNC and BNC scenarios. However, Cournot outcomes diverge significantly from Bertrand in the CCN and BCN scenarios, as well as in the CCC and BCC scenarios. (iii) As product substitutability decreases, R&D levels follow the ordering Z C N C > Z C N N > Z C C C > Z C C N  and  Z B N C > Z B N N > Z B C C > Z B C N .
Proof. 
The proposition is supported by the closed-form solutions derived in the Supplementary Materials and is illustrated graphically in Figure 1, where the contour ordering and cross-scenario rankings are visually evident across the admissible parameter domain. □
In the CCN scenario, lower product substitutability and weaker knowledge spillovers jointly increase equilibrium R&D. In all other scenarios, lower product substitutability alone systematically raises equilibrium R&D. Proposition 1(i) implies that, in the CCN scenario, the regulator precommits to the carbon tax and firms choose R&D non-cooperatively. As a result, the ratchet effect associated with non-commitment is absent (the ratchet effect under non-commitment stimulates R&D investment: when the government sets the carbon tax after firms’ R&D decisions, the tax increases the private returns to an additional unit of R&D, thereby incentivizing firms to invest more in the first stage (Hepburn, 2006; Puller, 2006; Brunner et al., 2012) [44,45,46]), while R&D market failure arising from positive spillovers persists, and both factors jointly lead to lower R&D investment. Consequently, R&D incentives in CCN are strongly shaped by both product substitutability and knowledge spillovers. The intensity of product-market competition is governed by θ : a lower θ softens competition and increases the marginal return to R&D, while a lower β weakens the information-sharing improvement effect, thereby requiring greater R&D investment (the information-sharing improvement effect enhances R&D efficiency: higher spillovers mitigate information-sharing distortions and improve abatement efficiency, thereby reducing the amount of R&D required (Wang and Atallah, 2025b) [13]). Equilibrium R&D therefore increases in both directions, i.e., as θ and β decrease. As reported in Table 2, CCN serves as the benchmark scenario. In the remaining scenarios, either policy is set under non-commitment or R&D is coordinated, capturing the ratchet effect of non-commitment or the correction of R&D market failure through cooperation, respectively. In both cases, the effective spillover externality is largely neutralized, rendering equilibrium R&D almost insensitive to β and leaving θ as the primary determinant of R&D. This explains why higher Z C C N values are systematically located toward the southwest region of the ( θ , β ) plane, whereas the other scenarios exhibit nearly vertical contours dominated by a monotonic effect of θ alone.
Based on Proposition 1(ii), the near collinearity of the contours for Z C N N and Z B N N , as well as for Z C N C and Z B N C , reflects the fact that once policy is set under non-commitment—regardless of whether R&D is organized non-cooperatively or cooperatively—the market-competition asymmetry between quantity and price competition is largely neutralized by the ratchet effect associated with R&D-enhancing non-commitment. Consequently, the mapping from ( θ , β ) to equilibrium R&D becomes almost identical under Cournot and Bertrand competition. By contrast, the divergence between the contours of Z C C N and Z B C N , as well as between Z C C C and Z B C C , reflects the commitment structure, under which the tax cannot fully adjust to firms’ R&D incentives. This rigidity further suppresses R&D and amplifies the role of the competition mode. Cournot firms, facing weaker price incentives but stronger quantity-based strategic effects, adjust R&D more aggressively in response to changes in θ and β , whereas Bertrand firms respond more weakly.
Proposition 1(iii) establishes the R&D rankings and illustrates how regulatory commitment and R&D organization jointly shape firms’ investment incentives. Two mechanisms enhance R&D under non-commitment with cooperative R&D ( Z C N C , Z B N C ): the ratchet effect associated with non-commitment and the joint profit-maximization effect arising from the internalization of free-riding through R&D coordination (firms have an additional incentive to invest in R&D due to the joint profit-maximization effect (Wang and Atallah, 2025b) [13]). Together, these forces raise the marginal profitability of R&D and generate the strongest incentives, yielding the highest R&D levels. Eliminating cooperation while retaining non-commitment weakens these incentives, producing the intermediate outcomes ( Z C N N , Z B N N ). Under commitment, the tax is fixed ex ante and cannot respond to additional R&D. Although free-riding effects are still internalized through R&D coordination, the overall incentive effect is weaker, leading to lower R&D levels ( Z C C C , Z B C C ) (R&D cooperation solving the R&D market failure, reducing unnecessary duplication, and promoting market competition (Amir et al., 2008 [22]; Cellini and Lambertini, 2009) [47]). Finally, the combination of commitment and non-cooperative R&D ( Z C C N , Z B C N ) provides the least support for abatement investment. This logic applies symmetrically under Cournot and Bertrand competition, implying identical R&D rankings across the two competition modes (we adopt the baseline parameters a = 103 , c = 3 , γ = 3 , and d = 3 , and set θ = 0.2 , with β = 0.2 ; Z C N C = 44.78 > Z C N N = 36.16 > Z C C C = 35.11 > Z C C N = 31.65 and Z B N C = 44.68 > Z B N N = 36.31 > Z B C C = 35.62 > Z B C N = 32.08 ).
Following Petrakis and Poyago-Theotoky (2002) [7], the rationale underlying the present framework lies in the presence of three distinct market failures: (i) R&D market failure arising from zero or positive spillovers, which generate strategic overinvestment and underinvestment incentives; (ii) information-sharing market failure, whereby firms are not adequately rewarded for sharing innovations, resulting in suboptimal information diffusion; and (iii) an overproduction market failure associated with pollution-generating activities. Accordingly, the regulator can deploy an optimal mix of low-carbon policy instruments to correct these distortions. A carbon tax combined with improvements in R&D efficiency addresses the environmental externality, while policies promoting R&D cooperation and research joint ventures mitigate R&D and information-sharing market failures.
Proposition 2.
(i) In the CCN, BCN, CCC, and BCC scenarios, the contour ordering satisfies  E m ( θ , β ) < E m ( θ , β )  whenever  θ > θ  and  β > β , indicating that higher product substitutability and stronger knowledge spillovers systematically decrease equilibrium emissions. In the remaining scenarios, the ordering satisfies  E m ( θ , β ) < E m ( θ , β )  whenever  θ > θ , implying that higher product substitutability alone systematically reduces equilibrium emissions. (ii) Cournot and Bertrand contours are nearly colinear in the CNN and BNN scenarios, as well as in the CNC and BNC scenarios, whereas Cournot outcomes diverge markedly from Bertrand when products become either complementary or homogeneous in the CCN and BCN scenarios, as well as in the CCC and BCC scenarios. (iii) As product substitutability increases, emission levels follow the ordering  E m C C C < E m C C N < E m C N C < E m C N N  and  E m B C C < E m B C N < E m B N C < E m B N N .
Proof. 
The proposition is supported by the closed-form solutions derived in the Supplementary Materials and is illustrated graphically in Figure 2, where the contour ordering and cross-scenario rankings are visually evident across the admissible parameter domain. □
In the CCN, BCN, CCC, and BCC scenarios, higher product substitutability and stronger knowledge spillovers jointly reduce equilibrium emissions. In the remaining scenarios, higher product substitutability alone systematically lowers equilibrium emissions. According to Proposition 2(i), in the CCN, BCN, CCC, and BCC scenarios, the carbon tax is predetermined and cannot adjust to firms’ R&D decisions; as a result, equilibrium emissions respond directly to technological and competitive forces. The market-competition effect implies that higher product substitutability ( θ > θ ) intensifies competition and compresses polluting output, while the information-sharing improvement effect indicates that stronger knowledge spillovers ( β > β ) enhance the effectiveness of R&D (the information-sharing improvement effect enhances the efficiency of R&D activities: high spillovers mitigate information-sharing distortions and increase abatement productivity, thereby reducing the amount of R&D required (Wang and Atallah, 2025b) [13]). Both forces jointly reduce emissions, producing contour maps whose values uniformly decline from the southwest to the northeast. By contrast, in the CNN, BNN, CNC, and BNC scenarios, the carbon tax policy is non-commitment, so improvements in spillover effectiveness are largely offset by policy adjustments or by the internalization of spillover externalities. Consequently, emissions become almost insensitive to β and depend primarily on the market-competition effect captured by θ , yielding nearly vertical contours and a monotonic decline in emissions with respect to θ alone.
Proposition 2(ii) indicates that in the non-commitment scenarios of CNN, BNN, CNC, and BNC, the carbon tax adjusts endogenously to firms’ R&D decisions, rendering the effective strategic environment under Cournot and Bertrand almost identical. The endogenous tax absorbs most differences in strategic substitutability between price and quantity competition. Consequently, the marginal emissions response to ( θ , β ) is driven mainly by the market-competition effect rather than by the mode of competition. This explains why the Cournot and Bertrand contours in these panels are nearly colinear. By contrast, in the commitment scenarios of CCN, BCN, CCC, and BCC, the tax is fixed ex ante and cannot offset strategic differences between Cournot and Bertrand. As products approach homogeneity or complementarity, the market-competition effect becomes dominant, and Cournot outcomes diverge markedly from Bertrand. Because the regulator no longer neutralizes these competitive effects, emissions become substantially more sensitive to whether firms compete in prices or quantities. This generates the pronounced Cournot–Bertrand deviations observed in the CCN/BCN and CCC/BCC panels. In sum, Cournot–Bertrand differences are negligible under non-commitment but become significant under commitment.
Proposition 2(iii) summarizes the rankings: under commitment with cooperative R&D of CCC and BCC, firms internalize free-riding effects while facing a fixed, pre-announced carbon tax. As product substitutability increases, the combined market-competition effect and R&D coordination effect compress the gap between total output and abatement, thereby reducing emissions. Consequently, E m C C C and E m B C C attain the lowest emission levels. Table 3 confirms that as product substitutability increases, emissions follow the ordering E m C C C = 15.08 < E m C C N = 15.29 < E m C N C = 18.57 < E m C N N = 19.35 and E m B C C = 15.62 < E m B C N = 15.76 < E m B N C = 18.63 < E m B N N = 18.97 . If θ rises to 0.8, the same ranking applies.
Proposition 3.
(i) The contour ordering satisfies  I p ( θ , β ) > I p ( θ , β )  whenever  θ < θ  and  β > β , indicating that lower product substitutability and stronger knowledge spillovers systematically increase equilibrium industry profits. (ii) As product substitutability decreases, Cournot outcomes diverge substantially from those under Bertrand competition in the CNN and BNN scenarios, as well as in the CNC and BNC scenarios. By contrast, in the CCN and BCN scenarios and in the CCC and BCC scenarios, such divergence becomes pronounced only when lower product substitutability is accompanied by stronger knowledge spillovers. (iii) As product substitutability decreases, industry profits follow the ordering  I p C N C > I p C N N > I p C C C > I p C C N  and  I p B N C > I p B C C > I p B N N > I p B C N .
Proof. 
The proposition is supported by the closed-form solutions derived in Supplementary Materials and is illustrated graphically in Figure 3, where the contour ordering and cross-scenario rankings are visually evident across the admissible parameter domain. □
Lower product substitutability and stronger knowledge spillovers systematically increase equilibrium industry profits. Proposition 3(i) demonstrates that, across all scenarios, the contour ordering indicates that lower product substitutability weakens competitive pressure, allowing firms to appropriate a larger share of surplus and thereby increasing operational profits. At the same time, stronger knowledge spillovers generate an information-sharing improvement effect that amplifies the effective return to R&D by enabling firms to benefit more from their rivals’ innovation efforts, enhancing abatement and joint profitability. When these two forces operate jointly, higher operational profits translate into increased equilibrium industry profits. Table 4 and Table 5 show that, as parameters shift from θ = 0.5 and β = 0.2 to θ = 0.8 and β = 0.8 , all scenarios experience higher operational and industry profits. For example, I p C C N increases from 3318.18 to 5609.92, while O p C C N rises from 5396.28 to 7559.82.
Proposition 3(ii) reveals that the divergence between Cournot and Bertrand outcomes as product substitutability decreases can be understood by decomposing industry profits into operational profits, abatement costs, and R&D expenditures. First, the market-competition effect implies that lower substitutability relaxes product-market competition and increases operational profits under both competition modes. In the CNN and BNN scenarios, as well as in the CNC and BNC scenarios, weaker competition raises equilibrium R&D (as established in Proposition 1(i)), which increases R&D expenditures. (Table 4 and Table 5 show that as the parameter shifts from θ = 0.5 to θ = 0.8 , all scenarios exhibit higher R&D expenditures. For example, in Table 5, R s B N C increases from 2522.67 to 5423.03.) Under Cournot competition, the profit-enhancing effect of higher operational profits dominates the profit-reducing effects of higher abatement costs and R&D expenditures, whereas under Bertrand these effects are weaker; consequently, the profit gap widens as substitutability falls. (Table 4 shows that as the parameter shifts from θ = 0.5 to θ = 0.8 , I p C N N and I p C N C exhibit larger increases in industry profits, operational profits, abatement costs, and R&D expenditures. The profit increase for I p C N N is 1208.31, and that for I p C N C is 1463.78, both exceeding the corresponding increases for I p B N N (653.32) and I p B N C (675.74).) Second, in these non-commitment scenarios, the information-sharing improvement effect of knowledge spillovers is largely offset by the ratchet effect associated with non-commitment, rendering spillovers relatively unimportant and making declining substitutability alone sufficient to generate Cournot–Bertrand divergence. Third, in the CCN and BCN scenarios and in the CCC and BCC scenarios, the absence of the ratchet effect implies that the market-competition effect and the information-sharing improvement effect jointly operate, so pronounced divergence arises only when lower product substitutability is combined with stronger knowledge spillovers (Table 4 and Table 5 show that as the parameters shift from θ = 0.5 and β = 0.2 to θ = 0.8 and β = 0.8 , I p C C N increases from 3318.18 to 5609.92, I p C C C rises from 3499.61 to 6874.36, I p B C N increases from 3296.72 to 6321.76, and I p B C C increases from 3458.01 to 7685.65).
Table 4 and Table 5 further confirm Proposition 3(iii): as product substitutability decreases, industry profits follow the ordering I p C N C > I p C N N > I p C C C > I p C C N and I p B N C > I p B C C > I p B N N > I p B C N .
Proposition 4.
(i) The contour ordering satisfies  W ( θ , β ) > W ( θ , β )  whenever  θ < θ  and  β > β , indicating that lower product substitutability and stronger knowledge spillovers systematically increase equilibrium welfare. (ii) Cournot and Bertrand contours are nearly colinear in the CNN and BNN scenarios, as well as in the CNC and BNC scenarios. By contrast, Cournot outcomes diverge markedly from Bertrand when products become either complementary or homogeneous, as observed in the CCN and BCN scenarios and in the CCC and BCC scenarios. (iii) As product substitutability decreases, welfare follows the ordering  W C N C > W C N N > W C C C > W C C N and W B N C > W B C C > W B N N > W B C N .
Proof. 
The proposition is supported by the closed-form solutions derived in the Supplementary Materials and is illustrated graphically in Figure 4, where the contour ordering and cross-scenario rankings are visually evident across the admissible parameter domain. □
Lower product substitutability and stronger knowledge spillovers systematically increase equilibrium welfare. The preceding discussion provides the foundation for interpreting Proposition 4. As indicated by the welfare function W = C s + I p + T e D a , welfare outcomes reflect the joint influence of the market-competition effect associated with lower product substitutability, the information-sharing improvement effect arising from stronger knowledge spillovers, the ratchet effect under non-commitment, and the R&D coordination effect stemming from the internalization of free-riding. These mechanisms jointly affect the four components of welfare and are reflected in the contour ordering.
Based on Table 6 and Table 7, several results emerge. (1) For a given level of spillovers ( β = 0.2 or β = 0.8 ), welfare increases in all scenarios as θ decreases from −0.2 to −0.8. The welfare-enhancing effects of higher industry profits, stemming from greater market power, as established in Proposition 3, and higher tax revenues, driven by increased emissions, outweigh the welfare-reducing effects of lower consumer surplus due to firms’ market power and increased environmental damage associated with higher emissions, as established in Proposition 2. (2) Compared with the lower spillover case ( β = 0.2 ), a higher level of spillovers ( β = 0.8 ) amplifies the information-sharing improvement effect, generating larger welfare gains across all scenarios as θ decreases from −0.2 to −0.8. For example, when β = 0.2 , the welfare gain for W C C N is 1027.13, whereas it increases to 1605.30 when β = 0.8 . (3) For each scenario, when product substitutability is lower and knowledge spillovers are stronger, i.e., as parameters shift from θ = 0.2 , β = 0.2 to θ = 0.8 , β = 0.8 , welfare attains its largest increase. For example, W C C N rises from 3780.53 to 6340.25, yielding a welfare gain of 2559.72. This reflects the joint welfare-enhancing effects of the market-competition effect associated with lower product substitutability and the information-sharing improvement effect associated with stronger knowledge spillovers. (4) When the environment features lower product substitutability and stronger knowledge spillovers, i.e., as parameters shift from θ = 0.2 , β = 0.2 to θ = 0.8 , β = 0.8 , all scenarios attain their largest welfare gains. Among them, non-commitment generates additional welfare improvements through the ratchet effect: for example, the welfare gain of W C N N (4481.80) exceeds that of W C C N (2559.72). (5) Building on the preceding effects and further incorporating the R&D coordination effect arising from the internalization of free-riding market failure, welfare gains are maximized in the W C N C and W B N C scenarios. Specifically, W C N C achieves a welfare gain of 5750.86, while W B N C attains a gain of 5671.75. (6) When all four effects are present, the Cournot outcome yields the largest welfare gain, namely W C N C .
Table 6 and Table 7 further confirm Proposition 4 (ii) and (iii). (1) Cournot and Bertrand welfare contours are nearly colinear in the CNN and BNN scenarios, as well as in the CNC and BNC scenarios. For example, when θ = 0.8 and β = 0.8 , welfare levels are similar, with W C N N = 8468.12 and W B N N = 8356.23 . By contrast, Cournot outcomes diverge markedly from Bertrand when products become either complementary or homogeneous, as observed in the CCN and BCN scenarios and in the CCC and BCC scenarios. Under the same parameter configuration ( θ = 0.8 and β = 0.8 ), welfare differs substantially, with W C C N = 6340.25 and W B C N = 7711.95 . These differences stem from variations in welfare components—consumer surplus, industry profits, tax revenues, and environmental damage—between CCN and BCN. Taken together, these patterns indicate that, relative to commitment, the ratchet effect under non-commitment shrinks Cournot–Bertrand welfare differences by reshaping firms’ strategic responses through endogenous policy adjustment. (2) As product substitutability decreases, welfare follows the ordering W C N C > W C N N > W C C C > W C C N and W B N C > W B C C > W B N N > W B C N .
Proposition 5.
(i) As R&D efficiency decreases, the contour orderings of R&D, emissions, industry profits, and welfare remain qualitatively similar; however, equilibrium R&D, industry profits, and welfare decline, while emissions increase. (ii) As environmental damage increases, the contour orderings of R&D, emissions, industry profits, and welfare remain qualitatively similar; however, equilibrium R&D increases, while emissions, industry profits, and welfare decline.
Proof. 
The proposition is supported by the closed-form solutions derived in Supplementary Materials and is illustrated graphically in Figure 5, where the contour ordering and cross-scenario rankings are visually evident across the admissible parameter domain. Figures for the remaining variables are omitted for brevity. □
As stated in Proposition 5(i), a reduction in R&D efficiency proportionally lowers the return on R&D investment across all scenarios, prompting firms to optimally scale back R&D, which directly leads to higher equilibrium emissions. This decline in R&D reduces industry profits due to increased emission costs and carbon taxes, while also raising environmental damages, ultimately lowering overall welfare. Since R&D efficiency affects all policy regimes, competition modes, and cooperation structures symmetrically, it shifts all equilibria in the same direction without altering the underlying strategic trade-offs. As a result, the qualitative contour orderings of R&D, emissions, industry profits, and welfare remain unchanged, though their levels move monotonically. Table 8 presents these results.
Proposition 5(ii) further shows that, as environmental damage intensifies, the strategic trade-offs between R&D investment, emissions, industry profits, and welfare remain consistent in terms of their qualitative relationships. Specifically, firms respond to increased environmental damage by adjusting their R&D investments to mitigate pollution. However, this heightened R&D effort incurs costs. Consequently, while R&D increases in response to greater environmental damage (as firms innovate to reduce emissions), overall emissions, industry profits, and welfare decline. The welfare reduction is driven by the negative effects of lower consumer surplus, industry profits, and tax revenue, which outweigh the welfare gains from reduced environmental damage. Table 9 presents these results.
Proposition 6.
In the Cournot model, compared to Bertrand, there exists a special case where the carbon tax can be negative if the goods are highly complementary and knowledge spillovers are extremely high.
Proof. 
Table 10 shows that when θ = 0.8 and β = 0.8 , indicating highly complementary goods and extremely high knowledge spillovers, the CNC scenario generates a negative carbon tax (i.e., an emissions subsidy) compared to the BNC scenario.
The trends in the carbon tax are driven by two opposing effects. The first is a pollution-reducing effect, which leads to an increase in the carbon tax as the government raises it to control pollution, resulting in lower overall pollution. The second is a production-increasing effect, which reduces the carbon tax. Since a carbon tax raises a firm’s emission expenditures, firms reduce output to minimize these costs; however, the welfare equation indicates that the government desires higher output ( W = C s + I p + T e D a ). Therefore, by lowering the carbon tax, the government can incentivize firms to increase production (Wang, 2020, 2021) [10,11].
As products become highly complementary in a high knowledge spillover environment, under Cournot’s CNC scenario, the production-increasing effect dominates the pollution-reducing effect. This outcome results from the combined influence of the market-competition effect due to lower product substitutability ( θ = 0.8 ), the information-sharing improvement effect from stronger knowledge spillovers ( β = 0.8 ), the ratchet effect under non-commitment (CNC), and the R&D coordination effect from the internalization of free-riding (CNC). As a result, the carbon tax ( t C N C ) becomes negative (i.e., an emissions subsidy), while Z C N C , Q C N C , I p C N C , E m C N C , and W C N C all increase.
Furthermore, this outcome supports Poyago-Theotoky (2010) [8] by demonstrating that the carbon tax rate can be negative in equilibrium if the environmental damage is relatively insignificant and R&D efficiency is relatively high. In such cases, an emissions subsidy partially corrects the inefficiency caused by firms’ market power, which can be seen as an efficiency improvement effect associated with the subsidy.
In summary, the following conclusions are drawn. First, in the CCN scenario, lower product substitutability and weaker knowledge spillovers jointly increase equilibrium R&D. In other scenarios, lower product substitutability alone raises equilibrium R&D. Cournot and Bertrand contours are nearly collinear in the CNN and BNN scenarios, as well as in the CNC and BNC scenarios. However, Cournot outcomes diverge significantly from Bertrand in the CCN, BCN, CCC, and BCC scenarios. As product substitutability decreases, R&D levels under CNC and BNC reach the first-best outcomes. Second, in the CCN, BCN, CCC, and BCC scenarios, higher product substitutability and stronger knowledge spillovers systematically reduce equilibrium emissions. In other scenarios, higher product substitutability alone lowers emissions. Cournot and Bertrand contours are nearly collinear in the CNN and BNN scenarios, as well as in the CNC and BNC scenarios. However, they diverge when products become complementary or homogeneous in the CCN, BCN, CCC, and BCC scenarios. As product substitutability increases, emissions under CCC and BCC achieve the first-best outcomes.
Third, lower product substitutability and stronger knowledge spillovers systematically increase equilibrium industry profits. As product substitutability decreases, Cournot outcomes diverge more from Bertrand in the CNN, BNN, CNC, and BNC scenarios. This divergence becomes more pronounced in the CCN, BCN, CCC, and BCC scenarios when lower substitutability is paired with stronger knowledge spillovers. As product substitutability decreases, industry profits under CNC and BNC reach the first-best outcomes. Fourth, lower product substitutability and stronger knowledge spillovers increase equilibrium welfare. Cournot and Bertrand contours are nearly collinear in the CNN, BNN, CNC, and BNC scenarios but diverge when products become complementary or homogeneous in the CCN, BCN, CCC, and BCC scenarios. As product substitutability decreases, welfare under CNC and BNC reaches the first-best outcomes. Fifth, as R&D efficiency decreases, the contour orderings of R&D, emissions, industry profits, and welfare remain qualitatively similar. However, equilibrium R&D, industry profits, and welfare decline, while emissions increase. As environmental damage increases, the contour orderings remain similar, but R&D increases, while emissions, industry profits, and welfare decline. Sixth, in the Cournot model, compared to Bertrand, there is a special case where the carbon tax can be negative if goods are highly complementary and knowledge spillovers are extremely high.

6. Conclusions and Policy Implications

This study examines the optimal design of low-carbon policies for governments, firms, and consumers within a unified analytical framework. We develop a three-stage game-theoretic duopoly model with differentiated products, green R&D, and knowledge spillovers to analyze the effects and implications of low-carbon policies in a polluting industry. The analysis encompasses both Cournot and Bertrand competition under commitment and non-commitment regimes, as well as non-cooperative and cooperative R&D structures. Specifically, we (i) quantify the impacts of low-carbon policies on R&D, emissions, profits, and welfare across alternative competition modes, policy-timing regimes, and R&D organizations; (ii) examine the roles of key policy parameters across all scenarios; and (iii) provide an integrated and intuitive interpretation of the underlying economic mechanisms.
The following policy implications were derived from Propositions 1–6. First, this study confirms conventional assumptions regarding key effects: the market-competition effect associated with lower product substitutability, the information-sharing improvement effect driven by stronger knowledge spillovers, the ratchet effect under non-commitment, and the R&D coordination effect from the internalization of free-riding. Additionally, it examines the two opposing effects of carbon tax—pollution-reducing and production-increasing—as well as the efficiency improvement effect linked to emissions subsidies. Second, regarding R&D, emissions, and welfare, Cournot and Bertrand contours are nearly collinear in the CNN and BNN scenarios, as well as in the CNC and BNC scenarios. Third, as product substitutability decreases, both private and social incentives for firms to engage in CNC and BNC persist, as R&D, industry profits, and welfare in these scenarios reach first-best outcomes. Fourth, product differentiation, knowledge spillovers, R&D efficiency, and environmental damage collectively determine R&D, emissions, industry profits, and welfare.
As indicated in Propositions 3 and 4, lower product substitutability and stronger knowledge spillovers systematically increase equilibrium industry profits and welfare. Depending on the timeframe and goal orientation, low-carbon policies can take the form of incentives for establishing cooperative research joint ventures (RJVs) under a carbon tax, combined with R&D efficiency improvements and high product differentiation. This approach is shown to balance economic, environmental, and social objectives. R&D spillovers are critical, with β representing the extent of intellectual property rights protection. When β = 1 , it corresponds to an RJV in this study. Grossman and Shapiro (1986) [48] highlight that an RJV has two opposing effects, social benefits and anticompetitive danger, suggesting that forming an RJV should be subject to a rule of reason. (Additionally, Poyago-Theotoky (2007) [8] demonstrates that positive spillovers cause firms to underinvest in R&D, reflecting the appropriability problem. When β = 1 , an RJV outperforms other scenarios by internalizing the joint-profit externality and addressing appropriability issues. This also resolves R&D and information-sharing market failures, providing firms with additional incentives to invest in R&D.) Ouchida and Goto (2016b) [6] argue that forming an environmental RJV generates significant free-riding effects. R&D coordination can internalize these free-riding effects, increasing the marginal profit from green R&D investments by each firm. Notable examples of industry-wide cooperation and information sharing in green R&D for emissions reduction include Intel’s Achieving Carbon-Neutral Computing initiative (Intel Corporate Responsibility Report, 2023, pp. 83–86) [39] and Samsung’s carbon-neutrality efforts (Samsung Newsroom, 2021, pp. 23–36) [40].
This research can be extended in several directions. First, incorporating managerial delegation into the current framework would be a valuable avenue for future study (e.g., Poyago-Theotoky and Yong, 2019; Lee and Park, 2021; Buccella et al., 2022; and Xing and Lee, 2023) [49,50,51,52]. Second, extending the framework to include corporate social responsibility considerations and pure or mixed oligopoly structures would also be worthwhile (see Lambertini and Tampieri, 2015, 2023; Hirose et al., 2020; Xu and Lee, 2022 [53,54,55,56]; Xu et al., 2022 [17]; and Tomoda and Ouchida, 2023 [57]).

Supplementary Materials

The following supporting information can be downloaded at https://www.mdpi.com/article/10.3390/math14040638/s1, Additional supporting information can be found online in the Supporting Information section at the end of this article.

Author Contributions

Conceptualization, C.W. and Z.L.; methodology, C.W. and Z.L.; software, C.W.; validation, C.W.; formal analysis, C.W.; investigation, C.W. and Z.L.; resources, C.W.; data curation, C.W.; writing—original draft, C.W.; writing—review and editing, C.W.; visualization, C.W.; supervision, C.W. and Z.L.; project administration, C.W.; funding acquisition, C.W. All authors have read and agreed to the published version of the manuscript.

Funding

A Project Supported by Scientific Research Fund of Hunan Provincial Education Department (Grant No. 25B0581). Recipient: Chenyu Wang.

Data Availability Statement

The original contributions presented in this study are included in the article. Further inquiries can be directed to the corresponding author.

Conflicts of Interest

The authors declare no conflict of interest.

References

  1. United Nations Environment Programme. Emissions Gap Report 2025: Off Target—Continued Collective Inaction Puts Global Temperature Goal at Risk. Available online: https://www.unep.org/resources/emissions-gap-report-2025 (accessed on 15 December 2025).
  2. United Nations Framework Convention on Climate Change (UNFCCC). COP30: United Nations Climate Change Conference. 2025. Available online: https://unfccc.int/cop30 (accessed on 15 December 2025).
  3. Ouchida, Y.; Goto, D. A Note on Environmental R&D Under Time-Consistent Emission Tax. Int. J. Bus. Econ. 2011, 10, 257–260. [Google Scholar]
  4. Ouchida, Y.; Goto, D. Do Emission Subsidies Reduce Emission? In the Context of Environmental R&D Organization. Econ. Model. 2014, 36, 511–516. [Google Scholar] [CrossRef]
  5. Ouchida, Y.; Goto, D. Cournot Duopoly and Environmental R&D under Regulator’s Precommitment to an Emissions Tax. Appl. Econ. Lett. 2016, 23, 324–331. [Google Scholar] [CrossRef]
  6. Ouchida, Y.; Goto, D. Environmental Research Joint Ventures and Time-Consistent Emission Tax: Endogenous Choice of R&D Formation. Econ. Model. 2016, 55, 179–188. [Google Scholar] [CrossRef]
  7. Petrakis, E.; Poyago-Theotoky, J. R&D Subsidies Versus R&D Cooperation in a Duopoly with Spillovers and Pollution. Aust. Econ. Pap. 2002, 41, 37–52. [Google Scholar] [CrossRef]
  8. Poyago-Theotoky, J.A. The Organization of R&D and Environmental Policy. J. Econ. Behav. Organ. 2007, 62, 63–75, Corrigendum to J. Econ. Behav. Organ. 2010, 76, 449. https://doi.org/10.1016/j.jebo.2010.07.001. [Google Scholar] [CrossRef]
  9. Poyago-Theotoky, J.; Teerasuwannajak, K. The Timing of Environmental Policy: A Note on the Role of Product Differentiation. J. Regul. Econ. 2002, 21, 305–316. [Google Scholar] [CrossRef]
  10. Wang, C. Environmental Policy, Mergers and Environmental R&D with Spillovers. Economía 2020, 43, 1–38. [Google Scholar] [CrossRef]
  11. Wang, C. Monopoly with Corporate Social Responsibility, Product Differentiation, and Environmental R&D: Implications for Economic, Environmental, and Social Sustainability. J. Clean. Prod. 2021, 287, 125433. [Google Scholar] [CrossRef]
  12. Wang, C.; Atallah, G. Carbon tax in a duopoly with asymmetric spillovers and symmetric contributions. Econ. Model. 2025, 148, 107099. [Google Scholar] [CrossRef]
  13. Wang, C.; Atallah, G. Carbon Tax in a Triopoly with Environmental R&D and Knowledge Spillovers. J. Quant. Econ. 2025, 23, 1117–1144. [Google Scholar] [CrossRef]
  14. Samano, M.; Santugini, M.; Zaccour, G. Dynamics in Research Joint Ventures and R&D Collaborations. J. Econ. Dyn. Control 2017, 77, 70–92. [Google Scholar] [CrossRef]
  15. Buccella, D.; Fanti, L.; Gori, L. To Abate, or not to Abate? A Strategic Approach on Green Production in Cournot and Bertrand Duopolies. Energy Econ. 2021, 96, 105164. [Google Scholar] [CrossRef]
  16. Xing, M.; Lee, S.H. Consumer environmental awareness and green R&D subsidy policy under Cournot–Bertrand comparisons. Econ. Innov. New Technol. 2025, 34, 863–884. [Google Scholar] [CrossRef]
  17. Xu, L.; Chen, Y.; Lee, S.H. Emission Tax and Strategic Environmental Corporate Social Responsibility in a Cournot–Bertrand Comparison. Energy Econ. 2022, 107, 105846. [Google Scholar] [CrossRef]
  18. Jung, C.; Krutilla, K.; Boyd, R. Incentives for Advanced Pollution Abatement Technology at the Industry Level: An Evaluation of Policy Alternatives. J. Environ. Econ. Manag. 1996, 30, 95–111. [Google Scholar] [CrossRef]
  19. McDonald, S.; Poyago-Theotoky, J. Green Technology and Optimal Emissions Taxation. J. Public Econ. Theory 2017, 19, 362–376. [Google Scholar] [CrossRef]
  20. d’Aspremont, C.; Jacquemin, A. Cooperative and Noncooperative R&D in Duopoly with Spillovers. Am. Econ. Rev. 1988, 78, 1133–1137. [Google Scholar]
  21. Kamien, M.I.; Muller, E.; Zang, I. Research Joint Ventures and R&D Cartels. Am. Econ. Rev. 1992, 82, 1293–1306. [Google Scholar]
  22. Amir, R.; Jin, J.Y.; Troege, M. On Additive Spillovers and Returns to Scale in R&D. Int. J. Ind. Organ. 2008, 26, 695–703. [Google Scholar] [CrossRef]
  23. Fukuda, K.; Ouchida, Y. Corporate Social Responsibility (CSR) and the Environment: Does CSR Increase Emissions? Energy Econ. 2020, 92, 104933. [Google Scholar] [CrossRef]
  24. García, A.; Leal, M.; Lee, S. Time-Inconsistent Environmental Policies with a Consumer-Friendly Firm: Tradable Permits Versus Emission Tax. Int. Rev. Econ. Financ. 2018, 58, 523–537. [Google Scholar] [CrossRef]
  25. Geroski, P.A. Innovation, Technological Opportunity, and Market Structure. Oxf. Econ. Pap. 1990, 42, 586–602. [Google Scholar] [CrossRef]
  26. Etro, F. Innovation by Leaders. Econ. J. 2004, 114, 281–303. [Google Scholar] [CrossRef]
  27. Schumpeter, J.A. Capitalism, Socialism and Democracy; Routledge: London, UK, 2013. [Google Scholar]
  28. Arrow, K.J. Economic Welfare and the Allocation of Resources for Invention; Macmillan Education: London, UK, 1972. [Google Scholar] [CrossRef]
  29. Schmutzler, A. Is Competition Good for Innovation? A Simple Approach to an Unresolved Question. Found. Trends ® Microecon. 2010, 5, 355–428. [Google Scholar] [CrossRef]
  30. Aghion, P.; Bloom, N.; Blundell, R.; Griffith, R.; Howitt, P. Competition and Innovation: An Inverted-U Relationship. Q. J. Econ. 2005, 120, 701–728. [Google Scholar] [CrossRef]
  31. Poyago-Theotoky, J. R&D Competition with Asymmetric Firms. Scott. J. Political Econ. 1996, 43, 334–342. [Google Scholar] [CrossRef]
  32. Tesoriere, A. Competing R&D Joint Ventures in Cournot Oligopoly with Spillovers. J. Econ. 2014, 115, 231–256. [Google Scholar] [CrossRef]
  33. Lambertini, L.; Poyago-Theotoky, J.; Tampieri, A. Cournot Competition and “Green” Innovation: An Inverted-U Relationship. Energy Econ. 2017, 68, 116–123. [Google Scholar] [CrossRef]
  34. Suzumura, K. Cooperative and Noncooperative R&D in an Oligopoly with Spillovers. Am. Econ. Rev. 1992, 82, 1307–1320. [Google Scholar]
  35. Leahy, D.; Neary, J.P. Public Policy Towards R&D in Oligopolistic Industries. Am. Econ. Rev. 1997, 87, 642–662. [Google Scholar]
  36. Amir, R. Modelling Imperfectly Appropriable R&D via Spillovers. Int. J. Ind. Organ. 2000, 18, 1013–1032. [Google Scholar] [CrossRef]
  37. Amir, R.; Evstigneev, I.; Wooders, J. Noncooperative Versus Cooperative R&D with Endogenous Spillover Rates. Games Econ. Behav. 2003, 42, 183–207. [Google Scholar] [CrossRef]
  38. Poyago-Theotoky, J. Equilibrium and Optimal Size of a Research Joint Venture in an Oligopoly with Spillovers. J. Ind. Econ. 1995, 43, 209–226. [Google Scholar] [CrossRef]
  39. Intel Intel Corporation Corporate Responsibility Report 2023, n.d. Available online: https://csrreportbuilder.intel.com/pdfbuilder/pdfs/CSR-2022-23-Full-Report.pdf (accessed on 15 December 2025).
  40. Samsung Newsroom. Samsung Electronics Sustainability Report 2021. Available online: https://image-us.samsung.com/SamsungUS/home/pdf/Samsung-Electronics-Sustainability-Report-2021.pdf (accessed on 15 December 2025).
  41. Caselli, F.; Ventura, J. A representative consumer theory of distribution. Am. Econ. Rev. 2000, 90, 909–926. [Google Scholar] [CrossRef]
  42. Antelo, M.; Loureiro, M.L. Asymmetric information, signaling and environmental taxes in oligopoly. Ecol. Econ. 2009, 68, 1430–1440. [Google Scholar] [CrossRef]
  43. Poyago-Theotoky, J. A Note on Endogenous Spillovers in a Non-Tournament R&D Duopoly. Rev. Ind. Organ. 1999, 15, 253–262. [Google Scholar] [CrossRef]
  44. Hepburn, C. Regulation by Prices, Quantities, or Both: A Review of Instrument Choice. Oxf. Rev. Econ. Policy 2006, 22, 226–247. [Google Scholar] [CrossRef]
  45. Puller, S.L. The Strategic Use of Innovation to Influence Regulatory Standards. J. Environ. Econ. Manag. 2006, 52, 690–706. [Google Scholar] [CrossRef]
  46. Brunner, S.; Flachsland, C.; Marschinski, R. Credible Commitment in Carbon Policy. Clim. Policy 2012, 12, 255–271. [Google Scholar] [CrossRef]
  47. Cellini, R.; Lambertini, L. Dynamic R&D with Spillovers: Competition vs Cooperation. J. Econ. Dyn. Control 2009, 33, 568–582. [Google Scholar] [CrossRef]
  48. Grossman, G.M.; Shapiro, C. Research Joint Ventures: An Antitrust Analysis. J. Law Econ. Organ. 1986, 2, 315–337. [Google Scholar] [CrossRef]
  49. Poyago-Theotoky, J.; Yong, S.K. Managerial Delegation Contracts, ‘Green’ R&D and Emissions Taxation. B.E. J. Theor. Econ. 2019, 19, 20170128. [Google Scholar] [CrossRef]
  50. Lee, S.; Park, C. Corporate Environmentalism in a Managerial Delegation and Abatement Subsidy Policy. Asia-Pac. J. Account. Econ. 2021, 28, 546–561. [Google Scholar] [CrossRef]
  51. Buccella, D.; Fanti, L.; Gori, L. ‘Green’ Managerial Delegation Theory. Environ. Dev. Econ. 2022, 27, 223–249. [Google Scholar] [CrossRef]
  52. Xing, M.; Lee, S. Non-Cooperative and Cooperative Environmental R&D under Environmental Corporate Social Responsibility with Green Managerial Coordination. Manag. Decis. Econ. 2023, 44, 2684–2696. [Google Scholar] [CrossRef]
  53. Lambertini, L.; Tampieri, A. Incentives, Performance and Desirability of Socially Responsible Firms in a Cournot Oligopoly. Econ. Model. 2015, 50, 40–48. [Google Scholar] [CrossRef]
  54. Lambertini, L.; Tampieri, A. On the Private and Social Incentives to Adopt Environmentally and Socially Responsible Practices in a Monopoly Industry. J. Clean. Prod. 2023, 426, 139036. [Google Scholar] [CrossRef]
  55. Hirose, K.; Lee, S.; Matsumura, T. Noncooperative and Cooperative Environmental Corporate Social Responsibility. J. Institutional Theor. Econ. 2020, 176, 549–571. [Google Scholar] [CrossRef]
  56. Xu, L.; Lee, S. Non-Cooperative and Cooperative Environmental Corporate Social Responsibility with Emission Taxes. Manag. Decis. Econ. 2022, 43, 2849–2862. [Google Scholar] [CrossRef]
  57. Tomoda, Y.; Ouchida, Y. Endogenous Bifurcation into Environmental CSR and Non-Environmental CSR Firms by Activist Shareholders. J. Environ. Econ. Manag. 2023, 122, 102883. [Google Scholar] [CrossRef]
Figure 1. The effects of product differentiation θ and knowledge spillovers β on Z .
Figure 1. The effects of product differentiation θ and knowledge spillovers β on Z .
Mathematics 14 00638 g001
Figure 2. The effects of product differentiation θ and knowledge spillovers β on E m .
Figure 2. The effects of product differentiation θ and knowledge spillovers β on E m .
Mathematics 14 00638 g002
Figure 3. The effects of product differentiation θ and knowledge spillovers β on I p .
Figure 3. The effects of product differentiation θ and knowledge spillovers β on I p .
Mathematics 14 00638 g003
Figure 4. The effects of product differentiation θ and knowledge spillovers β on W .
Figure 4. The effects of product differentiation θ and knowledge spillovers β on W .
Mathematics 14 00638 g004
Figure 5. The effects of R&D efficiency γ on W (by setting a = 103 , c = 3 , γ = 9 , and d = 3 and allowing θ ( 1   , 1 ) and β [ 0   , 1 ] ).
Figure 5. The effects of R&D efficiency γ on W (by setting a = 103 , c = 3 , γ = 9 , and d = 3 and allowing θ ( 1   , 1 ) and β [ 0   , 1 ] ).
Mathematics 14 00638 g005
Table 1. Variables.
Table 1. Variables.
VariableDefinition
R&D z i , z j ( Industrial - level   R & D ,   Z = z i + z j )
Carbon tax t
Price p i , p j
Output q i , q j ( Industrial - level   Output ,   Q   = q i + q j )
Consumption of a numeraire good q 0 = m p i q i p j q j
Utility U t = q 0 + a q i + a q j 1 2 ( q i 2 + q j 2 + 2 θ q i q j )
Consumer surplus C s = U t q 0 p i q i p j q j
The firm’s emissions e i , e j
Profit π i , π j
Industry profit I p = π i + π j
Tax revenue T e = e i + e j t
Damage D a = d 2 e i + e j 2
R&D expenditures R s = ɣ 2 z i 2 + z j 2
Pollution reduction P r = ( z i + β z j ) + ( z j + β z i )
Emissions E m = e i + e j
Operational profit O p = p i q i c q i + ( p j q j c q j )
Joint profit J p = π i + π j
Welfare W = C s + I p + T e D a
Table 2. Scenarios.
Table 2. Scenarios.
CournotBertrand
CommitmentCCN and CCCBCN and BCC
Non-commitmentCNN and CNCBNN and BNC
CCN = Cournot, commitment, and R&D competition; CCC = Cournot, commitment, and R&D cooperation; CNN = Cournot, non-commitment, and R&D competition; CNC = Cournot, non-commitment, and R&D cooperation; BCN = Bertrand, commitment, and R&D competition; BCC = Bertrand, commitment, and R&D cooperation; BNN = Bertrand, non-commitment, and R&D competition; BNC = Bertrand, non-commitment, and R&D cooperation.
Table 3. The effects of product differentiation θ on Q , Z , and E m (we adopt the baseline parameters a = 103 , c = 3 , γ = 3 , and d = 3 and set θ = 0.7 and 0.8 , with β = 0.2 ). Bold numbers indicate the superior outcomes within the Cournot and Bertrand scenarios, respectively.
Table 3. The effects of product differentiation θ on Q , Z , and E m (we adopt the baseline parameters a = 103 , c = 3 , γ = 3 , and d = 3 and set θ = 0.7 and 0.8 , with β = 0.2 ). Bold numbers indicate the superior outcomes within the Cournot and Bertrand scenarios, respectively.
Variable θ = 0.7 θ = 0.8
Q C C N , Z C C N , E m C C N 45.81, 25.44, 15.2944.75, 24.90, 14.87
Q C C C , Z C C C , E m C C C 48.38, 27.75, 15.0847.21, 27.13, 14.66
Q C N N , Z C N N , E m C N N 49.36, 25.00, 19.3547.95, 24.17, 18.95
Q C N C , Z C N C , E m C N C 52.12, 27.96, 18.5750.41, 26.83, 18.21
Q B C N , Z B C N , E m B C N 50.83, 29.22, 15.7651.18, 29.82, 15.40
Q B C C , Z B C C , E m B C C 54.16, 32.12, 15.6254.63, 32.80, 15.28
Q B N N , Z B N N , E m B N N 50.70, 26.45, 18.9749.67, 26.03, 18.43
Q B N C , Z B N C , E m B N C 51.89, 27.72, 18.6350.17, 26.57, 18.28
Table 4. The effects of product differentiation θ on I p , O p , T e , and R s (we adopt the baseline parameters a = 103 , c = 3 , γ = 3 , and d = 3 and set θ = 0.5 and 0.8 , with β = 0.2 ). Bold numbers indicate the superior outcomes within the Cournot and Bertrand scenarios, respectively.
Table 4. The effects of product differentiation θ on I p , O p , T e , and R s (we adopt the baseline parameters a = 103 , c = 3 , γ = 3 , and d = 3 and set θ = 0.5 and 0.8 , with β = 0.2 ). Bold numbers indicate the superior outcomes within the Cournot and Bertrand scenarios, respectively.
Variable θ = 0.5   β = 0.2 θ = 0.8   β = 0.2
I p C C N , O p C C N , T e C C N , R s C C N 3318.18, 5396.28, 1184.52, 893.594083.67, 6651.78, 1484.78, 1083.34
I p C C C , O p C C C , T e C C C , R s C C C 3499.61, 5712.87, 1097.46, 1115.814373.91, 7143.77, 1393.93, 1375.93
I p C N N , O p C N N , T e C N N , R s C N N 3794.93, 6263.36, 1119.63, 1348.815003.24, 8331.40, 1361.29, 1966.87
I p C N C , O p C N C , T e C N C , R s C N C 3996.87, 7112.52, 784.13, 2331.525460.65, 10,387.60, 863.36, 4063.54
I p B C N , O p B C N , T e B C N , R s B C N 3296.72, 5716.04, 1343.34, 1075.984053.35, 8087.76, 2151.97, 1882.44
I p B C C , O p B C C , T e B C C , R s B C C 3458.01, 6078.12, 1257.45, 1362.664261.67, 8868.85, 2087.10, 2520.08
I p B N N , O p B N N , T e B N N , R s B N N 3564.10, 6341.04, 1353.77, 1423.174217.42, 8686.06, 2202.32, 2266.32
I p B N C , O p B N C , T e B N C , R s B N C 3701.88, 7046.28, 1104.50, 2239.904377.62, 9915.36, 2035.87, 3501.87
Table 5. The effects of product differentiation θ on I p , O p , T e , and R s (we adopt the baseline parameters a = 103 , c = 3 , γ = 3 , and d = 3 , and set θ = 0.5 and 0.8 , with β = 0.8 ). Bold numbers indicate the superior outcomes within the Cournot and Bertrand scenarios, respectively.
Table 5. The effects of product differentiation θ on I p , O p , T e , and R s (we adopt the baseline parameters a = 103 , c = 3 , γ = 3 , and d = 3 , and set θ = 0.5 and 0.8 , with β = 0.8 ). Bold numbers indicate the superior outcomes within the Cournot and Bertrand scenarios, respectively.
Variable θ = 0.5   β = 0.8   θ = 0.8   β = 0.8
I p C C N , O p C C N , T e C C N , R s C C N 4436.35, 5955.46, 832.21, 686.905609.92, 7559.82, 1097.50, 852.40
I p C C C , O p C C C , T e C C C , R s C C C 5149.09, 6911.14, 559.68, 1202.376874.36, 9229.99, 773.98, 1581.66
I p C N N , O p C N N , T e C N N , R s C N N 5546.97, 7461.31, 641.09, 1273.258243.06, 11,197.10, 665.67, 2288.32
I p C N C , O p C N C , T e C N C , R s C N C 6045.13, 8719.49, 83.20, 2591.169617.81, 15,369.30, −372.75, 6124.24
I p B C N , O p B C N , T e B C N , R s B C N 4564.29, 6374.18, 967.57, 842.316321.76, 9702.93, 1770.53, 1610.64
I p B C C , O p B C C , T e B C C , R s B C C 5257.44, 7476.38, 676.23, 1542.717685.65, 12,759.30, 1445.24, 3628.44
I p B N N , O p B N N , T e B N N , R s B N N 5225.02, 7443.98, 958.45, 1260.516950.62, 11,004.2, 1886.64, 2166.96
I p B N C , O p B N C , T e B N C , R s B N C 5682.79, 8672.57, 467.11, 2522.678009.15, 14,784.40, 1352.19, 5423.03
Table 6. The effects of product differentiation θ on W , C s , I p , T e , and D a (we adopt the baseline parameters a = 103 , c = 3 , γ = 3 , and d = 3 and set θ = 0.2 and 0.8 , with β = 0.2 ). Bold numbers indicate the superior outcomes within the Cournot and Bertrand scenarios, respectively.
Table 6. The effects of product differentiation θ on W , C s , I p , T e , and D a (we adopt the baseline parameters a = 103 , c = 3 , γ = 3 , and d = 3 and set θ = 0.2 and 0.8 , with β = 0.2 ). Bold numbers indicate the superior outcomes within the Cournot and Bertrand scenarios, respectively.
Variable θ = 0.2   β = 0.2   θ = 0.8   β = 0.2
W C C N  
C s C C N , I p C C N , T e C C N , D a C C N
3780.53
681.14, 2754.77, 967.43, 622.81
4807.66
256.70, 4083.67, 1484.78, 1017.49
W C C C  
C s C C C , I p C C C , T e C C C , D a C C C
3919.77
777.30, 2867.99, 886.85, 612.36
5050.88
299.80, 4373.91, 1393.93, 1016.77
W C N N  
C s C N N , I p C N N , T e C N N , D a C N N
3986.32
916.59, 3006.25, 949.73, 886.25
5410.31
420.70, 5003.24, 1361.29, 1374.93
W C N C  
C s C N C , I p C N C , T e C N C , D a C N C
4198.47
1180.39, 3105.29, 712.52, 799.73
5719.81
693.11, 5460.65, 863.36, 1297.31
W B C N  
C s B C N , I p B C N , T e B C N , D a B C N
3800.65
695.29, 2749.00, 984.89, 628.53
5369.15
393.87, 4053.35, 2151.97, 1230.05
W B C C  
C s B C C , I p B C C , T e B C C , D a B C C
3939.71
794.97, 2859.26, 904.09, 618.61
5588.02
483.77, 4261.67, 2087.10, 1244.52
W B N N  
C s B N N , I p B N N , T e B N N , D a B N N
3991.45
921.03, 2976.81, 978.26, 884.65
5519.71
461.71, 4217.42, 2202.32, 1361.74
W B N C  
C s B N C , I p B N C , T e B N C , D a B N C
4196.83
1177.07, 3069.82, 750.67, 800.73
5720.94
622.84, 4377.62, 2035.87, 1315.39
Table 7. The effects of product differentiation θ on W , C s , I p , T e , and D a (we adopt the baseline parameters a = 103 , c = 3 , γ = 3 , and d = 3 and set θ = 0.2 and 0.8 , with β = 0.8 ). Bold numbers indicate the superior outcomes within the Cournot and Bertrand scenarios, respectively.
Table 7. The effects of product differentiation θ on W , C s , I p , T e , and D a (we adopt the baseline parameters a = 103 , c = 3 , γ = 3 , and d = 3 and set θ = 0.2 and 0.8 , with β = 0.8 ). Bold numbers indicate the superior outcomes within the Cournot and Bertrand scenarios, respectively.
Variable θ = 0.2   β = 0.8   θ = 0.8   β = 0.8  
W C C N  
C s C C N , I p C C N , T e C C N , D a C C N
4734.95
852.59, 3605.29, 651.79, 374.72
6340.25
339.37, 5609.92, 1097.50, 706.55
W C C C  
C s C C C , I p C C C , T e C C C , D a C C C
5346.08
1223.83, 4005.67, 423.08, 306.49
7564.04
529.27, 6874.36, 773.98, 613.56
W C N N  
C s C N N , I p C N N , T e C N N , D a C N N
5257.35
1328.18, 4087.44, 598.93, 757.20
8468.12
825.31, 8243.06, 665.67, 1265.92
W C N C  
C s C N C , I p C N C , T e C N C , D a C N C
5875.09
1935.87, 4320.65, 231.56, 613.00
9949.33
1798.66, 9617.81, −372.75, 1094.40
W B C N  
C s B C N , I p B C N , T e B C N , D a B C N
4773.56
873.88, 3613.81, 665.30, 379.44
7711.95
592.80, 6321.76, 1770.53, 973.14
W B C C  
C s B C C , I p B C C , T e B C C , D a B C C
5391.08
1261.87, 4007.00, 433.89, 311.67
9325.33
1127.00, 7685.65, 1445.24, 932.56
W B N N  
C s B N N , I p B N N , T e B N N , D a B N N
5256.83
1327.81, 4050.50, 635.82, 757.30
8356.23
792.42, 6950.62, 1886.64, 1273.45
W B N C  
C s B N C , I p B N C , T e B N C , D a B N C
5872.67
1932.45, 4280.88, 273.04, 613.70
9868.58
1626.87, 8009.15, 1352.19, 1119.63
Table 8. The effects of R&D efficiency γ on Z , E m , I p , and W (we adopt the baseline parameters a = 103 , c = 3 , d = 3 , θ = 0.2 , and β = 0.2 and set γ = 3 and 9 ).
Table 8. The effects of R&D efficiency γ on Z , E m , I p , and W (we adopt the baseline parameters a = 103 , c = 3 , d = 3 , θ = 0.2 , and β = 0.2 and set γ = 3 and 9 ).
Variable γ = 3 γ = 9
t C C N , Z C C N , E m C C N , W C C N  
C s C C N , I p C C N , T e C C N , D a C C N
47.48, 31.65, 20.38, 3780.53
681.14, 2754.77, 967.43, 622.81
62.01, 13.78, 25.68, 2448.69
356.38, 1489.07, 1592.18, 988.93
t C C C , Z C C C , E m C C C , W C C C  
C s C C C , I p C C C , T e C C C , D a C C C
43.89, 35.11, 20.21, 3919.77
777.30, 2867.99, 886.85, 612.36
59.69, 15.92, 25.69, 2517.8
401.26, 1573.17, 1533.48, 990.11
t C N N , Z C N N , E m C N N , W C N N  
C s C N N , I p C N N , T e C N N , D a C N N
39.07, 36.16, 24.31, 3986.32
916.59, 3006.25, 949.73, 886.25
57.99, 16.31, 27.11, 2531.31
435.75, 1625.85, 1572.10, 1102.40
t C N C , Z C N C , E m C N C , W C N C  
C s C N C , I p C N C , T e C N C , D a C N C
30.86, 44.78, 23.09, 4198.47
1180.39, 3105.29, 712.52, 799.73
53.45, 21.07, 26.44, 2589.84
535.00, 1690.12, 1413.12, 1048.40
t B C N , Z B C N , E m B C N , W B C N  
C s B C N , I p B C N , T e B C N , D a B C N
48.11, 32.08, 20.47, 3800.65
695.29, 2749.00, 984.89, 628.53
62.66, 13.92, 25.72, 2454.37
360.11, 1475.00, 1611.82, 992.56
t B C C , Z B C C , E m B C C , W B C C  
C s B C C , I p B C C , T e B C C , D a B C C
44.52, 35.62, 20.31, 3939.71
794.97, 2859.26, 904.09, 618.61
60.35, 16.09, 25.74, 2522.73
405.99, 1557.14, 1553.58, 993.98
t B N N , Z B N N , E m B N N , W B N N  
C s B N N , I p B N N , T e B N N , D a B N N
40.28, 36.31, 24.29, 3991.45
921.03, 2976.81, 978.26, 884.65
58.90, 16.33, 27.11, 2531.98
436.31, 1601.28, 1596.47, 1102.08
t B N C , Z B N C , E m B N C , W B N C  
C s B N C , I p B N C , T e B N C , D a B N C
32.49, 44.68, 23.10, 4196.83
1177.07, 3069.82, 750.67, 800.73
54.55, 21.00, 26.45, 2589.80
533.40, 1662.79, 1442.83, 1049.21
Table 9. The effects of environmental damage d on Z , E m , I p , and W (we adopt the baseline parameters a = 103 , c = 3 , γ = 3 , θ = 0.2 , and β = 0.2 and set d = 3 and 9 ).
Table 9. The effects of environmental damage d on Z , E m , I p , and W (we adopt the baseline parameters a = 103 , c = 3 , γ = 3 , θ = 0.2 , and β = 0.2 and set d = 3 and 9 ).
Variable d = 3 d = 9
t C C N , Z C C N , E m C C N , W C C N  
C s C C N , I p C C N , T e C C N , D a C C N
47.48, 31.65, 20.38, 3780.53
681.14, 2754.77, 967.43, 622.81
54.34, 36.23, 7.26, 3337.01
514.70, 2664.91, 394.28, 236.89
t C C C , Z C C C , E m C C C , W C C C  
C s C C C , I p C C C , T e C C C , D a C C C
43.89, 35.11, 20.21, 3919.77
777.30, 2867.99, 886.85, 612.36
50.16, 40.13, 7.22, 3481.90
613.34, 2741.04, 362.35, 234.83
t C N N , Z C N N , E m C N N , W C N N  
C s C N N , I p C N N , T e C N N , D a C N N
39.07, 36.16, 24.31, 3986.32
916.59, 3006.25, 949.73, 886.25
50.41, 38.70, 8.66, 3442.08
607.27, 2735.82, 436.63, 337.64
t C N C , Z C N C , E m C N C , W C N C  
C s C N C , I p C N C , T e C N C , D a C N C
30.86, 44.78, 23.09, 4198.47
1180.39, 3105.29, 712.52, 799.73
43.52, 45.36, 8.32, 3633.00
787.63, 2794.84, 362.18, 311.65
t B C N , Z B C N , E m B C N , W B C N  
C s B C N , I p B C N , T e B C N , D a B C N
48.11, 32.08, 20.47, 3800.65
695.29, 2749.00, 984.89, 628.53
54.92, 36.62, 7.29, 3353.25
524.78, 2667.18, 400.15, 238.86
t B C C , Z B C C , E m B C C , W B C C  
C s B C C , I p B C C , T e B C C , D a B C C
44.52, 35.62, 20.31, 3939.71
794.97, 2859.26, 904.09, 618.61
50.74, 40.60, 7.26, 3497.62
626.56, 2739.78, 368.23, 236.95
t B N N , Z B N N , E m B N N , W B N N  
C s B N N , I p B N N , T e B N N , D a B N N
40.28, 36.31, 24.29, 3991.45
921.03, 2976.81, 978.26, 884.65
51.36, 38.85, 8.65, 3447.34
611.04, 2728.86, 444.49, 337.05
t B N C , Z B N C , E m B N C , W B N C  
C s B N C , I p B N C , T e B N C , D a B N C
32.49, 44.68, 23.10, 4196.83
1177.07, 3069.82, 750.67, 800.73
44.82, 45.31, 8.32, 3631.95
786.25, 2784.40, 373.14, 311.84
Table 10. A special case in which the carbon tax t is negative (we adopt the baseline parameters a = 103 , c = 3 , γ = 3 , and d = 3 and set θ = 0.2 and 0.8 , with β = 0.8 ).
Table 10. A special case in which the carbon tax t is negative (we adopt the baseline parameters a = 103 , c = 3 , γ = 3 , and d = 3 and set θ = 0.2 and 0.8 , with β = 0.8 ).
Variable θ = 0.2   β = 0.8   θ = 0.8   β = 0.8
t C N C , Z C N C , Q C N C , W C N C  
C s C N C , I p C N C , T e C N C , D a C N C
11.45, 43.43, 98.38, 5875.09
1935.87, 4320.65, 231.56, 613.00
−13.8, 90.36, 189.67, 9949.33
1798.66, 9617.81, −372.75, 1094.40
t B N C , Z B N C , Q B N C , W B N C  
C s B N C , I p B N C , T e B N C , D a B N C
13.5, 43.37, 98.3, 5872.67
1932.45, 4280.88, 273.04, 613.70
49.49, 85.03, 180.38, 9868.58
1626.87, 8009.15, 1352.19, 1119.63
Disclaimer/Publisher’s Note: The statements, opinions and data contained in all publications are solely those of the individual author(s) and contributor(s) and not of MDPI and/or the editor(s). MDPI and/or the editor(s) disclaim responsibility for any injury to people or property resulting from any ideas, methods, instructions or products referred to in the content.

Share and Cite

MDPI and ACS Style

Wang, C.; Li, Z. Low-Carbon Policy in a Duopoly with Differentiated Products, Green R&D, and Knowledge Spillovers: A Cournot–Bertrand Comparison. Mathematics 2026, 14, 638. https://doi.org/10.3390/math14040638

AMA Style

Wang C, Li Z. Low-Carbon Policy in a Duopoly with Differentiated Products, Green R&D, and Knowledge Spillovers: A Cournot–Bertrand Comparison. Mathematics. 2026; 14(4):638. https://doi.org/10.3390/math14040638

Chicago/Turabian Style

Wang, Chenyu, and Zhenqiang Li. 2026. "Low-Carbon Policy in a Duopoly with Differentiated Products, Green R&D, and Knowledge Spillovers: A Cournot–Bertrand Comparison" Mathematics 14, no. 4: 638. https://doi.org/10.3390/math14040638

APA Style

Wang, C., & Li, Z. (2026). Low-Carbon Policy in a Duopoly with Differentiated Products, Green R&D, and Knowledge Spillovers: A Cournot–Bertrand Comparison. Mathematics, 14(4), 638. https://doi.org/10.3390/math14040638

Note that from the first issue of 2016, this journal uses article numbers instead of page numbers. See further details here.

Article Metrics

Back to TopTop