Multi-Strategy Enhanced Connected Banking System Optimizer for Global Optimization and Corporate Bankruptcy Forecasting
Abstract
1. Introduction
- (1)
- A multi-strategy optimization framework is developed by integrating multi-elite cooperative guidance, embedded differential evolution search, and a soft boundary rebound mechanism into CBSO, resulting in the proposed MSECBSO algorithm.
- (2)
- Extensive experiments on the CEC2017 and CEC2022 benchmark suites, across multiple dimensions and function types, demonstrate that MSECBSO significantly outperforms nine state-of-the-art metaheuristic algorithms in terms of convergence accuracy, speed, and robustness.
- (3)
- An MSECBSO-KNN corporate bankruptcy prediction model is constructed by optimizing key KNN hyperparameters, achieving superior multi-class classification performance on the Wieslaw and JPNBDS dataset and validating the practical applicability of MSECBSO.
2. Connected Banking System Optimizer and the Proposed Method
2.1. Connected Banking System Optimizer (CBSO)
2.2. Proposed Multi-Strategy Enhanced CBSO (MSECBSO)
2.2.1. Multi-Elite Cooperative Guidance Strategy
2.2.2. Embedded Differential Evolution Search Strategy
2.2.3. Soft Boundary Rebound Mechanism
| Algorithm 1. Pseudo-Code of MSECBSO |
| 1: Initialize population size, bounds , Maximum iteration number and Problem dimension dim. 2: by Equation (1). 3: Evaluate fitness for all individuals and determine initial global best 4: while do 5: Sort population according to fitness values and Select elite individuals . 6: Generate random weight vector , disturbance factor and dynamically adjusted scaling factor . 7: Construct multi-elite guiding vector using Equation (8). 8: for 9: if 10: Update position using exploration strategy (Equation (2)). 11: else if 12: Update position using transition strategy (Equation (3)). 13: else 14: Update position using quadratic interpolation strategy (Equation (4)). 15: end if 16: Apply soft boundary rebound mechanism (Equation (13)). 17: Perform random global or local perturbation (Equation (5)). 18: Embedded differential evolution search strategy (Equations (9)–(12)). 19: Apply soft boundary rebound mechanism (Equation (13)). 20: Apply greedy selection and update population 21: end for 22: Update global best solution . 23: end while 24: Return . |
3. Numerical Experiments
3.1. Competitor Algorithms and Parameters Setting
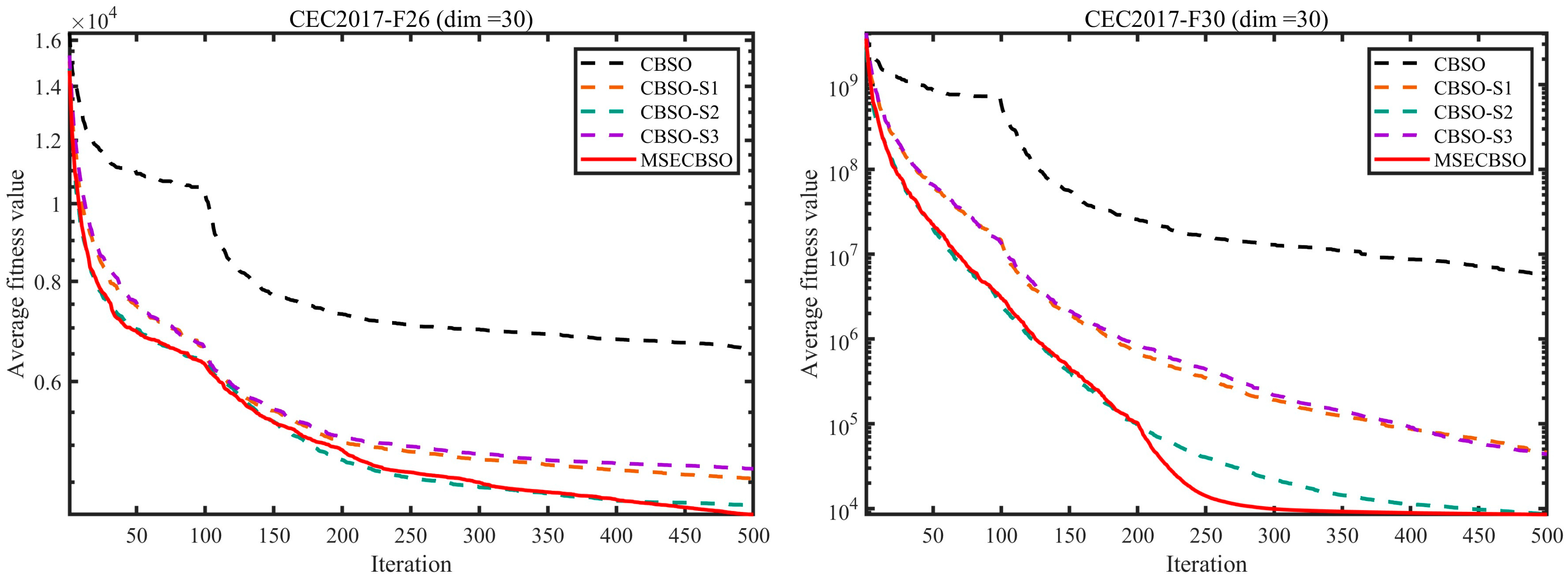
3.2. Ablation Study of Improvement Strategies
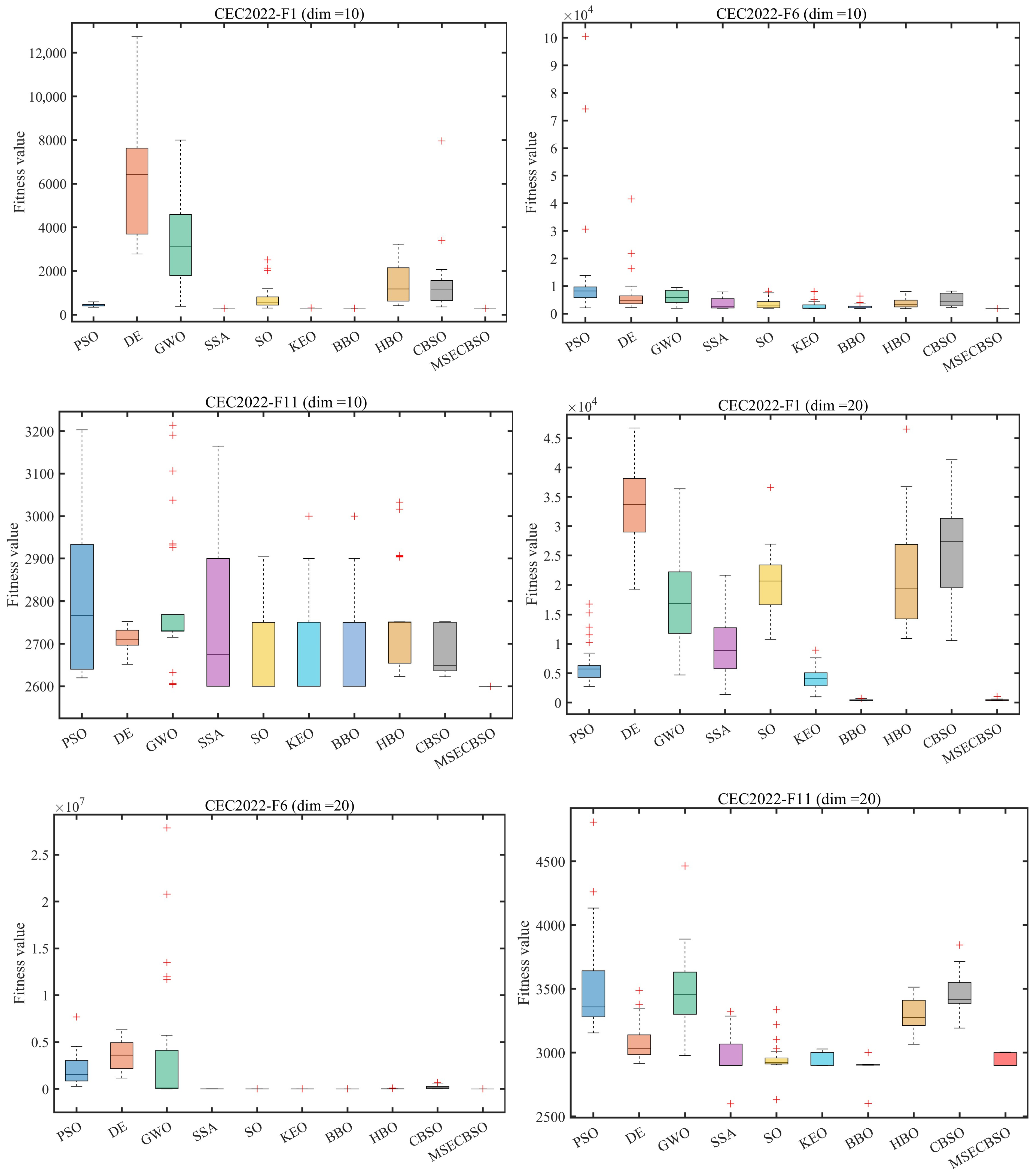
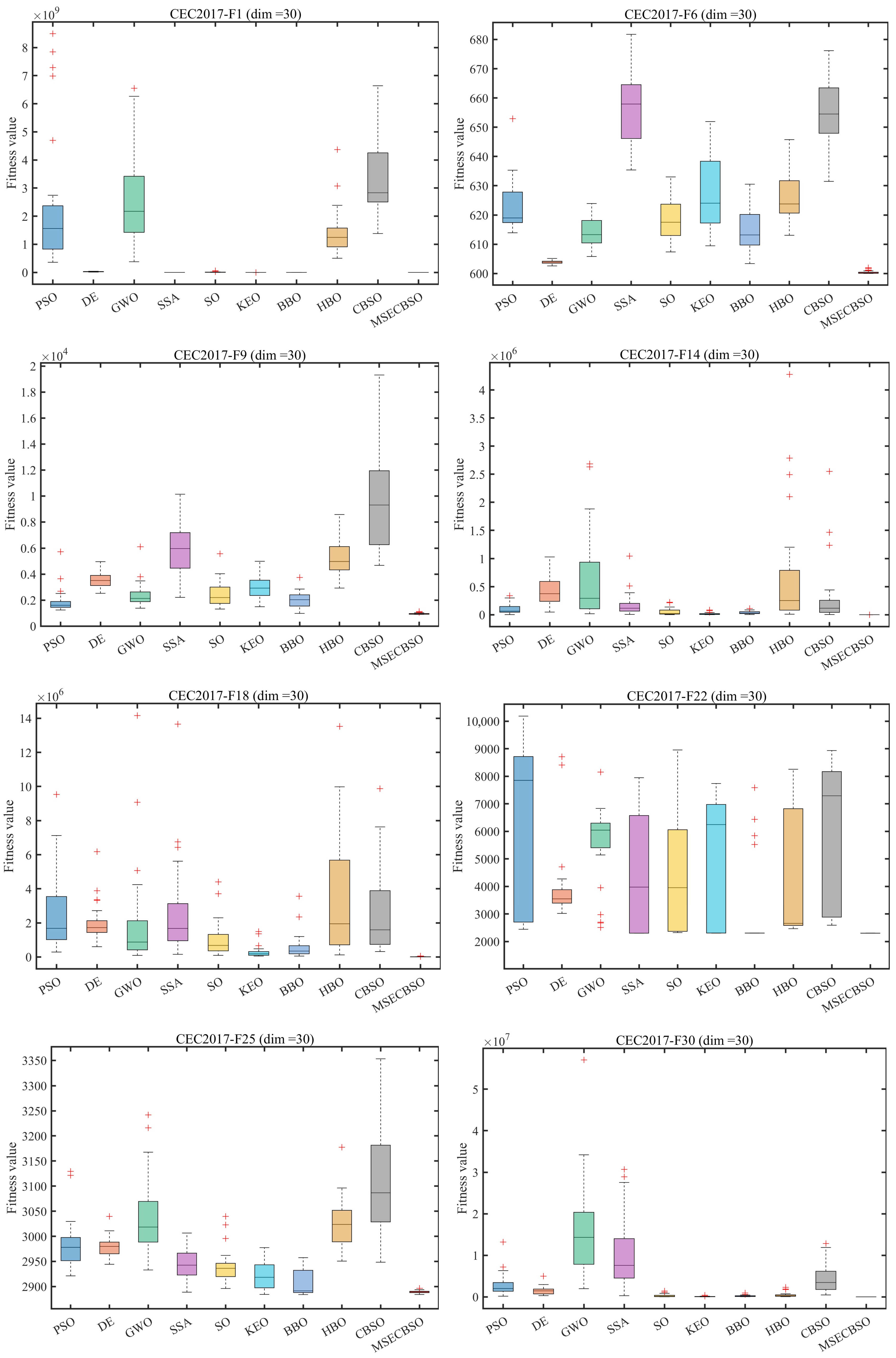
3.3. Performance Evaluation and Analysis on the CEC2017 and CEC2022 Benchmark Suites
3.4. Statistical Analysis
3.4.1. Effectiveness Analysis
3.4.2. Friedman Mean Rank Test
3.5. Computational Efficiency Analysis
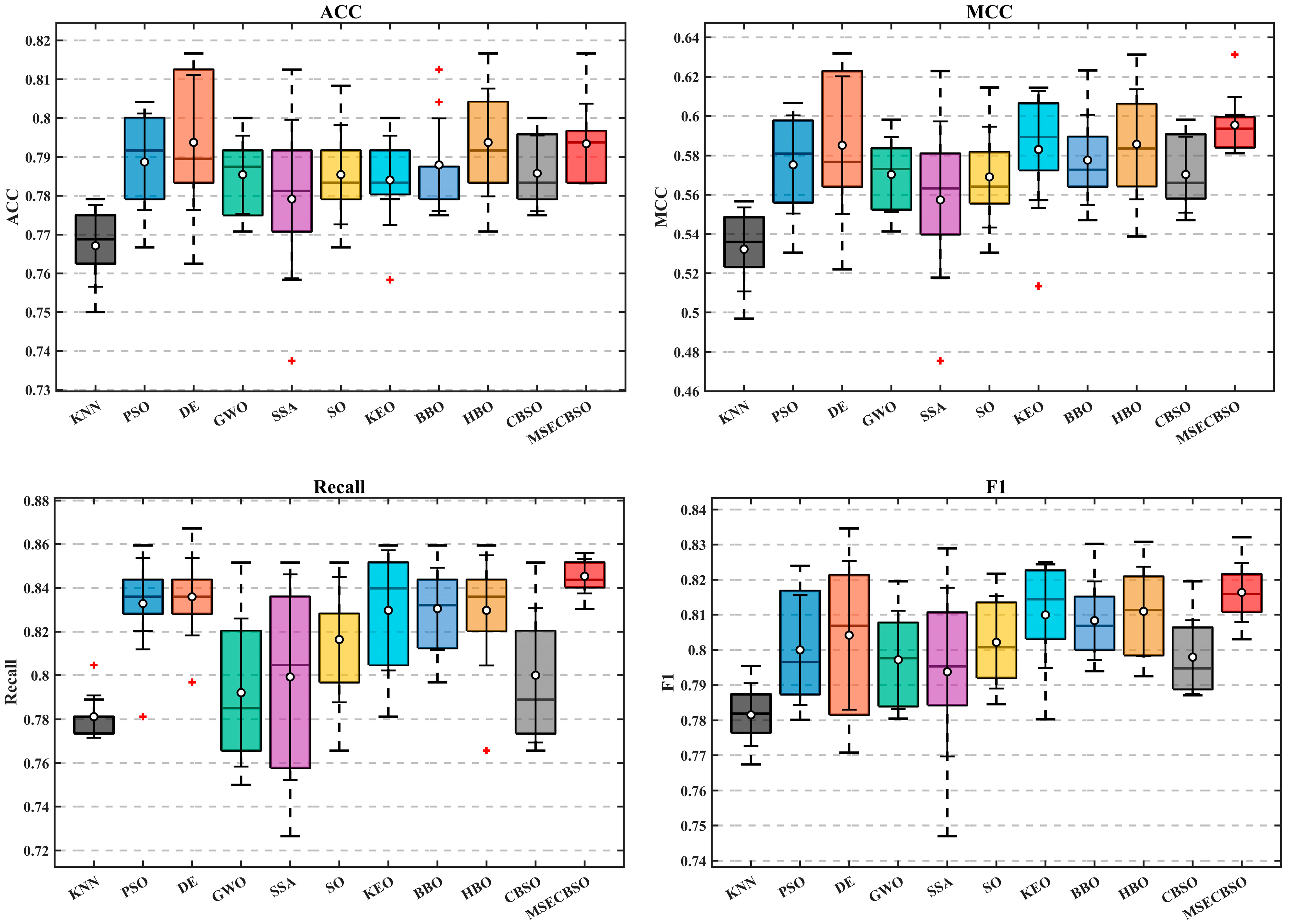
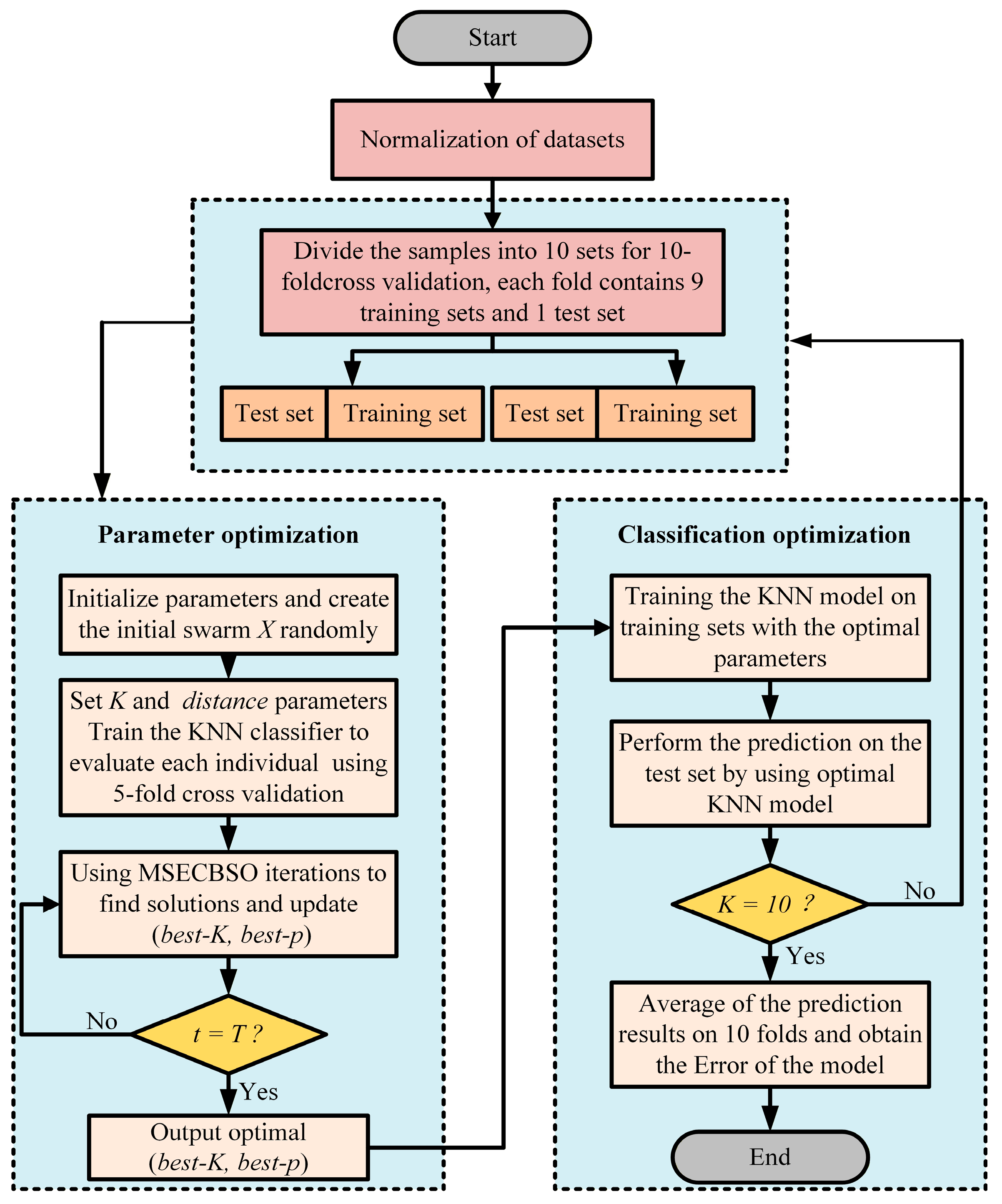
4. Corporate Bankruptcy Forecasting
4.1. Mathematical Model of KNN
4.2. Construction of the MSECBSO-KNN Bankruptcy Prediction Model
4.3. Experiments and Results Analysis
5. Discussion
6. Conclusions and Future Work
Author Contributions
Funding
Data Availability Statement
Acknowledgments
Conflicts of Interest
Nomenclature
| Symbol | Definition |
| population size | |
| problem dimension | |
| maximum number of iterations | |
| iteration index | |
| position (candidate solution) of the i-th individual | |
| objective (fitness) function | |
| global best solution found so far | |
| elite set (top-performing individuals) | |
| multi-elite guiding vector | |
| mutation scaling factor | |
| crossover rate | |
| mutation vector | |
| trial vector | |
| lower and upper bounds of decision variables | |
| number of neighbors in KNN | |
| Minkowski distance order (p = 1 Manhattan, p = 2 Euclidean) | |
| classification metrics used in bankruptcy prediction |
References
- Dannina, K.; Nandan, D.; Meenakshi, K.; Mahajan, A. A multi-class SVM based CBIR system using Forest Optimization algorithm and Firefly algorithm. Eng. Res. Express 2025, 7, 035239. [Google Scholar] [CrossRef]
- Habib, M.; Vicente-Palacios, V.; García-Sánchez, P. Bio-inspired optimization of feature selection and SVM tuning for voice disorders detection. Knowl.-Based Syst. 2025, 310, 112950. [Google Scholar] [CrossRef]
- Ji, Y.; Lu, C.; Liu, L.; Heidari, A.A.; Wu, C.; Chen, H. Advancing bankruptcy prediction: A study on an improved rime optimization algorithm and its application in feature selection. Int. J. Mach. Learn. Cybern. 2025, 16, 3461–3499. [Google Scholar] [CrossRef]
- Wu, X.; Zhang, Y.; Shi, M.; Li, P.; Li, R.; Xiong, N.N. An adaptive federated learning scheme with differential privacy preserving. Futur. Gener. Comput. Syst. 2022, 127, 362–372. [Google Scholar] [CrossRef]
- Wang, H.; Zhang, X.; Xia, Y.; Wu, X. An intelligent blockchain-based access control framework with federated learning for genome-wide association studies. Comput. Stand. Interfaces 2022, 84, 103694. [Google Scholar] [CrossRef]
- Wu, X.; Dong, J.; Bao, W.; Zou, B.; Wang, L.; Wang, H. Augmented Intelligence of Things for Emergency Vehicle Secure Trajectory Prediction and Task Offloading. IEEE Internet Things J. 2024, 11, 36030–36043. [Google Scholar] [CrossRef]
- Ma, R.-H.; Luo, X.-B.; Liu, Y.P.; Li, Q. Clonorchis sinensis infection are associated with calcium phosphate gallbladder stones: A single-center retrospective observational study in China. Medicine 2025, 104, e45739. [Google Scholar] [CrossRef]
- Kennedy, J.; Eberhart, R. Particle swarm optimization. In Proceedings of the ICNN’95—International Conference on Neural Networks; IEEE: Piscataway, NJ, USA, 1995; Volume 4, pp. 1942–1948. [Google Scholar]
- Storn, R.; Price, K. Differential evolution—A simple and efficient heuristic for global optimization over continuous spaces. J. Glob. Optim. 1997, 11, 341–359. [Google Scholar] [CrossRef]
- Dorigo, M.; Birattari, M.; Stützle, T. Ant Colony Optimization. In Computational Intelligence Magazine; IEEE: Piscataway, NJ, USA, 2006; Volume 1, pp. 28–39. [Google Scholar]
- Mirjalili, S.; Mirjalili, S.M.; Lewis, A. Grey Wolf Optimizer. Adv. Eng. Softw. 2014, 69, 46–61. [Google Scholar] [CrossRef]
- Mirjalili, S.; Lewis, A. The Whale Optimization Algorithm. Adv. Eng. Softw. 2016, 95, 51–67. [Google Scholar] [CrossRef]
- Qi, H. Location-Robust Cost-Preserving Blended Pricing for Multi-Campus AI Data Centers. arXiv 2025, arXiv:2512.14197. [Google Scholar]
- Qi, H.; Chunyu, Q. Modular Landfill Remediation for AI Grid Resilience. arXiv 2025, arXiv:2512.19202. [Google Scholar] [CrossRef]
- Wolpert, D.H.; Macready, W.G. No free lunch theorems for optimization. IEEE Trans. Evol. Comput. 1997, 1, 67–82. [Google Scholar] [CrossRef]
- Fan, D.; Zhu, X.; Xiang, Z.; Lu, Y.; Quan, L. Dimension-Reduction Many-Objective Optimization Design of Multimode Double-Stator Permanent Magnet Motor. IEEE Trans. Transp. Electrif. 2024, 11, 1984–1994. [Google Scholar] [CrossRef]
- Fan, D.; Miao, D.; Shan, W.; Xiang, Z.; Zhu, X. Short-Circuit Fault Demagnetization Assessment and Optimization of Double-Electrical-Port Vernier Permanent Magnet Motor. IEEE Trans. Ind. Appl. 2025, 1–10. [Google Scholar] [CrossRef]
- Qi, H. A Unified Metric Architecture for AI Infrastructure: A Cross-Layer Taxonomy Integrating Performance, Efficiency, and Cost. arXiv 2025, arXiv:2511.21772. [Google Scholar]
- Braik, M.S. Chameleon Swarm Algorithm: A bio-inspired optimizer for solving engineering design problems. Expert Syst. Appl. 2021, 174, 114685. [Google Scholar] [CrossRef]
- Faramarzi, A.; Heidarinejad, M.; Mirjalili, S.; Gandomi, A.H. Marine Predators Algorithm: A nature-inspired metaheuristic. Expert Syst. Appl. 2020, 152, 113377. [Google Scholar] [CrossRef]
- Xue, J.; Shen, B. Dung beetle optimizer: A new meta-heuristic algorithm for global optimization. J. Supercomput. 2022, 79, 7305–7336. [Google Scholar] [CrossRef]
- Fu, Y.; Liu, D.; Chen, J.; He, L. Secretary bird optimization algorithm: A new metaheuristic for solving global optimization problems. Artif. Intell. Rev. 2024, 57, 123. [Google Scholar] [CrossRef]
- Chopra, N.; Ansari, M.M. Golden jackal optimization: A novel nature-inspired optimizer for engineering applications. Expert Syst. Appl. 2022, 198, 116924. [Google Scholar] [CrossRef]
- Fu, S.; Li, K.; Huang, H.; Ma, C.; Fan, Q.; Zhu, Y. Red-billed blue magpie optimizer: A novel metaheuristic algorithm for 2D/3D UAV path planning and engineering design problems. Artif. Intell. Rev. 2024, 57, 134. [Google Scholar] [CrossRef]
- Wang, T.-L.; Gu, S.-W.; Liu, R.-J.; Chen, L.-Q.; Wang, Z.; Zeng, Z.-Q. Cuckoo catfish optimizer: A new meta-heuristic optimization algorithm. Artif. Intell. Rev. 2025, 58, 326. [Google Scholar] [CrossRef]
- Hassan, M.H.; Kamel, S. Supercell thunderstorm algorithm (STA): A nature-inspired metaheuristic algorithm for engineering optimization. Neural Comput. Appl. 2025, 37, 7207–7260. [Google Scholar] [CrossRef]
- Qi, H.; Chunyu, Q. Waste-to-Energy-Coupled AI Data Centers: Cooling Efficiency and Grid Resilience. arXiv 2025, arXiv:2512.24683. [Google Scholar]
- Yan, J.; Cheng, Y.; Zhang, F.; Li, M.; Zhou, N.; Jin, B.; Wang, H.; Yang, H.; Zhang, W. Research on multimodal techniques for arc detection in railway systems with limited data. Struct. Heal. Monit. 2025. [Google Scholar] [CrossRef]
- Wang, H.; Song, Y.; Yang, H.; Liu, Z. Generalized Koopman Neural Operator for Data-Driven Modeling of Electric Railway Pantograph–Catenary Systems. IEEE Trans. Transp. Electrif. 2025, 11, 14100–14112. [Google Scholar] [CrossRef]
- Song, J.; Xu, H.; Li, J.; Zhang, S. Demand-driven kNN classification. Knowl.-Based Syst. 2025, 7, 15. [Google Scholar] [CrossRef]
- Veganzones, D.; Séverin, E.; Ben Jabeur, S. Forecasting corporate bankruptcy in imbalanced datasets using a new hybrid machine learning approach. Res. Int. Bus. Financ. 2025, 81, 103200. [Google Scholar] [CrossRef]
- Fedorova, E.; Gilenko, E.; Dovzhenko, S. Bankruptcy prediction for Russian companies: Application of combined classifiers. Expert Syst. Appl. 2013, 40, 7285–7293. [Google Scholar] [CrossRef]
- Murad, S.H.; Tayfor, N.B.; Mahmood, N.H.; Arman, L. Hybrid genetic algorithms-driven optimization of machine learning models for heart disease prediction. MethodsX 2025, 15, 103510. [Google Scholar] [CrossRef]
- Nemati, M.; Zandi, Y.; Sabouri, J. Application of a novel metaheuristic algorithm inspired by connected banking system in truss size and layout optimum design problems and optimization problems. Sci. Rep. 2024, 14, 27345. [Google Scholar] [CrossRef]
- Wu, G.; Mallipeddi, R.; Suganthan, P. Problem Definitions and Evaluation Criteria for the CEC 2017 Competition and Special Session on Constrained Single Objective Real-Parameter Optimization; Technical Report; Nanyang Technological University: Singapore, 2016. [Google Scholar]
- Luo, W.; Lin, X.; Li, C.; Yang, S.; Shi, Y. Benchmark functions for CEC 2022 competition on seeking multiple optima in dynamic environments. arXiv 2022, arXiv:2201.00523. [Google Scholar] [CrossRef]
- Mirjalili, S.; Gandomi, A.H.; Mirjalili, S.Z.; Saremi, S.; Faris, H.; Mirjalili, S.M. Salp Swarm Algorithm: A bio-inspired optimizer for engineering design problems. Adv. Eng. Softw. 2017, 114, 163–191. [Google Scholar] [CrossRef]
- Hashim, F.A.; Hussien, A.G. Snake Optimizer: A novel meta-heuristic optimization algorithm. Knowl.-Based Syst. 2022, 242, 108320. [Google Scholar] [CrossRef]
- Almutairi, S.Z.; Shaheen, A.M. A novel kangaroo escape optimizer for parameter estimation of solar photovoltaic cells/modules via one, two and three-diode equivalent circuit modeling. Sci. Rep. 2025, 15, 32669. [Google Scholar] [CrossRef] [PubMed]
- Ouyang, K.; Wei, D.; Sha, X.; Yu, J.; Zhao, Y.; Qiu, M.; Fu, S.; Heidari, A.A.; Chen, H. Beaver behavior optimizer: A novel metaheuristic algorithm for solar PV parameter identification and engineering problems. J. Adv. Res. 2025, in press. [Google Scholar] [CrossRef]
- Ouertani, M.W.; Manita, G.; Korbaa, O. Hannibal Barca optimizer: The power of the pincer movement for global optimization and multilevel image thresholding. Clust. Comput. 2025, 28, 482. [Google Scholar] [CrossRef]
- Fu, S.; Huang, H.; Ma, C.; Wei, J.; Li, Y.; Fu, Y. Improved dwarf mongoose optimization algorithm using novel nonlinear control and exploration strategies. Expert Syst. Appl. 2023, 233, 120904. [Google Scholar] [CrossRef]
- Cao, L.; Wei, Q. SZOA: An Improved Synergistic Zebra Optimization Algorithm for Microgrid Scheduling and Management. Biomimetics 2025, 10, 664. [Google Scholar] [CrossRef]
- Zhang, S. Challenges in KNN Classification. IEEE Trans. Knowl. Data Eng. 2021, 34, 4663–4675. [Google Scholar] [CrossRef]
- Zhang, S. Cost-sensitive KNN classification. Neurocomputing 2020, 391, 234–242. [Google Scholar] [CrossRef]





















| Algorithm | Inspiration | Strengths (Exploration/Exploitation) | Typical Balance Mechanism | Common Limitations in Complex Problems |
|---|---|---|---|---|
| PSO [8] | Bird flocking | Fast convergence, simple update | Inertia + cognitive/social terms | Premature convergence; diversity loss |
| DE [9] | Evolutionary mutation/recombination | Strong local refinement; robust | Mutation + crossover + selection | Sensitive to control parameters; may stagnate |
| GWO [11] | Gray wolf hunting | Good exploration early | Hierarchical leadership | Reduced exploitation precision in late stages |
| ACO [10] | Ant foraging behavior | Good exploration early | Pheromone deposition and evaporation | Low efficiency in continuous optimization, easy to fall into local optima |
| WOA [12] | Bubble-net hunting | Effective global search | Encircling + spiral | Susceptible to local optima on high-dimensional functions |
| GJO [23] | Golden jackal cooperative hunting | Exploration capability | Search, pursuit, attack, food storage | Slow convergence, insufficient robustness for multimodal functions |
| DBO [21] | Dung beetle rolling/foraging/stealing behaviors | Effective global search | Rolling, dancing, breeding, stealing mechanisms | Redundant search steps, low efficiency in high-dimensional problems |
| SBOA [22] | Secretary bird hunting patterns | Good exploration early | Stomping, soaring, descending attacks | Biased search direction, poor boundary handling |
| Algorithms | Name of the Parameter | Value of the Parameter |
|---|---|---|
| PSO | 6, 0.9, 0.6, 2, 2 | |
| DE | 0.8, 0.8 | |
| GWO | [0,2] | |
| SSA | [0,2], [0,1] | |
| SO | ||
| KEO | 0.5, 0.5 | |
| BBO | ||
| HBO | 0.94 | |
| CBSO | ||
| MSECBSO |
| Function | Metric | PSO | DE | GWO | SSA | SO | KEO | BBO | HBO | CBSO | MSECBSO |
|---|---|---|---|---|---|---|---|---|---|---|---|
| F1 | Mean | 2.3227 × 109 | 2.6671 × 107 | 2.6409 × 109 | 6.4350 × 103 | 1.0160 × 107 | 9.6271 × 104 | 1.2848 × 105 | 1.4199 × 109 | 3.3791 × 109 | 3.1465 × 103 |
| Std | 2.3097 × 109 | 7.9026 × 106 | 1.6890 × 109 | 6.8692 × 103 | 1.3077 × 107 | 7.6760 × 104 | 9.6557 × 104 | 8.0071 × 108 | 1.4994 × 109 | 3.0600 × 103 | |
| F2 | Mean | 1.4600 × 1030 | 1.0204 × 1028 | 5.7244 × 1032 | 2.7861 × 1023 | 6.2415 × 1025 | 3.2391 × 1022 | 4.8029 × 1014 | 1.7314 × 1030 | 5.2841 × 1031 | 9.2678 × 1014 |
| Std | 7.8536 × 1030 | 1.8695 × 1028 | 2.8152 × 1033 | 1.2102 × 1024 | 2.1684 × 1026 | 1.7599 × 1023 | 1.5664 × 1015 | 6.1260 × 1030 | 1.5863 × 1032 | 4.9626 × 1015 | |
| F3 | Mean | 6.6591 × 104 | 1.3241 × 105 | 6.1239 × 104 | 7.3547 × 104 | 7.1202 × 104 | 4.8829 × 104 | 1.9300 × 104 | 5.8615 × 104 | 1.3549 × 105 | 5.4829 × 103 |
| Std | 2.4833 × 104 | 2.1435 × 104 | 1.1437 × 104 | 2.5737 × 104 | 1.0364 × 104 | 1.6456 × 104 | 6.2777 × 103 | 1.0015 × 104 | 3.6823 × 104 | 2.6052 × 103 | |
| F4 | Mean | 6.3170 × 102 | 6.3291 × 102 | 6.2694 × 102 | 5.2573 × 102 | 5.5340 × 102 | 5.3610 × 102 | 5.0628 × 102 | 6.8509 × 102 | 7.2932 × 102 | 5.0382 × 102 |
| Std | 1.0559 × 102 | 2.2620 × 101 | 9.7088 × 101 | 2.7889 × 101 | 3.8588 × 101 | 3.1983 × 101 | 1.9904 × 101 | 7.6893 × 101 | 9.0071 × 101 | 1.5362 × 101 | |
| F5 | Mean | 7.2154 × 102 | 6.8799 × 102 | 6.2804 × 102 | 6.9350 × 102 | 5.9631 × 102 | 6.4166 × 102 | 5.9816 × 102 | 6.8583 × 102 | 7.4328 × 102 | 5.7919 × 102 |
| Std | 2.9936 × 101 | 1.3908 × 101 | 4.8296 × 101 | 5.4393 × 101 | 1.9742 × 101 | 2.6510 × 101 | 3.1397 × 101 | 3.6151 × 101 | 5.8293 × 101 | 4.5317 × 101 | |
| F6 | Mean | 6.2207 × 102 | 6.0389 × 102 | 6.1415 × 102 | 6.5605 × 102 | 6.1825 × 102 | 6.2721 × 102 | 6.1507 × 102 | 6.2655 × 102 | 6.5484 × 102 | 6.0039 × 102 |
| Std | 8.1062 × 100 | 5.9694 × 10−1 | 4.9069 × 100 | 1.1855 × 101 | 6.7061 × 100 | 1.2453 × 101 | 7.1889 × 100 | 8.4510 × 100 | 1.0702 × 101 | 4.9994 × 10−1 | |
| F7 | Mean | 9.9505 × 102 | 9.5322 × 102 | 9.1629 × 102 | 9.4647 × 102 | 9.1205 × 102 | 9.8913 × 102 | 8.6338 × 102 | 1.0360 × 103 | 1.2172 × 103 | 8.2677 × 102 |
| Std | 2.4594 × 101 | 1.0778 × 101 | 4.5850 × 101 | 6.2119 × 101 | 4.0292 × 101 | 6.8332 × 101 | 3.0304 × 101 | 5.7275 × 101 | 8.4337 × 101 | 4.5188 × 101 | |
| F8 | Mean | 1.0082 × 103 | 9.8633 × 102 | 9.0331 × 102 | 9.5655 × 102 | 8.9354 × 102 | 9.2742 × 102 | 8.8636 × 102 | 9.6166 × 102 | 1.0447 × 103 | 9.0905 × 102 |
| Std | 2.7660 × 101 | 1.1408 × 101 | 2.5959 × 101 | 4.4072 × 101 | 1.7992 × 101 | 3.2574 × 101 | 2.2738 × 101 | 2.8089 × 101 | 3.9674 × 101 | 4.3834 × 101 | |
| F9 | Mean | 1.8696 × 103 | 3.6141 × 103 | 2.3946 × 103 | 5.9587 × 103 | 2.5168 × 103 | 2.9699 × 103 | 2.0199 × 103 | 5.2512 × 103 | 9.4254 × 103 | 9.5790 × 102 |
| Std | 8.8453 × 102 | 6.4037 × 102 | 9.4446 × 102 | 1.9683 × 103 | 9.8858 × 102 | 8.2886 × 102 | 6.0266 × 102 | 1.4061 × 103 | 3.6799 × 103 | 5.4403 × 101 | |
| F10 | Mean | 7.4597 × 103 | 6.7869 × 103 | 5.4830 × 103 | 5.4111 × 103 | 4.3538 × 103 | 5.1165 × 103 | 4.2415 × 103 | 5.1714 × 103 | 6.5385 × 103 | 7.0211 × 103 |
| Std | 5.4856 × 102 | 4.1789 × 102 | 1.7510 × 103 | 7.6158 × 102 | 8.5920 × 102 | 6.3281 × 102 | 5.7211 × 102 | 6.3518 × 102 | 6.1645 × 102 | 4.3069 × 102 | |
| F11 | Mean | 1.4712 × 103 | 2.4263 × 103 | 2.4723 × 103 | 1.4249 × 103 | 1.4458 × 103 | 1.3035 × 103 | 1.2619 × 103 | 1.7558 × 103 | 2.0421 × 103 | 1.1692 × 103 |
| Std | 9.7653 × 101 | 6.7754 × 102 | 1.1635 × 103 | 8.3638 × 101 | 1.0863 × 102 | 8.4409 × 101 | 6.0114 × 101 | 3.4681 × 102 | 3.7641 × 102 | 3.1986 × 101 | |
| F12 | Mean | 1.0047 × 108 | 3.2613 × 107 | 1.0845 × 108 | 4.1702 × 107 | 4.8631 × 106 | 2.8441 × 106 | 3.1489 × 106 | 4.0825 × 107 | 1.3194 × 108 | 7.9176 × 105 |
| Std | 1.2197 × 108 | 9.9222 × 106 | 1.2034 × 108 | 4.4829 × 107 | 4.4411 × 106 | 1.8708 × 106 | 1.9115 × 106 | 3.8682 × 107 | 8.5016 × 107 | 6.8845 × 105 | |
| F13 | Mean | 7.4310 × 106 | 6.1193 × 106 | 4.7215 × 107 | 1.2924 × 105 | 5.4085 × 104 | 4.9881 × 104 | 5.9114 × 104 | 3.0637 × 105 | 1.8235 × 106 | 8.5484 × 103 |
| Std | 1.2711 × 107 | 2.4516 × 106 | 9.8364 × 107 | 8.3816 × 104 | 3.8134 × 104 | 2.7077 × 104 | 3.8052 × 104 | 5.3541 × 105 | 1.2217 × 106 | 7.3887 × 103 | |
| F14 | Mean | 9.7221 × 104 | 4.4143 × 105 | 6.4169 × 105 | 1.7417 × 105 | 5.3723 × 104 | 1.8658 × 104 | 3.8801 × 104 | 6.5971 × 105 | 2.9666 × 105 | 1.4452 × 103 |
| Std | 8.2919 × 104 | 2.5949 × 105 | 7.4586 × 105 | 2.0325 × 105 | 6.1587 × 104 | 2.0320 × 104 | 2.5878 × 104 | 9.9749 × 105 | 5.3889 × 105 | 1.0155 × 101 | |
| F15 | Mean | 1.8285 × 105 | 1.6031 × 106 | 9.1747 × 105 | 6.0277 × 104 | 1.9965 × 104 | 1.1114 × 104 | 2.3469 × 104 | 1.3499 × 104 | 1.6480 × 105 | 1.5588 × 103 |
| Std | 1.4162 × 105 | 1.1917 × 106 | 1.5507 × 106 | 5.0081 × 104 | 1.7377 × 104 | 7.9579 × 103 | 1.2922 × 104 | 1.4286 × 104 | 9.2719 × 104 | 4.6310 × 101 | |
| F16 | Mean | 2.9888 × 103 | 2.9512 × 103 | 2.6903 × 103 | 3.1184 × 103 | 2.5520 × 103 | 2.7856 × 103 | 2.5135 × 103 | 2.8709 × 103 | 3.2697 × 103 | 2.5822 × 103 |
| Std | 3.3014 × 102 | 2.5090 × 102 | 3.4167 × 102 | 3.0109 × 102 | 2.1372 × 102 | 3.3063 × 102 | 2.7951 × 102 | 2.9179 × 102 | 3.1698 × 102 | 3.2361 × 102 | |
| F17 | Mean | 2.1803 × 103 | 2.2084 × 103 | 2.1123 × 103 | 2.3224 × 103 | 2.2848 × 103 | 2.2994 × 103 | 2.0520 × 103 | 2.3618 × 103 | 2.4515 × 103 | 1.8383 × 103 |
| Std | 2.2394 × 102 | 1.1750 × 102 | 1.6872 × 102 | 2.1656 × 102 | 1.7917 × 102 | 2.7495 × 102 | 1.9000 × 102 | 2.3188 × 102 | 2.4639 × 102 | 9.1080 × 101 | |
| F18 | Mean | 2.5965 × 106 | 1.9949 × 106 | 1.9451 × 106 | 2.6544 × 106 | 1.0521 × 106 | 2.8610 × 105 | 5.8083 × 105 | 3.5026 × 106 | 2.7755 × 106 | 1.0392 × 104 |
| Std | 2.2241 × 106 | 1.0686 × 106 | 2.9498 × 106 | 2.7879 × 106 | 1.0154 × 106 | 3.3788 × 105 | 7.3086 × 105 | 3.5846 × 106 | 2.6550 × 106 | 1.1774 × 104 | |
| F19 | Mean | 2.9448 × 106 | 1.3464 × 106 | 1.3490 × 106 | 4.8373 × 106 | 2.4526 × 104 | 1.0947 × 104 | 2.1571 × 104 | 8.9584 × 104 | 1.3635 × 106 | 1.9337 × 103 |
| Std | 1.3422 × 107 | 7.1486 × 105 | 1.4531 × 106 | 3.9101 × 106 | 4.8738 × 104 | 1.2737 × 104 | 2.0033 × 104 | 2.8186 × 105 | 1.5515 × 106 | 2.4146 × 101 | |
| F20 | Mean | 2.5450 × 103 | 2.5055 × 103 | 2.5486 × 103 | 2.6714 × 103 | 2.4563 × 103 | 2.7679 × 103 | 2.5204 × 103 | 2.5789 × 103 | 2.6273 × 103 | 2.2190 × 103 |
| Std | 2.1892 × 102 | 1.0782 × 102 | 2.0066 × 102 | 2.3465 × 102 | 1.7789 × 102 | 2.2333 × 102 | 1.7192 × 102 | 1.8392 × 102 | 1.3454 × 102 | 1.2826 × 102 | |
| F21 | Mean | 2.5074 × 103 | 2.4845 × 103 | 2.4056 × 103 | 2.4468 × 103 | 2.3954 × 103 | 2.4287 × 103 | 2.3892 × 103 | 2.4704 × 103 | 2.5319 × 103 | 2.3676 × 103 |
| Std | 2.4602 × 101 | 1.3396 × 101 | 3.4774 × 101 | 6.3547 × 101 | 2.3517 × 101 | 4.3294 × 101 | 2.7647 × 101 | 3.3621 × 101 | 3.6040 × 101 | 4.2962 × 101 | |
| F22 | Mean | 5.9109 × 103 | 3.9293 × 103 | 5.5119 × 103 | 4.4664 × 103 | 4.2612 × 103 | 5.1922 × 103 | 2.8428 × 103 | 4.4786 × 103 | 6.0348 × 103 | 2.3009 × 103 |
| Std | 3.1529 × 103 | 1.3101 × 103 | 1.4492 × 103 | 2.2486 × 103 | 1.9912 × 103 | 2.1510 × 103 | 1.4280 × 103 | 2.2298 × 103 | 2.5469 × 103 | 1.5201 × 100 | |
| F23 | Mean | 2.9219 × 103 | 2.8396 × 103 | 2.7820 × 103 | 2.8094 × 103 | 2.8007 × 103 | 2.7933 × 103 | 2.7604 × 103 | 2.8417 × 103 | 2.9220 × 103 | 2.7049 × 103 |
| Std | 6.8575 × 101 | 1.4598 × 101 | 4.3608 × 101 | 4.2907 × 101 | 3.6158 × 101 | 4.0058 × 101 | 2.7320 × 101 | 6.0369 × 101 | 4.2152 × 101 | 3.3849 × 101 | |
| F24 | Mean | 3.1185 × 103 | 3.0500 × 103 | 2.9708 × 103 | 2.9469 × 103 | 2.9507 × 103 | 2.9572 × 103 | 2.9139 × 103 | 3.0205 × 103 | 3.0746 × 103 | 2.8838 × 103 |
| Std | 9.2673 × 101 | 1.6200 × 101 | 6.9385 × 101 | 2.9939 × 101 | 2.9053 × 101 | 5.5196 × 101 | 2.3829 × 101 | 4.8346 × 101 | 5.4512 × 101 | 3.6257 × 101 | |
| F25 | Mean | 2.9824 × 103 | 2.9804 × 103 | 3.0393 × 103 | 2.9444 × 103 | 2.9395 × 103 | 2.9206 × 103 | 2.9061 × 103 | 3.0230 × 103 | 3.0976 × 103 | 2.8894 × 103 |
| Std | 4.8976 × 101 | 1.8956 × 101 | 7.3992 × 101 | 3.0843 × 101 | 3.1751 × 101 | 2.5090 × 101 | 2.3963 × 101 | 4.9276 × 101 | 9.6522 × 101 | 2.5519 × 100 | |
| F26 | Mean | 4.9664 × 103 | 5.2766 × 103 | 4.9813 × 103 | 5.2327 × 103 | 5.5962 × 103 | 5.4022 × 103 | 4.5794 × 103 | 5.4156 × 103 | 6.4902 × 103 | 4.0509 × 103 |
| Std | 1.2736 × 103 | 5.2820 × 102 | 4.8381 × 102 | 1.1164 × 103 | 5.1704 × 102 | 8.2291 × 102 | 1.2297 × 103 | 8.4147 × 102 | 3.9346 × 102 | 2.9148 × 102 | |
| F27 | Mean | 3.2768 × 103 | 3.2715 × 103 | 3.2709 × 103 | 3.2776 × 103 | 3.2971 × 103 | 3.2582 × 103 | 3.2363 × 103 | 3.2608 × 103 | 3.2481 × 103 | 3.2183 × 103 |
| Std | 5.7368 × 101 | 9.2803 × 100 | 3.1174 × 101 | 3.6412 × 101 | 3.1014 × 101 | 3.1355 × 101 | 1.4010 × 101 | 2.3705 × 101 | 2.2414 × 101 | 1.2060 × 101 | |
| F28 | Mean | 3.4065 × 103 | 3.3896 × 103 | 3.4769 × 103 | 3.3178 × 103 | 3.3580 × 103 | 3.3027 × 103 | 3.2373 × 103 | 3.4516 × 103 | 3.5264 × 103 | 3.2276 × 103 |
| Std | 1.6612 × 102 | 2.4252 × 101 | 9.4288 × 101 | 5.1739 × 101 | 5.1589 × 101 | 3.9701 × 101 | 2.1412 × 101 | 5.7311 × 101 | 9.4884 × 101 | 2.0673 × 101 | |
| F29 | Mean | 4.1023 × 103 | 3.9791 × 103 | 3.9605 × 103 | 4.3519 × 103 | 4.0882 × 103 | 4.0889 × 103 | 3.8247 × 103 | 4.1490 × 103 | 4.2664 × 103 | 3.7416 × 103 |
| Std | 2.4564 × 102 | 1.3847 × 102 | 1.8821 × 102 | 2.5497 × 102 | 2.5608 × 102 | 2.2226 × 102 | 2.0112 × 102 | 2.5707 × 102 | 2.5270 × 102 | 2.6492 × 102 | |
| F30 | Mean | 2.7427 × 106 | 1.5210 × 106 | 1.6119 × 107 | 1.0299 × 107 | 3.3968 × 105 | 8.7718 × 104 | 2.3606 × 105 | 5.1217 × 105 | 4.3965 × 106 | 9.2145 × 103 |
| Std | 2.6309 × 106 | 1.0115 × 106 | 1.1988 × 107 | 8.3179 × 106 | 3.9662 × 105 | 8.0181 × 104 | 1.8175 × 105 | 6.0392 × 105 | 3.3186 × 106 | 1.9174 × 103 |
| Function | Metric | PSO | DE | GWO | SSA | SO | KEO | BBO | HBO | CBSO | MSECBSO |
|---|---|---|---|---|---|---|---|---|---|---|---|
| F1 | Mean | 3.7004 × 1010 | 4.3218 × 1010 | 5.4789 × 1010 | 1.4752 × 1010 | 1.4114 × 1010 | 8.3588 × 109 | 7.6183 × 107 | 9.0772 × 1010 | 1.5605 × 1011 | 9.2554 × 107 |
| Std | 1.0666 × 1010 | 4.1831 × 109 | 9.5952 × 109 | 4.5345 × 109 | 2.8569 × 109 | 2.1746 × 109 | 2.4505 × 107 | 1.3003 × 1010 | 2.3464 × 1010 | 4.6681 × 107 | |
| F2 | Mean | 8.6850 × 10132 | 1.0401 × 10146 | 4.6294 × 10131 | 6.7780 × 10139 | 1.1797 × 10136 | 1.4025 × 10131 | 1.6564 × 10106 | 5.7577 × 10144 | 5.1814 × 10154 | 1.0690× 10105 |
| Std | 4.0378 × 10133 | 3.1958 × 10146 | 1.9283 × 10132 | 3.2692 × 10140 | 3.7045 × 10136 | 6.1934 × 10131 | 9.0727 × 10106 | 3.0474 × 10145 | 6.5535 × 104 | 3.2616× 10105 | |
| F3 | Mean | 5.7995 × 105 | 7.0507 × 105 | 5.4084 × 105 | 6.9128 × 105 | 3.8329 × 105 | 4.1588 × 105 | 4.4527 × 105 | 3.9138 × 105 | 8.6246 × 105 | 2.0452 × 105 |
| Std | 1.0927 × 105 | 3.7739 × 104 | 7.7349 × 104 | 1.7684 × 105 | 3.3670 × 104 | 6.9684 × 104 | 7.4978 × 104 | 7.3967 × 104 | 1.3761 × 105 | 2.3973 × 104 | |
| F4 | Mean | 4.1306 × 103 | 8.6703 × 103 | 5.8527 × 103 | 2.3732 × 103 | 2.7879 × 103 | 2.0382 × 103 | 9.1928 × 102 | 9.8382 × 103 | 2.3503 × 104 | 9.5440 × 102 |
| Std | 1.9319 × 103 | 1.0682 × 103 | 1.2543 × 103 | 5.6287 × 102 | 5.1909 × 102 | 2.8799 × 102 | 6.1648 × 101 | 1.9429 × 103 | 5.7318 × 103 | 6.5847 × 101 | |
| F5 | Mean | 1.7205 × 103 | 1.7510 × 103 | 1.2485 × 103 | 1.5364 × 103 | 1.1711 × 103 | 1.3485 × 103 | 1.1208 × 103 | 1.7071 × 103 | 2.0784 × 103 | 9.7810 × 102 |
| Std | 9.2201 × 101 | 4.0575 × 101 | 7.9921 × 101 | 1.1169 × 102 | 6.1076 × 101 | 1.0552 × 102 | 6.3048 × 101 | 5.9912 × 101 | 1.1326 × 102 | 2.2452 × 102 | |
| F6 | Mean | 6.7400 × 102 | 6.4909 × 102 | 6.4683 × 102 | 6.7784 × 102 | 6.4604 × 102 | 6.6199 × 102 | 6.5008 × 102 | 6.7579 × 102 | 7.0552 × 102 | 6.1890 × 102 |
| Std | 1.1366 × 101 | 2.3381 × 100 | 5.2436 × 100 | 4.7322 × 100 | 4.5578 × 100 | 5.6264 × 100 | 5.3556 × 100 | 5.9350 × 100 | 7.5030 × 100 | 4.7060 × 100 | |
| F7 | Mean | 2.4115 × 103 | 2.8785 × 103 | 2.1869 × 103 | 2.8858 × 103 | 2.2528 × 103 | 3.1706 × 103 | 2.0032 × 103 | 3.1469 × 103 | 4.9880 × 103 | 1.5928 × 103 |
| Std | 1.2647 × 102 | 8.2600 × 101 | 1.5124 × 102 | 4.2939 × 102 | 1.0243 × 102 | 4.1394 × 102 | 1.6559 × 102 | 1.4200 × 102 | 4.2751 × 102 | 2.2725 × 102 | |
| F8 | Mean | 2.0113 × 103 | 2.0353 × 103 | 1.5623 × 103 | 1.9051 × 103 | 1.4981 × 103 | 1.7143 × 103 | 1.4544 × 103 | 2.1127 × 103 | 2.3199 × 103 | 1.2500 × 103 |
| Std | 1.2708 × 102 | 3.8579 × 101 | 5.4400 × 101 | 1.4335 × 102 | 6.5081 × 101 | 1.1522 × 102 | 9.3735 × 101 | 9.3675 × 101 | 1.1235 × 102 | 1.6874 × 102 | |
| F9 | Mean | 6.7244 × 104 | 8.1942 × 104 | 4.8508 × 104 | 4.1399 × 104 | 2.7101 × 104 | 2.8307 × 104 | 2.6658 × 104 | 5.3474 × 104 | 1.0066 × 105 | 1.9636 × 104 |
| Std | 1.5251 × 104 | 6.7525 × 103 | 1.0724 × 104 | 4.0277 × 103 | 7.4804 × 103 | 4.0961 × 103 | 5.1493 × 103 | 5.3581 × 103 | 2.0308 × 104 | 5.1949 × 103 | |
| F10 | Mean | 2.9444 × 104 | 2.9953 × 104 | 1.8563 × 104 | 1.9214 × 104 | 3.1508 × 104 | 1.8031 × 104 | 1.5411 × 104 | 2.4059 × 104 | 2.8079 × 104 | 2.9343 × 104 |
| Std | 1.7628 × 103 | 7.6048 × 102 | 1.1451 × 103 | 1.2292 × 103 | 1.2625 × 103 | 1.7758 × 103 | 1.6401 × 103 | 1.0998 × 103 | 1.2116 × 103 | 7.4672 × 102 | |
| F11 | Mean | 7.8492 × 104 | 1.2669 × 105 | 9.5831 × 104 | 1.3614 × 105 | 1.3295 × 105 | 7.1108 × 104 | 1.9826 × 104 | 1.3111 × 105 | 2.2039 × 105 | 1.5650 × 104 |
| Std | 3.3758 × 104 | 2.1208 × 104 | 1.6402 × 104 | 4.0641 × 104 | 2.3923 × 104 | 2.9331 × 104 | 6.7515 × 103 | 3.1651 × 104 | 4.3157 × 104 | 3.9991 × 103 | |
| F12 | Mean | 1.2940 × 1010 | 8.1142 × 109 | 1.2684 × 1010 | 1.3634 × 109 | 1.8960 × 109 | 6.8111 × 108 | 2.7561 × 108 | 1.3369 × 1010 | 2.7327 × 1010 | 5.9548 × 107 |
| Std | 7.9448 × 109 | 1.2365 × 109 | 6.9437 × 109 | 4.9215 × 108 | 1.0869 × 109 | 2.6920 × 108 | 1.2961 × 108 | 3.4980 × 109 | 6.6683 × 109 | 2.0222 × 107 | |
| F13 | Mean | 1.5362 × 109 | 8.4150 × 107 | 9.9307 × 108 | 8.3179 × 104 | 3.8962 × 106 | 1.0522 × 105 | 1.2597 × 105 | 8.8617 × 108 | 2.3723 × 109 | 4.8009 × 103 |
| Std | 1.4728 × 109 | 3.4085 × 107 | 6.7686 × 108 | 3.4327 × 104 | 4.1483 × 106 | 4.6059 × 104 | 4.6297 × 104 | 4.4390 × 108 | 7.1319 × 108 | 2.4337 × 103 | |
| F14 | Mean | 1.2253 × 107 | 2.6805 × 107 | 9.7989 × 106 | 8.9347 × 106 | 6.5453 × 106 | 3.9043 × 106 | 4.1384 × 106 | 1.5296 × 107 | 2.7701 × 107 | 7.2394 × 105 |
| Std | 4.5925 × 106 | 7.1433 × 106 | 5.9165 × 106 | 5.4701 × 106 | 3.9666 × 106 | 1.7950 × 106 | 1.7509 × 106 | 5.9818 × 106 | 1.5467 × 107 | 4.3053 × 105 | |
| F15 | Mean | 2.4709 × 108 | 1.8470 × 107 | 3.0509 × 108 | 7.7600 × 104 | 4.0652 × 105 | 6.4926 × 104 | 5.7410 × 104 | 1.0096 × 108 | 3.0565 × 108 | 4.4740 × 103 |
| Std | 2.8366 × 108 | 6.5567 × 106 | 2.6880 × 108 | 3.1648 × 104 | 5.0111 × 105 | 2.8517 × 104 | 2.3933 × 104 | 6.4857 × 107 | 1.5330 × 108 | 4.5686 × 103 | |
| F16 | Mean | 1.0113 × 104 | 1.1216 × 104 | 6.4537 × 103 | 7.8564 × 103 | 7.2810 × 103 | 6.2651 × 103 | 5.9618 × 103 | 9.3801 × 103 | 1.1332 × 104 | 7.6207 × 103 |
| Std | 8.3420 × 102 | 4.8871 × 102 | 8.7563 × 102 | 1.0012 × 103 | 1.3780 × 103 | 7.6391 × 102 | 7.5082 × 102 | 1.0066 × 103 | 1.3423 × 103 | 1.8417 × 103 | |
| F17 | Mean | 8.8494 × 103 | 7.8203 × 103 | 5.5393 × 103 | 6.1349 × 103 | 5.6128 × 103 | 5.6035 × 103 | 4.9881 × 103 | 8.5740 × 103 | 9.5808 × 103 | 5.8244 × 103 |
| Std | 1.8118 × 103 | 2.9554 × 102 | 7.9385 × 102 | 6.0330 × 102 | 4.5100 × 102 | 5.3570 × 102 | 5.8215 × 102 | 1.4840 × 103 | 1.6909 × 103 | 7.1702 × 102 | |
| F18 | Mean | 1.9010 × 107 | 4.2571 × 107 | 9.7655 × 106 | 1.1770 × 107 | 1.1723 × 107 | 5.5247 × 106 | 3.7518 × 106 | 1.9956 × 107 | 4.7705 × 107 | 1.1019 × 106 |
| Std | 8.3759 × 106 | 1.2186 × 107 | 6.6599 × 106 | 7.0369 × 106 | 4.7914 × 106 | 4.2177 × 106 | 1.6338 × 106 | 9.3385 × 106 | 2.9124 × 107 | 7.1793 × 105 | |
| F19 | Mean | 2.5588 × 108 | 2.8778 × 107 | 3.6693 × 108 | 2.8981 × 107 | 2.5560 × 106 | 9.7305 × 105 | 1.2873 × 106 | 1.0640 × 108 | 3.7978 × 108 | 4.4622 × 103 |
| Std | 1.9894 × 108 | 1.3400 × 107 | 5.2984 × 108 | 2.1214 × 107 | 2.8085 × 106 | 7.7851 × 105 | 8.3342 × 105 | 3.7502 × 107 | 1.4387 × 108 | 2.7163 × 103 | |
| F20 | Mean | 7.0737 × 103 | 6.8284 × 103 | 5.6462 × 103 | 5.5919 × 103 | 7.2883 × 103 | 5.7120 × 103 | 4.9817 × 103 | 5.9047 × 103 | 7.0819 × 103 | 6.4657 × 103 |
| Std | 4.6382 × 102 | 2.6061 × 102 | 1.2110 × 103 | 5.5682 × 102 | 3.4639 × 102 | 5.4753 × 102 | 5.4824 × 102 | 5.8174 × 102 | 4.2451 × 102 | 5.0953 × 102 | |
| F21 | Mean | 3.7420 × 103 | 3.5755 × 103 | 3.0621 × 103 | 3.4445 × 103 | 3.0974 × 103 | 3.2036 × 103 | 2.9568 × 103 | 3.7268 × 103 | 3.9463 × 103 | 2.7363 × 103 |
| Std | 1.1891 × 102 | 4.3281 × 101 | 8.5975 × 101 | 1.5785 × 102 | 9.4338 × 101 | 1.4731 × 102 | 1.2081 × 102 | 1.2349 × 102 | 1.1749 × 102 | 1.6531 × 102 | |
| F22 | Mean | 3.2063 × 104 | 3.2738 × 104 | 2.2346 × 104 | 2.2254 × 104 | 3.2920 × 104 | 2.1161 × 104 | 1.8597 × 104 | 2.6910 × 104 | 3.0270 × 104 | 3.1221 × 104 |
| Std | 1.3910 × 103 | 4.5949 × 102 | 4.2895 × 103 | 1.7016 × 103 | 1.9914 × 103 | 1.8110 × 103 | 1.5382 × 103 | 1.0628 × 103 | 9.1354 × 102 | 2.2700 × 103 | |
| F23 | Mean | 4.8886 × 103 | 3.9784 × 103 | 3.7283 × 103 | 3.8182 × 103 | 3.7320 × 103 | 3.7105 × 103 | 3.5090 × 103 | 4.0455 × 103 | 4.5130 × 103 | 3.2273 × 103 |
| Std | 2.9224 × 102 | 4.0387 × 101 | 9.5152 × 101 | 1.8019 × 102 | 6.4296 × 101 | 1.1875 × 102 | 8.8479 × 101 | 1.1540 × 102 | 1.7261 × 102 | 7.2809 × 101 | |
| F24 | Mean | 5.8889 × 103 | 4.6677 × 103 | 4.4861 × 103 | 4.5216 × 103 | 4.7146 × 103 | 4.4381 × 103 | 3.9864 × 103 | 4.8001 × 103 | 5.2598 × 103 | 3.8306 × 103 |
| Std | 4.2104 × 102 | 7.3228 × 101 | 1.8577 × 102 | 2.3497 × 102 | 1.5597 × 102 | 1.7747 × 102 | 1.1627 × 102 | 1.3858 × 102 | 2.3814 × 102 | 1.1652 × 102 | |
| F25 | Mean | 5.7569 × 103 | 1.0721 × 104 | 7.3121 × 103 | 4.9959 × 103 | 5.4714 × 103 | 4.8145 × 103 | 3.5636 × 103 | 9.4540 × 103 | 1.8661 × 104 | 3.6444 × 103 |
| Std | 8.2588 × 102 | 7.3238 × 102 | 1.2029 × 103 | 4.2574 × 102 | 4.3865 × 102 | 3.9939 × 102 | 6.0018 × 101 | 9.1585 × 102 | 3.8933 × 103 | 6.3430 × 101 | |
| F26 | Mean | 1.9775 × 104 | 1.9904 × 104 | 1.7394 × 104 | 1.9933 × 104 | 1.9339 × 104 | 1.9837 × 104 | 1.5995 × 104 | 2.5175 × 104 | 2.6273 × 104 | 1.1536 × 104 |
| Std | 4.3166 × 103 | 5.5096 × 102 | 1.4168 × 103 | 3.7215 × 103 | 1.9224 × 103 | 2.8843 × 103 | 2.4765 × 103 | 3.5008 × 103 | 2.0675 × 103 | 1.2219 × 103 | |
| F27 | Mean | 4.0397 × 103 | 4.9914 × 103 | 4.2502 × 103 | 4.1715 × 103 | 4.3360 × 103 | 4.0765 × 103 | 3.7404 × 103 | 4.2291 × 103 | 4.3670 × 103 | 3.7658 × 103 |
| Std | 2.7600 × 102 | 1.2548 × 102 | 1.8019 × 102 | 2.1360 × 102 | 1.7280 × 102 | 2.0138 × 102 | 1.2534 × 102 | 1.8408 × 102 | 3.3307 × 102 | 1.1093 × 102 | |
| F28 | Mean | 7.6480 × 103 | 1.4143 × 104 | 9.8175 × 103 | 6.6734 × 103 | 9.7328 × 103 | 6.5200 × 103 | 3.6553 × 103 | 1.2217 × 104 | 2.0146 × 104 | 3.8832 × 103 |
| Std | 2.0454 × 103 | 1.0199 × 103 | 1.4360 × 103 | 1.2307 × 103 | 1.7390 × 103 | 7.0503 × 102 | 5.0651 × 101 | 1.2928 × 103 | 2.9822 × 103 | 1.2180 × 102 | |
| F29 | Mean | 1.0914 × 104 | 1.0951 × 104 | 9.4951 × 103 | 1.1681 × 104 | 9.2808 × 103 | 8.7372 × 103 | 7.9569 × 103 | 1.0837 × 104 | 1.2765 × 104 | 7.1796 × 103 |
| Std | 7.8080 × 102 | 4.3897 × 102 | 9.2679 × 102 | 1.3468 × 103 | 9.5184 × 102 | 8.1131 × 102 | 6.9104 × 102 | 1.2918 × 103 | 1.1922 × 103 | 1.2241 × 103 | |
| F30 | Mean | 1.0479 × 109 | 6.4778 × 107 | 1.1534 × 109 | 4.3025 × 108 | 1.9590 × 107 | 2.6395 × 107 | 2.0578 × 107 | 4.5126 × 108 | 1.3456 × 109 | 6.6981 × 104 |
| Std | 8.0762 × 108 | 1.4919 × 107 | 7.2015 × 108 | 2.1177 × 108 | 1.4621 × 107 | 1.4282 × 107 | 1.0126 × 107 | 1.3851 × 108 | 5.0816 × 108 | 4.2445 × 104 |
| Function | Metric | PSO | DE | GWO | SSA | SO | KEO | BBO | HBO | CBSO | MSECBSO |
|---|---|---|---|---|---|---|---|---|---|---|---|
| F1 | Mean | 4.3753 × 102 | 6.3240 × 103 | 3.5543 × 103 | 3.0000 × 102 | 7.5058 × 102 | 3.0070 × 102 | 3.0000 × 102 | 1.4273 × 103 | 1.3978 × 103 | 3.0000 × 102 |
| Std | 5.9355 × 101 | 2.7134 × 103 | 2.1292 × 103 | 3.0361 × 10−9 | 5.4383 × 102 | 1.7601 × 100 | 8.0075 × 10−3 | 8.8751 × 102 | 1.3953 × 103 | 3.2873 × 10−5 | |
| F2 | Mean | 4.2374 × 102 | 4.0922 × 102 | 4.2644 × 102 | 4.1166 × 102 | 4.0730 × 102 | 4.1686 × 102 | 4.0597 × 102 | 4.2046 × 102 | 4.1775 × 102 | 4.0358 × 102 |
| Std | 5.0589 × 101 | 4.0249 × 100 | 2.0673 × 101 | 1.7659 × 101 | 1.2203 × 101 | 2.5997 × 101 | 1.7312 × 101 | 2.7035 × 101 | 2.3119 × 101 | 2.8993 × 100 | |
| F3 | Mean | 6.0253 × 102 | 6.0000 × 102 | 6.0114 × 102 | 6.1769 × 102 | 6.0212 × 102 | 6.0244 × 102 | 6.0024 × 102 | 6.0418 × 102 | 6.0835 × 102 | 6.0000 × 102 |
| Std | 1.4332 × 100 | 1.8979 × 10−3 | 1.3967 × 100 | 9.0201 × 100 | 4.8794 × 100 | 3.5602 × 100 | 4.1707 × 10−1 | 5.1289 × 100 | 6.3767 × 100 | 1.7219 × 10−4 | |
| F4 | Mean | 8.2489 × 102 | 8.2881 × 102 | 8.1556 × 102 | 8.2705 × 102 | 8.1526 × 102 | 8.1960 × 102 | 8.1284 × 102 | 8.2668 × 102 | 8.2983 × 102 | 8.0609 × 102 |
| Std | 6.4105 × 100 | 4.4930 × 100 | 6.5539 × 100 | 1.1235 × 101 | 6.0342 × 100 | 9.0553 × 100 | 6.3054 × 100 | 1.1639 × 101 | 1.2623 × 101 | 2.9505 × 100 | |
| F5 | Mean | 9.0520 × 102 | 9.6266 × 102 | 9.2021 × 102 | 1.0066 × 103 | 9.4534 × 102 | 9.4789 × 102 | 9.0107 × 102 | 1.1088 × 103 | 9.8937 × 102 | 9.0006 × 102 |
| Std | 3.5081 × 100 | 2.8101 × 101 | 3.9884 × 101 | 1.9959 × 102 | 5.1415 × 101 | 8.1038 × 101 | 2.0065 × 100 | 2.3994 × 102 | 6.9727 × 101 | 1.5708 × 10−1 | |
| F6 | Mean | 1.3687 × 104 | 7.0803 × 103 | 6.1221 × 103 | 3.6552 × 103 | 3.4934 × 103 | 2.8125 × 103 | 2.6439 × 103 | 3.8587 × 103 | 4.8604 × 103 | 1.8005 × 103 |
| Std | 2.0988 × 104 | 7.6929 × 103 | 2.3975 × 103 | 1.9428 × 103 | 1.7092 × 103 | 1.6363 × 103 | 9.0933 × 102 | 1.8015 × 103 | 2.1678 × 103 | 4.5815 × 10−1 | |
| F7 | Mean | 2.0306 × 103 | 2.0071 × 103 | 2.0356 × 103 | 2.0465 × 103 | 2.0291 × 103 | 2.0351 × 103 | 2.0218 × 103 | 2.0245 × 103 | 2.0267 × 103 | 2.0004 × 103 |
| Std | 3.2117 × 101 | 2.3496 × 100 | 1.7425 × 101 | 1.6787 × 101 | 1.4437 × 101 | 1.6349 × 101 | 1.0155 × 101 | 8.6247 × 100 | 9.8534 × 100 | 5.4641 × 10−1 | |
| F8 | Mean | 2.2534 × 103 | 2.2196 × 103 | 2.2340 × 103 | 2.2268 × 103 | 2.2222 × 103 | 2.2212 × 103 | 2.2209 × 103 | 2.2217 × 103 | 2.2265 × 103 | 2.2026 × 103 |
| Std | 5.0278 × 101 | 4.2794 × 100 | 3.1181 × 101 | 5.4088 × 100 | 3.4754 × 100 | 4.0200 × 100 | 5.4697 × 100 | 1.2683 × 100 | 5.0393 × 100 | 2.5662 × 100 | |
| F9 | Mean | 2.5303 × 103 | 2.5313 × 103 | 2.5809 × 103 | 2.5656 × 103 | 2.5310 × 103 | 2.5342 × 103 | 2.5293 × 103 | 2.5430 × 103 | 2.5314 × 103 | 2.5293 × 103 |
| Std | 3.7185 × 100 | 9.5775 × 10−1 | 3.7338 × 101 | 4.8170 × 101 | 5.0704 × 100 | 2.6826 × 101 | 3.5273 × 10−5 | 3.8119 × 101 | 1.1033 × 101 | 5.9111 × 10−13 | |
| F10 | Mean | 2.5706 × 103 | 2.4818 × 103 | 2.5871 × 103 | 2.5356 × 103 | 2.5224 × 103 | 2.5516 × 103 | 2.5623 × 103 | 2.5576 × 103 | 2.5008 × 103 | 2.5003 × 103 |
| Std | 6.3118 × 101 | 2.2077 × 101 | 1.5035 × 102 | 9.2691 × 101 | 6.5138 × 101 | 1.4055 × 102 | 5.8971 × 101 | 6.2326 × 101 | 2.5672 × 10−1 | 3.8225 × 10−2 | |
| F11 | Mean | 2.7927 × 103 | 2.7128 × 103 | 2.7926 × 103 | 2.7390 × 103 | 2.6853 × 103 | 2.7288 × 103 | 2.6784 × 103 | 2.7535 × 103 | 2.6805 × 103 | 2.6000 × 103 |
| Std | 1.4895 × 102 | 2.5839 × 101 | 1.6038 × 102 | 1.6676 × 102 | 1.2280 × 102 | 1.0488 × 102 | 1.3046 × 102 | 1.1134 × 102 | 5.4149 × 101 | 6.0989 × 10−9 | |
| F12 | Mean | 2.8778 × 103 | 2.8663 × 103 | 2.8688 × 103 | 2.8643 × 103 | 2.8715 × 103 | 2.8648 × 103 | 2.8674 × 103 | 2.8677 × 103 | 2.8640 × 103 | 2.8622 × 103 |
| Std | 2.5108 × 101 | 1.1117 × 100 | 8.5327 × 100 | 1.3632 × 100 | 5.8333 × 100 | 2.0529 × 100 | 2.4944 × 100 | 6.2116 × 100 | 1.4858 × 100 | 1.6119 × 100 |
| Function | Metric | PSO | DE | GWO | SSA | SO | KEO | BBO | HBO | CBSO | MSECBSO |
|---|---|---|---|---|---|---|---|---|---|---|---|
| F1 | Mean | 6.4860 × 103 | 3.3959 × 104 | 1.7396 × 104 | 9.6066 × 103 | 1.9986 × 104 | 4.1168 × 103 | 4.3117 × 102 | 2.1558 × 104 | 2.6423 × 104 | 4.4326 × 102 |
| Std | 3.4742 × 103 | 6.7211 × 103 | 7.4894 × 103 | 5.3048 × 103 | 5.3413 × 103 | 1.8576 × 103 | 1.1533 × 102 | 8.6603 × 103 | 7.9662 × 103 | 1.4102 × 102 | |
| F2 | Mean | 4.7541 × 102 | 4.7818 × 102 | 5.1206 × 102 | 4.6695 × 102 | 4.6405 × 102 | 4.7077 × 102 | 4.5265 × 102 | 5.1726 × 102 | 5.2564 × 102 | 4.5014 × 102 |
| Std | 2.0929 × 101 | 1.0967 × 101 | 4.8121 × 101 | 3.3089 × 101 | 2.2849 × 101 | 3.0766 × 101 | 1.6854 × 101 | 4.9994 × 101 | 4.7687 × 101 | 6.1342 × 100 | |
| F3 | Mean | 6.1060 × 102 | 6.0067 × 102 | 6.0766 × 102 | 6.3838 × 102 | 6.1077 × 102 | 6.1491 × 102 | 6.0604 × 102 | 6.1535 × 102 | 6.3362 × 102 | 6.0004 × 102 |
| Std | 4.4421 × 100 | 1.4688 × 10−1 | 4.7058 × 100 | 1.2089 × 101 | 6.6094 × 100 | 8.5996 × 100 | 6.1049 × 100 | 9.2002 × 100 | 1.3715 × 101 | 1.1234 × 10−1 | |
| F4 | Mean | 9.1365 × 102 | 9.2630 × 102 | 8.6306 × 102 | 8.7897 × 102 | 8.4205 × 102 | 8.6496 × 102 | 8.4113 × 102 | 8.8484 × 102 | 9.0598 × 102 | 8.4709 × 102 |
| Std | 2.1676 × 101 | 1.0594 × 101 | 2.8620 × 101 | 2.4941 × 101 | 1.1318 × 101 | 2.2559 × 101 | 1.4234 × 101 | 2.1376 × 101 | 2.4510 × 101 | 2.3775 × 101 | |
| F5 | Mean | 1.0161 × 103 | 2.1000 × 103 | 1.1806 × 103 | 2.3845 × 103 | 1.3287 × 103 | 1.3699 × 103 | 1.0442 × 103 | 2.3944 × 103 | 3.4295 × 103 | 9.0444 × 102 |
| Std | 7.4299 × 101 | 2.8930 × 102 | 2.1873 × 102 | 6.4239 × 102 | 2.8299 × 102 | 2.6453 × 102 | 1.9643 × 102 | 5.7577 × 102 | 1.5651 × 103 | 5.4791 × 100 | |
| F6 | Mean | 2.0453 × 106 | 3.7247 × 106 | 3.5370 × 106 | 9.4928 × 103 | 6.4452 × 103 | 6.4145 × 103 | 3.5115 × 103 | 1.8116 × 104 | 1.9556 × 105 | 1.9209 × 103 |
| Std | 1.6185 × 106 | 1.5387 × 106 | 6.8903 × 106 | 5.8189 × 103 | 6.0702 × 103 | 5.4035 × 103 | 1.6569 × 103 | 2.5033 × 104 | 2.0129 × 105 | 7.4691 × 101 | |
| F7 | Mean | 2.1126 × 103 | 2.0607 × 103 | 2.0900 × 103 | 2.1295 × 103 | 2.0788 × 103 | 2.1194 × 103 | 2.0706 × 103 | 2.0915 × 103 | 2.1040 × 103 | 2.0253 × 103 |
| Std | 5.4453 × 101 | 9.8339 × 100 | 4.5503 × 101 | 5.4905 × 101 | 2.6857 × 101 | 5.8048 × 101 | 2.8019 × 101 | 3.7710 × 101 | 4.0368 × 101 | 4.3009 × 100 | |
| F8 | Mean | 2.2885 × 103 | 2.2294 × 103 | 2.2680 × 103 | 2.2943 × 103 | 2.2412 × 103 | 2.2643 × 103 | 2.2590 × 103 | 2.2487 × 103 | 2.2602 × 103 | 2.2273 × 103 |
| Std | 6.5600 × 101 | 1.7759 × 100 | 5.3670 × 101 | 6.0183 × 101 | 2.6346 × 101 | 5.7761 × 101 | 5.5152 × 101 | 3.7525 × 101 | 4.0816 × 101 | 1.3728 × 100 | |
| F9 | Mean | 2.4963 × 103 | 2.4823 × 103 | 2.5298 × 103 | 2.5447 × 103 | 2.4810 × 103 | 2.4808 × 103 | 2.4812 × 103 | 2.4942 × 103 | 2.4956 × 103 | 2.4808 × 103 |
| Std | 2.8794 × 101 | 8.9365 × 10−1 | 2.8384 × 101 | 6.2918 × 101 | 2.1126 × 10−1 | 9.4290 × 10−2 | 3.4433 × 10−1 | 9.4243 × 100 | 1.3772 × 101 | 1.6657 × 10−2 | |
| F10 | Mean | 3.9861 × 103 | 2.5469 × 103 | 3.6040 × 103 | 4.0928 × 103 | 3.1062 × 103 | 3.7993 × 103 | 2.9886 × 103 | 3.2761 × 103 | 2.6479 × 103 | 2.5095 × 103 |
| Std | 1.0764 × 103 | 8.4511 × 101 | 7.4595 × 102 | 1.0381 × 103 | 4.3290 × 102 | 7.5241 × 102 | 5.6227 × 102 | 4.6115 × 102 | 5.3274 × 102 | 3.4184 × 101 | |
| F11 | Mean | 3.5433 × 103 | 3.0828 × 103 | 3.4779 × 103 | 2.9793 × 103 | 2.9518 × 103 | 2.9324 × 103 | 2.9092 × 103 | 3.3013 × 103 | 3.4555 × 103 | 2.9435 × 103 |
| Std | 3.7876 × 102 | 1.4509 × 102 | 3.0728 × 102 | 1.4337 × 102 | 1.1468 × 102 | 5.0187 × 101 | 6.8883 × 101 | 1.2876 × 102 | 1.3748 × 102 | 5.0563 × 101 | |
| F12 | Mean | 3.0067 × 103 | 2.9749 × 103 | 2.9836 × 103 | 2.9765 × 103 | 3.0129 × 103 | 2.9681 × 103 | 2.9696 × 103 | 2.9783 × 103 | 2.9726 × 103 | 2.9403 × 103 |
| Std | 6.1075 × 101 | 5.5298 × 100 | 3.2064 × 101 | 2.2123 × 101 | 3.5936 × 101 | 2.1821 × 101 | 1.7285 × 101 | 2.3114 × 101 | 1.5258 × 101 | 5.3479 × 100 |
| Suites | CEC2017 | CEC2022 | ||
|---|---|---|---|---|
| Dimensions | dim = 30 (W/T/L) | dim = 100 (W/T/L) | dim = 10 (W/T/L) | dim = 20 (W/T/L) |
| MSECBSO vs. PSO | (29/0/1) | (28/0/2) | (12/0/0) | (12/0/0) |
| MSECBSO vs. DE | (29/0/1) | (30/0/0) | (11/0/1) | (12/0/0) |
| MSECBSO vs. GWO | 28/0/2) | (29/0/1) | (12/0/0) | (11/0/1) |
| MSECBSO vs. SSA | (29/0/1) | (28/0/2) | (6/0/6) | (12/0/0) |
| MSECBSO vs. SO | 28/0/2) | (28/0/2) | (9/0/3) | (10/0/2) |
| MSECBSO vs. KEO | (29/0/1) | (29/0/1) | (12/0/0) | (12/0/0) |
| MSECBSO vs. BBO | (25/0/5) | (27/0/3) | (12/0/0) | (8/0/4) |
| MSECBSO vs. HBO | (30/0/0) | (30/0/0) | (12/0/0) | (12/0/0) |
| MSECBSO vs. CBSO | (30/0/0) | (30/0/0) | (12/0/0) | (12/0/0) |
| Total (W/T/L) | (257/0/13) | (259/0/11) | (105/0/3) | (101/0/7) |
| 95.19% | 95.53% | 97.22% | 93.52% | |
| Suites | CEC2017 | CEC2022 | ||||||
|---|---|---|---|---|---|---|---|---|
| Dimensions | 30 | 100 | 10 | 20 | ||||
| Algorithms | ||||||||
| PSO | 7.13 | 8 | 7.50 | 8 | 7.33 | 10 | 7.17 | 8 |
| DE | 7.27 | 9 | 7.60 | 9 | 5.92 | 5 | 6.00 | 5 |
| GWO | 5.97 | 5 | 5.60 | 5 | 7.25 | 9 | 6.50 | 6 |
| SSA | 6.33 | 6 | 5.77 | 6 | 6.00 | 6 | 7.00 | 7 |
| SO | 4.37 | 4 | 4.27 | 4 | 5.25 | 4 | 4.75 | 3 |
| KEO | 4.27 | 3 | 4.07 | 3 | 4.92 | 3 | 4.83 | 4 |
| BBO | 2.63 | 2 | 2.10 | 2 | 3.58 | 2 | 2.67 | 2 |
| HBO | 6.67 | 7 | 7.03 | 7 | 7.08 | 8 | 7.17 | 8 |
| CBSO | 8.93 | 10 | 9.17 | 10 | 6.58 | 7 | 7.67 | 10 |
| MSECBSO | 1.43 | 1 | 1.90 | 1 | 1.08 | 1 | 1.25 | 1 |
| Parameter Name | Parameter Search Space |
|---|---|
Disclaimer/Publisher’s Note: The statements, opinions and data contained in all publications are solely those of the individual author(s) and contributor(s) and not of MDPI and/or the editor(s). MDPI and/or the editor(s) disclaim responsibility for any injury to people or property resulting from any ideas, methods, instructions or products referred to in the content. |
© 2026 by the authors. Licensee MDPI, Basel, Switzerland. This article is an open access article distributed under the terms and conditions of the Creative Commons Attribution (CC BY) license.
Share and Cite
Zhang, Y.; Yang, X. Multi-Strategy Enhanced Connected Banking System Optimizer for Global Optimization and Corporate Bankruptcy Forecasting. Mathematics 2026, 14, 618. https://doi.org/10.3390/math14040618
Zhang Y, Yang X. Multi-Strategy Enhanced Connected Banking System Optimizer for Global Optimization and Corporate Bankruptcy Forecasting. Mathematics. 2026; 14(4):618. https://doi.org/10.3390/math14040618
Chicago/Turabian StyleZhang, Yaozhong, and Xiao Yang. 2026. "Multi-Strategy Enhanced Connected Banking System Optimizer for Global Optimization and Corporate Bankruptcy Forecasting" Mathematics 14, no. 4: 618. https://doi.org/10.3390/math14040618
APA StyleZhang, Y., & Yang, X. (2026). Multi-Strategy Enhanced Connected Banking System Optimizer for Global Optimization and Corporate Bankruptcy Forecasting. Mathematics, 14(4), 618. https://doi.org/10.3390/math14040618

