The Pricing Formula for Exotic Options Based on a Discrete Investment Strategy
Abstract
1. Introduction
2. Exotic Option with a Discrete Investment Strategy
2.1. Fundamental Assumptions
- (1)
- The investors predict a positive market and take early action before reaching the strike price.
- (2)
- The option holders choose to purchase or sell the underlying asset through a discrete investment strategy during the validity period.
- (3)
- The evolution of primary asset prices follows the geometric Brown motion.where represents the underlying asset price, denotes the standard Brown motion, signifies the expected rate of return, while represents the volatility of stock price. One has
- (4)
- The underlying asset does not distribute any dividends.
- (5)
- There are no transactions and taxes.
- (6)
- The risk-free interest rate remains fixed.
2.2. Constructing a Discrete Investment Strategy
2.3. Explanation of the Loss Function
3. Exotic Option Pricing Formula
3.1. The Price Dynamics of Assets Following Brownian Motion
3.2. Defining the Intrinsic Value Function
3.3. The Pricing Formula for the Exotic Option
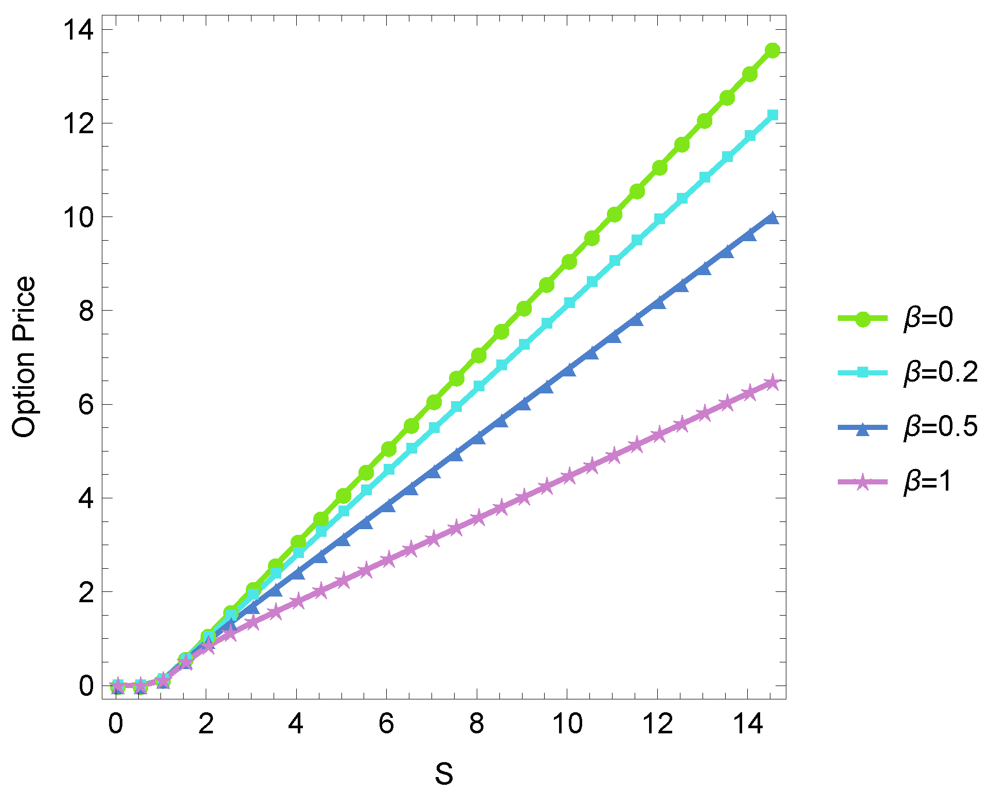
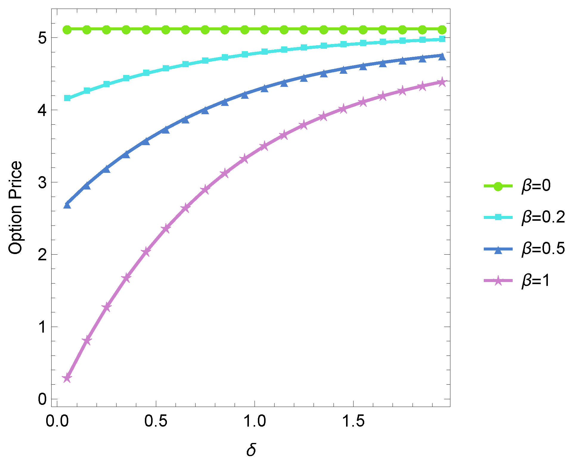
4. Sensitivity Analysis of the Exotic Option and the Classic Option
4.1. Comparison Between the Exotic Option and the Classic Option
4.2. Sensitivity Analysis of the Option Price to Key Parameters
5. Empirical Test
5.1. Data Source and Description
- (1)
- The underlying asset price S: The asset price for the current day is determined by the closing price of the previous day.
- (2)
- The validity period T: The validity period of an option is generally expressed in terms of trading days, with the standard convention in the stock market being that there are 252 trading days in a year. Thus, T is determined by dividing the number of trading days remaining until the option’s expiration by 252.
- (3)
- The risk-free interest rate r: For the SSE STAR Market 50 Index call option, we use the SHIBOR overnight rate as the risk-free interest rate, whereas for the E-mini 500 futures call option on the ESH26 contract we use the Secured Overnight Financing Rate (SOFR) published by the Federal Reserve Bank of New York.
- (4)
- The volatility of the underlying asset prices : Assuming that the future is a continuation of the past, we use historical volatility to measure the underlying asset’s volatility, which is obtained by calculating the standard deviation of the underlying asset’s daily logarithmic returns.
5.2. Model Parameter Calibration
6. Summary
Author Contributions
Funding
Data Availability Statement
Conflicts of Interest
References
- Bachelier, L. Théorie de la spéculation. Annales Scientifiques De l’École Normale Supérieure 1900, 17, 21–86. [Google Scholar] [CrossRef]
- Sprenkle, C.M. Warrant prices as indicators of expectations and preferences. Yale Econ. Essays 1961, 1, 179–232. [Google Scholar]
- Boness, A.J. Elements of a theory of stock option value. J. Polit. Econ. 1964, 72, 163–175. [Google Scholar] [CrossRef]
- Samuelson, P.A. Rational theory of warrant pricing. Ind. Manag. Rev. 1965, 6, 13–39. [Google Scholar]
- Black, F.; Scholes, M. The pricing of options and corporate liabilities. J. Polit. Econ. 1973, 81, 637–654. [Google Scholar]
- Stettner, L. Option pricing in discrete-time incomplete market models. Math. Financ. 2000, 10, 305–321. [Google Scholar] [CrossRef]
- Caflisch, R.E.; Gambino, G.; Sammartino, M.; Sgarra, C. European option pricing with transaction costs and stochastic volatility: An asymptotic analysis. IMA J. Appl. Math. 2015, 80, 981–1008. [Google Scholar] [CrossRef]
- Shokrollahi, F.; Kilicman, A.; Magdziarz, M. Pricing European options and currency options by time changed mixed fractional Brownian motion with transaction costs. Int. J. Financ. Eng. 2016, 3, 1650003. [Google Scholar] [CrossRef]
- Avellaneda, M.; Levy, A.; Paras, A. Pricing and hedging derivative securities in markets with uncertain volatilities. Appl. Math. Financ. 1995, 2, 73–88. [Google Scholar] [CrossRef]
- Dokuchaev, N.G.; Savkin, A.V. The pricing of options in a financial market model with transaction costs and uncertain volatility. J. Multinatl. Financial Manag. 1998, 8, 353–364. [Google Scholar] [CrossRef]
- Forsyth, P.A.; Vetzal, K.R. Implicit solution of uncertain volatility/transaction cost option pricing models with discretely observed barriers. Appl. Numer. Math. 2001, 36, 427–445. [Google Scholar] [CrossRef]
- Pooley, D.M.; Forsyth, P.A.; Vetzal, K.R. Numerical convergence properties of option pricing PDEs with uncertain volatility. IMA J. Numer. Anal. 2003, 23, 241–267. [Google Scholar] [CrossRef]
- Xu, L.; Zhang, H.; Wang, F.L. Pricing of arithmetic average Asian option by combining variance reduction and Quasi-Monte Carlo method. Mathematics 2023, 11, 594. [Google Scholar] [CrossRef]
- Guerrero, B.A.; Clark, P.S. Option pricing under a generalized Black-Scholes model with stochastic interest rates, stochastic strings, and Lévy jumps. Mathematics 2023, 12, 82. [Google Scholar]
- Moawia, A. New developments in econophysics: Option pricing formulas. Front. Phys. 2022, 10, 1036571. [Google Scholar] [CrossRef]
- Krausz, J. Option parameter analysis and market efficiency tests: A simultaneous solution approach. Appl. Econ. 1985, 17, 885–896. [Google Scholar] [CrossRef]
- Barone-Adesi, G.; Whaley, R.E. Efficient analytic approximation of American options values. J. Financ. 1987, 42, 301–320. [Google Scholar] [CrossRef]
- Shackleton, M.; Wojakowski, R. On the expected payoff and true probability of exercise of European options. Appl. Econ. Lett. 2001, 8, 269–271. [Google Scholar] [CrossRef]
- Geske, R. A note on an analytical valuation formula for unprotected American call options on stocks with known dividends. J. Financ. Econ. 1979, 7, 375–380. [Google Scholar] [CrossRef]
- Qiao, L.; Sun, F.; Qiao, X.; Li, M.; Wang, X. Proactive hedging European option pricing with a general logarithmic position strategy. Discret. Dyn. Nat. Soc. 2022, 18, 4735656. [Google Scholar] [CrossRef]
- Wu, J.; Wang, Y.; Zhu, M.; Zheng, H.; Li, L. Exotic option pricing model of the Black-Scholes formula: A proactive investment strategy. Front. Phys. 2023, 11, 1201383. [Google Scholar]
- Britten-Jones, M.; Neuberger, A. Option prices, implied price processes, and stochastic volatility. J. Financ. 2000, 55, 839–866. [Google Scholar] [CrossRef]
- Carr, P.; Geman, H.; Madan, D.B.; Yor, M. Stochastic volatility for Lévy processes. Math. Financ. 2003, 13, 345–382. [Google Scholar] [CrossRef]
- Leland, H.E. Option pricing and replication with transactions costs. J. Financ. 1985, 40, 1283–1301. [Google Scholar] [CrossRef]











| Parameters | Description |
|---|---|
| the strike price | |
| S | the underlying asset price |
| A | the initial capital |
| the highest rate of capital utilization for the initial capital A | |
| the investment interval | |
| N | the number of times to purchase the underlying asset |
| the investment sensitivity |
Disclaimer/Publisher’s Note: The statements, opinions and data contained in all publications are solely those of the individual author(s) and contributor(s) and not of MDPI and/or the editor(s). MDPI and/or the editor(s) disclaim responsibility for any injury to people or property resulting from any ideas, methods, instructions or products referred to in the content. |
© 2025 by the authors. Licensee MDPI, Basel, Switzerland. This article is an open access article distributed under the terms and conditions of the Creative Commons Attribution (CC BY) license.
Share and Cite
Shan, K.; Zhu, M. The Pricing Formula for Exotic Options Based on a Discrete Investment Strategy. Mathematics 2026, 14, 60. https://doi.org/10.3390/math14010060
Shan K, Zhu M. The Pricing Formula for Exotic Options Based on a Discrete Investment Strategy. Mathematics. 2026; 14(1):60. https://doi.org/10.3390/math14010060
Chicago/Turabian StyleShan, Kai, and Minting Zhu. 2026. "The Pricing Formula for Exotic Options Based on a Discrete Investment Strategy" Mathematics 14, no. 1: 60. https://doi.org/10.3390/math14010060
APA StyleShan, K., & Zhu, M. (2026). The Pricing Formula for Exotic Options Based on a Discrete Investment Strategy. Mathematics, 14(1), 60. https://doi.org/10.3390/math14010060
