An Extrinsic Enriched Finite Element Method Based on RBFs for the Helmholtz Equation
Abstract
1. Introduction
2. Formulation of the Helmholtz Equation
3. The EFEM Based on RBFs for Helmholtz Equation
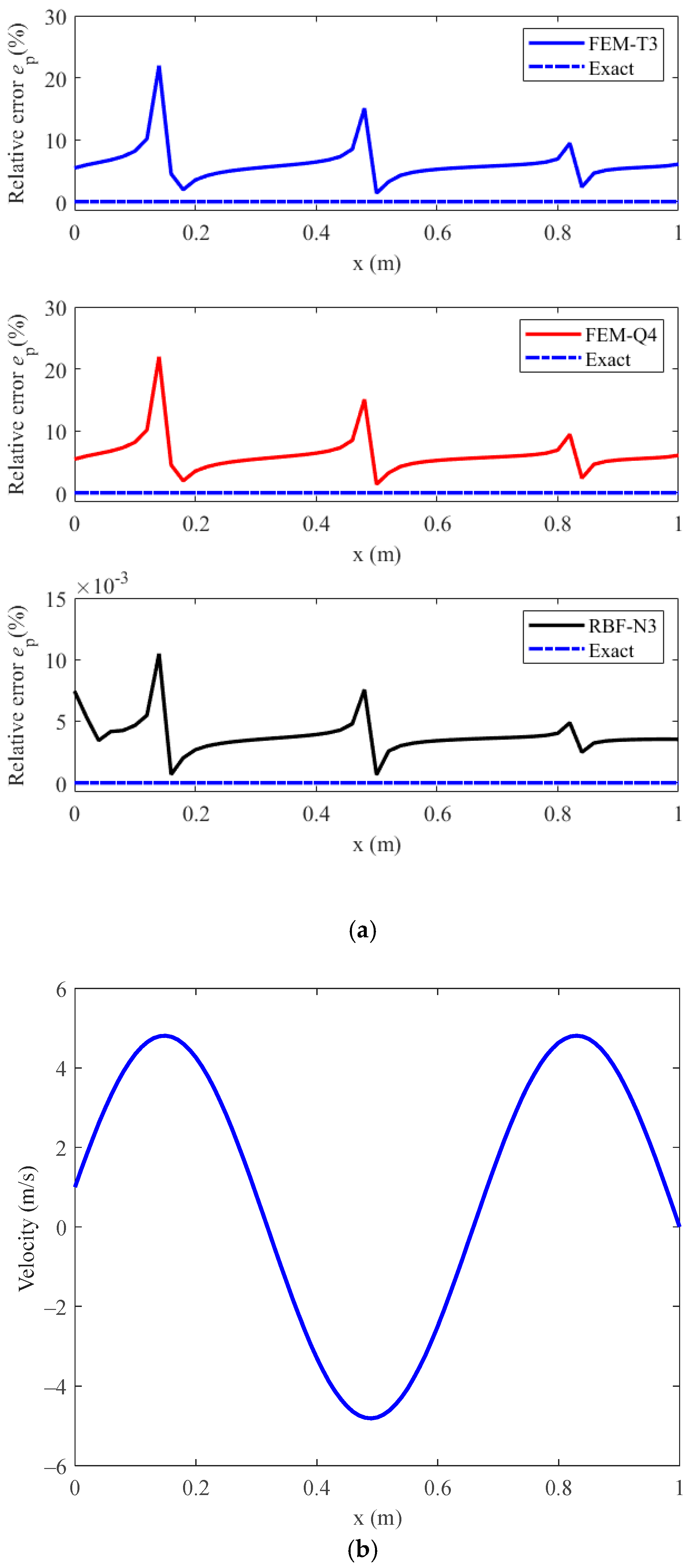
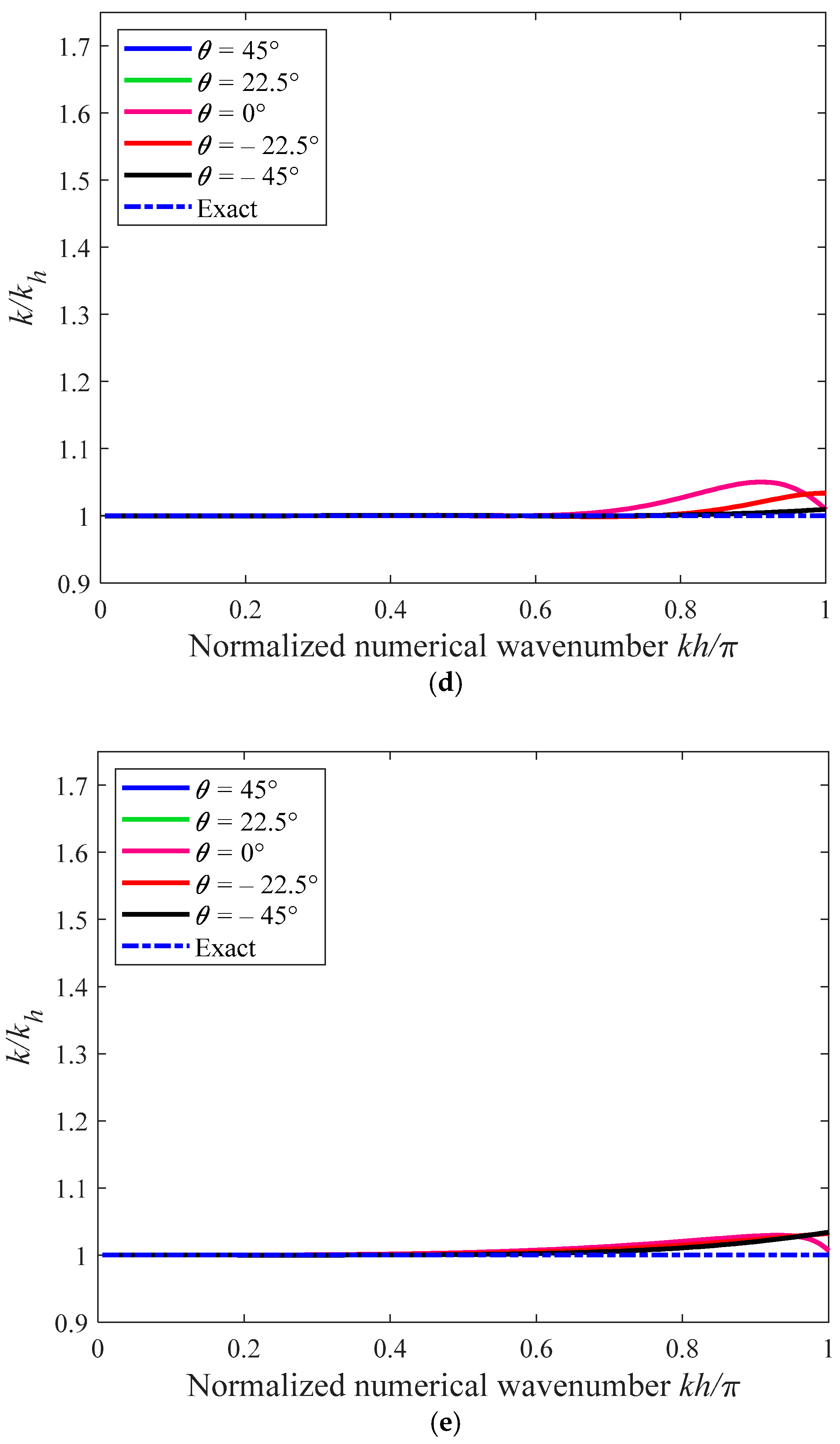
4. Numerical Dispersion Error Analysis
5. Numerical Examples
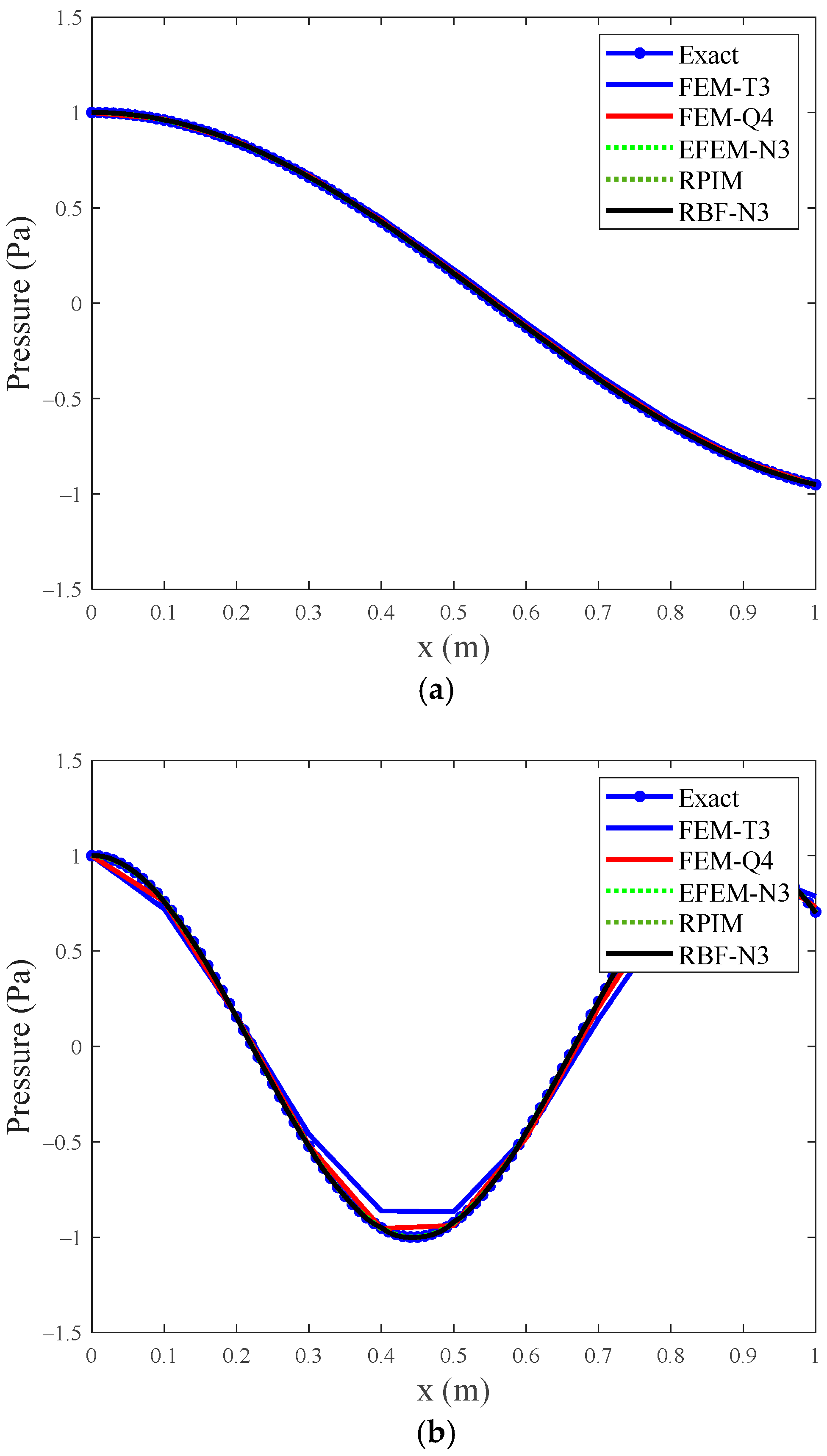
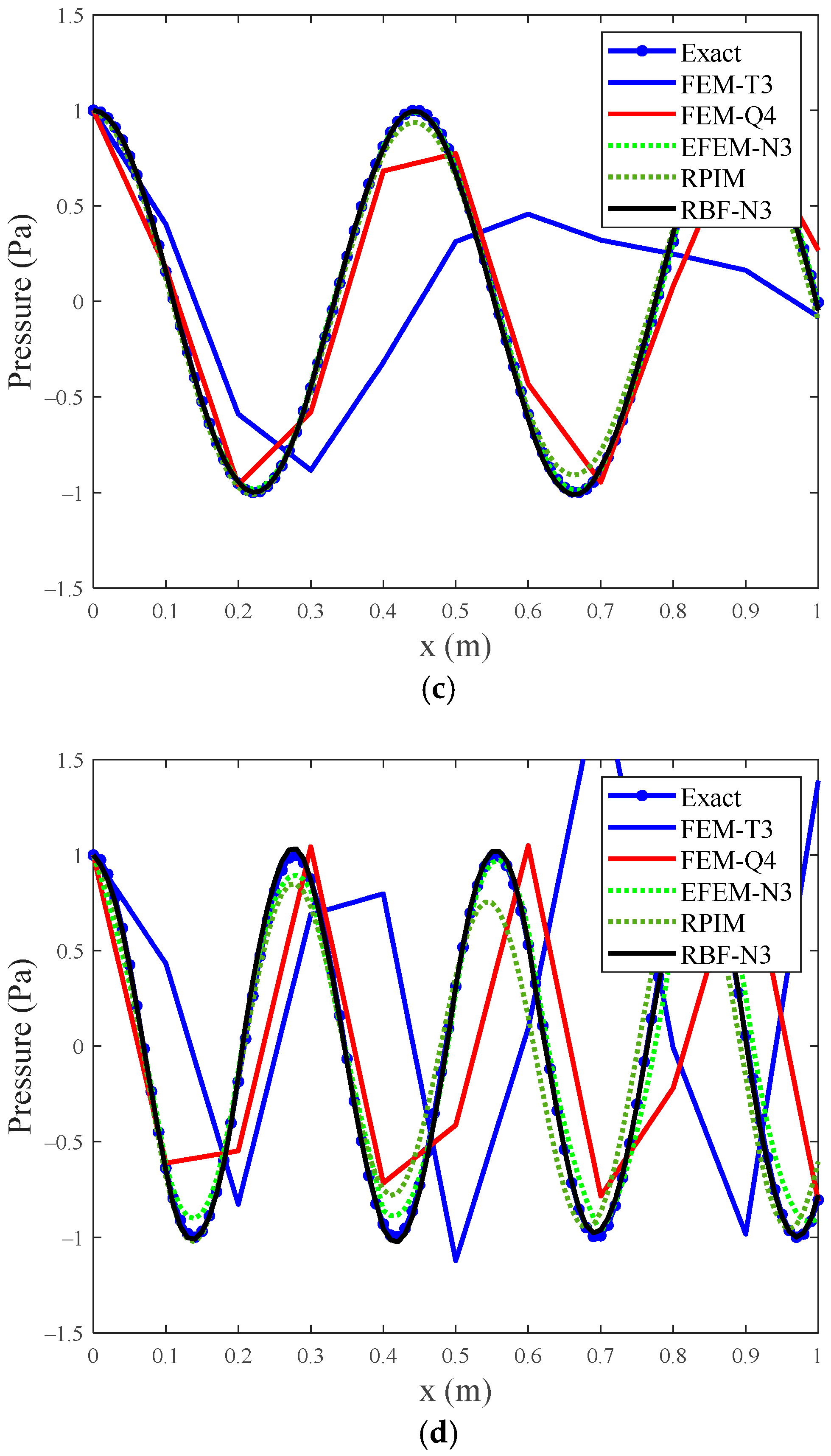
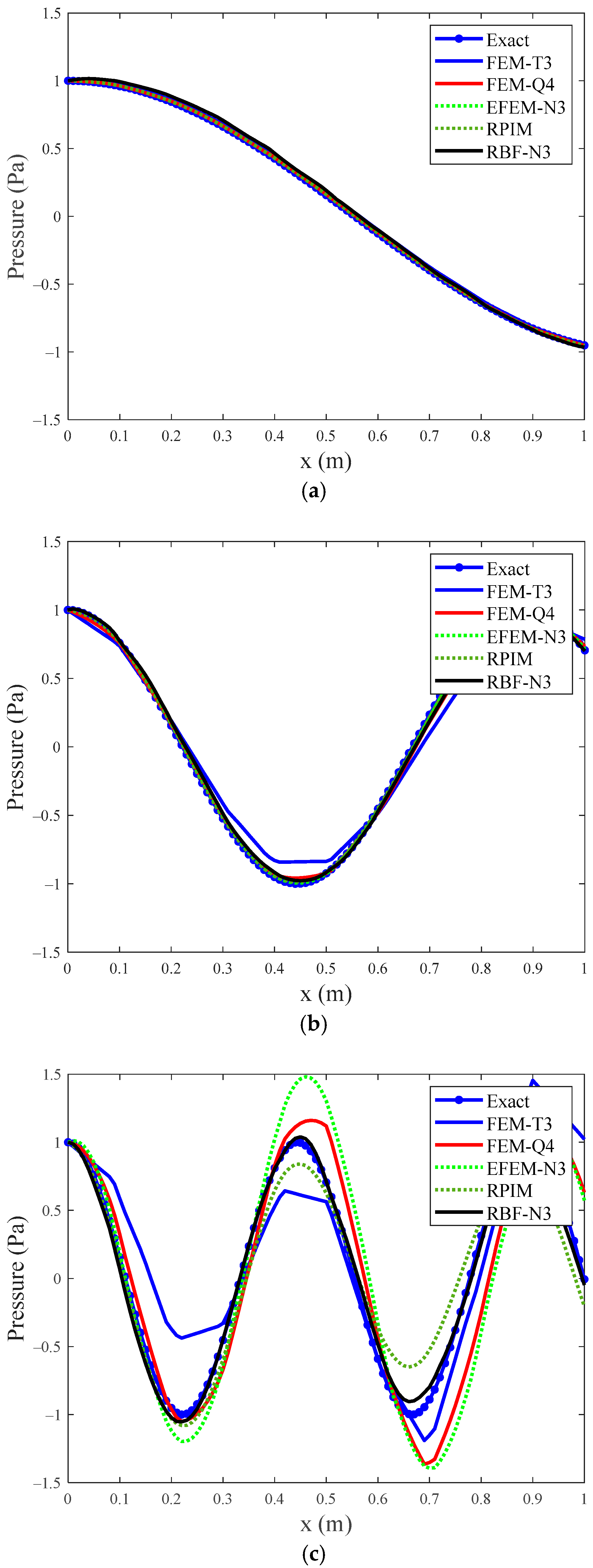
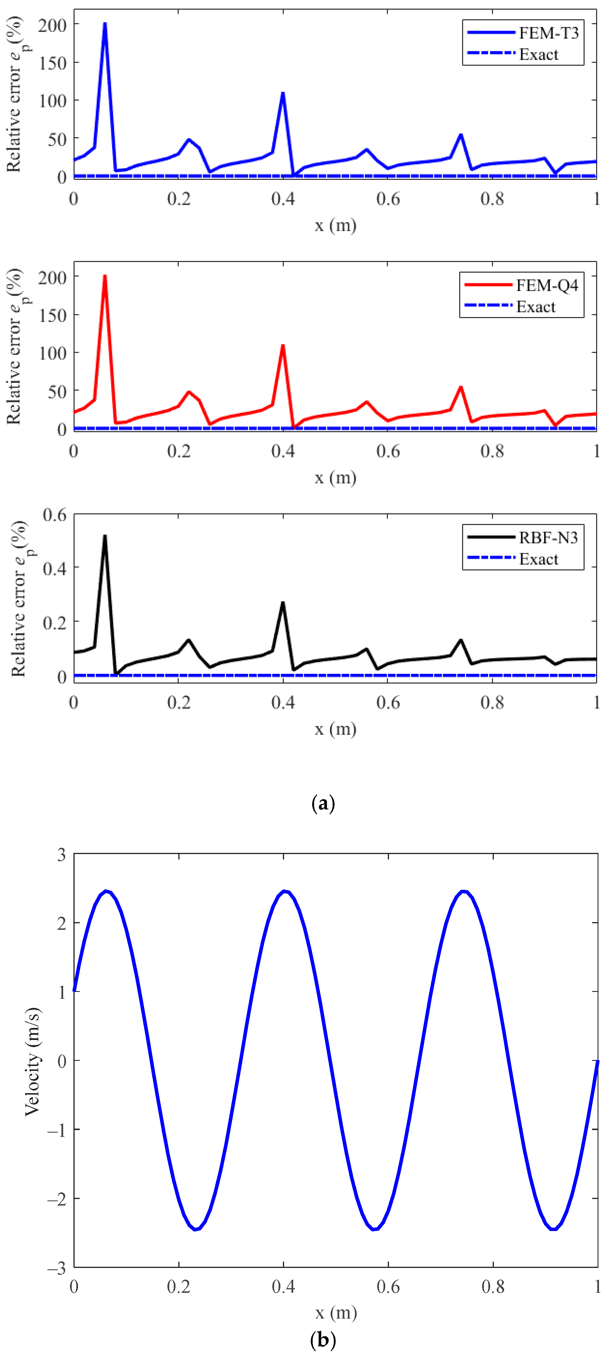
5.1. The 2D Tube Acoustic Problem
5.2. The 2D Square Domain Acoustic Problem
5.3. The 2D Car Acoustic Problem
5.4. The 3D Cabin Acoustic Problem
6. Concluding Remarks
Author Contributions
Funding
Data Availability Statement
Conflicts of Interest
References
- Bathe, K.J. Finite Element Procedures, 2nd ed.; Prentice Hall: Watertown, MA, USA, 2014. [Google Scholar]
- Zienkiewicz, O.C.; Taylor, R.L. The Finite Element Method, 5th ed.; Butterworth-Heinemann: Oxford, UK, 2000. [Google Scholar]
- Zienkiewicz, O.C. Achievements and some unsolved problems of the finite element method. Int. J. Numer. Methods Eng. 2000, 47, 9–28. [Google Scholar] [CrossRef]
- Deraemaeker, A.; Babuška, I.; Bouillard, P. Dispersion and pollution of the FEM solution for the Helmholtz equation in one, two and three dimensions. Int. J. Numer. Methods Eng. 1999, 46, 471–499. [Google Scholar] [CrossRef]
- Ihlenburg, F.; Babuška, I. Finite element solution of the Helmholtz equation with high wave number. Part I: The h-version of the FEM. Comput. Math. Appl. 1995, 30, 9–37. [Google Scholar] [CrossRef]
- Ovadia, O.; Kahana, A.; Turkel, E. A convolutional dispersion relation preserving scheme for the acoustic wave equation. Appl. Math. Comput. 2024, 461, 128317. [Google Scholar] [CrossRef]
- Fogarty, T.R.; LeVeque, R.J. High-resolution finite-volume methods for acoustic waves in periodic and random media. J. Acoust Soc. Am. 1999, 106, 17–28. [Google Scholar] [CrossRef]
- Ju, B.R.; Qu, W.Z. Three-dimensional application of the meshless generalized finite difference method for solving the extended Fisher-Kolmogorov equation. Appl. Math. Lett. 2023, 136, 108458. [Google Scholar] [CrossRef]
- Kumawat, S.; Malkoti, A.; Vishwakarma, S.K. A cell-centered implicit finite difference scheme to study wave propagation in acoustic media: A numerical modeling. J. Sound Vib. 2024, 590, 118601. [Google Scholar] [CrossRef]
- Huang, J.P.; Peng, W.T.; Yang, J.D.; Lou, L.F. Overview of computation strategies on the dispersion analysis for explicit finite difference solution of acoustic wave equation. Pet. Sci. 2024, 21, 2311–2328. [Google Scholar] [CrossRef]
- Sun, W.X.; Ma, H.D.; Qu, W.Z. A hybrid numerical method for non-linear transient heat conduction problems with temperature-dependent thermal conductivity. Appl. Math. Lett. 2024, 148, 108868. [Google Scholar] [CrossRef]
- Qu, W.Z.; Gu, Y.; Fan, C.M. A stable numerical framework for long-time dynamic crack analysis. Int. J. Solids Struct. 2024, 293, 112768. [Google Scholar] [CrossRef]
- Feng, Y.L.; Zhang, X.D.; Chen, Y.; Wei, L.L. A compact finite difference scheme for solving fractional Black-Scholes option pricing model. J. Inequal. Appl. 2025, 2025, 36. [Google Scholar] [CrossRef]
- Preuss, S.; Gurbuz, C.; Jelich, C.; Baydoun, S.K.; Marburg, S. Recent Advances in Acoustic Boundary Element Methods. J. Theor. Comput. Acoust. 2022, 30, 2240002. [Google Scholar] [CrossRef]
- Zhang, S.L.; Yu, B.; Chen, L.L.; Lian, H.J.; Bordas, S.P.A. Isogeometric dual reciprocity BEM for solving time-domain acoustic wave problems. Comput. Math. Appl. 2024, 160, 125–141. [Google Scholar] [CrossRef]
- Sun, R.; Wu, H.J.; Wang, S.Y.; Gou, Y.N.; Jiang, W.K. A fast fully coupled FEM/BEM method for structural-acoustic interaction problems with a uniformly moving source. Eng. Anal. Bound. Elem. 2025, 177, 106261. [Google Scholar] [CrossRef]
- Liu, G.R. Mesh Free Methods: Moving Beyond the Finite Element Method; CRC Press: Boca Raton, FL, USA, 2009. [Google Scholar]
- Gu, Y.; Fan, C.M.; Fu, Z.J. Localized method of fundamental solutions for three-dimensional elasticity problems: Theory. Adv. Appl. Math. Mech. 2021, 13, 1520–1534. [Google Scholar] [CrossRef]
- Shi, X.J.; Li, X.K.; Huang, Z.; Wan, Q. Unified meshfree-spectral BEM model for acoustic radiation analysis of double-walled coupled shells. J. Fluids Struct. 2025, 134, 104279. [Google Scholar] [CrossRef]
- Li, Z.; Wang, Q.S.; Zhong, R.; Qin, B.; Shao, W. A meshfree approach for vibro-acoustic analysis of combined composite laminated shells with variable thickness. Eng. Anal. Bound. Elem. 2024, 160, 28–44. [Google Scholar] [CrossRef]
- Harari, I.; Hughes, T.J.R. Galerkin/least-squares finite element methods for the reduced wave equation with non-reflecting boundary conditions in unbounded domains. Comput. Methods Appl. Mech. Eng. 1992, 98, 411–454. [Google Scholar] [CrossRef]
- Preuss, S.; Paltorp, M.; Blanc, A.; Henriquez, V.C.; Marburg, S. Revising the Boundary Element Method for Thermoviscous Acoustics: An Iterative Approach via Schur Complement. J. Theor. Comput. Acoust 2023, 31, 2350015. [Google Scholar] [CrossRef]
- Li, R.Y.; Liu, Y.J.; Ye, W.J. A fast direct boundary element method for 3D acoustic problems based on hierarchical matrices. Eng. Anal. Bound. Elem. 2023, 147, 171–180. [Google Scholar] [CrossRef]
- Liu, W.K.; Hao, W.; Chen, Y.; Jun, S.; Gosz, J. Multiresolution reproducing kernel particle methods. Comput. Mech. 1997, 20, 295–309. [Google Scholar] [CrossRef]
- Abbaszadeh, M.; Dehghan, M.; Khodadadian, A.; Heitzinger, C. Error analysis of interpolating element free Galerkin method to solve non-linear extended Fisher–Kolmogorov equation. Comput. Math. Appl. 2020, 80, 247–262. [Google Scholar] [CrossRef]
- Li, Y.C.; Liu, C.; Li, W.; Chai, Y.B. Numerical investigation of the element-free Galerkin method (EFGM) with appropriate temporal discretization techniques for transient wave propagation problems. Appl. Math. Comput. 2023, 442, 127755. [Google Scholar] [CrossRef]
- Suleau, S.; Deraemaeker, A.; Bouillard, P. Dispersion and pollution of meshless solutions for the Helmholtz equation. Comput. Methods Appl. Mech. Eng. 2000, 190, 639–657. [Google Scholar] [CrossRef]
- Wu, S.W.; Xiang, Y.; Liu, B.; Li, G.N. A weak-form interpolation meshfree method for computing underwater acoustic radiation. Ocean Eng. 2021, 233, 109105. [Google Scholar] [CrossRef]
- Xue, H.J.; Zhang, X.Y.; Cheng, J.A. Transient analyses of underwater acoustic propagation with the modified meshfree radial point interpolation method and newmark time integration techniques. Ocean Eng. 2024, 304, 117842. [Google Scholar] [CrossRef]
- You, X.Y.; Yin, J.C.; Yao, Y.; Li, W. Time-domain acoustic wave propagations in multi-fluids using a weak-form meshfree method. Ocean Eng. 2024, 292, 116531. [Google Scholar] [CrossRef]
- You, X.Y.; Li, W.; Chai, Y.B. A truly meshfree method for solving acoustic problems using local weak form and radial basis functions. Appl. Math. Comput. 2020, 365, 124694. [Google Scholar] [CrossRef]
- Wenterodt, C.; Estorff, O.V. Dispersion analysis of the meshfree radial point interpolation method for the Helmholtz equation. Int. J. Numer. Methods Eng. 2009, 77, 1670–1689. [Google Scholar] [CrossRef]
- Liu, C.; Min, S.S.; Pang, Y.D.; Chai, Y.B. The Meshfree Radial Point Interpolation Method (RPIM) for Wave Propagation Dynamics in Non-Homogeneous Media. Mathematics 2023, 11, 523. [Google Scholar] [CrossRef]
- Liu, G.R.; Gu, Y.T. An Introduction to Meshfree Methods and Their Programming; Springer Science & Business Media: Berlin, Germany, 2005. [Google Scholar]
- Zhang, Y.O.; Dang, S.N.; Li, W.; Chai, Y.B. Performance of the radial point interpolation method (RPIM) with implicit time integration scheme for transient wave propagation dynamics. Comput. Math. Appl. 2022, 114, 95–111. [Google Scholar] [CrossRef]
- Wu, S.W.; Xiang, Y.; Li, W.Y. Dispersion error control for underwater acoustic scattering problems using a coupled cell-based smoothed radial point interpolation method. Ocean Eng. 2023, 271, 113767. [Google Scholar] [CrossRef]
- Larsson, E.; Fornberg, B. A numerical study of some radial basis function based solution methods for elliptic PDEs. Comput. Math. Appl. 2003, 46, 891–902. [Google Scholar] [CrossRef]
- Fornberg, B.; Flyer, N. Solving PDEs with radial basis functions. Acta Numer. 2015, 24, 215–258. [Google Scholar] [CrossRef]
- Kansa, E. Multiquadrics-A scattered data approximation scheme with applications to computational fluid dynamics-I surface approximations and partial derivative estimates. Comput. Math. Appl. 1990, 19, 127–145. [Google Scholar] [CrossRef]
- Qiao, Y.; Zhai, S.; Feng, X. RBF–FD method for the high dimensional time fractional convection diffusion equation. Int. Commun. Heat Mass Transfer 2017, 89, 230–240. [Google Scholar] [CrossRef]
- Kien, D.N.; Zhuang, X.Y. Radial basis function based finite element method: Formulation and applications. Eng. Anal. Bound. Elem. 2023, 152, 455–472. [Google Scholar] [CrossRef]
- Kien, D.N.; Chen, X.; Zhuang, X.; Rabczuk, T. Radial Basis Function Based Finite Element Method for Bending, Vibration and Buckling Analysis of Laminated Composite Mindlin-Reissner Plates. Adv. Eng. Res. Appl. 2023, 602, 806–822. [Google Scholar]
- Ma, H.W.; Tian, Y.Q.; Wang, F.Z.; Lou, Q.F.; Yu, L.J. Solving the BBMB Equation in Shallow Water Waves via Space-Time MQ-RBF Collocation. Comput. Model. Eng. Sci. 2025, 144, 3419–3432. [Google Scholar] [CrossRef]
- Zhang, Y.H.; Liu, H.F.; Li, X.Q.; Zhao, Y.J.; Liu, J.X. Study on solving partial differential equations governing steady point current source field using M-RPIM. Comput. Math. Appl. 2025, 200, 431–447. [Google Scholar] [CrossRef]
- Liu, F.T.; Zhou, X.W.; Dai, B.B.; Yan, R.T.; Yin, Z.Y.; Yin, J.H. Large deformation analysis in geotechnics using the node-based smoothed RPIM and second order cone programming. Comput. Geotech. 2025, 187, 107514. [Google Scholar] [CrossRef]
- Shankar, V.; Fogelson, A.L. Hyperviscosity-based stabilization for radial basis function-finite difference (RBF–FD) discretizations of advection-diffusion equations. J. Comput. Phys. 2018, 372, 616–639. [Google Scholar] [CrossRef]
- Rashidinia, J.; Rasoulizadeh, M.N. Numerical methods based on radial basis function-generated finite difference (RBF–FD) for solution of GKdVB equation. Wave Motion 2019, 90, 152–167. [Google Scholar] [CrossRef]
- Liu, J.; Zhang, J.; Zhang, X.D. Semi-discretized numerical solution for time fractional convection–diffusion equation by RBF-FD. Appl. Math. Lett. 2022, 128, 107880. [Google Scholar] [CrossRef]
- Zhang, X.D.; Yao, L.; Liu, J. Numerical study of Fisher’s equation by the RBF-FD method. Appl. Math. Lett. 2021, 120, 107195. [Google Scholar] [CrossRef]
- Koch, M.; Borne, S.L. RBF-FD discretization of the Oseen equations. J. Comput. Phys. 2025, 542, 114375. [Google Scholar] [CrossRef]
- Wang, F.; Zhu, Y.; Jia, S.H.; Guo, X. The RBF-FD method for solving the time-fractional viscoelastic wave propagation in irregular domains. Eng. Anal. Bound. Elem. 2025, 173, 106121. [Google Scholar] [CrossRef]
- Dicech, F.; Zamolo, R.; Parussini, L. Parametric reduced order model built from RBF-FD meshless simulations of flow and temperature fields in a 3D pipe with wavy surfaces. Comput. Fluids 2025, 301, 106803. [Google Scholar] [CrossRef]
- Wei, L.L.; Yang, Y.F. Optimal order finite difference/local discontinuous Galerkin method for variable-order time-fractional diffusion equation. J. Comput. Appl. Math. 2021, 383, 113129. [Google Scholar] [CrossRef]
- Wei, L.L. Stability and convergence of a fully discrete local discontinuous Galerkin method for multi-term time fractional diffusion equations. Numer. Algor. 2017, 76, 695–707. [Google Scholar] [CrossRef]
- Yang, M.M.; Liu, L.J.; Wei, L.L. Local Discontinuous Galerkin Method for the Variable-Order Fractional Mobile-Immobile Advection-Dispersion Equation. Comput. Math. Math. Phys. 2025, 65, 308–319. [Google Scholar] [CrossRef]
- Zhang, X.D.; Wei, L.L.; Liu, J. Application of the LDG method using generalized alternating numerical flux to the fourth-order time-fractional sub-diffusion model. Appl. Math. Lett. 2025, 168, 109580. [Google Scholar] [CrossRef]
- Wei, L.L.; Wang, H.H.; Chen, Y.P. Local discontinuous Galerkin method for a hidden-memory variable order reaction–diffusion equation. J. Appl. Math. Comput. 2023, 69, 2857–2872. [Google Scholar] [CrossRef]
- Ihlenburg, F.; Babuška, I. Reliability of finite element methods for the numerical computation of waves. Adv. Eng. Softw. 1997, 28, 417–424. [Google Scholar] [CrossRef]
- Thompson, L.L.; Plnsky, P.M. A Galerkin least-squares finite element method for the two-dimensional Helmholtz equation. Int. J. Numer. Methods Eng. 1995, 38, 371–397. [Google Scholar] [CrossRef]
- Carey, G.F.; Shen, Y. Least-squares finite element approximation of Fisher’s reaction–diffusion equation. Numer. Methods Partial. Differ. Equ. 1995, 11, 175–186. [Google Scholar] [CrossRef]
- Babuška, I.; Ihlenburg, F.; Paik, E.T.; Sauter, S.A. A generalized finite element method for solving the Helmholtz equation in two dimensions with minimal pollution. Comput. Methods Appl. Mech. Eng. 1995, 128, 325–359. [Google Scholar] [CrossRef]
- Liu, M.Y.; Gao, G.J.; Zhu, H.F.; Jiang, C.; Liu, G.R. A cell-based smoothed finite element method (CS-FEM) for three-dimensional incompressible laminar flows using mixed wedge-hexahedral element. Eng. Anal. Bound. Elem. 2021, 133, 269–285. [Google Scholar] [CrossRef]
- Jiang, C.; Hong, C.; Wang, T.T.; Zhou, G. N-Side cell-based smoothed finite element method for incompressible flow with heat transfer problems. Eng. Anal. Bound. Elem. 2023, 146, 749–766. [Google Scholar] [CrossRef]
- Gottlieb, D.; Orszag, S.A. Numerical Analysis of Spectral Methods: Theory and Applications; Capital City Press: Tumwater, WA, USA, 1993. [Google Scholar]
- Xuan, G.L.; Yue, J.H.; Wang, Y.; Wang, D.X. An edge-based smoothed finite element method combined with Newmark method for time domain acoustic wave scattering problem. Eng. Anal. Bound. Elem. 2024, 158, 182–198. [Google Scholar] [CrossRef]
- Jiang, Z.L.; Zhang, F.; Li, K.F.; Chai, Y.B.; Li, W.; Gui, Q. A multi-physics overlapping finite element method for band gap analyses of the magneto-electro-elastic radial phononic crystal plates. Thin Wall Struct. 2025, 210, 112985. [Google Scholar] [CrossRef]
- Kim, K.T.; Bathe, K.J. Accurate solution of wave propagation problems in elasticity. Comput. Struct. 2021, 249, 106502. [Google Scholar] [CrossRef]
- Liu, C.; Li, K.F.; Min, S.S.; Chai, Y.B. Dynamic analysis of the three-phase magneto-electro-elastic (MEE) structures with the overlapping triangular finite elements. Comput. Math. Appl. 2025, 179, 148–177. [Google Scholar] [CrossRef]
- Gui, Q.; Li, W.; Chai, Y.B. Improved modal analyses using the novel quadrilateral overlapping elements. Comput. Math. Appl. 2024, 154, 138–152. [Google Scholar] [CrossRef]
- Kim, J.; Bathe, K.J. The finite element method enriched by interpolation covers. Comput. Struct. 2013, 116, 35–49. [Google Scholar] [CrossRef]
- Chai, Y.B.; Huang, K.Y.; Wang, S.P.; Xiang, Z.C.; Zhang, G.J. The Extrinsic Enriched Finite Element Method with Appropriate Enrichment Functions for the Helmholtz Equation. Mathematics 2023, 11, 1664. [Google Scholar] [CrossRef]
- An, X.M.; Li, L.X.; Ma, G.W.; Zhang, H.H. Prediction of rank deficiency in partition of unity-based methods with plane triangular or quadrilateral meshes. Comput. Methods Appl. Mech. Eng. 2011, 200, 665–674. [Google Scholar] [CrossRef]
- Chai, Y.B.; Li, W.; Liu, Z.Y. Analysis of transient wave propagation dynamics using the enriched finite element method with interpolation cover functions. Appl. Math. Comput. 2022, 412, 126564. [Google Scholar] [CrossRef]
- Yang, Y.T.; Xu, D.D.; Zheng, H. A partition-of-unity based ‘FE-Meshfree’ triangular element with radial-polynomial basis functions for static and free vibration analysis. Eng. Anal. Bound. Elem. 2016, 65, 18–38. [Google Scholar] [CrossRef]
- Liu, G.R.; Wang, J.G. A point interpolation meshless method based on radial basis functions. Int. J. Numer. Methods Eng. 2002, 54, 1623–1648. [Google Scholar] [CrossRef]
- Fries, T.P.; Belytschko, T. The extended/generalized finite element method: An overview of the method and its applications. Int. J. Numer. Methods Eng. 2010, 84, 253–304. [Google Scholar] [CrossRef]
- Strouboulis, T.; Copps, K.; Babuška, I. The generalized finite element method: An example of its implementation and illustration of its performance. Int. J. Numer. Methods Eng. 2000, 47, 1401–1417. [Google Scholar] [CrossRef]
- Li, Y.C.; Dang, S.N.; Li, W.; Chai, Y.B. Free and Forced Vibration Analysis of Two-Dimensional Linear Elastic Solids Using the Finite Element Methods Enriched by Interpolation Cover Functions. Mathematics 2022, 10, 456. [Google Scholar] [CrossRef]
- Kim, K.T.; Zhang, L.; Bathe, K.J. Transient implicit wave propagation dynamics with overlapping finite Elements. Comput. Struct. 2018, 199, 18–33. [Google Scholar] [CrossRef]
- Kim, K.T.; Bathe, K.J. Transient implicit wave propagation dynamics with the method of finite spheres. Comput. Struct. 2016, 173, 50–60. [Google Scholar] [CrossRef]
- Sun, T.T.; Wang, P.; Zhang, G.J.; Chai, Y.B. Transient analyses of wave propagations in nonhomogeneous media employing the novel finite element method with the appropriate enrichment function. Comput. Math. Appl. 2023, 129, 90–112. [Google Scholar] [CrossRef]
- Gui, Q.; Zhang, G.Y.; Chai, Y.B.; Li, W. A finite element method with cover functions for underwater acoustic propagation problems. Ocean Eng. 2022, 243, 110174. [Google Scholar] [CrossRef]
























| k | FEM-T3 | FEM-Q4 | EFEM-N3 | RPIM | RBF-N3 |
|---|---|---|---|---|---|
| 2 | 3.86 × 102 | 3.38 × 102 | 6.27 × 104 | 8.34 × 102 | 4.05 × 104 |
| 5 | 5.24 × 102 | 4.24 × 102 | 7.31 × 104 | 5.83 × 102 | 3.89 × 104 |
| 10 | 3.88 × 103 | 7.39 × 102 | 8.57 × 104 | 7.51 × 102 | 1.11 × 105 |
| 16 | 6.37 × 102 | 1.45 × 103 | 7.42 × 104 | 3.70 × 102 | 9.77 × 104 |
| k | FEM-T3 | FEM-Q4 | EFEM-N3 | RPIM | RBF-N3 |
|---|---|---|---|---|---|
| 2 | 1.73 × 103 | 1.38 × 103 | 9.21 × 105 | 3.55 × 103 | 4.45 × 105 |
| 5 | 1.47 × 103 | 1.07 × 103 | 9.54 × 105 | 2.76 × 103 | 4.48 × 105 |
| 10 | 2.41 × 103 | 2.06 × 103 | 1.08 × 106 | 1.63 × 104 | 4.65 × 105 |
| 16 | 3.96 × 103 | 5.63 × 103 | 1.13 × 106 | 1.56 × 104 | 4.56 × 105 |
| k | FEM-T3 | FEM-Q4 | EFEM-N3 | RPIM | RBF-N3 |
|---|---|---|---|---|---|
| 2 | 7.78 × 103 | 5.99 × 103 | 1.45 × 107 | 1.54 × 104 | 6.38 × 106 |
| 5 | 5.79 × 103 | 4.80 × 103 | 1.46 × 107 | 1.24 × 104 | 6.41 × 106 |
| 10 | 3.08 × 104 | 6.92 × 104 | 1.51 × 107 | 5.65 × 104 | 6.49 × 106 |
| 16 | 3.76 × 104 | 5.77 × 104 | 1.59 × 107 | 7.23 × 104 | 6.68 × 106 |
| k | FEM-T3 | FEM-Q4 | EFEM-N3 | RPIM | RBF-N3 |
|---|---|---|---|---|---|
| 2 | 3.53 × 104 | 2.66 × 104 | 2.32 × 108 | 6.83 × 104 | 1.02 × 108 |
| 5 | 2.81 × 104 | 2.19 × 104 | 2.32 × 108 | 5.67 × 104 | 1.02 × 108 |
| 10 | 1.75 × 105 | 1.27 × 105 | 2.34 × 108 | 2.21 × 105 | 1.02 × 108 |
| 16 | 7.34 × 104 | 6.72 × 104 | 2.37 × 108 | 3.40 × 105 | 1.03 × 108 |
Disclaimer/Publisher’s Note: The statements, opinions and data contained in all publications are solely those of the individual author(s) and contributor(s) and not of MDPI and/or the editor(s). MDPI and/or the editor(s) disclaim responsibility for any injury to people or property resulting from any ideas, methods, instructions or products referred to in the content. |
© 2026 by the authors. Licensee MDPI, Basel, Switzerland. This article is an open access article distributed under the terms and conditions of the Creative Commons Attribution (CC BY) license.
Share and Cite
Liu, Q.; Zou, Z.; Chai, Y.; Li, W.; Chu, W. An Extrinsic Enriched Finite Element Method Based on RBFs for the Helmholtz Equation. Mathematics 2026, 14, 200. https://doi.org/10.3390/math14010200
Liu Q, Zou Z, Chai Y, Li W, Chu W. An Extrinsic Enriched Finite Element Method Based on RBFs for the Helmholtz Equation. Mathematics. 2026; 14(1):200. https://doi.org/10.3390/math14010200
Chicago/Turabian StyleLiu, Qingliang, Zhihong Zou, Yingbin Chai, Wei Li, and Wei Chu. 2026. "An Extrinsic Enriched Finite Element Method Based on RBFs for the Helmholtz Equation" Mathematics 14, no. 1: 200. https://doi.org/10.3390/math14010200
APA StyleLiu, Q., Zou, Z., Chai, Y., Li, W., & Chu, W. (2026). An Extrinsic Enriched Finite Element Method Based on RBFs for the Helmholtz Equation. Mathematics, 14(1), 200. https://doi.org/10.3390/math14010200

