The Effect of Bundled Payment Schemes on Cost–Speed Tradeoff for Outpatient Service: A Queueing-Game Analysis
Abstract
1. Introduction
2. Literature Review
3. Model Setup
3.1. Basic Assumptions
3.2. The Hospital’s Problem
3.3. The Payer’s Problem
4. Bundled Payment
4.1. The Patients’ Joining Decision
- (i)
- (ii)
- (iii)
- (iv)
4.2. The Hospitals’ Service Rate Decision
4.3. The Payer’s Pricing Strategy
5. Fee-for-Service
6. First-Best Case and Performance Comparison
6.1. First-Best Case
6.2. Performance Comparison
7. Bundled Payment with Service Level Regulation
- (i)
- (ii)
- (iii)
- (iv)
7.1. The Hospitals’ Service Rate Decision
7.2. The Payer’s Price and Waiting Time Guarantee Strategy
8. Conclusions
Author Contributions
Funding
Data Availability Statement
Conflicts of Interest
Appendix A. Proof
- (1)
- If , we have , and hence and . For other conditions, because the waiting time’s upper limit () is more stringent than the system’s stable condition , we just analyze the waiting time’s upper limit. In this case, the waiting time condition can be rewritten as . Hence, the comprehensive conditions of this case are
- (2)
- If and , we have ; hence, . In this case, the waiting time conditions and can be unified and rewritten as . Hence, the comprehensive conditions of this case are
- (3)
- If , we have ; hence,. In this case, can be rewritten as . Hence, the comprehensive conditions of this case are .
- (i)
- (ii)
- (iii)
- (iv)
- □

- (i)
- (ii)
- (iii)
- (iv)
- □
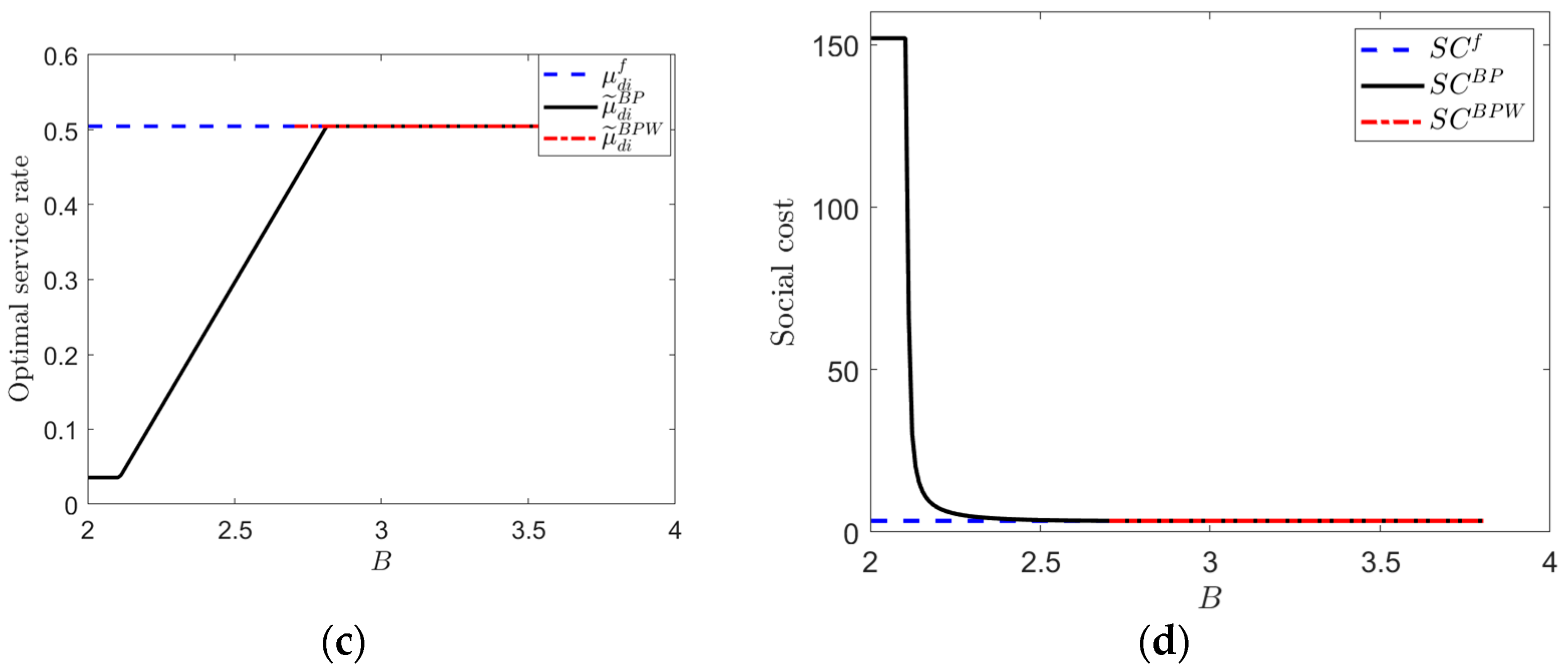
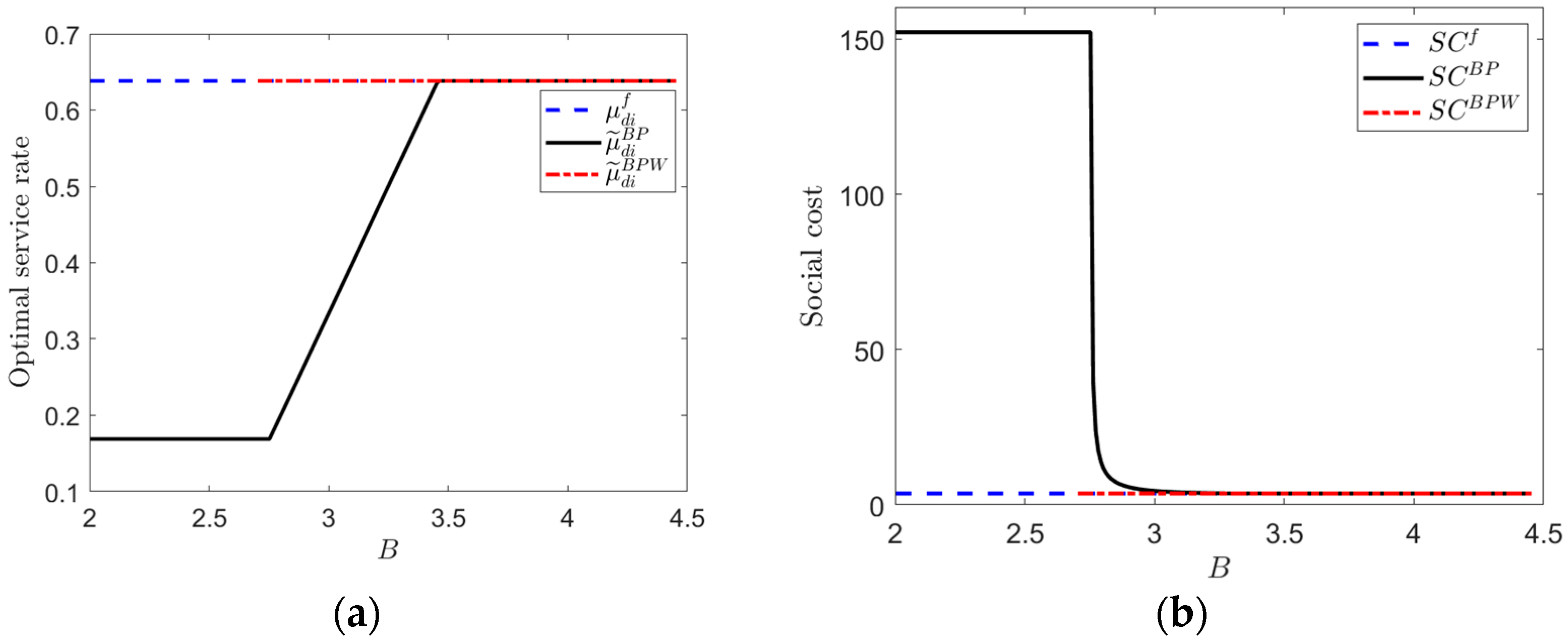
Appendix B. Robustness Analysis with Respect to System Parameters
Appendix B.1. Robustness with Respect to

Appendix B.2. Robustness with Respect to n


Appendix B.3. Robustness with Respect to d

References
- Irving, G.; Neves, A.L.; Dambha-Miller, H.; Oishi, A.; Tagashira, H.; Verho, A.; Holden, J. International variations in primary care physician consultation time: A systematic review of 67 countries. BMJ Open 2017, 7, e017902. [Google Scholar] [CrossRef]
- Du, Y.; Wu, J. Practice and improvement of process optimization in hospital outpatient management. Mod. Hosp. J. 2020, 20, 827–829. (In Chinese) [Google Scholar]
- Wang, X.; Wu, Q.; Lai, G.; Scheller-Wolf, A. Offering discretionary healthcare services with medical consumption. Prod. Oper. Manag. 2019, 28, 2291–2304. [Google Scholar] [CrossRef]
- Guan, X.; Ni, B.; Zhang, J.; Zhu, D.; Cai, Z.; Meng, W.; Shi, L.; Ross-Degnan, D.S. Association between physicians’ workload and prescribing quality in one tertiary hospital in China. J. Patient Saf. 2021, 17, e1860–e1865. [Google Scholar] [CrossRef] [PubMed]
- Zorc, S.; Chick, S.E.; Hasija, S. Outcomes-Based Reimbursement Policies for Chronic Care Pathways. INSEAD Working Paper, 2023. Available online: http://ssrn.com/abstract=2973048 (accessed on 20 October 2025).
- Rabin, R. 15-Minute Doctor Visits Take a Toll on Patient-Physician Relationships; PBS NewsHour: Arlington, VA, USA, 2014; Available online: https://www.pbs.org/newshour/health/need-15-minutes-doctors-time (accessed on 20 October 2025).
- Blomqvist, A.; Busby, C. Paying Hospital-Based Doctors: Fee for Whose Service? CD Howe Institute Commentary: Toronto, ON, Canada, 2013; p. 392. [Google Scholar]
- Calsyn, M.; Lee, E.O. Alternatives to Fee-For-Service Payments in Health Care: Moving from Volume to Value; Center for American Progress: Washington, DC, USA, 2012; Volume 18. [Google Scholar]
- Adida, E.; Mamani, H.; Nassiri, S. Bundled payment vs. fee-for-service: Impact of payment scheme on performance. Manag. Sci. 2017, 63, 1606–1624. [Google Scholar] [CrossRef]
- Chen, X.; Zeng, Y.; Chen, W. Comparisons of the fee-for-service and diagnosis-related groups payment modes based on patients’ delay-sensitivity. J. Manag. Sci. China 2022, 25, 1–21. (In Chinese) [Google Scholar]
- Fan, Y.; Wang, J.; Xie, J.; Yu, L.; Cao, L. The impact of bundled payment on hospital operations. Serv. Sci. 2023, 15, 129–155. [Google Scholar] [CrossRef]
- Liao, C. Design of Policy Mechanism for Head Package Payment in Outpatient Chronic and Special Disease Medical Insurance. China Hum. Resour. Soc. Secur. 2021, 11, 59. (In Chinese) [Google Scholar]
- Liu, J. Study on the impact of dip payment reform on the economic operation of medical institutions–taking a tertiary hospital in Guangzhou as an example. Health Econ. Res. 2022, 39, 29–33. [Google Scholar]
- Guo, P.; Tang, C.S.; Wang, Y.; Zhao, M. The impact of reimbursement policy on social welfare, revisit rate, and waiting time in a public healthcare system: Fee-for-service versus bundled payment. Manuf. Serv. Oper. Manag. 2019, 21, 154–170. [Google Scholar] [CrossRef]
- Hassin, R.; Haviv, M. To Queue or not to Queue: Equilibrium Behavior in Queueing Systems; Springer: Boston, MA, USA, 2003. [Google Scholar]
- Hassin, R. Rational Queueing; CRC Press: Boca Raton, FL, USA, 2016. [Google Scholar]
- Chen, H.; Wan, Y. Capacity competition of make-to-order firms. Oper. Res. Lett. 2005, 33, 187–194. [Google Scholar] [CrossRef]
- Allon, G.; Federgruen, A. Service competition with general queueing facilities. Oper. Res. 2008, 56, 827–849. [Google Scholar] [CrossRef]
- Lu, S.F.; Serfes, K.; Wedig, G.; Wu, B. Does competition improve service quality? the case of nursing homes where public and private payers coexist. Manag. Sci. 2021, 67, 6493–6512. [Google Scholar] [CrossRef]
- Han, Z.; Arikan, M.; Mallik, S. Competition between hospitals under bundled payments and fee-for-service: An equilibrium analysis of insurer’s choice. Manuf. Serv. Oper. Manag. 2022, 24, 1821–1842. [Google Scholar] [CrossRef]
- Zhou, W.; Li, X.; Qian, Q. Comparison of gatekeeping and non-gatekeeping designs in a service system with delay-sensitive customers. J. Syst. Sci. Syst. Eng. 2021, 30, 125–150. [Google Scholar] [CrossRef]
- Yu, M.; Zhou, W.; Jiang, B. Referral strategies and capacity decisions in a tiered hospital system with gatekeeping designs–exemplified with Chinese healthcare system. Comput. Ind. Eng. 2022, 171, 108447. [Google Scholar] [CrossRef]
- Lim, G.; Lim, A.J.; Quinn, B.; Carvalho, B.; Zakowski, M.; Lynde, G.C. Obstetric operating room staffing and operating efficiency using queueing theory. BMC Health Serv. Res. 2023, 23, 1147. [Google Scholar] [CrossRef]
- Wang, J.; Wang, Z.; Zhang, Z.G.; Wang, F. Efficiency-quality trade-off in allocating resource to public healthcare systems. Int. J. Prod. Res. 2022, 60, 6469–6490. [Google Scholar] [CrossRef]
- Andritsos, D.A.; Tang, C.S. Incentive programs for reducing readmissions when patient care is co-produced. Prod. Oper. Manag. 2018, 27, 999–1020. [Google Scholar] [CrossRef]
- Ghamat, S.; Zaric, G.S.; Pun, H. Care-coordination: Gain-sharing agreements in bundled payment models. Prod. Oper. Manag. 2021, 30, 1457–1474. [Google Scholar] [CrossRef]
- Li, X.; Teng, J.; Li, X.; Han, Y. The effect of internal salary incentives based on insurance payment on physicians’ behavior: Experimental evidence. BMC Health Serv. Res. 2023, 23, 1410. [Google Scholar] [CrossRef]
- Siciliani, L.; Chalkley, M.; Gravelle, H. Policies towards hospital and gp competition in five european countries. Health Policy 2017, 121, 103–110. [Google Scholar] [CrossRef]
- Anand, K.S.; Paç, M.F.; Veeraraghavan, S. Quality–speed conundrum: Trade-offs in customer-intensive services. Manag. Sci. 2011, 57, 40–56. [Google Scholar] [CrossRef]
- Kostami, V.; Rajagopalan, S. Speed–quality trade-offs in a dynamic model. Manuf. Serv. Oper. Manag. 2014, 16, 104–118. [Google Scholar] [CrossRef]
- Li, X.; Guo, P.; Lian, Z. Quality-speed competition in customer-intensive services with boundedly rational customers. Prod. Oper. Manag. 2016, 25, 1885–1901. [Google Scholar] [CrossRef]
- Li, X.; Li, Q.; Guo, P.; Lian, Z. On the uniqueness and stability of equilibrium in quality-speed competition with boundedly-rational customers: The case with general reward function and multiple servers. Int. J. Prod. Econ. 2017, 193, 726–736. [Google Scholar] [CrossRef]
- Zhang, Y.; Wang, J. Quality-speed trade-offs in customer-intensive services with boundedly rational customers and retrials. Comput. Ind. Eng. 2022, 167, 107983. [Google Scholar] [CrossRef]
- Sun, M.; Chai, Q.; Ng, C.T. Managing the quality-speed tradeoff in blockchain-supported healthcare diagnostic services. Omega 2023, 120, 102911. [Google Scholar] [CrossRef]
- Street, A.; O’Reilly, J.; Ward, P.; Mason, A. Diagnosis-Related Groups in Europe: Moving Towards Transparency, Efficiency and Quality in Hospitals; Open University Press: Maidenhead, UK, 2011. [Google Scholar]
- Zhou, W.; Wang, D.; Huang, W.; Guo, P. To pool or not to pool? the effect of loss aversion on queue configurations. Prod. Oper. Manag. 2021, 30, 4258–4272. [Google Scholar] [CrossRef]
- Kim, S.C.; Horowitz, I.; Young, K.K.; Buckley, T.A. Analysis of capacity management of the intensive care unit in a hospital. Eur. J. Oper. Res. 1999, 115, 36–46. [Google Scholar] [CrossRef]
- Surowiecki, J. What Ails Us. The New Yorker. 2003. Available online: https://www.newyorker.com/magazine/2003/07/07/what-ails-us (accessed on 20 October 2025).
- Hua, Z.; Chen, W.; Zhang, Z.G. Competition and coordination in two-tier public service systems under government fiscal policy. Prod. Oper. Manag. 2016, 25, 1430–1448. [Google Scholar] [CrossRef]
- Edelson, N.M.; Hilderbrand, D.K. Congestion tolls for poisson queuing processes. Econom. J. Econom. Soc. 1975, 43, 81–92. [Google Scholar] [CrossRef]
- Wu, C.; Bassamboo, A.; Perry, O. Service system with dependent service and patience times. Manag. Sci. 2019, 65, 1151–1172. [Google Scholar] [CrossRef]
- Naor, P. The regulation of queue size by levying tolls. Econom. J. Econom. Soc. 1969, 37, 15–24. [Google Scholar] [CrossRef]
- Yang, L.; Guo, P.; Wang, Y. Service pricing with loss-averse customers. Oper. Res. 2018, 66, 761–777. [Google Scholar] [CrossRef]
- Qian, Q.; Guo, P.; Lindsey, R. Comparison of subsidy schemes for reducing waiting times in healthcare systems. Prod. Oper. Manag. 2017, 26, 2033–2049. [Google Scholar] [CrossRef]
- Gawande, A. The Cost Conundrum. The New Yorker. 2009. Available online: https://www.newyorker.com/magazine/2009/06/01/the-cost-conundrum (accessed on 20 October 2025).
- Gawande, A. Overkill: An Avalanche of Unnecessary Medical Care is Harming Patients Physically and Financially. What Can We Do About it? The New Yorker. 2015. Available online: https://www.plc-network.com/wp-content/uploads/2025/05/Americas-Epidemic-of-Unnecessary-Care-_-The-New-Yorker.pdf (accessed on 20 October 2025).
- Allon, G.; Federgruen, A. Competition in service industries. Oper. Res. 2007, 55, 37–55. [Google Scholar] [CrossRef]
- Babashov, V.; Sauré, A.; Ozturk, O.; Patrick, J. Setting wait time targets in a multi-priority patient setting. Prod. Oper. Manag. 2023, 32, 1958–1974. [Google Scholar] [CrossRef]
- Allon, G.; Federgruen, A. Competition in service industries with segmented markets. Manag. Sci. 2009, 55, 619–634. [Google Scholar] [CrossRef]





| Research | Queueing Model | Provider Competition | Healthcare Payment Schemes | Quality–Speed Tradeoff /Cost–Speed Tradeoff |
|---|---|---|---|---|
| Chen and Wan [17] | ✔ | ✔ | - | - |
| Allon and Federgruen [18] | ✔ | ✔ | - | - |
| Lu et al. [19] | ✔ | ✔ | - | |
| Han et al. [20] | ✔ | ✔ | - | |
| Yu et al. [22] | ✔ | - | - | - |
| Lim et al. [23] | ✔ | - | - | - |
| Wang et al. [24] | ✔ | - | - | - |
| Guo et al. [14] | ✔ | - | ✔ | - |
| Adida et al. [9] | - | ✔ | - | |
| Andritsos and Tang [25] | - | ✔ | - | |
| Ghamat et al. [26] | - | ✔ | - | |
| Fan et al. [11] | - | ✔ | - | |
| Li et al. [27] | - | ✔ | - | |
| Anand et al. [29] | ✔ | - | - | ✔ |
| Kostami and Rajagopalan [30] | - | - | ✔ | |
| Li et al. [31] | ✔ | - | - | ✔ |
| Li et al. [32] | ✔ | ✔ | - | ✔ |
| Zhang and Wang [33] | ✔ | - | - | ✔ |
| Sun et al. [34] | ✔ | - | - | ✔ |
| Wang et al. [3] | ✔ | - | ✔ | ✔ |
| This study | ✔ | ✔ | ✔ | ✔ |
| Symbol | Description |
|---|---|
| Number of hospitals in the public outpatient system | |
| Hospital | |
| Total potential arrival rate | |
| The initial arrival rate of patients who join hospital | |
| Service rate of hospital | |
| The upper bound of the service rate | |
| Unit delay cost/unit waiting cost | |
| Expected waiting time of patients at hospital | |
| An upper limit of the expected waiting time | |
| Service value that a patient receives after being served | |
| The unit benchmark medical cost | |
| The constant unit medical cost | |
| Service price for the whole episode of care | |
| Medical budget level | |
| SC | Social cost of the whole healthcare system (waiting cost + medical cost) |
| Waiting time guarantee (service level requirement) under the BP with service level regulation (BPW) scheme | |
| A profit margin of α ∈ [0, 1] on the total medical cost under the FFS scheme |
| n | |||||||||
|---|---|---|---|---|---|---|---|---|---|
Disclaimer/Publisher’s Note: The statements, opinions and data contained in all publications are solely those of the individual author(s) and contributor(s) and not of MDPI and/or the editor(s). MDPI and/or the editor(s) disclaim responsibility for any injury to people or property resulting from any ideas, methods, instructions or products referred to in the content. |
© 2026 by the authors. Licensee MDPI, Basel, Switzerland. This article is an open access article distributed under the terms and conditions of the Creative Commons Attribution (CC BY) license.
Share and Cite
Li, X.; Fu, M. The Effect of Bundled Payment Schemes on Cost–Speed Tradeoff for Outpatient Service: A Queueing-Game Analysis. Mathematics 2026, 14, 199. https://doi.org/10.3390/math14010199
Li X, Fu M. The Effect of Bundled Payment Schemes on Cost–Speed Tradeoff for Outpatient Service: A Queueing-Game Analysis. Mathematics. 2026; 14(1):199. https://doi.org/10.3390/math14010199
Chicago/Turabian StyleLi, Xiuzhang, and Minghui Fu. 2026. "The Effect of Bundled Payment Schemes on Cost–Speed Tradeoff for Outpatient Service: A Queueing-Game Analysis" Mathematics 14, no. 1: 199. https://doi.org/10.3390/math14010199
APA StyleLi, X., & Fu, M. (2026). The Effect of Bundled Payment Schemes on Cost–Speed Tradeoff for Outpatient Service: A Queueing-Game Analysis. Mathematics, 14(1), 199. https://doi.org/10.3390/math14010199

