Next Article in Journal
KORIE: A Multi-Task Benchmark for Detection, OCR, and Information Extraction on Korean Retail Receipts
Previous Article in Journal
Vehicle Sideslip Angle Redundant Estimation Based on Multi-Source Sensor Information Fusion
 
 
Font Type:
Arial Georgia Verdana
Font Size:
Aa Aa Aa
Line Spacing:
Column Width:
Background:
Article

Modeling DECT-2020 as a Tandem Queueing System and Its Application to the Peak Age of Information Analysis

by
Dmitry Nikolaev
1,
Anna Zhivtsova
1,*,
Sergey Matyushenko
2,
Yuliya Gaidamaka
2,3 and
Yevgeni Koucheryavy
1
1
Telecommunications R&D Institute, HSE University, Tallinskaya Str. 34, Moscow 123458, Russia
2
Department of Probability Theory and Cybersecurity, Peoples’ Friendship University of Russia (RUDN University), Miklukho-Maklaya Str. 6, Moscow 117198, Russia
3
Federal Research Center “Computer Science and Control” of the Russian Academy of Sciences (FRC CSC RAS), 44-2 Vavilov Str., Moscow 119333, Russia
*
Author to whom correspondence should be addressed.
Mathematics 2026, 14(1), 186; https://doi.org/10.3390/math14010186
Submission received: 2 November 2025 / Revised: 2 December 2025 / Accepted: 20 December 2025 / Published: 4 January 2026

Abstract

The Peak Age of Information (PAoI) quantifies the freshness of updates used in cyber-physical systems (CPSs), realized within the Internet of Things (IoT) paradigm, encompassing devices, networks, and control algorithms. Consequently, PAoI is a critical metric for real-time applications enabled by Ultra-Reliable Low Latency Communication (URLLC). While highly useful for system evaluation, the direct analysis of this metric is complicated by the correlation between the random variables constituting the PAoI. Thus, it is often evaluated using only the mean value rather than the full distribution. Furthermore, since CPS communication technologies like Wi-Fi or DECT-2020 involve multiple processing stages, modeling them as tandem queueing systems is essential for accurate PAoI analysis. In this paper, we develop an analytical model for a DECT-2020 network segment represented as a two-phase tandem queueing system, enabling detailed PAoI analysis via Laplace–Stieltjes transforms (LST). We circumvent the dependence between generation and sojourn times by classifying updates into four mutually exclusive groups. This approach allows us to derive the LST of the PAoI and determine the exact Probability Density Function (PDF) for M | M | 1 M | M | 1 system. We also calculate the mean and variance of the PAoIs and validate our results through numerical experiments. Additionally, we evaluate the impact of different service time distributions on PAoI variability. These findings contribute to the theoretical understanding of PAoI in tandem queueing systems and provide practical insights for optimizing DECT-2020-based communication systems.

1. Introduction

The Internet of Things (IoT) is one of the most significant areas of technological development, built on three main components: devices, networks, and controls. This complex system requires not only the development of each component but also the evaluation of conditions for their coexistence. A critical aspect of this task is assessing communication networks regarding the feasibility of control implementation. Since control decisions rely heavily on device feedback, the relevance and timeliness of this information are paramount. As information relevance depends on delivery speed and reliability, careful network-level analysis is required for various systems.
The Age of Information (AoI) has been proposed as a formal metric to evaluate update freshness [1]. In continuous-time systems, the AoI is defined as the time elapsed since the generation of the last successfully delivered update. Additionally, the discrete-time process formed by the local maxima of the AoI is analyzed to evaluate the delivery timeliness. This metric, known as the Peak AoI (PAoI), is defined as the sum of the inter-arrival time and the sojourn time for each update [1]. By exploring the AoI and PAoI, it is possible to assess the freshness of the information and optimize the network to ensure timely updates.
A leading recent technology enabling URLLC for energy-efficient devices using machine-type communication (MTC) is Digital Enhanced Cordless Telecommunications New Radio (DECT-2020 NR), developed by the European Telecommunications Standards Institute (ETSI) [2]. The DECT-2020 is designed to operate over a mesh topology with multi-hop transmission. It is applicable in scenarios such as Vehicular Ad Hoc Networks (VANET) [3,4], Maritime Wireless Networks (MWN) [5], professional audio systems [6], and so on [7,8].
Specifically, we model the network layer behavior of a DECT-2020 link, abstracting the underlying TDMA frame structure and HARQ mechanisms into stochastic service times. A detailed mapping of these system features to the queueing model parameters is provided in Section 3.
Consequently, a tandem queueing model is an effective representation of such systems, as updates traverse multiple processing stages before reaching their destination. In this paper, we focus on analyzing the PAoI in a tandem queueing model. Specifically, we study the M | M | 1 M | M | 1 system, characterized by Poisson arrivals and exponential service times.
The research problem addressed in this paper is the derivation of the exact distribution properties (LST and moments) of the Peak Age of Information in a two-phase tandem network with random service times and the quantification of how service time variance affects information freshness.
The primary contribution of this work includes the following:
  • A detailed theoretical framework for computing PAoI using Laplace–Stieltjes transforms (LST), accounting for four mutually exclusive events based on the state of the system at the arrival of an update.
  • Derivation of analytical expressions for PAoI in the exponential case, specifically moments of PAoI.
The remainder of this paper is organized as follows. Section 2 reviews the recent advances in AoI and PAoI analysis for tandem queueing systems. Section 3 formalizes the mathematical model. Section 4 details the proposed PAoI framework and underlying theorems. This framework is applied in Section 5 to derive the PAoI LST for the exponential two-phase tandem system, followed by the derivation of moments in Section 6. Numerical analysis is presented in Section 7, and the paper concludes with a discussion in the final section.

2. Tandem Queueing System Related Work

The analysis of AoI in tandem with multiple exponential queueing systems with queue capacities equal to 1 was established by Kam and Molnar [9], who derived expressions for the average AoI using a stochastic hybrid systems (SHS) model. Their work revealed the dependence of AoI metrics on the number of queues and service rates, providing guidelines for minimizing the AoI in such configurations. SHS was also employed in [4] to assess the average AoI in an M | M | 1 | 1 M | M | 1 | 1 network representing a VANET system.
Later, Kam [10] derived the mean AoI for an exponential tandem system with two infinite-capacity queues and equal service rates using a graphical approach. The same system is used in [3] as a VANET model. Here, the authors also utilize a graphical approach to obtain the average AoI.These results provide deep insights into VANETs, as the model incorporates wireless signal propagation and device placement parameters. Sinha et al. [11] expanded on these ideas by introducing a recursive framework to calculate the PAoI in tandem systems with memoryless arrivals, variable service policies, and bufferless servers. This work highlighted the impact of preemptive and non-preemptive service disciplines on PAoI.
Recent studies have explored more nuanced aspects of tandem queueing systems. Chiariotti et al. [12] investigated PAoI distributions in tandem queues M | M | 1 M | M | 1 and M | M | 1 M | D | 1 , emphasizing the relevance in satellite communication systems with relay nodes. Their results provided insights into the probabilistic characteristics of PAoI, extending beyond the mean values. Another notable contribution is by Koukoutsidis [13], who examined the AoI in overtaking-free networks of quasi-reversible tandem queues, deriving expressions for multiple M | M | 1 First-Come-First-Served (FCFS) systems. Champati et al. [14] considered a tandem of multiple FCFS queues with constant update generation times and independent random service times. The authors examined the AoI violation probability and optimized its upper bound. In [15], the unreliable exponential tandem queueing system and the tandem of unreliable bufferless services with a general distributed service time were considered. For both models, the authors obtained the LSTs of the AoI by deriving them from the LSTs of the sojourn times.
Studies [16,17,18] consider featured tandem systems that capture an edge computing-enabled network. Specifically, the authors of [16] assume that the first stage of processing corresponds to computing and is carried out by a power-efficient and, hence, unreliable server. The second stage relates to transmission. It is executed for updates that do not exceed the deadline, and the buffer, where such updates are stored, has a unit-capacity. In this study, the input flow is assumed to be Poisson, the service time for the first stage is generally distributed, and the service time for the second stage follows an exponential distribution. The authors derive the average AoI and PAoI, and optimize the update deadline value.
The authors of [17,18], on the other hand, let the first server stage represent the transmission from the end device to the fog/edge server, and the second stage corresponds to the computing service. They also assume Poisson arrivals, exponentially distributed service times, and unlimited FCFS queues. As an additional feature, the authors of [18] consider a scenario in which the end device does not generate updates if the current one is not being transmitted. Moreover, they analyze a system with additional input for the second stage. The authors examine a timeliness of information metric, which is defined similarly to the AoI. They propose a framework for timeliness of information minimization by optimizing the task generation, bandwidth allocation, and computation resource allocation.
In [17], a model of partial computation is examined in which packets are processed partially on end devices and partially on edge servers. The study considers multiple sources, single transmission unit, and multiple receivers, where the last processing is performed. The authors derive the mean AoI by combining a graphical approach with a method that involves dividing packets into mutually exclusive groups; in the present paper, a variation of this method is used. They then optimize the fraction of processing performed on the end devices to minimize the mean AoI.
This review highlights the importance of AoI and PAoI analysis in exponential tandem queueing systems, which model a wide range of communication networks. However, most existing works focus on average characteristics rather than full distributions, such as Cumulative Distribution Functions (CDFs), which are necessary for flexible optimization and more nuanced performance insights. Addressing the PAoI PDF in an M | M | 1 M | M | 1 queue tandem will expand the range of available tools for system analysis and provide insights into the performance of state-update systems with two-stage processing.

3. Model Formalization

We consider a system in which every update consecutively passes through two sequential service phases, denoted as phase 1 and phase 2. In phase j ( j = 1 , 2 ), an update waits in an infinite-capacity FCFS queue before being processed for an exponentially distributed service time B j , with CDF B j ( t ) and LST β j ( s ) . We assume that the inter-arrival time of updates, denoted by G, is exponentially distributed with CDF G ( t ) and LST α ( s ) . Hence, we note that each phase is a queueing system M | M | 1 , and we illustrate the considered tandem in Figure 1.
For the analysis of the system, we will use the following random variables.
  • W j : the waiting time experienced by an update in phase j, with the CDF W j ( t ) and LST ω j ( s ) .
  • W ^ j : the waiting time in phase j, conditional on the server being busy on arrival of the update, with CDF W ^ j ( t ) and LST ω ^ j ( s ) .
  • T j : the sojourn time (total time spent) in phase j, defined as T j = W j + B j ; its CDF and LST are denoted as T j ( t ) and θ j ( s ) , respectively.
  • T ^ j : the sojourn time in phase j, conditional on the server being busy upon the update’s arrival, with CDF T ^ j ( t ) and LST θ ^ j ( s ) .
The purpose of the paper is to examine the PAoI Z, defined as the sum of the generation and sojourn times of an update, i.e.,
Z = G + T 1 + T 2 .
The primary challenge in direct PAoI analysis is the dependence among its components G, T 1 , and T 2 [1]. To overcome this, we analyze the conditioned PAoI for four mutually exclusive update groups and combine them using the Law of Total Probability.
To justify the applicability of the M | M | 1 M | M | 1 model to the DECT-2020 NR system, we consider the abstraction of the physical and MAC layer processes shown in Table 1.
While the physical medium is time-slotted, the variations in channel quality, retransmissions (up to several frames), and scheduling wait times result in a randomized service interval at the application layer, which we approximate as exponential for analytical tractability.

4. Conditioned PAoI Framework

Let the number of updates in the j-th phase be denoted by n j , j = 1 , 2 , and introduce four outcomes indicating the state of the server (idle or busy):
  • ω ( 1 ) : The first server is idle, i.e., there are no updates in the first phase ( n 1 = 0 ). The probability of this event is P ω ( 1 ) = π 0 ( 1 ) .
  • ω ( 1 ) : The first server is busy, meaning that there is at least one update in the first phase ( n 1 1 ). The probability of this event is P ω ( 1 ) = π 1 ( 1 ) .
  • ω ( 2 ) : The second server is idle, i.e., there are no updates in the second phase ( n 2 = 0 ). The probability of this event is P ω ( 2 ) = π 0 ( 2 ) .
  • ω ( 2 ) : The second server is busy, meaning that there is at least one update in the second phase ( n 2 1 ). The probability of this event is P ω ( 2 ) = π 1 ( 2 ) .
We categorize the updates into mutually exclusive groups based on the system state observed upon arrival at the corresponding phases:
  • Updates observing both servers busy upon arrival to the appropriate phase, i.e., updates observing state (or event) A 1 , implying outcomes ω ( 1 ) and ω ( 2 ) .
  • Updates observing server 1 busy and server 2 idle, i.e., updates observing state (or event) A 2 , implying outcomes ω ( 1 ) and ω ( 2 ) .
  • Updates observing server 1 idle and server 2 busy, i.e., updates observing state (or event) A 3 , implying outcomes ω ( 1 ) and ω ( 2 ) .
  • Updates observing both servers idle, i.e., updates observing state (or event) A 4 , implying outcomes ω ( 1 ) and ω ( 2 ) .
We denote by Z i the PAoI for updates from the i-th group, and we denote its LST by z i ( s ) . For PAoI calculations, the four mutually exclusive events A i , i = 1 , , 4 , each leading to corresponding combinations of outcomes ω ( j ) and ω ( j ) , require separate consideration of the conditional probability distributions for the busy and idle server states. For these considerations, we will use the previously introduced random variables for the waiting time W j ^ and the sojourn time T j ^ of an update in the j-th phase, conditional on the server being busy.
The conditions for an update to observe states (events) A 1 A 4 , together with the conditioned PAoI formulas, are described in Table 2 and illustrated in Figure 2.
To clarify the classification of updates into these four groups, we present the decision logic in Figure 3. This tree illustrates how the state of the servers observed by an arriving update determines the specific PAoI components.
The probabilities of events A i are derived based on their conditions and the independence of the involved random variables. Their detailed derivation is given below.
The derivation of these probabilities relies on the fundamental properties of tandem M | M | 1 queues. According to Burke’s Theorem [19], the departure process of the first stable M | M | 1 queue is a Poisson process with rate λ . Consequently, the second queue behaves as an independent M | M | 1 system in equilibrium. Furthermore, Reich’s Theorem [20] establishes that the sojourn times T 1 and T 2 of a customer in a tandem of exponential queues are mutually independent. These properties justify the factorization of probabilities involving T 1 , T 2 , and the service times.
For event A 1 , where an incoming update finds both servers busy ( G T 1 , and B 1 T 2 G T 1 ):
p 1 = P G T 1 · P B 1 T 2 G T 1 .
Using the independence of G, T 1 , T 2 , and B 1 , this can be expressed as
p 1 = P G T 1 · P B 1 T 2 .
Then, evaluating P G T 1
P G T 1 = 0 P G T 1 d T 1 ( t 1 ) = 0 G ( t 1 ) d T 1 ( t 1 )
and P B 1 T 2
P B 1 T 2 = 0 P B 1 t 2 d T 2 ( t 2 ) = 0 B 1 ( t 2 ) d T 2 ( t 2 ) ,
we obtain
p 1 = 0 G ( t 1 ) d T 1 ( t 1 ) · 0 B 1 ( t 2 ) d T 2 ( t 2 ) .
Finally, expressing G ( t 1 ) and B 1 ( t 2 ) in terms of the probability density function (PDF), we get
p 1 = 0 0 t 1 d G ( y ) d T 1 ( t 1 ) · 0 0 t 2 d B 1 ( u ) d T 2 ( t 2 ) .
The remaining values p i , i = 2 , , 4 , can be obtained by applying the procedure described above. Then, p i are calculated using the Formulas (3)–(5).
p 2 = P A 2 = 0 0 t 1 d G ( y ) d T 1 ( t 1 ) · 0 t 2 d B 1 ( u ) d T 2 ( t 2 ) ,
p 3 = P A 3 = 0 0 y 0 d G ( y ) d T 1 ( t 1 ) d B 1 ( u ) · y + u t 1 d T 2 ( t 2 ) ,
p 4 = P A 4 = 0 0 y 0 d G ( y ) d T 1 ( t 1 ) d B 1 ( u ) · 0 y + u t 1 d T 2 ( t 2 ) .
Now, combining all conditional PAoI-obtained Z i , we obtain an LST of PAoI Z in the following theorem.
Theorem 1.
The LST of PAoI in the M | M | 1 M | M | 1 tandem queueing system is calculated using the formula
z ( s ) = i = 1 4 p i z i ( s ) ,
where z i ( s ) —LST of PAoI for the updates observing event A i upon arrivals to queues, i = 1 , , 4 .
It should be noted that the described framework can be applied in more complicated networks, such as G I | G I | 1 G I | G I | 1 .

5. LST of PAoI in M | M | 1 M | M | 1

To derive the LST of the PAoI, we proceed as follows:
  • Determine the conditional LSTs of waiting and sojourn times for busy/idle states (Lemma 1).
  • Calculate the probabilities p i of the four mutually exclusive events A 1 A 4 (Lemma 2).
  • Combine these components using the law of total probability (Theorem 2) to obtain the final closed-form expression.
In this section, we apply Theorem 1 to obtain the LST of the PAoI in an M | M | 1 M | M | 1 tandem queue and subsequently derive expressions for the PAoI mean and variance. To this end, we first find θ ^ j , letting the rate of input flow be denoted by λ and the service times rates be denoted by μ 1 and μ 2 , respectively. We assume ρ 1 = λ / μ 1 < 1 and ρ 2 = λ / μ 2 < 1 to ensure the system is ergodic and a stationary distribution exists. Recall that the LSTs for generation and service times are given by
α ( s ) = λ λ + s ,
β j ( s ) = μ j μ j + s , j = 1 , 2 .
The loads for each server are defined as
ρ j = λ μ j , j = 1 , 2 ,
where ρ j < 1 to ensure the stability of the system.
To determine θ ^ j ( s ) , we utilize the following lemma:
Lemma 1.
The LST of ω ^ j ( s ) is expressed as
ω ^ j ( s ) = ω j ( s ) ( 1 ρ j ) ρ j .
Proof. 
Let the probability that there are k updates in the queue during the j-th phase be π k ( j ) . The previously introduced probability is that the server being busy in phase j is π 1 ( j ) = k = 1 π k ( j ) = ρ j , while the probability that the server being idle is π 0 ( j ) = 1 ρ j . Consequently, the conditional probability π ^ k ( j ) that there are exactly k updates in the system ( M | M | 1 for phase j) during phase j, given that the server is busy, is given by
π ^ k ( j ) = P n j = k n j 1 = P n j = k 1 P n j = 0 = π k ( j ) ρ j , k = 1 , 2 , .
Note that π ^ 0 ( j ) = 0 , as it is impossible for the system to be empty under the condition that it is busy.
The CDF W j ( t ) of the random variable W j , representing the waiting time in phase j, can be expressed using the law of total probability and the unconditional probability distribution π k ( j ) , k = 0 , 1 , , as
W j ( t ) = k = 0 π k ( j ) B j * ( k ) ( t ) , x 0 ,
where B j * ( k ) ( t ) denotes the j-fold convolution of the service time distribution at phase j. Consequently, the LST of W j is
ω j ( s ) = k = 0 π k ( j ) ( β j ( s ) ) k .
Similarly, the CDF of W ^ j , representing the waiting time in phase j under the condition of arrival to a busy system, can be expressed using the conditional probability distribution π ^ k ( j ) , k = 1 , 2 , , as
W j ^ ( t ) = k = 1 π ^ k ( j ) B j * ( k ) ( t ) , x 0 ,
and its LST is given by
ω ^ j ( s ) = k = 1 π ^ k ( j ) ( β j ( s ) ) k = k = 1 π k ( j ) ρ j ( β j ( s ) ) k .
From this, we derive
ω ^ j ( s ) = 1 ρ j k = 1 π k ( j ) ( β j ( s ) ) k = 1 ρ j k = 0 π k ( j ) ( β j ( s ) ) k π 0 ( j ) = = 1 ρ j ω j ( s ) ( 1 ρ j ) .
With the LST of the waiting time under the condition of arrival to a busy system determined, the LST of the sojourn time under the same condition can be easily derived as
θ ^ j ( s ) = ω ^ j ( s ) β j ( s ) .
As a result, for the exponential tandem queueing system, we obtain
ω ^ j ( s ) = μ j λ μ j λ + s = θ j ( s ) , θ ^ j ( s ) = μ j λ μ j λ + s · μ j μ j + s ,
For implementing Theorem 1, we specify p i , i = 1 , , 4 using the following Lemma.
Lemma 2.
For the exponential tandem queueing system M | M | 1 M | M | 1 , the probabilities of events A i , i = 1 , , 4 defined by (2)–(5) have the form of
p 1 = λ μ 1 + μ 2 λ , p 2 = λ ( μ 2 λ ) μ 1 ( μ 1 + μ 2 λ ) ,
p 3 = λ ( μ 1 λ ) μ 2 ( μ 1 + μ 2 λ ) , p 4 = μ 2 ( μ 1 λ ) ( μ 1 + μ 2 λ ) λ μ 1 ( μ 1 λ ) μ 1 μ 2 ( μ 1 + μ 2 λ ) .
Proof. 
See Appendix A. □
Finally, we present the following theorem determining the form of the PAoI LST, z ( s ) .
Theorem 2.
The LST z ( s ) is given by
z ( s ) = λ λ + s · μ 1 λ μ 1 λ + s · μ 2 λ μ 2 λ + s · 1 + λ s 2 ( μ 1 + s ) ( μ 2 + s ) ( μ 1 + μ 2 λ ) .
Proof. 
See Appendix B. □
Since the derived LST z ( s ) in Theorem 2 is a rational function of s, the Probability Density Function (PDF) f Z ( t ) can be obtained exactly via the inverse Laplace transform. We rewrite z ( s ) as a ratio of polynomials:
z ( s ) = Ω · Φ ( s ) Ψ ( s ) ,
where the constant Ω , the numerator polynomial Φ ( s ) , and the characteristic polynomial Ψ ( s ) are defined as
Ω = λ ( μ 1 λ ) ( μ 2 λ ) μ 1 + μ 2 λ ,
Φ ( s ) = ( μ 1 + s ) ( μ 2 + s ) ( μ 1 + μ 2 λ ) + λ s 2 ,
Ψ ( s ) = ( λ + s ) ( μ 1 λ + s ) ( μ 2 λ + s ) ( μ 1 + s ) ( μ 2 + s ) .
The roots of Ψ ( s ) correspond to five distinct poles of the system:
{ ϕ k } k = 1 5 = { λ , ( μ 1 λ ) , ( μ 2 λ ) , μ 1 , μ 2 } .
Using the Residue Theorem for distinct poles, the PDF is a sum of exponential functions:
f Z ( t ) = k = 1 5 C k e ϕ k t , t 0 .
The coefficients (residues) C k are calculated analytically by
C k = lim s ϕ k ( s ϕ k ) z ( s ) = Ω · Φ ( ϕ k ) j = 1 , j k 5 ( ϕ k ϕ j ) .
This formula provides the exact distribution of PAoI, enabling the direct calculation of tail probabilities without numerical inversion.

6. Moments of PAoI

The moments of the PAoI can be derived from its Laplace–Stieltjes Transform (LST), z ( s ) , using the standard moment-generating properties of the LST. The n-th moment is given by
E [ Z n ] = ( 1 ) n d n z ( s ) d s n s = 0 .
In particular, for the mean and the second moment, we have the following identities:
E [ Z ] = z ( 0 ) , E [ Z 2 ] = z ( 0 ) .
Using the expressions obtained, we can find the mean value of the PAoI
E [ Z ] = λ μ 1 + μ 2 λ 1 λ + 1 μ 1 λ + 1 μ 1 + 1 μ 2 λ + 1 μ 2 + + λ ( μ 2 λ ) μ 1 ( μ 1 + μ 2 λ ) 1 λ + 1 μ 1 λ + 1 μ 1 + 1 μ 2 + + λ ( μ 1 λ ) μ 2 ( μ 1 + μ 2 λ ) 1 λ + 1 μ 1 λ + 1 μ 1 + 1 μ 2 + + μ 2 ( μ 1 λ ) ( μ 1 + μ 2 λ ) λ μ 1 ( μ 1 λ ) μ 1 μ 2 ( μ 1 + μ 2 λ ) 1 λ + 1 μ 1 + 1 μ 2 = = 1 λ + 1 μ 1 λ + 1 μ 2 λ .
Next, we find the expression of the second moment, for which, we explicitly express the derivatives of the PAoI LST z ( s ) . The first derivative is expressed as
z ( s ) = λ λ + s μ 1 λ μ 1 λ + s μ 2 λ μ 2 λ + s 1 λ + s + 1 μ 1 λ + s + 1 μ 2 λ + s · · 1 + λ s 2 ( μ 1 + s ) ( μ 2 + s ) ( μ 1 + μ 2 λ ) λ μ 1 + μ 2 λ s ( 2 μ 1 μ 2 + s ( μ 1 + μ 2 ) ) ( μ 1 + s ) 2 ( μ 2 + s ) 2 ,
and the second derivative will take the form
z ( s ) = λ λ + s μ 1 λ μ 1 λ + s μ 2 λ μ 2 λ + s ( 1 λ + s + 1 μ 1 λ + s + 1 μ 2 λ + s · · [ 1 λ + s + 1 μ 1 λ + s + 1 μ 2 λ + s 1 + λ s 2 ( μ 1 + s ) ( μ 2 + s ) ( μ 1 + μ 2 λ ) λ μ 1 + μ 2 λ s ( 2 μ 1 μ 2 + s ( μ 1 + μ 2 ) ) ( μ 1 + s ) 2 ( μ 2 + s ) 2 ] 1 ( λ + s ) 2 + 1 ( μ 1 λ + s ) 2 + 1 ( μ 2 λ + s ) 2 · 1 + λ s 2 ( μ 1 + s ) ( μ 2 + s ) ( μ 1 + μ 2 λ ) + + λ μ 1 + μ 2 λ [ 1 λ + s + 1 μ 1 λ + s + 1 μ 2 λ + s · s ( 2 μ 1 μ 2 + s ( μ 1 + μ 2 ) ) ( μ 1 + s ) 2 ( μ 2 + s ) 2 ( μ 1 + s ) ( μ 2 + s ) ( μ 1 μ 2 + s ( μ 1 + μ 2 ) ) s ( 2 μ 1 μ 2 + s ( μ 1 + μ 2 ) ) ( μ 1 + μ 2 + 2 s ) ( μ 1 + s ) 4 ( μ 2 + s ) 4 · · 2 ( μ 1 + s ) ( μ 2 + s ) ] ) .
The second moment E [ Z 2 ] of the PAoI is expressed as
E [ Z 2 ] = z ( s ) s = 0 = 1 ( 1 λ + 1 μ 1 λ + 1 μ 2 λ [ 1 λ + 1 μ 1 λ + 1 μ 2 λ 1 + 0 0 ] 1 λ 2 + 1 ( μ 1 λ ) 2 + 1 ( μ 2 λ ) 2 1 + 0 + λ μ 1 + μ 2 λ · · 1 λ + 1 μ 1 λ + 1 μ 2 λ · 0 λ μ 1 + μ 2 λ · 2 μ 1 3 μ 2 3 μ 1 4 μ 2 4 ) .
Thus, we have the following expressions for the first and second moments of the PAoI in a tandem queueing system
E [ Z ] = 1 λ + 1 μ 1 λ + 1 μ 2 λ ,
E [ Z 2 ] = 1 λ + 1 μ 1 λ + 1 μ 2 λ 2 + 1 λ 2 + 1 ( μ 1 λ ) 2 + 1 ( μ 2 λ ) 2 + 2 λ μ 1 μ 2 ( μ 1 + μ 2 λ ) ,
from which, we can express the variance Var [ Z ] and standard deviation σ Z of PAoI.
Var [ Z ] = E [ Z 2 ] E [ Z ] 2 = 1 λ 2 + 1 ( μ 1 λ ) 2 + 1 ( μ 2 λ ) 2 + 2 λ μ 1 μ 2 ( μ 1 + μ 2 λ ) ,
σ Z = Var [ Z ] = 1 λ 2 + 1 ( μ 1 λ ) 2 + 1 ( μ 2 λ ) 2 + 2 λ μ 1 μ 2 ( μ 1 + μ 2 λ ) .
As a quick self-check, we can examine the first two Taylor series terms of the LST z ( s ) around s = 0 . A Taylor expansion yields
z ( s ) = 1 E [ Z ] s + 1 2 E [ Z 2 ] s 2 + O ( s 3 ) ,
where E [ Z ] and E [ Z 2 ] are given by (30) and (31), respectively. Substituting the expressions for E [ Z ] and E [ Z 2 ] confirms the consistency of our derived LST.
To minimize the average Peak Age of Information, we formulate the optimization problem with respect to the arrival rate λ , subject to the stability condition 0 < λ < min ( μ 1 , μ 2 ) . The objective function is defined by Equation (30):
min λ E [ Z ] ( λ ) = 1 λ + 1 μ 1 λ + 1 μ 2 λ .
subject to
λ > 0 ,
λ < min ( μ 1 , μ 2 ) .
To find the critical points, we take the derivative with respect to λ and set it to zero:
d E [ Z ] d λ = 1 λ 2 + 1 ( μ 1 λ ) 2 + 1 ( μ 2 λ ) 2 = 0 .
Rearranging terms, we isolate the arrival rate component:
1 ( μ 1 λ ) 2 + 1 ( μ 2 λ ) 2 = 1 λ 2 .
Multiplying by λ 2 ( μ 1 λ ) 2 ( μ 2 λ ) 2 to clear the denominators yields
λ 2 ( μ 2 λ ) 2 + λ 2 ( μ 1 λ ) 2 = ( μ 1 λ ) 2 ( μ 2 λ ) 2 .
Let S = μ 1 + μ 2 , and P = μ 1 μ 2 . Expanding both sides reveals that the fourth-order terms λ 4 and the third-order terms 2 S λ 3 on both sides cancel out. The resulting equation simplifies to a depressed quartic polynomial:
λ 4 4 P λ 2 + 2 P S λ P 2 = 0 .
Substituting back P = μ 1 μ 2 and S = μ 1 + μ 2 , the optimal arrival rate λ * is the unique real root of the following polynomial in the interval ( 0 , min ( μ 1 , μ 2 ) ) :
λ 4 4 μ 1 μ 2 λ 2 + 2 μ 1 μ 2 ( μ 1 + μ 2 ) λ μ 1 2 μ 2 2 = 0 .
Special case (symmetric system): If the service rates are equal ( μ 1 = μ 2 = μ ), the condition simplifies to 2 λ 2 = ( μ λ ) 2 , yielding the closed-form solution:
λ * = μ 1 + 2 0.414 μ .
This analytical result allows for precise system tuning without an exhaustive numerical search.

7. Case Study

Consider a two-hop wireless network based on DECT-2020, as shown in Figure 4. We analyze the network performance by focusing on the update process of a Portable Termination (PT) device. The PT generates updates according to a Poisson process and packs them into Transport Blocks (TBs) for transmission to a Fixed Termination (FT), with the transmission time following an exponential distribution. The FT receives the TBs and queues them for subsequent transmission to the sink, which also entails an exponentially distributed amount of time.
According to the ETSI standard [21], 60 TBs can be transmitted within a frame consisting of 12 time slots. Assuming that there are six homogeneous PTs associated with the FT, the mean transmission speed is 10 TBs per frame. Assuming the sink has two directly connected FT devices receiving data from 6 PT devices, the average transmission rate on the second hop is 5 TBs per frame. Therefore, we model the DECT-2020 network as an exponential tandem queueing system with μ 1 = 10 and μ 2 = 5 .
These rates are derived from the standard’s frame capacity. With a maximum of 60 Transport Blocks (TBs) per frame:
  • Hop 1 (PT to FT): Six PTs share the channel. Assuming fair resource division, the service rate is μ 1 60 / 6 = 10 updates/frame.
  • Hop 2 (FT to Sink): The sink supports multiple streams. The reduced rate μ 2 = 5 updates/frame reflects the effective throughput after accounting for backhaul contention at the concentration point.
The numerical validation was performed using a custom discrete-event simulation (DES). For each data point, the system was simulated for a horizon of T = 400,000 frames. A warm-up period of 1000 frames was discarded to remove transient initial conditions. The simulation parameters are summarized in Table 3.
To validate the analytical expressions, we conducted simulations in which the arrival rate λ was systematically varied to examine its influence on the system’s performance. The first and second moments of PAoI obtained from (30) and (31), respectively, are illustrated by solid red lines in Figure 5 along with blue circles representing the first and second moment of PAoI obtained from simulations. For each λ value used in simulations, we collect an empirical distribution of the PAoI and demonstrate a percentile-based interval for this distribution using vertical blue lines, so that 95% of the obtained PAoI values are within the bounds of the vertical line. The analytical model accurately captures the behavior of the system. In particular, the mean PAoI is estimated with a mean relative error of less than 1% and a maximum relative error of less than 5%. This agreement validates the theoretical framework and highlights its robustness in predicting PAoI under various load conditions.
As we mentioned earlier, the mean values without information about the deviation allow for limited analysis. For example, we consider a “three-sigma interval” from E [ Z ] to E [ Z ] + 3 σ Z in Figure 6, using (30) and (33). This interval serves as a metric for PAoI variability, covering approximately 99.7% of the probability mass if the distribution were normal, and provides a heuristic bound for the tail behavior.
To extend our analysis beyond the exponential assumption and formally validate the impact of service time variability, we conducted a rigorous statistical comparison. We simulated systems where service times follow Erlang and hyperexponential distributions alongside the baseline Exponential case, calculating the mean and standard deviation of the PAoI. For each configuration, we collected N = 50 independent batch means, where each batch consisted of 10,000 updates after a warm-up period of 500 updates.
An Erlang-distributed service time ( k = 5 ) implies that each update in each phase undergoes five sequential processing stages with exponentially distributed durations. For the first phase, the individual stage rate is set to 50, and for the second phase, it is set to 25, preserving the aggregate mean service rates of μ 1 = 10 and μ 2 = 5 . Technically, the Erlang distribution explicitly models the cumulative delay of multiple processing steps, such as wireless transmission, acknowledgment, digital-to-analog conversion, header addition, and data processing.
Conversely, the hyperexponential service time models a system with high variability. We assume that each update, with probability 0.5 , is processed at one of two distinct rates. In the first phase, these rates are 30 and 6; in the second phase, they are 15 and 6. From a DECT-2020 perspective, this distribution captures the stochastic nature of updates with different TB lengths or varying numbers of retransmissions required due to channel conditions.
We denote the mean PAoI for the systems with Erlang, hyperexponential, and exponential service times by E [ Z E r l ] , E [ Z H E x p ] , and E [ Z E x p ] , respectively. Similarly, σ E r l , σ H E x p , and σ E x p denote their standard deviations. While all three distributions share the same mean service time, they possess distinct coefficients of variation ( C v < 1 for Erlang, C v = 1 for Exponential, and C v > 1 for Hyperexponential).
First, we assessed the normality of the sample means using Q-Q plots. Figure 7 presents the Quantile–Quantile (Q-Q) plots for the sample means under low ( λ = 0.1 ), medium ( λ = 2.5 ), and high ( λ = 4.9 ) load conditions. While the distribution of means approximates normality in most regimes, deviations were observed at high loads due to the heavy-tailed nature of queueing delays near saturation. To ensure robustness, we employed two distinct statistical tests:
  • Welch’s t-test: a parametric test robust to heteroscedasticity (unequal variances).
  • Mann–Whitney U test: a non-parametric alternative that does not assume normality.
The results are summarized in Table 4. At low loads ( λ = 0.1 ), the p-values are high (>0.05), indicating no significant difference. This is physically expected, as queueing is negligible in this regime, and the PAoI is dominated by the mean service time, which is identical across all distributions. However, as the load increases ( λ 0.4 ), both tests consistently yield p-values well below the α = 0.05 threshold (with only exception of the Erlang distribution for λ = 0.4 , where the difference is also statictically insignificant), often reaching values as low as 10 20 . This confirms that the service time variance has a statistically significant impact on information freshness whenever queueing dynamics are present.
To optimize the information freshness, we formulate the minimization problem for the mean PAoI with respect to the arrival rate λ :
λ * = argmin 0 < λ < min ( μ 1 , μ 2 ) E [ Z ] ( λ ) ,
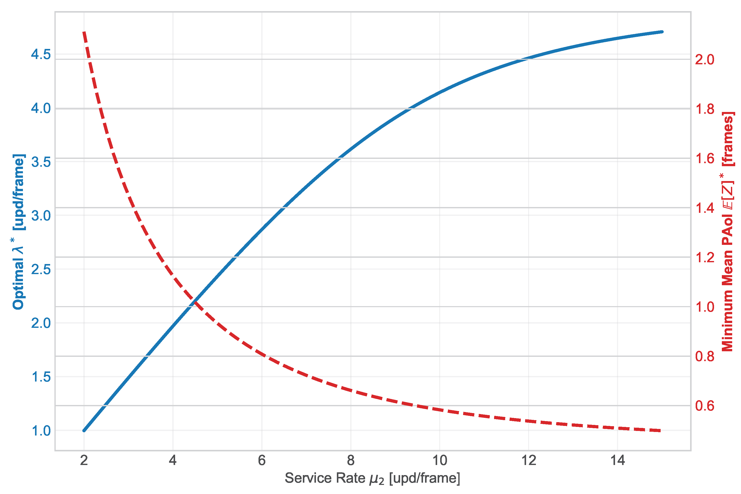
where E [ Z ] ( λ ) is given by Equation (30). Figure 8 illustrates the optimal arrival rate λ * obtained by solving the polynomial Equation (40) for varying bottleneck capacities μ 2 . As predicted by the analytical derivation, λ * increases non-linearly with μ 2 , allowing the system to support higher update frequencies and lower PAoI as the service capacity improves.

8. Discussion

This study provides a framework for the analysis of PAoI in a two-phase exponential queueing system that represents the DECT-2020 network segment. The key idea for the analysis is to divide updates into four mutually exclusive groups based on the system states they observe upon arrival to the corresponding queue: (1) both servers are busy, (2) the first server is busy, and the second is idle, (3) the first server is idle, and the second is busy, and (4) both servers are idle. Once the updates have been divided, and the probability of belonging to each group has been identified, the LST of the PAoI is calculated for each group of packets. Then, by grouping the PAoI of different updates according to the law of total probability, an LST for the complete PAoI is obtained. This result allows us to estimate not only the mean values but also the variance and full distribution of the metric. The closed-form expressions accurately describe the system behavior under various configurations, and the analytical results demonstrate close alignment with simulations, showing a relative error of less than 1%. Furthermore, the analysis highlights the impact of the service time coefficient of variation. The hyperexponential distribution, having a higher coefficient of variation than the exponential distribution, leads to a higher mean PAoI. Conversely, the Erlang distribution results in a lower mean PAoI due to its lower coefficient of variation.
This study has limitations. First, the assumption of infinite queue capacity ignores packet drops, which are critical in high-load scenarios. Second, while the exponential approximation allows for analytical tractability, it may overestimate the tail latency compared to the deterministic components of TDMA slots.
Future work will focus on the following: (1) extending the analytical framework to general G | G | 1 tandem networks to model deterministic service times more accurately; (2) analyzing the impact of finite buffer sizes on PAoI.

Author Contributions

Conceptualization, Y.G.; methodology, S.M.; software and visualization, Y.G., D.N. and Y.K.; validation, A. Zhivtsova, Y.K.; formal analysis and investigation, D.N.; writing, original draft preparation, and editing, A.Z. and D.N.; supervision, project administration, and funding acquisition Y.G. and Y.K. All authors have read and agreed to the published version of the manuscript.

Funding

This research is part of Strategic technological project “Complex of 6G Trusted Communication Systems Technologies” at HSE University (D. Nikolaev, A. Zhivtsova, and Y. Koucheryavy, Section 2, Section 5 and Section 7). The reported study was funded by RSF, project number 24-19-00804, https://rscf.ru/en/project/24-19-00804/ accessed on 19 December 2025 (Yu. Gaidamaka, Section 3 and Section 4).

Data Availability Statement

The original contributions presented in this study are included in the article. Further inquiries can be directed to the corresponding author.

Conflicts of Interest

The authors declare no conflicts of interest.

Appendix A. Proof for Lemma 2

Proof. 
We begin with the general expressions for the probabilities p 1 , p 2 , p 3 , and p 4 , given in Equations (2)–(5), and specialize them for the case where
  • The arrival process is Poisson with rate λ .
  • Service times at Phase 1 and Phase 2 are exponentially distributed with rates μ 1 and μ 2 , respectively.
  • Sojourn times T 1 and T 2 are exponentially distributed with parameters μ 1 λ and μ 2 λ , respectively.
Let us start by simplifying p 1 .
The general form of p 1 is
p 1 = 0 G ( t 1 ) d T 1 ( t 1 ) × 0 B 1 ( t 2 ) d T 2 ( t 2 ) .
For exponential distributions,
G ( t 1 ) = 1 e λ t 1 , B 1 ( t 2 ) = 1 e μ 1 t 2 .
The first integral becomes
E [ G ( T 1 ) ] = 1 E [ e λ T 1 ] = 1 μ 1 λ μ 1 λ + λ = λ μ 1 .
The second integral becomes
E [ B 1 ( T 2 ) ] = 1 E [ e μ 1 T 2 ] = 1 μ 2 λ μ 2 λ + μ 1 = μ 1 μ 1 + μ 2 λ .
Thus,
p 1 = λ μ 1 × μ 1 μ 1 + μ 2 λ = λ μ 1 + μ 2 λ .
Then, we simplify p 2 . The general form of p 2 is
p 2 = 0 G ( t 1 ) d T 1 ( t 1 ) × 0 ( 1 B 1 ( t 2 ) ) d T 2 ( t 2 ) .
The first term remains the same
E [ G ( T 1 ) ] = λ μ 1 .
The second term becomes
E [ 1 B 1 ( T 2 ) ] = 1 μ 1 μ 1 + μ 2 λ = μ 2 λ μ 1 + μ 2 λ .
Thus,
p 2 = λ μ 1 × μ 2 λ μ 1 + μ 2 λ = λ ( μ 2 λ ) μ 1 ( μ 1 + μ 2 λ ) .
Next, we proceed with p 4 . The event A 4 occurs when
  • The first server is idle ( G > T 1 ).
  • The second server is idle ( G + B 1 > T 1 + T 2 G > T 1 ).
Let us define X = G T 1 . Since G > T 1 in the event A 4 , it follows that X > 0 . The condition for the event A 4 can then be expressed as
p 4 = P X > 0 · P X + B 1 > T 2 X > 0 =
= P X + B 1 > T 2 X > 0 P X > 0 · P X > 0 = P X + B 1 > T 2 X > 0 .
Here, X = G T 1 , where G Exp ( λ ) , and T 1 Exp ( μ 1 λ ) . To compute the probability, we first derive the distribution of X, which is the difference of two independent exponential random variables. For X > 0 , the PDF of X is
f X ( x ) = 0 G ( t 1 + x ) T 1 ( t 1 ) d t 1 ,
where G ( t ) = λ e λ t , and T 1 ( t ) = ( μ 1 λ ) e ( μ 1 λ ) t . Substituting these expressions,
f X ( x ) = 0 λ e λ ( t 1 + x ) ( μ 1 λ ) e ( μ 1 λ ) t 1 d t 1 .
We simplify
f X ( x ) = λ ( μ 1 λ ) e λ x 0 e ( λ + μ 1 λ ) t 1 d t 1 = λ ( μ 1 λ ) e λ x 0 e μ 1 t 1 d t 1 .
The integral is evaluated as
0 e μ 1 t 1 d t 1 = 1 μ 1 .
Thus,
f X ( x ) = λ ( μ 1 λ ) μ 1 e λ x , x > 0 .
Then, the probability P X > 0 can be obtained as
P X > 0 = 0 f X ( x ) d x = λ ( μ 1 λ ) λ μ 1 ( 0 1 ) = μ 1 λ μ 1 .
Next, we calculate P X + B 1 > T 2 X > 0 , where B 1 Exp ( μ 1 ) , T 2 Exp ( μ 2 λ ) , and X , B 1 , and T 2 are independent. Since T 2 is exponential,
P T 2 < X + B 1 X > 0 = x = 0 u = 0 P T 2 < x + u f X ( x ) d x d B 1 ( u ) =
= 0 f X ( x ) d x 0 e ( μ 2 λ ) x f X ( x ) d x · 0 e ( μ 2 λ ) u B 1 ( u ) d u .
Thus,
P X + B 1 > T 2 X > 0 = μ 1 λ μ 1 E [ e ( μ 2 λ ) X ] · E [ e ( μ 2 λ ) B 1 ] ,
where independence allows factorization. Using the PDF of X
E [ e ( μ 2 λ ) X ] = 0 e ( μ 2 λ ) x · λ ( μ 1 λ ) μ 1 e λ x d x .
We combine exponents
E [ e ( μ 2 λ ) X ] = λ ( μ 1 λ ) μ 1 0 e ( μ 2 λ + λ ) x d x = λ ( μ 1 λ ) μ 1 0 e μ 2 x d x .
Thus,
E [ e ( μ 2 λ ) X ] = λ ( μ 1 λ ) μ 1 μ 2 .
Since B 1 Exp ( μ 1 ) , the Laplace transform of B 1 in s = μ 2 λ is
E [ e ( μ 2 λ ) B 1 ] = μ 1 μ 1 + ( μ 2 λ ) = μ 1 μ 1 + μ 2 λ .
Substitute the expectations into P X + B 1 > T 2 X > 0
P X + B 1 > T 2 X > 0 = μ 1 λ μ 1 λ ( μ 1 λ ) μ 1 μ 2 · μ 1 μ 1 + μ 2 λ .
Simplifying, we obtain the probability p 4
p 4 = P X + B 1 > T 2 X > 0 = μ 1 λ μ 1 · μ 2 ( μ 1 + μ 2 λ ) λ μ 1 μ 2 ( μ 1 + μ 2 λ ) .
Finally, by analogy with the event A 4 , the probability of event A 3 is defined as
p 3 = P X + B 1 T 2 X > 0 .
Since the only difference in the expression of the joint probability is in the first event X + B 1 T 2 , which is additional to X + B 1 > T 2 , the probabilities p 3 and p 4 will sum up to give the probability of the event P X > 0 . Thus, substituting the previously derived result for p 4 , we obtain
p 3 = μ 1 λ μ 1 p 4 = μ 1 λ μ 1 μ 1 λ μ 1 + λ ( μ 1 λ ) μ 1 μ 2 · μ 1 μ 1 + μ 2 λ ,
which results in the following expression
p 3 = λ ( μ 1 λ ) μ 2 ( μ 1 + μ 2 λ ) .

Appendix B. Proof for Theorem 2

Proof. 
Starting from Theorem 1, we substitute the expressions for p i (Lemma 2) and the conditional LSTs z i ( s ) . Factoring out the common terms λ λ + s μ 1 μ 1 + s μ 2 μ 2 + s and the normalization constant C = 1 μ 1 + μ 2 λ , the LST z ( s ) can be grouped as
z ( s ) = C · λ λ + s μ 1 μ 1 + s μ 2 μ 2 + s · λ ( μ 1 λ ) ( μ 2 λ ) ( μ 1 λ + s ) ( μ 2 λ + s ) + + λ ( μ 2 λ ) μ 1 ( μ 1 λ + s ) + λ ( μ 1 λ ) μ 2 ( μ 2 λ + s ) + p 4 · μ 1 μ 2 C .
Through algebraic simplification and combining fractions over the common denominator ( μ 1 λ + s ) ( μ 2 λ + s ) , the terms in the brackets reduce to
[ ] = ( μ 1 + μ 2 λ ) μ 1 λ μ 1 λ + s · μ 2 λ μ 2 λ + s 1 + λ s 2 ( μ 1 + s ) ( μ 2 + s ) ( μ 1 + μ 2 λ ) .
Substituting this back yields the final expression in Theorem 2. □

References

  1. Kosta, A.; Pappas, N.; Angelakis, V. Age of Information: A New Concept, Metric, and Tool. Found. Trends Netw. 2018, 12, 162–259. [Google Scholar] [CrossRef]
  2. ETSI. DECT-2020 New Radio (NR); Part 1: Overview; TS 103 636-1 v1.5.1; ETSI: Sophia Antipolis, France, 2024. [Google Scholar]
  3. Jiang, N.; Yan, S.; Liu, Z.; Hu, C.; Peng, M. Communication and Computation Assisted Sensing Information Freshness Performance Analysis in Vehicular Networks. In Proceedings of the 2022 IEEE International Conference on Communications Workshops (ICC Workshops), Seoul, Republic of Korea, 16–20 May 2022; pp. 969–974. [Google Scholar] [CrossRef]
  4. Asvadi, S.; Ashtiani, F. Evaluating Peak Age-of-Information via Stochastic Hybrid Systems. IEEE Trans. Veh. Technol. 2023, 72, 16923–16928. [Google Scholar] [CrossRef]
  5. Cao, X.; Zhang, H.; Peng, M. Collaborative multiple access and energy-efficient resource allocation in distributed maritime wireless networks. China Commun. 2022, 19, 137–153. [Google Scholar] [CrossRef]
  6. Dürre, J.; Werner, N. DECT-2020 NR for Professional Live Audio: Design Space Exploration and Practical Evaluation. In Proceedings of the 2024 IEEE 5th International Symposium on the Internet of Sounds (IS2), Erlangen, Germany, 30 September–2 October 2024; pp. 1–7. [Google Scholar] [CrossRef]
  7. Samuylov, A.; Moltchanov, D.; Gaydamaka, A.; Lyczkowski, E.; Frotzscher, A.; von Schoettler, F.; Pirskanen, J.; Numminen, J.; Salokannel, J.; Llaguno, E.; et al. Empowering Near-URLLC IoT with 5G DECT-2020 NR: Current State and the Road Ahead. IEEE Commun. Mag. 2025, 63, 130–136. [Google Scholar] [CrossRef]
  8. Kovalchukov, R.; Moltchanov, D.; Pirskanen, J.; Säe, J.; Numminen, J.; Koucheryavy, Y.; Valkama, M. DECT-2020 New Radio: The Next Step toward 5G Massive Machine-Type Communications. IEEE Commun. Mag. 2022, 60, 58–64. [Google Scholar] [CrossRef]
  9. Kam, C.; Molnar, J.P.; Kompella, S. Age of Information for Queues in Tandem. In Proceedings of the MILCOM 2018—2018 IEEE Military Communications Conference (MILCOM), Los Angeles, CA, USA, 29–31 October 2018; pp. 1–6. [Google Scholar] [CrossRef]
  10. Kam, C.; Kompella, S. On the age of information for non-preemptive queues in tandem. Front. Commun. Netw. 2022, 3, 932111. [Google Scholar] [CrossRef]
  11. Sinha, A.; Singhvi, S.; Mankar, P.D.; Dhillon, H.S. Peak Age of Information under Tandem of Queues. In Proceedings of the 2024 IEEE International Symposium on Information Theory (ISIT), Athens, Greece, 7–12 July 2024. [Google Scholar] [CrossRef]
  12. Chiariotti, F.; Vikhrova, O.; Soret, B.; Popovski, P. Peak Age of Information Distribution in Tandem Queue Systems. arXiv 2020, arXiv:2004.05088. [Google Scholar] [CrossRef]
  13. Koukoutsidis, I. Age of Information in an Overtake-Free Network of Quasi-Reversible Queues. In Proceedings of the 2020 28th International Symposium on Modeling, Analysis, and Simulation of Computer and Telecommunication Systems (MASCOTS), Nice, France, 17–19 November 2020; pp. 1–6. [Google Scholar] [CrossRef]
  14. Champati, J.P.; Al-Zubaidy, H.; Gross, J. Statistical Guarantee Optimization for AoI in Single-Hop and Two-Hop FCFS Systems With Periodic Arrivals. IEEE Trans. Commun. 2021, 69, 365–381. [Google Scholar] [CrossRef]
  15. Senthilkumar, M.; Dadlani, A.; Tabassum, H. Age of Information in Unreliable Tandem Queues. IEEE Commun. Lett. 2025, 29, 2308–2312. [Google Scholar] [CrossRef]
  16. Rafiee, P.; Zou, P.; Ozel, O.; Subramaniam, S. Maintaining Information Freshness in Power-Efficient Status Update Systems. In Proceedings of the IEEE INFOCOM 2020—IEEE Conference on Computer Communications Workshops (INFOCOM WKSHPS), Virtual, 6–9 July 2020; pp. 31–36. [Google Scholar] [CrossRef]
  17. Li, H.; Gong, G.; Zhang, J.; Zhao, H.; Zhou, L.; Wei, J. Analysis on Age of Information in Partial Computing Edge Computing Systems with Multi Source-Destination Pairs. In Proceedings of the 2022 IEEE 96th Vehicular Technology Conference (VTC2022-Fall), Beijing, China, 26–29 September 2022; pp. 1–7. [Google Scholar] [CrossRef]
  18. Qin, X.; Li, Y.; Song, X.; Ma, N.; Huang, C.; Zhang, P. Timeliness of Information for Computation-Intensive Status Updates in Task-Oriented Communications. IEEE J. Sel. Areas Commun. 2023, 41, 623–638. [Google Scholar] [CrossRef]
  19. Burke, P.J. The Output of a Queuing System. Oper. Res. 1956, 4, 699–704. [Google Scholar] [CrossRef]
  20. Reich, E. Note on Queues in Tandem. Ann. Math. Stat. 1963, 34, 338–341. [Google Scholar] [CrossRef]
  21. ETSI. DECT-2020 New Radio (NR); Part 2: Radio Reception and Transmission Requirements; Release 1; TS 103 636-2 v1.5.1; ETSI: Sophia Antipolis, France, 2024. [Google Scholar]
Figure 1. Tandem queueing system M | M | 1 M | M | 1 .
Figure 1. Tandem queueing system M | M | 1 M | M | 1 .
Mathematics 14 00186 g001
Figure 2. Example of a tandem queueing system M | M | 1 M | M | 1 realization for four different events that form an exhaustive events.
Figure 2. Example of a tandem queueing system M | M | 1 M | M | 1 realization for four different events that form an exhaustive events.
Mathematics 14 00186 g002
Figure 3. Logic tree for classifying updates into four mutually exclusive events A 1 A 4 .
Figure 3. Logic tree for classifying updates into four mutually exclusive events A 1 A 4 .
Mathematics 14 00186 g003
Figure 4. Considered example of DECT-2020 network.
Figure 4. Considered example of DECT-2020 network.
Mathematics 14 00186 g004
Figure 5. Validation of analytical models against simulation results: (Left) Mean PAoI E [ Z ] ; (Right) second moment E [ Z 2 ] . Error bars (vertical blue lines) indicate 95% percentile-based intervals, so that 95% of the obtained PAoI/squared PAoI values are within the bounds of the vertical lines.
Figure 5. Validation of analytical models against simulation results: (Left) Mean PAoI E [ Z ] ; (Right) second moment E [ Z 2 ] . Error bars (vertical blue lines) indicate 95% percentile-based intervals, so that 95% of the obtained PAoI/squared PAoI values are within the bounds of the vertical lines.
Mathematics 14 00186 g005
Figure 6. PAoI variability interval, defined as the range E Z ± 3 σ Z . This interval captures the empirical spread of the update ages.
Figure 6. PAoI variability interval, defined as the range E Z ± 3 σ Z . This interval captures the empirical spread of the update ages.
Mathematics 14 00186 g006
Figure 7. Q-Q plots of mean PAoI samples for Exponential, Erlang, and Hyperexponential distributions at various arrival rates ( λ ). The axes represent standard deviations ( σ ) from the mean.
Figure 7. Q-Q plots of mean PAoI samples for Exponential, Erlang, and Hyperexponential distributions at various arrival rates ( λ ). The axes represent standard deviations ( σ ) from the mean.
Mathematics 14 00186 g007
Figure 8. Optimal arrival rate λ * (left axis) and corresponding minimum mean PAoI (right axis) as a function of the service rate μ 2 , derived from the roots of the characteristic quartic polynomial.
Figure 8. Optimal arrival rate λ * (left axis) and corresponding minimum mean PAoI (right axis) as a function of the service rate μ 2 , derived from the roots of the characteristic quartic polynomial.
Mathematics 14 00186 g008
Table 1. Mapping DECT-2020 features to mathematical model.
Table 1. Mapping DECT-2020 features to mathematical model.
DECT-2020 FeatureModel AssumptionJustification
TDMA frame (10 ms) with dynamic slot allocationContinuous time serverAt the network layer, the aggregation of asynchronous packet arrivals and random resource access behaves as a continuous server with variable rate.
HARQ retransmissionsExponential service timeThe exponential distribution provides a maximum-entropy approximation for service times with positive support and known mean.
Mesh routing (multi-hop)Tandem queueData traverses the Fixed Termination (FT) node before reaching the sink, creating a sequential service chain.
Table 2. PAoI for different update groups.
Table 2. PAoI for different update groups.
Observed
States (Event)
ConditionPAoI for Updates That Observed This EventLST of PAoI for Updates Observed This Event
A 1 G T 1 and B 1 T 2 Z 1 = G + T ^ 1 + T ^ 2 z 1 ( s ) = α ( s ) θ ^ 1 ( s ) θ ^ 2 ( s )
A 2 G T 1 and B 1 > T 2 Z 2 = G + T ^ 1 + B 2 z 2 ( s ) = α ( s ) θ ^ 1 ( s ) β 2 ( s )
A 3 G > T 1 and
G + B 1 T 1 + T 2
Z 3 = G + B 1 + T ^ 2 z 3 ( s ) = α ( s ) β 1 ( s ) θ ^ 2 ( s )
A 4 G > T 1 and
G + B 1 > T 1 + T 2
Z 4 = G + B 1 + B 2 z 4 ( s ) = α ( s ) β 1 ( s ) β 2 ( s )
Table 3. Simulation parameters.
Table 3. Simulation parameters.
ParameterValue
Service rate μ 1 (PT to FT)10 [upd/frame]
Service rate μ 2 (FT to Sink)5 [upd/frame]
Simulation duration400,000 [frames]
“Warm-up” period1000 [frames]
Table 4. Mean PAoI comparison with statistical significance tests ( N = 50 independent runs). p W denotes the p-value from Welch’s t-test and p U from the Mann–Whitney U test.
Table 4. Mean PAoI comparison with statistical significance tests ( N = 50 independent runs). p W denotes the p-value from Welch’s t-test and p U from the Mann–Whitney U test.
λ Exp (Base)Erlang ( k = 5 )HExp ( SCV = 4 )
Mean Std Mean Std p W p U Mean Std p W p U
0.110.410.3010.320.320.200.1310.310.310.120.04
0.42.820.042.820.04 0.99 0.972.840.04 2.5 × 10 3 2.7 × 10 3
0.81.600.011.570.01 1.1 × 10 11 3.2 × 10 10 1.670.02 2.9 × 10 37 7.1 × 10 18
1.11.280.011.250.01 1.6 × 10 35 9.0 × 10 18 1.390.02 1.1 × 10 45 7.1 × 10 18
1.41.110.011.070.01 2.0 × 10 53 7.1 × 10 18 1.260.02 1.5 × 10 59 7.1 × 10 18
1.71.010.010.950.00 2.3 × 10 70 7.1 × 10 18 1.210.02 2.9 × 10 52 7.1 × 10 18
2.00.960.010.880.00 8.5 × 10 71 7.1 × 10 18 1.210.02 8.5 × 10 57 7.1 × 10 18
2.30.940.010.840.00 3.4 × 10 76 7.1 × 10 18 1.250.03 6.4 × 10 56 7.1 × 10 18
2.70.940.010.820.00 3.1 × 10 75 7.1 × 10 18 1.390.05 9.5 × 10 52 7.1 × 10 18
3.00.980.010.820.01 8.3 × 10 76 7.1 × 10 18 1.540.06 2.6 × 10 53 7.1 × 10 18
3.31.040.010.850.01 5.3 × 10 77 7.1 × 10 18 1.750.08 2.3 × 10 51 7.1 × 10 18
3.61.150.020.900.01 9.0 × 10 66 7.1 × 10 18 2.080.09 1.1 × 10 55 7.1 × 10 18
3.91.330.030.990.02 1.5 × 10 63 7.1 × 10 18 2.570.19 7.2 × 10 44 7.1 × 10 18
4.21.650.061.180.03 6.2 × 10 54 7.1 × 10 18 3.500.29 6.0 × 10 44 7.1 × 10 18
4.52.430.181.590.09 2.0 × 10 42 7.1 × 10 18 5.360.78 6.0 × 10 32 7.1 × 10 18
4.73.740.512.400.20 1.1 × 10 25 7.5 × 10 18 8.851.98 3.5 × 10 24 7.5 × 10 18
Disclaimer/Publisher’s Note: The statements, opinions and data contained in all publications are solely those of the individual author(s) and contributor(s) and not of MDPI and/or the editor(s). MDPI and/or the editor(s) disclaim responsibility for any injury to people or property resulting from any ideas, methods, instructions or products referred to in the content.

Share and Cite

MDPI and ACS Style

Nikolaev, D.; Zhivtsova, A.; Matyushenko, S.; Gaidamaka, Y.; Koucheryavy, Y. Modeling DECT-2020 as a Tandem Queueing System and Its Application to the Peak Age of Information Analysis. Mathematics 2026, 14, 186. https://doi.org/10.3390/math14010186

AMA Style

Nikolaev D, Zhivtsova A, Matyushenko S, Gaidamaka Y, Koucheryavy Y. Modeling DECT-2020 as a Tandem Queueing System and Its Application to the Peak Age of Information Analysis. Mathematics. 2026; 14(1):186. https://doi.org/10.3390/math14010186

Chicago/Turabian Style

Nikolaev, Dmitry, Anna Zhivtsova, Sergey Matyushenko, Yuliya Gaidamaka, and Yevgeni Koucheryavy. 2026. "Modeling DECT-2020 as a Tandem Queueing System and Its Application to the Peak Age of Information Analysis" Mathematics 14, no. 1: 186. https://doi.org/10.3390/math14010186

APA Style

Nikolaev, D., Zhivtsova, A., Matyushenko, S., Gaidamaka, Y., & Koucheryavy, Y. (2026). Modeling DECT-2020 as a Tandem Queueing System and Its Application to the Peak Age of Information Analysis. Mathematics, 14(1), 186. https://doi.org/10.3390/math14010186

Note that from the first issue of 2016, this journal uses article numbers instead of page numbers. See further details here.

Article Metrics

Back to TopTop