Cooperative Control Approach for Library Group Therapy with Constraint Conditions
Abstract
1. Introduction
2. Main Results
2.1. Graph Theory
2.2. Problem Formulation
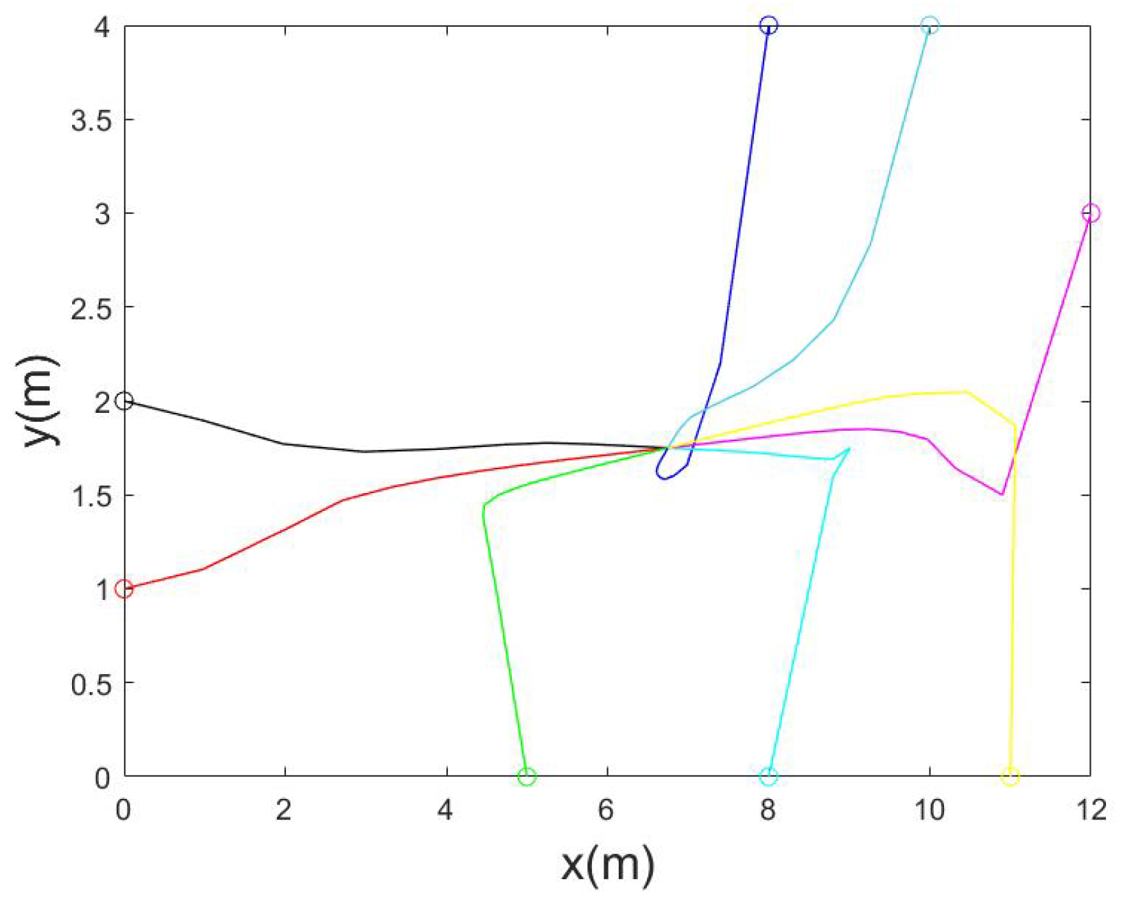
3. Simulations
4. Conclusions
Author Contributions
Funding
Data Availability Statement
Conflicts of Interest
References
- Jiří, K.; Miroslav, C.; Libuše, L. Czech Arts Therapies in Educational Institutions. Educ. Sci. 2019, 9, 82. [Google Scholar] [CrossRef]
- Chae, Y. A Study on the Self-growth Process of the Graduate School of Counseling through the Group Art Therapy Class. Korea Open Access J. 2019, 9, 1–21. [Google Scholar]
- Shir, H.; Dafna, R.; Sharon, S.; Racheli, R. Perceptions of Art Therapy in Adolescent Clients Treated within the School System. Front. Psychol. 2020, 11, 518304. [Google Scholar]
- Theresa, V.L.; Andrea, C.; Scott, M.P.; Gregg, D.S.; Megan, B. Mindfulness based art therapy study protocol to determine efficacy in reducing college stress and anxiety. BMC Psychol. 2021, 9, 134. [Google Scholar]
- Tal, S.; Hod, O.; Felicity, A.B.; David, G.; Girija, K. Editorial: The State of the Art in Creative Arts Therapies. Front. Psychol. 2020, 11, 68. [Google Scholar]
- Elizabeth, W. Novel Solutions to Student Problems: A Phenomenological Exploration of a Single Session Approach to Art Therapy with Creative Arts University Students. Front. Psychol. 2021, 11, 600214. [Google Scholar]
- Jennifer, L.B.; McFerran, K.S. Musical recovery: The role of group singing in regaining healthy relationships with music to promote mental health recovery. Nord. J. Music. Ther. 2018, 27, 235–251. [Google Scholar]
- Marziali, E.; Munroe-Blum, H.; McCleary, L. The contribution of group cohesion and group alliance to the outcome of group psychotherapy. Int. J. Group Psychother. 1997, 47, 475–497. [Google Scholar] [CrossRef]
- Burlingame, G.M.; McClendon, D.T.; Alonso, J. Cohesion in group therapy. Psychotherapy 2011, 48, 34–42. [Google Scholar] [CrossRef]
- Wang, J. Investigation and Analysis on the Status Quo of Reading Therapy Practice in Chinese University Libraries. J. Natl. Libr. China 2021, 30, 75–82. [Google Scholar]
- Degroot, M.H. Reaching a consensus. J. Am. Stat. Assoc. 1974, 69, 118–121. [Google Scholar] [CrossRef]
- Reynolds, C.W. Flocks, herds and schools: A distributed behavioral model. ACM SIGGRAPH Comput. Graph. 1987, 21, 25–34. [Google Scholar] [CrossRef]
- Vicsek, T.; Czirok, A.; Jacob, E.B. Novel type of phase transaction in a system of self-driven particles. Phys. Rev. Lett. 1995, 75, 1226–1229. [Google Scholar] [CrossRef] [PubMed]
- Xie, S. Collaborative Information Behavior between Subject Libraries and Researchers Based on Embedded Scientific Research Service. Inf. Stud. Theory Appl. 2017, 40, 88–92. [Google Scholar]
- Song, X.; Li, L.; Wei, Y. Research on Data Curation Embedded Librarianship Model in the Research Context in College and University Libraries. Res. Libr. Sci. 2020, 3, 54–60. [Google Scholar]
- Zhang, Y.; Wang, H.; Li, G.; Du, X.; Wang, Q. E-Reserves Service of University Library Embedded in Digital Campus from the Perspective of “Information Collaboration”. J. Acad. Libr. 2022, 40, 27–35. [Google Scholar]
- Liu, Y. Data Mining of University Library Management Based on Improved Collaborative Filtering Association Rules Algorithm. Wirel. Pers. Commun. 2018, 102, 3781–3790. [Google Scholar] [CrossRef]
- Jung, Y.; Ju, L.E. A Study on the Development of Creative and Cooperative Learning Spaces for University Libraries in Korea. J. Korean Libr. Inf. Sci. Soc. 2020, 51, 201–225. [Google Scholar]
- Bai, S. Analysis and Reflections on Abnormal Collaborative Information Behavior in Smart Libraries. Inf. Stud. Theory Appl. 2022, 45, 146–151+145. [Google Scholar]
- Lin, P.; Ren, W.; Gao, H. Distributed velocity-constrained consensus of discrete-time multi-agent systems with nonconvex constraints, switching topologies, and delays. IEEE Trans. Autom. Control 2017, 62, 5788–5794. [Google Scholar] [CrossRef]
- Lin, P.; Tian, Y.; Gui, G.; Yang, C. Cooperative control for multiple train systems: Self-adjusting zones, collision avoidance and constraints. Automatica 2022, 144, 110470. [Google Scholar] [CrossRef]
- Libraries of Emotions. “Libraries of Emotions” Project Website. 2022. Available online: http://librariesofemotions.eu/ (accessed on 6 September 2022).
- Wang, M. Experiment and Trend of “Interactive Reading Therapy”: A Case of the Reading Promotion Work of Shandong University of Technology Library. Libr. Work. Coll. Univ. 2017, 37, 23–26. [Google Scholar]
- Lin, P.; Xu, J.; Ren, W.; Yang, C.; Gui, W. Angle-based analysis approach for distributed constrained optimization. IEEE Trans. Autom. Control 2021, 66, 5569–5576. [Google Scholar] [CrossRef]






Disclaimer/Publisher’s Note: The statements, opinions and data contained in all publications are solely those of the individual author(s) and contributor(s) and not of MDPI and/or the editor(s). MDPI and/or the editor(s) disclaim responsibility for any injury to people or property resulting from any ideas, methods, instructions or products referred to in the content. |
© 2025 by the authors. Licensee MDPI, Basel, Switzerland. This article is an open access article distributed under the terms and conditions of the Creative Commons Attribution (CC BY) license (https://creativecommons.org/licenses/by/4.0/).
Share and Cite
Yang, L.; Xu, J.; Zhang, W. Cooperative Control Approach for Library Group Therapy with Constraint Conditions. Mathematics 2025, 13, 1363. https://doi.org/10.3390/math13091363
Yang L, Xu J, Zhang W. Cooperative Control Approach for Library Group Therapy with Constraint Conditions. Mathematics. 2025; 13(9):1363. https://doi.org/10.3390/math13091363
Chicago/Turabian StyleYang, Lingyu, Jiahao Xu, and Wenguang Zhang. 2025. "Cooperative Control Approach for Library Group Therapy with Constraint Conditions" Mathematics 13, no. 9: 1363. https://doi.org/10.3390/math13091363
APA StyleYang, L., Xu, J., & Zhang, W. (2025). Cooperative Control Approach for Library Group Therapy with Constraint Conditions. Mathematics, 13(9), 1363. https://doi.org/10.3390/math13091363
