Abstract
The main objective of this study was to identify the undetermined source term (ST) in a fractional space-time scattering equation with multiple terms, using data obtained from the most recent observations. To address this complex problem, we reformulated the equation by adopting a regularization-based optimization approach. This methodology not only makes it possible to determine the existence of a single minimum solution, but also to assess its stability. In the numerical context, we estimate and approach the function (ST) by applying the Levenberg–Marquardt regularization method, a powerful tool for solving inverse problems. In order to demonstrate the effectiveness of the proposed approach, we performed numerical simulations in one-dimensional and two-dimensional scenarios. These simulations illustrate our method’s ability to process complex data and provide accurate and stable solutions. Through this extended approach, we aimed to discover the single source term in a multi-term space-time fractional scattering equation, ensuring robust and reliable results, supported by the most recent observational data.
Keywords:
fractional equation of time and space; fractional Laplacian; inverse source term; regularization method; optimization problem MSC:
35R30; 47A52; 35R11; 49N30; 34K28
1. Introduction
The inverse problem for differential equations is an important field of study with a wide range of applications in various practical sciences. Over the past few decades, many theoretical and computational methods have been developed to solve and evaluate different types of partial differential problem. More precisely, the reconstruction of the source term (ST) in fractional differential equations (FCEs) represents a particularly complex mathematical and computational problem. This task consists of determining an unknown input source or function based on the observed data of the solution of a fractional differential equation [1,2].
This complex problem has important implications and applications in several scientific and technical fields. For example, in medical imaging and biomathematics, the inverse problem helps develop models to better understand biological processes and improve imaging techniques. In environmental science and geophysics, it is used to model and predict natural phenomena, such as groundwater flow and seismic activities [3,4].
In the field of electrochemistry, solving the inverse problem for EDFs helps understand and optimize electrochemical processes [5,6]. Similarly, in economics and finance, these methods are applied to model financial markets and forecast economic trends [7,8].
In general, the ability to reconstruct the source term in fractional differential equations is crucial for advancing knowledge and technology in these varied fields. The Levenberg–Marquardt regularization method is one of the techniques used to obtain precise and stable solutions to these complex inverse problems, highlighting the continued importance of developing robust computational approaches [9,10,11].
For background, the inverse problem for differential equations has wide applications in a variety of practical sciences, and multiple theoretical and computational approaches to solving and evaluating various types of partial differential problems have been developed in the literature during the last few decades [12,13]. Reconstructing the ST in fractional differential equations (FDEs) is a challenging mathematical and computational problem that involves determining an unknown source or input function based on observed data of the solution to a fractional differential equation. This problem has several applications across various scientific and engineering fields, where it is necessary to infer or estimate the source or driving function behind observed phenomena. Here are some applications of the inverse source problem for FDEs: medical imaging and biomathematics, environmental science and geophysics, electrochemistry, economics and finance.
For example, this inverse source problem has been studied in various aspects on a large scale. X. Yan et al. [14] consider a non-stationary iterative Tikhonov regularization method combined with a finite-dimensional approximation to find the space-dependent ST in a multi-dimensional time-fractional diffusion-wave equation from a part of noisy boundary data. T. Wei et al. [15] proposed a conjugate gradient algorithm to identify the time-dependent ST in a multi-dimensional time-fractional diffusion equation from boundary Cauchy data. In [16], Y. S. Li et al. study the identification of a time-dependent ST in a time-space fractional diffusion-wave equation by utilizing additional measurements of the solute concentration distribution either at a point along the boundary or within the solution domain. M. Chang [17] proposed the Landweber iterative regularization method to reconstruct the ST in a multi-term time-fractional diffusion equation. The task is to extract this equation from noisy final data within a general bounded domain. In the next section, we consider the following problem:
where:
- is an open set with bounded limits;
- For a given positive integer p, let and be positive constants such that
- is the Djrbashian–Caputo fractional derivative in time of order defined by:where the function is defined by ;
- The fractional operator is defined in the standard manner and can be expressed using the Laplace operator. This representation utilizes the spectral decomposition for .
For the Laplacian operator , we denote the eigenvectors and eigenvalues such that
We select the following:
Hence, we can write
The eigenvalues and eigenfunctions are determined by the boundary conditions and geometry of the domain . In a rectangular domain, for example, they can be analytically derived using the separation of variables method.
For intricate geometries, numerical techniques such as finite element analysis and spectral methods are frequently employed to compute eigenfunctions and eigenvalues. The spectral decomposition of the Laplace operator serves as a fundamental concept in the analysis of partial differential equations, with significant applications across disciplines such as physics, engineering, and applied mathematics. This approach provides a robust framework for addressing the boundary value and eigenvalue problems, offering valuable insights into the behavior of differential equation solutions across diverse domains [18].
This paper aims to incorporate space-dependent ST into a multi-term time-fractional diffusion equation. The primary objective is to reconstruct the spatially varying source term based on the final observation data in both the one- and two-dimensional cases. The inverse problem associated with the multi-term time-space fractional diffusion equation was addressed computationally using the Levenberg–Marquardt regularization technique.
Existing studies like [19,20] focus on recovering an unknown space-dependent source term in fractional diffusion equations. This study extends the analysis to a multi-term fractional scattering equation in space-time, thus providing a more generalized structure. A key contribution of this work is the application of a regularization-based optimization framework, ensuring the stability and uniqueness of the reconstructed source term. The integration of the Levenberg–Marquardt regularization method further improves numerical accuracy, making it a robust approach for solving inverse problems in fractional scattering. Unlike previous methodologies that rely on single-term formulations or limited dimensional approximations, our model is able to handle complex multi-term dynamics in both one-dimensional and two-dimensional domains. The numerical experiments confirm the effectiveness of the proposed method, which demonstrates a high accuracy and stability, even in the presence of noisy data. These results significantly improve the applicability of fractional scattering models in areas such as biomedical imaging, environmental modeling, and thermal conduction, where the accurate identification of the source term is crucial. Compared to existing studies such as [21,22], our approach offers a more comprehensive and flexible framework, effectively addressing limitations in stability and computational feasibility.
The organizational structure of the paper is outlined as follows:
This research paper is structured into six sections. The investigation begins with Section 1, which sets the groundwork by providing a contextual framework and a comprehensive review of the research topic. Next, Section 2 explores the fundamental aspects and uniqueness properties of the solutions of the direct problem related to a multi-term time-space fractional diffusion equation. Section 3 addresses the inverse problem of determining the ST using the well-established Tikhonov method. This section formulates the problem in an optimization framework, looking for its minimizer while establishing the existence, stability, and uniqueness of the solution. Section 4, devoted to the methodology, develops an identification approach based on the Levenberg–Marquardt regularization method to solve the inverse problem of the source. The findings of this investigation are presented and analyzed in depth in Section 5, where the practical implications and the effectiveness of the proposed approach are explored. Finally, Section 6 synthesizes the key findings and presents the main conclusions drawn from this research.
The paper follows a well-defined structure with numbered sections and subsections for clarity. Mathematical formulations are presented using numbered equations and well-defined theorems. The section on regularization and the stability analysis contains structured demonstrations, while the section on the identification approach details the computational framework. The numerical testing section is divided into one-dimensional and two-dimensional cases, with annotated tables and figures to illustrate the results. The article concludes with a summary of the main findings and a reference section in line with academic standards.
2. The Well-Posed Nature of the Problem
In this section, we address some introductory concepts and establish the existence and uniqueness of a weak solution to the direct problem (1).
The Riemann–Liouville integral operator and the Riemann–Liouville backward integral operator are defined as:
Furthermore, the Riemann–Liouville fractional derivative operator and are defined by:
Then, we define the multinomial Mittag-Leffler by:
where and and with
Let be an eigensystem of such that
First, consider the following Hilbert space:
for Here, represents the scalar product in the space and its norm is given by
Now consider the fractional Sobolev space
Under this space, we define the following space:
with the norm
The subsequent theorem provides assurance of both the existence and the uniqueness of the solution to the given problem (1).
Theorem 1.
Let , and then there exists a unique solution of problem (1) such that
Proof.
The proof is based on the outlines used to establish the existence and uniqueness of the time-space fractional diffusion equation presented in [23]. □
3. Regularization and Stability Study
The second goal of this study is the focus of this section, which aims to develop an effective method for numerically recovering the spatial component (ST) of the parabolic fractional heat Equation (1). This reconstruction is accomplished using the information obtained from the final observations, denoted as
In general, the method used by several authors is to convert the inverse ST problem to a minimization problem such as least squares. To do so, we assume to be an initial guess for g, and the solution of the fractional system
Suppose that we are given the noisy observation data . Usually, fulfills
where and are the true ST and the noise level, respectively. To deal with the ill-posed problem (1), we use a Tikhonov regularization methodology. More precisely, we consider the following optimization problem with the Tikhonov term:
where is a positive constant denoting the Tikhonov regularization parameter. For this regularization method, we transfer the reconstruction problem to an optimization problem. The unknown ST is, therefore, the solution of the following minimization problem:
Proposition 1.
The functional given in (5) admits a minimizer on
Furthermore, there is an element and a sequence such that
Proof.
Since is non-negative, we deduce the existence of a sequence , which converges in as follows:
Then, we have
This relation (7) gives
Hence, the norm of the sequence is majored by a constant C
Hence, there is and a sub-sequence of which satisfies
This leads to the Proposition claim. □
Theorem 2.
Set , then the minimization problem (6) has at least one solution.
Proof.
We will show that is indeed the unique optimum of (6). Given that any function corresponds to a solution of problem (1), Theorem 1 guarantees that the sequence is uniformly bounded in .
Taking the ST corresponding to the direct solution of (1), then is bounded in . Moreover, Proposition 1 ensures the existence of the following:
- ;
- A sub-sequence of such that Hence,
The weak formulation for gives
When , we obtain
Let us now prove that coincides with . For this, it suffices to show that
Hence, we deduce that
Then, by taking and using , we obtain
If in (9), we have
Thus, we have
From Equations (10) and (11), we find that which implies that corresponds to the solution of (1) with , and
Now, the semi-continuity of and the weak convergence of and
give us
and
Thus,
Finally, we obtain the existence of a solution of the minimization problem (5):
The convexity of involves the uniqueness of this solution. □
Next, we will establish the stability of (6), confirming that the minimization problem (6) serves as a stabilizing factor for the inverse source problem under consideration in relation to perturbations in the observation data at the final time.
Theorem 3.
Let be a sequence belonging to such that
Furthermore, let be a sequence of the problem
where the functional is given by
Then, converges strongly in to the minimizer of (6).
Proof.
We can establish the existence of a sequence such that for every , the following holds:
This implies that is bounded in , thus satisfying the condition stated in Proposition 1. Consequently, there exists a sequence and a sub-sequence of , such that the following holds:
By employing a similar approach to the one utilized in the proof of Theorem 2, we aim to demonstrate that serves as the sole minimizer of (6). Thus, we obtain
Hence,
The lower semi-continuity of the norm gives:
Consequently,
To establish the strong convergence of , we will employ a proof by contradiction. Suppose, for the sake of contradiction, that the strong convergence is not true. This implies that the sequence does not converge to . However, we have in . By utilizing the lower semi-continuity of the norm, we can deduce the following:
Hence, there is a sub-sequence denoted as of the sequence such that
Relation (15) gives us
Hence,
4. Identification Approach
In this section, we deal with the problem of numerically searching the space-dependent ST . It is a well-known fact that many inversion algorithms rely on regularization techniques to address the inherent ill-posed nature of inverse problems. Various types of inverse problems may necessitate different approximation methods, guided by conditional well-posedness analyses. To derive an approximation to the ST, we use the Levenberg–Marquardt regularization technique in this study.
Let the following linear operator
As a result, the inverse problem is converted to
The operator is compact, and the inverse source problem is poorly presented. We present the following minimization problem incorporating a regularization term in the style of Tikhonov to ensure a reliable numerical reconstruction of
where is a suitable guess of
Now, let us consider the following linear operator:
Hence, the inverse problem becomes
Therefore, the minimization problem presented in Equation (19) can be reformulated as the following problem:
with
We will now look at the discretization of the minimization problem. Let be an appropriate set of basis functions in Let
where is an approximation of g and are the expansion transactions. We define the following dimensional space:
and S-dimensional vector Then, we give an approximation with a vector If we set we need to solve:
where and .
Let with the initial guess Now, we use the variational theory to compute
We know that
where and is a differential step. The linearity of gives us
Therefore, Equation (24) takes the following form:
where and
5. Numerical Trials
In this section, we will present three simulation examples, encompassing both one-dimensional and two-dimensional scenarios, to showcase the effectiveness of the Levenberg–Marquardt approach. For the approximate solution of the direct problem (1), we use the finite difference method cited in the following references [24,25]. A random disturbance is added to our numerical calculation to generate the noisy data, i.e.,
To demonstrate the accuracy of the numerical solution, we calculate the approximate error represented.
where is the initial condition reconstructed in the k iteration and is exact. The residual in the iteration is as follows:
The most important step in an iteration algorithm is determining the appropriate stopping criteria. In this study, the well-known Morozov’s discrepancy notion is used [26]. Specifically, k is chosen to fulfill the inequality
where with , following the proposal of Hanke and Hansen [27].
In the following simulations, we completed a numerical simulation using MATLAB 2021 on a Dell device Intel(R) Core(TM) i3-3217U CPU @ 1.80 GHz with 4 GB RAM.
5.1. One-Dimensional Case
Example 1.
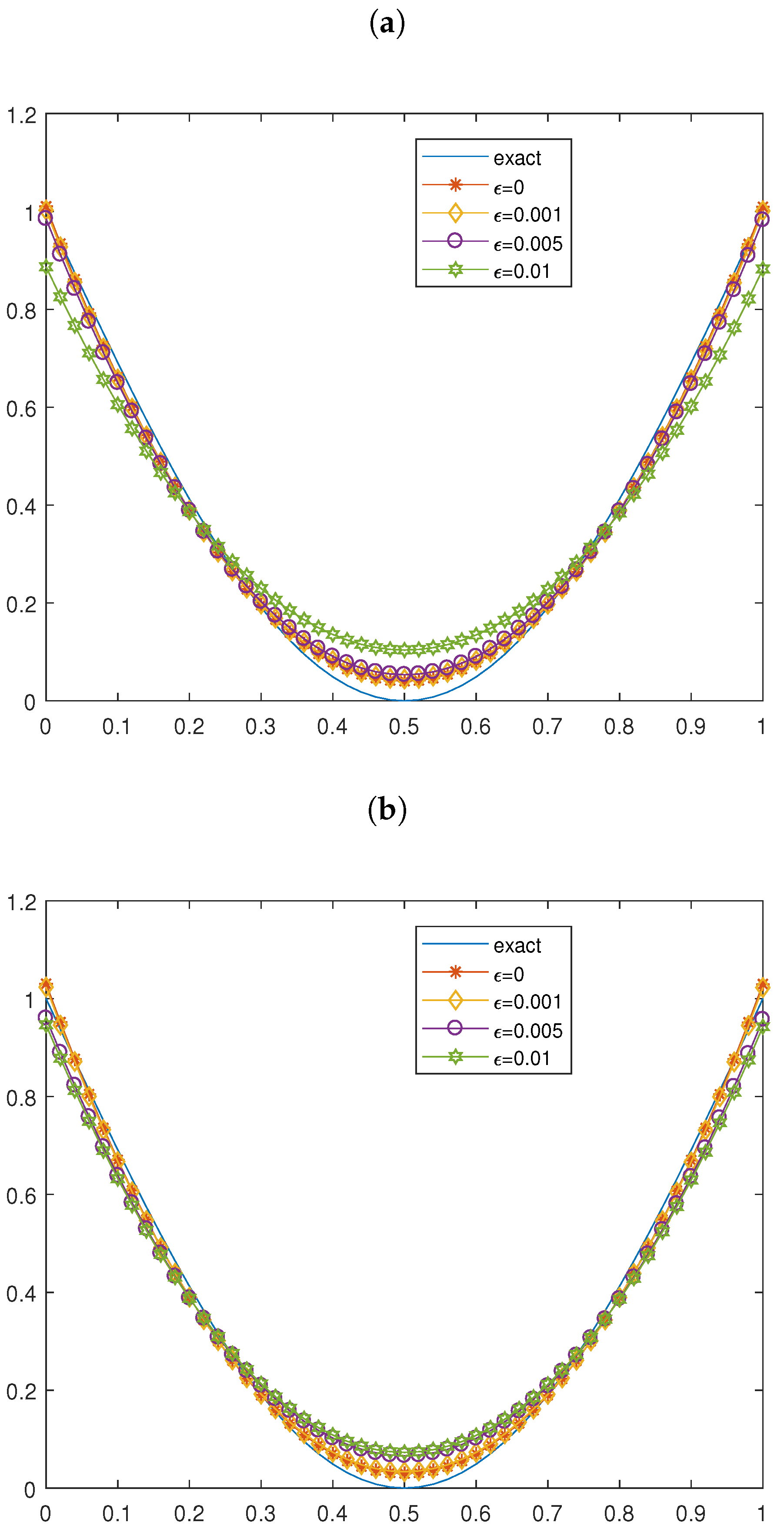
For simulation reasons, we chose , , i.e, For this case, we took the basis function space In the first example, our objective was to identify following example:
The reconstruction results are shown in Figure 1.
Figure 1.
Numerical results for Example 1 with (a) , and (b) , 0.5, 0.2), .
Example 2.
Now, we apply our algorithm to identify the following non-smooth function:
The numerical results of the function, with various noise levels, are illustrated in Figure 2.
Figure 2.
Numerical results for Example 2 with (a) , and (b) , 0.5, 0.2), .
From Figure 1 and Figure 2, we see that the space-dependent ST reconstructions for Examples 1 and 2 are very close to the exact terms, i.e., up to 1%. We can also say that our proposed algorithm has a high accuracy for a smooth unknown ST, and the principle of divergence plays an important role for the inversion.
5.2. Two-Dimensional Case
For this case, , , and with
and
,
Example 3.
Let us consider the following function:
Let and Figure 3 and Figure 4 show the graphs of the exact source, reconstructed STs, and the discrepancies in source terms between the exact values and numerical approximations, when
Figure 3.
Numerical results for Example 3: (a) exact solution and (b) numerical solution.
Figure 4.
The absolute errors for Example 3.
The numerical experiments conducted in one- and two-dimensional cases validated the effectiveness of the proposed method for the reconstruction of inverse source terms. The following observations summarize the main findings and their significance:
- Accuracy of ST reconstruction: The method reconstructs smooth source terms with high accuracy, even in the presence of noise. This confirms its reliability for cases where the underlying source function is continuous and differentiable;
- Non-smooth ST management: Despite the presence of discontinuities, the method accurately captures the main features of non-smooth source terms. This shows its adaptability to irregular real data, where source terms can show abrupt variations;
- Performance in two-dimensional cases: The algorithm maintains a high accuracy and stability when applied to two-dimensional problems. The strong agreement between the reconstructed and exact source terms confirms its ability to be generalized to inverse problems of higher dimensions;
- Error analysis and robustness to noise: The error analysis (e.g., the standard and the convergence of the residual error) confirms the robustness of the approach. The results show that the method is noise resistant, making it a reliable tool for practical applications where data are often noisy;
- Effectiveness of the Levenberg–Marquardt regularization: The Levenberg–Marquardt regularization method plays a key role in stabilizing the opposite problem. It ensures convergence towards an optimal solution while avoiding over-fitting to noisy data. This underscores its effectiveness as a powerful tool for fractional-scattering inverse problems.
These results confirm the applicability of the proposed method in areas such as biomedical imaging, environmental modeling, and thermal conduction analysis, where accurate and stable inverse solutions are essential.
6. Conclusions
This paper explores the inverse source problem associated with the multi-term time-fractional diffusion equation. Additionally, we formulate the ill-posed inverse problem as a minimization challenge and investigate the presence of a minimizer, uniqueness, and stability within this framework. To address the regularized variational problem that incorporates a space-dependent ST, we employed the Levenberg–Marquardt method. During the simulation phase, we evaluated the effectiveness of the proposed approach by numerically reconstructing four distinct examples in one- and two-dimensional scenarios. These simulations served to showcase the precision and efficiency of the proposed methodology.
Author Contributions
Conceptualization, M.A., Y.A., H.O.S. and M.O.S.; formal analysis, M.A., Y.A., H.O.S. and M.O.S.; funding acquisition, Y.A. and M.O.S.; methodology, M.A., Y.A., H.O.S. and M.O.S.; software, H.O.S.; supervision, Y.A. and M.O.S.; visualization, H.O.S.; writing—original draft, M.A., Y.A. and M.O.S.; writing—review and editing, M.O.S. All authors have read and agreed to the published version of the manuscript.
Funding
This work was funded by the Deanship of Graduate Studies and Scientific Research at Jouf University under grant No. (DGSSR-2024-02-01191).
Data Availability Statement
Dataset available on request from the authors.
Conflicts of Interest
The authors declare no conflicts of interest. The funders had no role in the design of the study; in the collection, analyses, or interpretation of data; in the writing of the manuscript; or in the decision to publish the results.
References
- Hasanoğlu, A.H.; Romanov, V.G. Introduction to Inverse Problems for Differential Equations; Springer: Berlin/Heidelberg, Germany, 2021. [Google Scholar]
- Nguyen, D.-L.; Nguyen, L.H.; Nguyen, T.-P. Advances in Inverse Problems for Partial Differential Equations; American Mathematical Society: Providence, RI, USA, 2023. [Google Scholar]
- Boulaaras, S.; Jan, R.; Pham, V.-T. Recent advancement of fractional calculus and its applications in physical systems. Eur. Phys. J. Spec. Top. 2023, 232, 2347–2350. [Google Scholar] [CrossRef]
- Hristova, S. Recent Investigations of Differential and Fractional Equations and Inclusions; MDPI: Basel, Switzerland, 2021. [Google Scholar]
- Yammine, P.; El-Nakat, H.; Kassab, R.; Mansour, A.; El Khoury, B.; Koumeir, D.; Matar, Z.; Chmayssem, A. Recent Advances in Applied Electrochemistry: A Review. Chemistry 2024, 6, 407–434. [Google Scholar] [CrossRef]
- Gulaboski, R. Electrochemistry in the twenty-first century—Future trends and perspectives. J. Solid State Electrochem. 2020, 24, 2081. [Google Scholar] [CrossRef]
- Lin, Z.; Wang, H. Modeling and application of fractional-order economic growth model with time delay. Fract. Fract. 2021, 5, 74. [Google Scholar] [CrossRef]
- Tarasov, V.E. Mathematical economics: Application of fractional calculus. Mathematics 2020, 8, 660. [Google Scholar] [CrossRef]
- Fischer, A.; Izmailov, A.F.; Solodov, M.V. The Levenberg–Marquardt method: An overview of modern convergence theories and more. Comput. Optim. Appl. 2024, 89, 33–67. [Google Scholar] [CrossRef]
- Ilic, M.; Liu, F.; Turner, I.; Anh, V. Numerical approximation of a fractional-in-space diffusion equation, I. Fract. Calc. Appl. Anal. 2005, 8, 323–341. [Google Scholar]
- Ilic, M.; Liu, F.; Turner, I.; Anh, V. Numerical approximation of a fractional-in-space diffusion equation (II)—With nonhomogeneous boundary conditions. Fract. Calc. Appl. Anal. 2006, 9, 333–349. [Google Scholar]
- Ould Ahmed Mahmoud, S.A.; Ould Sidi, H.; Ould Sidi, M. Determination of an Energy Source Term for Fractional Diffusion Equation. J. Sens. 2022, 2022, 7984688. [Google Scholar] [CrossRef]
- Sidi, H.O.; Huntul, M.J.; Sidi, M.O.; Emadifar, H. Identifying an unknown coefficient in the fractional parabolic differential equation. Results Appl. Math. 2023, 19, 100386. [Google Scholar] [CrossRef]
- Yan, X.B.; Wei, T. Determine a space-dependent source term in a time fractional diffusion-wave equation. Acta Appl. Math. 2020, 165, 163–181. [Google Scholar] [CrossRef]
- Wei, T.; Li, X.L.; Li, Y.S. An inverse time-dependent source problem for a time-fractional diffusion equation. Inverse Probl. 2016, 32, 085003. [Google Scholar] [CrossRef]
- Gong, X.; Wei, T. Reconstruction of a time-dependent source term in a time-fractional diffusion-wave equation. Inverse Probl. Sci. Eng. 2019, 27, 1577–1594. [Google Scholar] [CrossRef]
- Chang, M.; Sun, L.; Wang, Y. Two Regularization Methods for Identifying the Unknown Source in a Multiterm Time-Fractional Diffusion Equation. Rocky Mt. J. Math. 2023, 53, 1387–1414. [Google Scholar] [CrossRef]
- Sidi, H.O.; Zaky, M.A.; Waled, K.E.; Akgül, A.; Hendy, A.S. Numerical reconstruction of a space-dependent source term for multidimensional space-time fractional diffusion equations. Rom. Rep. Phys. 2023, 75, 120. [Google Scholar] [CrossRef]
- Sidi, M.O.; Sidi, H.O.; Alosaimi, M.; Mahmoud, S.A.O.A.; Beinane, S.A.O.; Alshammari, H.O. Robin coefficient determination problem in a fractional parabolic differential equation. Math. Methods Appl. Sci. 2025, 48, 52–64. [Google Scholar] [CrossRef]
- Hai, D.N.D. Identifying a space-dependent source term in distributed order time-fractional diffusion equations. Math. Control Relat. Fields 2023, 13, 1008–1022. [Google Scholar] [CrossRef]
- Guo, T.; Nikan, O.; Avazzadeh, Z.; Qiu, W. Efficient alternating direction implicit numerical approaches for multi-dimensional distributed-order fractional integro differential problems. Comput. Appl. Math. 2022, 41, 236. [Google Scholar] [CrossRef]
- Ahmeda, S.; Jahana, S.; Nisarb, K.S. Haar wavelet based numerical technique for the solutions of fractional advection diffusion equations. J. Math. Comput. Sci. 2024, 34, 217–233. [Google Scholar] [CrossRef]
- Li, Y.S.; Wei, T. An inverse time-dependent source problem for a time–space fractional diffusion equation. Appl. Math. Comput. 2018, 336, 257–271. [Google Scholar]
- Jin, B.; Lazarov, R.; Liu, Y.; Zhou, Z. The Galerkin finite element method for a multi-term time-fractional diffusion equation. J. Comput. Phys. 2015, 281, 825–843. [Google Scholar] [CrossRef]
- Huang, Y.; Oberman, A. Numerical methods for the fractional Laplacian: A finite difference-quadrature approach. SIAM J. Numer. Anal. 2014, 52, 3056–3084. [Google Scholar] [CrossRef]
- Morozov, V.A. Methods for Solving Incorrectly Posed Problems; Springer Science & Business Media: Berlin/Heidelberg, Germany, 2012. [Google Scholar]
- Hanke, M.; Hansen, P.C. Regularization methods for large-scale problems. Surv. Math. Ind. 1993, 3, 253–315. [Google Scholar]
Disclaimer/Publisher’s Note: The statements, opinions and data contained in all publications are solely those of the individual author(s) and contributor(s) and not of MDPI and/or the editor(s). MDPI and/or the editor(s) disclaim responsibility for any injury to people or property resulting from any ideas, methods, instructions or products referred to in the content. |
© 2025 by the authors. Licensee MDPI, Basel, Switzerland. This article is an open access article distributed under the terms and conditions of the Creative Commons Attribution (CC BY) license (https://creativecommons.org/licenses/by/4.0/).



