Tripartite Evolutionary Game Analysis for Manufacturing Firms, Service Providers and Consumers in Collaborative Innovation Systems
Abstract
1. Introduction
2. Literature Review
2.1. Research on the Influencing Factors of Enterprise Collaborative Innovation
2.2. Evolutionary Game Theory
3. Model Assumptions and Construction
3.1. Portrayal of Game Relationships
3.2. Model Assumptions
3.3. Model Construction
4. Stability Analysis
4.1. Strategic Stability Analysis of Manufacturing Firms
4.2. Service Provider Strategy Stability Analysis
4.3. Consumer Strategy Stability Analysis
4.4. Stability Analysis of Strategy Portfolios
5. Simulation Analysis
5.1. Parameter Setting
5.2. Impact of the Income Distribution Factor
5.3. Impact of Co-Innovation Gains
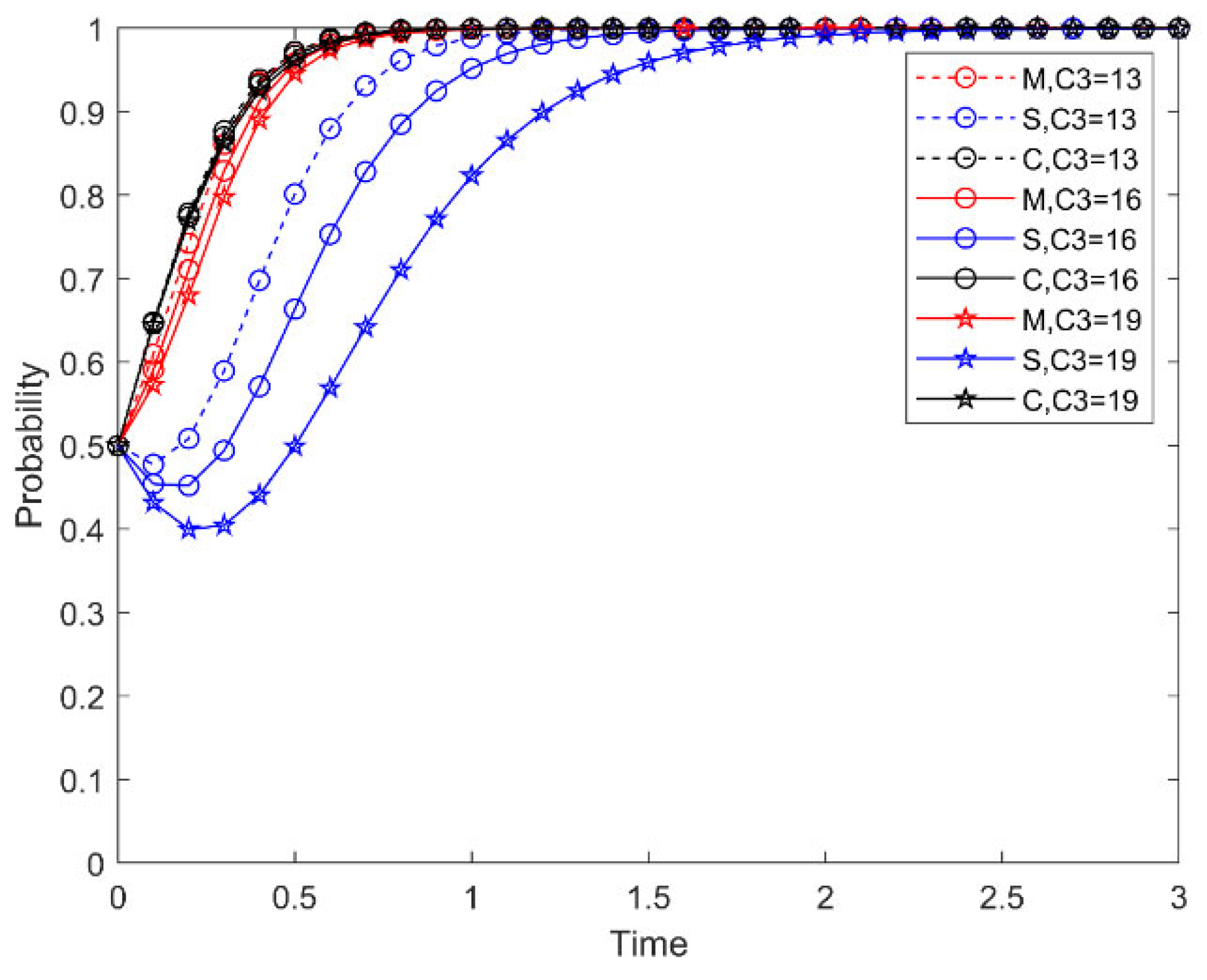
5.4. The Impact of Co-Innovation Cost
5.5. Impact of the Cost Allocation Factor
5.6. Impact of the Hitchhiking Coefficient
5.7. Impact of Market Information Costs
5.8. Impact of Consumer Participation in Co-Innovation Costs
6. Conclusions and Discussion
6.1. Findings
6.2. Discussion on Research Results
Author Contributions
Funding
Data Availability Statement
Conflicts of Interest
References
- Lv, Y. Accelerating the Transformation and Upgrading of Traditional Manufacturing Industries. People’s Trib. 2024, 10, 92–96. [Google Scholar]
- Feng, W.; Zhao, S.; Zhang, Y. A Study on the Synergy of Industrial Innovation Systems: Evidence from China’s Telecommunications Equipment Manufacturing Industry. Stat. Decis. 2023, 39, 178–182. [Google Scholar] [CrossRef]
- Li, Z.; Liu, Q.; Zhao, Z. Network of Collaborative Innovation and Domestic Value-added Ratio of the Manufacturing Enterprise Exports. J. Renmin Univ. China 2024, 38, 100–114. [Google Scholar]
- Bai, S.; Xu, W.; Jiang, M. Research on collaborative governance of big data “killing” behavior on e-commerce platform—Based on the evolutionary game analysis of e-commerce enterprises, consumers and governments. Price Theory Pract. 2022, 12, 141–144+203. [Google Scholar] [CrossRef]
- Wang, L. Ecological Constraint, Collaborative Innovation of Industrial Chain and Green Economy Development. J. Tech. Econ. Manag. 2023, 7, 45–50. [Google Scholar]
- Cheng, Z.; Cong, P.; Ma, L. Research on the Evolution of Consumers Participation in Express Package Recycling under Different Government Rewards and Punishments. Oper. Res. Manag. Sci. 2024, 33, 218–225. [Google Scholar]
- Li, X.; Li, X. Co-construction Strategy between Sharing Companies and Market Partners from the Perspective of Consumer Perception. Syst. Eng. 2024, 42, 42–51. [Google Scholar]
- Zhao, Z.; Jin, L.; Liu, Y.; Liu, L. The Evolutionary Game of Quality Regulation among Government, The Evolutionary Game of Quality Regulation among Government. Manag. Rev. 2023, 35, 248–261. [Google Scholar] [CrossRef]
- Chen, J.; Yin, X. Building a New National Innovation Ecosystem to Accelerate the Innovation and Development of State-Owned Enterprises. Sci. Sci. Manag. S. T. 2018, 39, 19–30. [Google Scholar]
- Zhang, G.; Zhang, M. The Stability of Industry-University-Research Innovation Alliance Based on Evolutionary Game. Oper. Res. Manag. Sci. 2020, 29, 67–73. [Google Scholar]
- Nan, G.; Wei, J.; Hu, H. Analysis of the multi-agent’s relationship in collaborative innovation network for science and technology SEMs based on evolutionary game theory. Int. J. Inf. Technol. Manag. 2019, 18, 1–15. [Google Scholar] [CrossRef]
- Li, C.; Li, D.; Zhou, C. The Mechanism of Digital Economy Driving Transformation and Upgrading of Manufacturing:Based on the Perspective of Industrial Chain Restructuring. Commer. Res. 2020, 2, 73–82. [Google Scholar] [CrossRef]
- Wei, Z.; Siqi, Z.; Xiaoyu, W. Industrial Digital Transformation Strategies Based on Differential Games. Appl. Math. Model. 2021, 98, 90–108. [Google Scholar]
- LI, Y.; Niu, L.; Ma, J. Collaborative Innovation in Industry, University, Research and User from the Perspective of Consumer Participation: Evolutionary Game and Simulation Analysis. J. Syst. Sci. 2022, 30, 87–91. [Google Scholar]
- Chen, C.; Ma, Y.; Chen, J. The Impact of the Synergistic Agglomeration of Advanced Manufacturing and Technology Service Industries on Regional Innovation Efficiency. Econ. Rev. J. 2023, 4, 90–98. [Google Scholar] [CrossRef]
- Li, C.; Zheng, Q. Deep Integration of Manufacturing and Logistics Industry and Inter-firm Technological Co-innovation—An Evolutionary Game Analysis with Government Involvement. Commer. Res. 2023, 5, 29–38. [Google Scholar] [CrossRef]
- Ye, W.; Mei, L.; Li, W.; Wang, C.; Zhang, G. The Dynamic Mechanism and Incentive Policies of Collaborative Innovation: A Perspective from Complex System Theory. J. Manag. World 2014, 6, 79–91. [Google Scholar] [CrossRef]
- Yang, R.; Tang, W.; Zhang, J. Technology improvement strategy for green products under competition: The role of government subsidy. Eur. J. Oper. Res. 2020, 289, 553–568. [Google Scholar] [CrossRef]
- Sun, D.; Yuan, Y.; Guo, R. The impact of multi-agent synergetic innovation on regional industrial upgrading—An analysis from the spatial spillover perspective. Sci. Res. Manag. 2022, 43, 154–163. [Google Scholar] [CrossRef]
- Wang, C.; Hu, Q. Knowledge sharing in supply chain networks: Effects of collaborative innovation activities and capability on innovation performance. Technovation 2020, 94–95, 102010. [Google Scholar] [CrossRef]
- Chang, J.; Zhao, L.; Du, J. Evolutionary Game Analysis and Stability Control Scenarios of Corporate Environmental Behavior Inspection Based on System Dynamics. Syst. Eng. 2017, 35, 79–87. [Google Scholar]
- Abbas, A.; Avdic, A.; Xiaobao, P.; Hasan, M.M.; Ming, W. University-government collaboration for the generation and commercialization of new knowledge for use in industry. J. Innov. Knowl. 2018, 4, 23–31. [Google Scholar] [CrossRef]
- Ping, X.J.; Ying, L.H. Simulation Study on the Evolutionary Game Mechanism of Collaborative Innovation in Supply Chain Enterprises and Its Influencing Elements. J. Math. 2021, 2021, 8038672. [Google Scholar]
- Kastalli, I.V.; Looy, B.V. Servitization: Disentangling the impact of service business model innovation on manufacturing firm performance. J. Oper. Manag. 2013, 31, 169–180. [Google Scholar] [CrossRef]
- Ayala, N.F.; Paslauski, C.A.; Ghezzi, A.; Frank, A.G. Knowledge sharing dynamics in service suppliers’ involvement for servitization of manufacturing companies. Int. J. Prod. Econ. 2017, 193, 538–553. [Google Scholar] [CrossRef]
- Ayala, N.F.; Gerstlberger, W.; Frank, A.G. Managing servitization in product companies: The moderating role of service suppliers. Int. J. Oper. Prod. Manag. 2019, 39, 43–74. [Google Scholar] [CrossRef]
- Ye, X.; Wang, Y.; Shafiee, S. An iterative consumer-centric and technology-driven product innovation strategy based on selective and dynamic consumer attention. Technol. Forecast. Soc. Chang. 2024, 208, 123713. [Google Scholar] [CrossRef]
- Dugo, M.J.H.; Billen, S., Jr.; Olitres, A.N.V.; Raganit, M.A.B.; Chra, P.E.B.A.M.; Spbe, E.T.S.D. Product Innovation and Consumer Loyalty of Lucky Me Pancit Canton Noodles. Management 2023, 6, 1–41. [Google Scholar]
- Cai, Q.; Zheng, W.; Wang, Q. Theoretical Research on Industrial Ecological Chain Based on Evolutionary Game:Taking the Semiconductor Industry as an Example. Sci. Technol. Manag. Res. 2023, 43, 1–10. [Google Scholar]
- Hao, J.; Zhao, D. Tripartite-players Evolutionary Game Analysis of the Manufacturing Capacity Sharing in the Environment of Sharing Economy. Oper. Res. Manag. Sci. 2021, 30, 1–7. [Google Scholar]
- Ozkan-Canbolat, E.; Beraha, A.; Bas, A. Application of Evolutionary Game Theory to Strategic Innovation. Procedia-Soc. Behav. Sci. 2016, 235, 685–693. [Google Scholar] [CrossRef]
- Xing, H.; Wang, W.; Guo, H. Evolutionary Game Analysis of Manufacturing Function Upgrade in China: Based on the Perspective of Capture Global Value Chain Governance. Sci. Technol. Manag. Res. 2020, 40, 120–130. [Google Scholar]
- Lu, S.; Yi, X.; Li, D. Evolutionary Game Analysis of Three Groups in Digital Transformation of Small and Medium-sized Manufacturing Enterprises from the Perspective of Collaboration. Oper. Res. Manag. Sci. 2024, 33, 49–55. [Google Scholar]
- Ron, A. Match your innovation strategy to your innovation ecosystem. Harv. Bus. Rev. 2006, 84, 98–107. [Google Scholar]
- Yi, Z.; Yaoqun, X.; Zeguo, Q. Blockchain Traceability Adoption in Agricultural Supply Chain Coordination: An Evolutionary Game Analysis. Agriculture 2023, 13, 184. [Google Scholar] [CrossRef]











| Parameter | Description |
|---|---|
| Basic benefits to manufacturing firms and service providers when neither innovates | |
| Additional benefits that manufacturing firms can add when they are actively innovating | |
| Additional benefits that service providers can add when engaging in innovation | |
| Growth gains when manufacturing firms and service providers co-innovate | |
| The cost of innovation that manufacturing firms need to invest in when they are actively innovating | |
| Innovation costs to be invested by service providers when engaging in innovation | |
| Co-innovation costs to be invested when manufacturing firms and service providers co-innovate | |
| Cost of services paid by consumers when participating in co-innovation | |
| Costs incurred in obtaining benefits through free-riding behavior | |
| Costs incurred by manufacturing firms and service providers in obtaining market information from consumers | |
| Benefits from access to market information | |
| Revenues from market information provided by consumers to manufacturing firms and service providers | |
| Income distribution coefficient | |
| Cost allocation coefficient | |
| Hitchhiking coefficient | |
| Market information gainsharing coefficient |
| Choose to Share Information | Opt-Out Information Sharing | ||
|---|---|---|---|
| Proactively Innovate | Participating in Innovation | ||
| Not Participating in Innovation | |||
| Negative Innovation | Participating in Innovation | ||
| Not Participating in Innovation | |||
| Equilibrium Point | |||
|---|---|---|---|
| Parameters | Values | Parameters | Values |
|---|---|---|---|
| 25 | 10 | ||
| 6 | 45 | ||
| 6 | 12 | ||
| 8 | 16 | ||
| 2 | 8 | ||
| 10 | 10 | ||
| 0.5 | 0.5 | ||
| 0.5 | 0.4 |
Disclaimer/Publisher’s Note: The statements, opinions and data contained in all publications are solely those of the individual author(s) and contributor(s) and not of MDPI and/or the editor(s). MDPI and/or the editor(s) disclaim responsibility for any injury to people or property resulting from any ideas, methods, instructions or products referred to in the content. |
© 2025 by the authors. Licensee MDPI, Basel, Switzerland. This article is an open access article distributed under the terms and conditions of the Creative Commons Attribution (CC BY) license (https://creativecommons.org/licenses/by/4.0/).
Share and Cite
Shi, J.; Lu, H.; Liu, W. Tripartite Evolutionary Game Analysis for Manufacturing Firms, Service Providers and Consumers in Collaborative Innovation Systems. Mathematics 2025, 13, 428. https://doi.org/10.3390/math13030428
Shi J, Lu H, Liu W. Tripartite Evolutionary Game Analysis for Manufacturing Firms, Service Providers and Consumers in Collaborative Innovation Systems. Mathematics. 2025; 13(3):428. https://doi.org/10.3390/math13030428
Chicago/Turabian StyleShi, Jinfa, Haotian Lu, and Wei Liu. 2025. "Tripartite Evolutionary Game Analysis for Manufacturing Firms, Service Providers and Consumers in Collaborative Innovation Systems" Mathematics 13, no. 3: 428. https://doi.org/10.3390/math13030428
APA StyleShi, J., Lu, H., & Liu, W. (2025). Tripartite Evolutionary Game Analysis for Manufacturing Firms, Service Providers and Consumers in Collaborative Innovation Systems. Mathematics, 13(3), 428. https://doi.org/10.3390/math13030428

