Geometrical Optics Stability Analysis of Rotating Visco-Diffusive Flows
Abstract
1. Introduction
2. Singular Diffusionless Limit of Visco-Diffusive Instabilities in Magnetohydrodynamics
2.1. Governing Equations and Background Fields
2.2. Transport Equations for Amplitudes and Their Dispersion Relation
2.3. Krein Sign and Splitting of Double Eigenvalues with Jordan Block
2.4. Threshold of Oscillatory Instability in the Diffusionless Case
2.5. Dissipative Perturbation of Simple Imaginary Eigenvalues
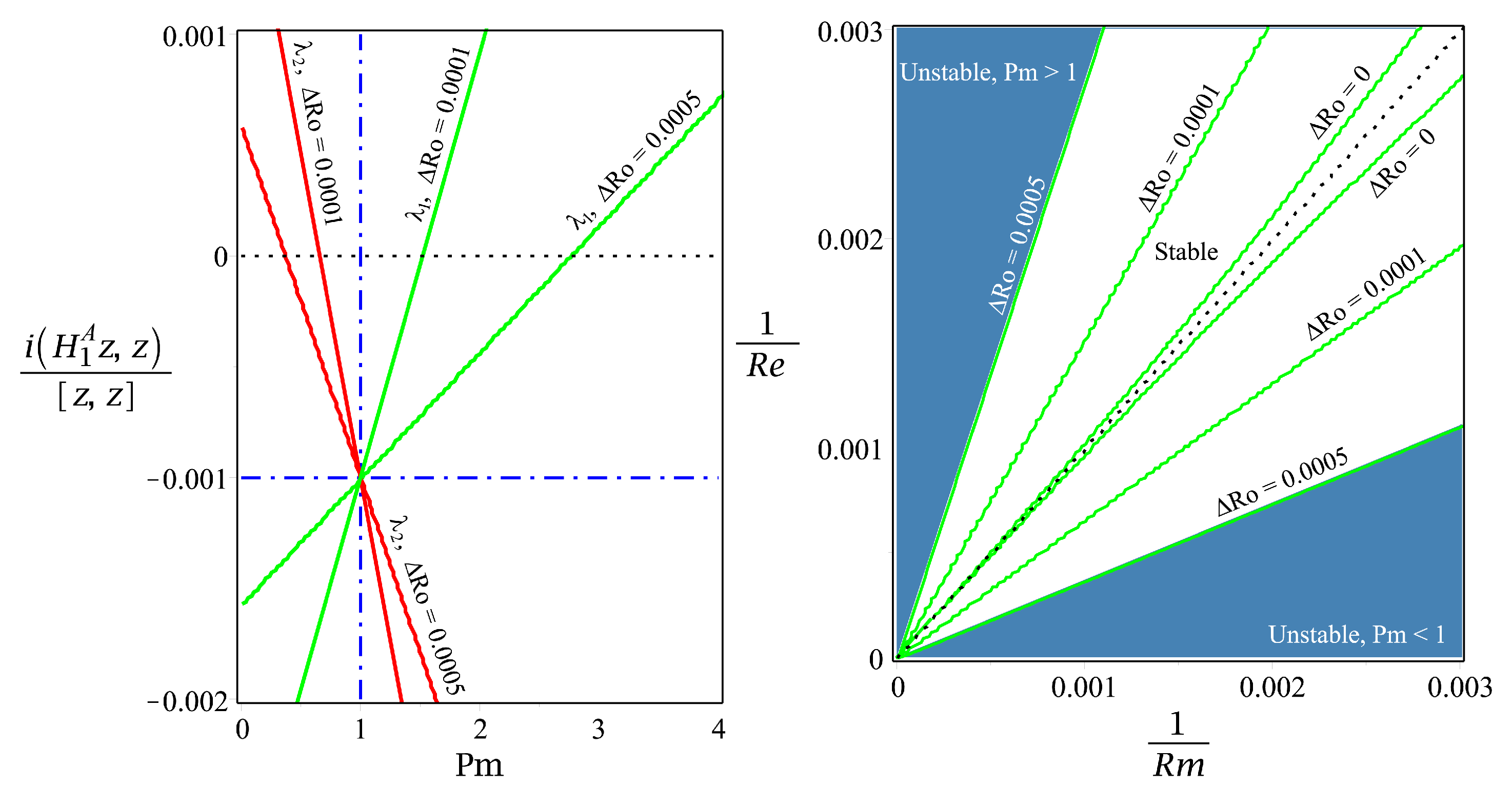
2.6. Diffusionless and Visco-Diffusive Criteria Meet at
2.7. Visco-Diffusive Instability at
3. Diffusive Instabilities of Baroclinic Lenticular Vortices
3.1. Nonlinear Equations of Motion and the Base State
3.2. Linearization and Geometrical Optics Equations
3.3. Dispersion Relation
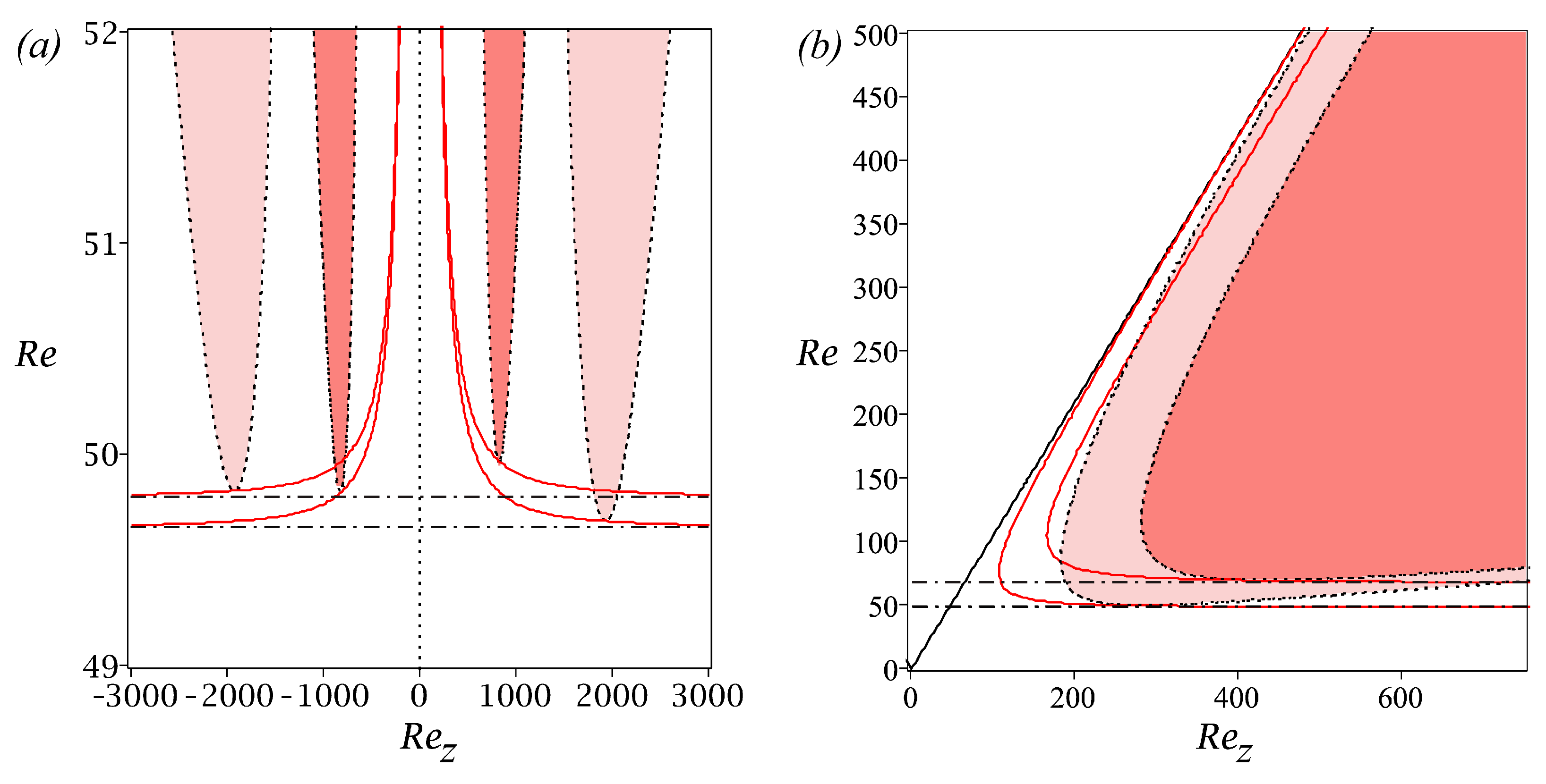
3.4. Stability Analysis
3.4.1. Diffusionless and Cases
3.4.2. Criteria for Visco-Diffusive Monotonic and Oscillatory Instabilities
4. Spiral Poiseuille Flow with Radial Temperature Gradient
4.1. Nonlinear Equations of Motion
4.2. Base State
- , the ratio of the inner () to outer () cylinder radii;
- , the ratio of the angular velocities of the outer () to inner () cylinders;
- , the inner radius in dimensionless form;
- , the outer radius in dimensionless form;
- , the geometric mean radius, at which we will evaluate all parameters in subsequent analyses.
4.3. Geometrical Optics Equations
4.4. Dispersion Relation
4.5. Stability Analysis
4.5.1. Pure Azimuthal Circular Couette Flow with Radial Temperature Gradient
4.5.2. Isothermal Spiral Poiseuille Flow (SPF)
4.5.3. Spiral Poiseuille Flow with Radial Temperature Gradient (SPFRT)
5. Conclusions
Funding
Data Availability Statement
Conflicts of Interest
References
- Kirillov, O.N. Nonconservative Stability Problems of Modern Physics, 2nd ed.; De Gruyter: Berlin, Germany, 2021; pp. 1–548. [Google Scholar]
- Krechetnikov, R.; Marsden, J.E. Dissipation-induced instabilities in finite dimensions. Rev. Mod. Phys. 2007, 79, 519–553. [Google Scholar] [CrossRef]
- Daleckii, J.L.; Krein, M.G. Stability of Solutions of Differential Equations in Banach Space; AMS: Providence, RI, USA, 1974. [Google Scholar]
- Yudovich, V.I. The Linearization Method in Hydrodynamic Stability Theory; AMS: Providence, RI, USA, 1989. [Google Scholar]
- Eckhoff, K.S.; Storesletten, L. A note on the stability of steady inviscid helical gas flows. J. Fluid Mech. 1978, 89, 401–411. [Google Scholar] [CrossRef]
- Eckhoff, K.S. On stability for symmetric hyperbolic systems, I. J. Diff. Eq. 1981, 40, 94–115. [Google Scholar] [CrossRef][Green Version]
- Eckhoff, K.S. A note on the instability of columnar vortices. J. Fluid Mech. 1984, 145, 417–421. [Google Scholar] [CrossRef]
- Friedlander, S.; Vishik, M.M. Instability criteria for the flow of an inviscid incompressible fluid. Phys. Rev. Lett. 1991, 66, 2204–2206. [Google Scholar] [CrossRef]
- Friedlander, S.; Lipton-Lifschitz, A. Localized instabilities in fluids. In Handbook of Mathematical Fluid Dynamics 2; Friedlander, S.J., Serre, D., Eds.; North-Holland: Amsterdam, The Netherlands, 2003; pp. 289–354. [Google Scholar]
- Ionescu-Kruse, D. On the short-wavelength stabilities of some geophysical flows. Philos. Trans. R. Soc. A 2017, 376, 20170090. [Google Scholar] [CrossRef]
- Lifschitz, A. Short wavelength instabilities of incompressible threedimensional flows and generation of vorticity. Phys. Lett. A 1991, 157, 481–487. [Google Scholar] [CrossRef]
- Lifschitz, A.; Hameiri, E. Local stability conditions in fluid dynamics. Phys. Fluids A Fluid Dyn. 1991, 3, 2644–2651. [Google Scholar] [CrossRef]
- Kirillov, O.N.; Mutabazi, I. Short wavelength local instabilities of a circular Couette flow with radial temperature gradient. J. Fluid Mech. 2017, 818, 319–343. [Google Scholar] [CrossRef]
- Eckhardt, B.; Yao, D. Local stability snalysis along Lagrangian paths. Chaos Solit. Fract. 1995, 5, 2073–2088. [Google Scholar] [CrossRef]
- Bayly, B.J. Three-dimensional instability of elliptical flow. Phys. Rev. Lett. 1986, 57, 2160–2163. [Google Scholar] [CrossRef] [PubMed]
- Mathur, M.; Ortiz, S.; Dubos, T.; Chomaz, J.-M. Effects of an axial flow on the centrifugal, elliptic and hyperbolic instabilities in Stuart vortices. J. Fluid Mech. 2014, 758, 565–585. [Google Scholar] [CrossRef]
- Nagarathinam, D.; Sameen, A.; Mathur, M. Centrifugal instability in non-axisymmetric vortices. J. Fluid Mech. 2015, 769, 26–45. [Google Scholar] [CrossRef]
- Pierrehumbert, R.T. Universal short-wave instability of two-dimensional eddies in an inviscid fluid. Phys. Rev. Lett. 1986, 57, 2157–2159. [Google Scholar] [CrossRef]
- Lagnado, R.R.; Phan-Thien, N.; Leal, L.G. The stability of two-dimensional linear flows. Phys. Fluids 1984, 27, 1094–1101. [Google Scholar] [CrossRef]
- Leblanc, S.; Le Duc, A. The unstable spectrum of swirling gas flows. J. Fluid Mech. 2005, 537, 433–442. [Google Scholar] [CrossRef]
- Hattori, Y.; Hijiya, K. Short-wavelength stability analysis of Hill’s vortex with/without swirl. Phys. Fluids 2010, 22, 074104. [Google Scholar] [CrossRef]
- Lifschitz, A.; Hameiri, E. Localized instabilities of vortex rings with swirl. Comm. Pure Appl. Math. 1993, 46, 1379–1408. [Google Scholar] [CrossRef]
- Aravind, H.M.; Dubos, T.; Mathur, M. Local stability analysis of homogeneous and stratified Kelvin–Helmholtz vortices. J. Fluid Mech. 2022, 943, A18. [Google Scholar] [CrossRef]
- Lebovitz, N.R.; Lifschitz, A. Short-wavelength instabilities of Riemann ellipsoids. Philos. Trans. R. Soc. A 1996, 354, 927–950. [Google Scholar]
- Mizerski, K.A.; Bajer, K. The influence of magnetic field on short-wavelength instability of Riemann ellipsoids. Phys. D Nonlin. Phen. 2011, 240, 1629–1635. [Google Scholar] [CrossRef]
- Vidal, J.; Cébron, D. Inviscid instabilities in rotating ellipsoids on eccentric Kepler orbits. J. Fluid Mech. 2017, 833, 469–511. [Google Scholar] [CrossRef]
- Friedlander, S.; Vishik, M.M. On stability and instability criteria for magnetohydrodynamics. Chaos 1995, 5, 416–423. [Google Scholar] [CrossRef]
- Kucherenko, V.V.; Kryvko, A. Interaction of Alfvèn waves in the linearized system of magnetohydrodynamics for an incompressible ideal fluid. Russ. J. Math. Phys. 2013, 20, 56–67. [Google Scholar] [CrossRef]
- Lebovitz, N.R.; Zweibel, E. Magnetoelliptic instabilities. Astrophys. J. 2004, 609, 301–312. [Google Scholar] [CrossRef]
- Mizerski, K.A.; Bajer, K. The magnetoelliptic instability of rotating systems. J. Fluid Mech. 2009, 632, 401–430. [Google Scholar] [CrossRef]
- Mizerski, K.A.; Bajer, K.; Moffatt, H.K. The mean electromotive force generated by elliptic instability. J. Fluid Mech. 2012, 707, 111–128. [Google Scholar] [CrossRef]
- Salhi, A.; Cambon, C. Magneto-gravity-elliptic instability. J. Fluid Mech. 2023, 963, A9. [Google Scholar] [CrossRef]
- Vidal, J.; Cébron, D.; ud-Doula, A.; Alecian, E. Fossil field decay due to nonlinear tides in massive binaries. A&A 2019, 629, A142. [Google Scholar]
- Maslov, V.P. Coherent structures, resonances, and asymptotic non-uniqueness for Navier-Stokes equations with large Reynolds numbers. Russ. Math. Surv. 1986, 41, 23–42. [Google Scholar] [CrossRef]
- Craik, A.D.D.; Criminale, W.O. Evolution of wavelike disturbances in shear flows: A class of exact solutions of the Navier-Stokes equations. Proc. R. Soc. London. A 1986, 406, 13–26. [Google Scholar]
- Leblanc, S. Internal wave resonances in strain flows. J. Fluid. Mech. 2003, 477, 259–283. [Google Scholar] [CrossRef]
- Kirillov, O.N.; Stefani, F. Extending the range of the inductionless magnetorotational instability. Phys. Rev. Lett. 2013, 111, 061103. [Google Scholar] [CrossRef] [PubMed]
- Kirillov, O.N.; Stefani, F.; Fukumoto, Y. Local instabilities in magnetized rotational flows: A short-wavelength approach. J. Fluid Mech. 2014, 760, 591–633. [Google Scholar] [CrossRef][Green Version]
- Kirillov, O.N. Singular diffusionless limits of double-diffusive instabilities in magnetohydrodynamics. Proc. R. Soc. A 2017, 473, 20170344. [Google Scholar] [CrossRef]
- Labarbe, J.; Kirillov, O.N. Diffusive instabilities of baroclinic lenticular vortices. Phys. Fluids 2021, 33, 104108. [Google Scholar] [CrossRef]
- McIntyre, M.E. Diffusive destabilisation of the baroclinic circular vortex. Geophys. Fluid Dyn. 1970, 1, 19–57. [Google Scholar] [CrossRef]
- Singh, S.; Mathur, M. Diffusive effects in local instabilities of a baroclinic axisymmetric vortex. J. Fluid Mech. 2021, 928, A14. [Google Scholar] [CrossRef]
- Singh, S.; Mathur, M. Effects of Schmidt number on the short-wavelength instabilities in stratified vortices. J. Fluid Mech. 2019, 867, 765–803. [Google Scholar] [CrossRef]
- Hoveijn, I.; Ruijgrok, M. The stability of parametrically forced coupled oscillators in sum resonance. Z. Angew. Math. Phys. 1995, 46, 384–392. [Google Scholar] [CrossRef]
- Kirillov, O.N.; Verhulst, F. Paradoxes of dissipation-induced destabilization or who opened Whitney’s umbrella? Z. Angew. Math. Mech. 2010, 90, 462–488. [Google Scholar] [CrossRef]
- Dymott, R.W.; Barker, A.J.; Jones, C.A.; Tobias, S.M. Linear and non-linear properties of the Goldreich–Schubert–Fricke instability in stellar interiors with arbitrary local radial and latitudinal differential rotation. Mon. Not. R. Astron. Soc. 2023, 524, 2857–2882. [Google Scholar] [CrossRef]
- Kirillov, O.N.; Mutabazi, I. Unification theory of instabilities of visco-diffusive swirling flows. Phys. Rev. Fluids 2024, 9, 124802. [Google Scholar] [CrossRef]
- Petitdemange, L.; Marcotte, F.; Gissinger, C.; Daniel, F. Tayler–Spruit dynamo simulations for the modeling of radiative stellar layers. A&A 2024, 681, A75. [Google Scholar]
- Stefani, F. Liquid-metal experiments on geophysical and astrophysical phenomena. Nat. Rev. Phys. 2024, 6, 409–425. [Google Scholar] [CrossRef]
- Bottema, O. The Routh-Hurwitz condition for the biquadratic equation. Indag. Math. 1956, 59, 403–406. [Google Scholar] [CrossRef]
- Chen, G.; Han, G.G.; Yang, X. On the intrinsic shape of oceanic eddies derived from satellite altimetry. Remote Sens. Environ. 2019, 228, 75–89. [Google Scholar] [CrossRef]
- Lestrelin, H.; Legras, B.; Podglajen, A.; Salihoglu, M. Smoke-charged vortices in the stratosphere generated by wildfires and their behaviour in both hemispheres: Comparing Australia 2020 to Canada 2017. Atmos. Chem. Phys. 2021, 21, 7113–7134. [Google Scholar] [CrossRef]
- Lemasquerier, D.; Facchini, G.; Favier, B.; Le Bars, M. Remote determination of the shape of Jupiter’s vortices from laboratory experiments. Nat. Phys. 2020, 16, 695–700. [Google Scholar] [CrossRef]
- Cotrell, D.L.; McFadden, G.B. Linear stability of spiral Poiseuille flow with a radial temperature gradient: Centrifugal buoyancy effects. Phys. Fluids 2005, 17, 114102. [Google Scholar] [CrossRef]
- Hull, D. Finding envelope is an optimization problem. J. Optim. Theory Appl. 2020, 186, 453–458. [Google Scholar] [CrossRef]
- Jones, C.A. Multiple eigenvalues and mode classification in plane Poiseuille flow. Q. J. Mech. Appl. Math. 1988, 41, 363–382. [Google Scholar] [CrossRef]
- Meyer, A.; Mutabazi, I.; Yoshikawa, H.N. Stability of Rayleigh-stable Couette flow between two differentially heated cylinders. Phys. Rev. Fluids 2021, 6, 033905. [Google Scholar] [CrossRef]
- Garaud, P. Double diffusive convection at low Prandtl number. Annu. Rev. Fluid Mech. 2018, 50, 275–298. [Google Scholar] [CrossRef]
- Garaud, P. Journey to the center of stars: The realm of low Prandtl number fluid dynamics. Phys. Rev. Fluids 2021, 6, 030501. [Google Scholar] [CrossRef]
- Leibovich, S.; Stewartson, K. A sufficient condition for the instability of columnar vortices. J. Fluid Mech. 1983, 126, 335–356. [Google Scholar] [CrossRef]
- Ludwieg, H. Stabilität der Strömung in einem zylindrischen Ringraum. Z. Flugwiss. 1960, 5, 135–140. [Google Scholar]








Disclaimer/Publisher’s Note: The statements, opinions and data contained in all publications are solely those of the individual author(s) and contributor(s) and not of MDPI and/or the editor(s). MDPI and/or the editor(s) disclaim responsibility for any injury to people or property resulting from any ideas, methods, instructions or products referred to in the content. |
© 2025 by the author. Licensee MDPI, Basel, Switzerland. This article is an open access article distributed under the terms and conditions of the Creative Commons Attribution (CC BY) license (https://creativecommons.org/licenses/by/4.0/).
Share and Cite
Kirillov, O. Geometrical Optics Stability Analysis of Rotating Visco-Diffusive Flows. Mathematics 2025, 13, 382. https://doi.org/10.3390/math13030382
Kirillov O. Geometrical Optics Stability Analysis of Rotating Visco-Diffusive Flows. Mathematics. 2025; 13(3):382. https://doi.org/10.3390/math13030382
Chicago/Turabian StyleKirillov, Oleg. 2025. "Geometrical Optics Stability Analysis of Rotating Visco-Diffusive Flows" Mathematics 13, no. 3: 382. https://doi.org/10.3390/math13030382
APA StyleKirillov, O. (2025). Geometrical Optics Stability Analysis of Rotating Visco-Diffusive Flows. Mathematics, 13(3), 382. https://doi.org/10.3390/math13030382
