Content Value Dynamics in Digital Platforms: Strategic Monetization and Operational Design
Abstract
1. Introduction
- 1.
- What factors influence content platforms’ selection between PGC and UGC modes?
- 2.
- How do value dynamics affect quality and pricing strategies?
- 3.
- What dynamic patterns emerge between operational decisions and user behavior?
- 4.
- How can platforms determine optimal operational strategies based on subsidy, content type, and development stage?
2. Literature Review
2.1. Content Operation Mode
2.2. Online Decision Optimization
2.3. User Consumption Experience
3. Model
3.1. User Utility and Demand Dynamics
3.2. Content Value Dynamics
3.3. Operation Profit Model
4. Equilibrium Feedback Strategy
4.1. Equilibrium Feedback Strategies in the PGC Mode
- (i)
- In Scenario , the equilibrium feedback strategies for quality and price with respect to value dynamics are
- (ii)
- In Scenario , the equilibrium trajectory of value dynamics is
- (iii)
- In Scenario , the demand dynamics for freemium and subscription users are
- (i)
- , , ;
- (ii)
- , , ;
- (iii)
- .
- (i)
- When , in the smaller case, , , , and increase as increases; in the larger case, , , and decrease, and increases as increases; there is a difference in thresholds: .
- (ii)
- When , , , , increase, and decreases as increases.
4.2. Equilibrium Feedback Strategies in the UGC Mode
- (i)
- In Scenario , the equilibrium feedback strategies for quality and price with respect to value dynamics are
- (ii)
- In Scenario , the equilibrium trajectory of value dynamics is
- (iii)
- In Scenario , the demand dynamics for freemium and subscription users are
- (i)
- ; and only when .
- (ii)
- , .
- (i)
- In the case of and ,if , ;if , (a) when ; (b) is smaller than in the early stage and larger than in the later stage when ; (c) when .
- (ii)
- In the case of and ,if , (a) when ; (b) is smaller than in the early stage and larger than in the later stage when ;if , (a) when ; (b) is smaller than in the early stage and larger than in the later stage when ;where , , , .
- (i)
- As increases, always increases, decreases when and increases when ;
- (ii)
- As increases, increases when and decreases when , decreases when and increases when .
- (i)
- In the case of , as increases, , and decrease, increases and decreases.
- (ii)
- In the case of , as increases, , and increase, decreases and increases.
4.3. Comparative Analysis of Modes
- (i)
- For quality strategy and value dynamics, there exists a threshold , and when , and when ;
- (ii)
- For price strategy, there exists a threshold , when , when ; where .
- (i)
- For freemium user demand, ;
- (ii)
- For subscription user demand, there exists a threshold , when , when .
- (iii)
- For total user demand, there exists a threshold , when , when .
- (i)
- In the case of , when the subsidy is low, when the subsidy is moderate, when the subsidy is high;
- (ii)
- In the case of , if , ; if , when the subsidy is low, when the subsidy is moderate, when the subsidy is high;
- (iii)
- In the case of , when the subsidy is low, when the subsidy is high.
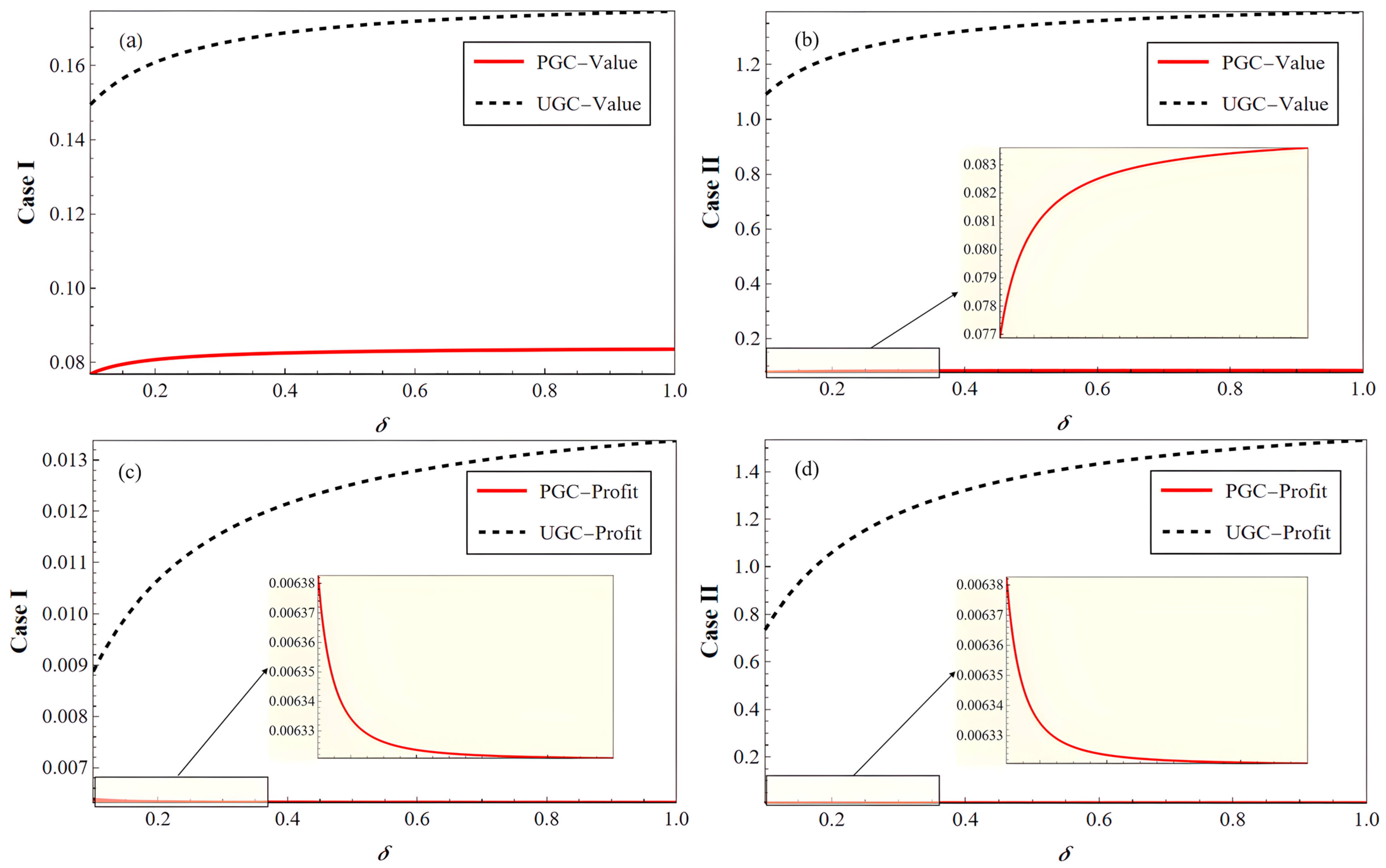
5. Numerical Analysis
6. Conclusions
Author Contributions
Funding
Data Availability Statement
Conflicts of Interest
Appendix A
References
- Kim, J. The institutionalization of YouTube: From user-generated content to professionally generated content. Media. Cult. Soc. 2012, 34, 53–67. [Google Scholar] [CrossRef]
- Chae, I.; Schweidel, D.A.; Evgeniou, T.; Padmanabhan, V. Mixing user-and publisher-generated content: Quantifying UGC spillover effect in a hybrid content environment. J. Interact. Market. 2025, 60, 25–43. [Google Scholar] [CrossRef]
- Amaldoss, W.; Du, J.Z.; Shin, W. Media platforms’ content provision strategies and sources of profits. Market. Sci. 2021, 40, 527–547. [Google Scholar] [CrossRef]
- Belo, R.; Li, T. Social referral programs for freemium platforms. Manag. Sci. 2022, 68, 8933–8962. [Google Scholar] [CrossRef]
- Gao, G.; Greenwood, B.N.; Agarwal, R.; McCullough, J.S. Vocal minority and silent majority: How do online ratings reflect population perceptions of quality. MIS Q. 2015, 39, 565–590. [Google Scholar] [CrossRef]
- Gao, Q.; Guo, X.; Yang, F.; Yu, Y. Commitment or not? Creator’s quality strategies with uncertain market in reward-based crowdfunding. Int. J. Prod. Res. 2022, 60, 5307–5331. [Google Scholar] [CrossRef]
- Carnehl, C.; Stenzel, A.; Schmidt, P. Pricing for the stars: Dynamic pricing in the presence of rating systems. Manag. Sci. 2023, 70, 1755–1772. [Google Scholar] [CrossRef]
- Chen, X.; Cheng, G.; He, Y. Mathematical modeling and optimization of platform supply chain in the digital era: A systematic review. Mathematics 2025, 13, 2863. [Google Scholar] [CrossRef]
- Subramanian, H.; Mitra, S.; Ransbotham, S. Capturing value in platform business models that rely on user-generated content. Organ. Sci. 2021, 32, 804–823. [Google Scholar] [CrossRef]
- Zheng, J.Y.; Wang, Y.W.; Tan, Y. Platform refund insurance or being cast out: Quantifying the signaling effect of refund options in the online service marketplace. Inf. Syst. Res. 2022, 34, 910–934. [Google Scholar] [CrossRef]
- Ye, H.; Yang, X.; Wang, X.; Stratopoulos, T.C. Monetization of digital content: Drivers of revenue on Q&A platforms. J. Manag. Inform. Syst. 2021, 38, 457–483. [Google Scholar]
- Khern-am-nuai, W.; Kannan, K.; Ghasemkhani, H. Extrinsic versus intrinsic rewards for contributing reviews in an online platform. Inf. Syst. Res. 2018, 29, 871–892. [Google Scholar] [CrossRef]
- Ransbotham, S.; Lurie, N.H.; Liu, H. Creation and consumption of mobile word of mouth: How are mobile reviews different? Market. Sci. 2019, 38, 773–792. [Google Scholar] [CrossRef]
- Feldman, P.; Papanastasiou, Y.; Segev, E. Social learning and the design of new experience goods. Manag. Sci. 2019, 65, 1502–1519. [Google Scholar] [CrossRef]
- Ifrach, B.; Maglaras, C.; Scarsini, M.; Zseleva, A. Bayesian social learning from consumer reviews. Oper. Res. 2019, 67, 1209–1221. [Google Scholar] [CrossRef]
- Ma, Q.; Shou, B.; Huang, J.; Başar, T. Monopoly pricing with participation-dependent social learning about quality of service. Prod. Oper. Manag. 2021, 30, 4004–4022. [Google Scholar] [CrossRef]
- Wang, X.; Tao, Z.; Liang, L.; Gou, Q. An analysis of salary mechanisms in the sharing economy: The interaction between streamers and unions. Int. J. Prod. Econ. 2019, 214, 106–124. [Google Scholar] [CrossRef]
- Galbreth, M.R.; Ghosh, B.; Shor, M. Social sharing of information goods: Implications for pricing and profits. Market. Sci. 2012, 31, 603–620. [Google Scholar] [CrossRef]
- Qian, Y.; Ling, H.; Meng, X.; Jiang, Y.; Chai, Y.; Liu, Y. Voice of the Professional: Acquiring competitive intelligence from large-scale professional generated contents. J. Bus. Res. 2024, 180, 114719. [Google Scholar] [CrossRef]
- Lukyanenko, R.; Parsons, J.; Wiersma, Y.F.; Maddah, M. Expecting the unexpected: Effects of data collection design choices on the quality of crowdsourced user-generated content. MIS Q. 2019, 43, 623–647. [Google Scholar] [CrossRef]
- Albuquerque, P.; Pavlidis, P.; Chatow, U.; Chen, K.Y.; Jamal, Z. Evaluating promotional activities in an online two-sided market of user-generated content. Market. Sci. 2012, 31, 406–432. [Google Scholar] [CrossRef]
- Chiu, Y.-J.; Hong, L.-S.; Song, S.-R.; Cheng, Y.-C. Unveiling the dynamics of consumer attention: A Two-stage hybrid MCDM analysis of key factors and interrelationships in influencer marketing. Mathematics 2024, 12, 981. [Google Scholar] [CrossRef]
- Caro, F.; Martínez-de-Albéniz, V. Managing online content to build a follower base: Model and applications. INFORMS J. Optim. 2020, 2, 57–77. [Google Scholar] [CrossRef]
- Ren, Q. Advertising and content creation on digital content platforms. Market. Sci. 2023, 43, 734–750. [Google Scholar] [CrossRef]
- Müller, J.; Christandl, F. Content is king—But who is the king of kings? The effect of content marketing, sponsored content & user-generated content on brand responses. Comput. Hum. Behav. 2019, 96, 46–55. [Google Scholar]
- Sen, A.; Grad, T.; Ferreira, P.; Claussen, J. (How) Does user-generated content impact content generated by professionals? Evidence from local news. Manag. Sci. 2023, 70, 6045–6068. [Google Scholar] [CrossRef]
- Colombo, L.; Labrecciosa, P. Dynamic oligopoly pricing with reference-price effects. Eur. J. Oper. Res. 2021, 288, 1006–1016. [Google Scholar] [CrossRef]
- Jiang, B.; Yang, B. Quality and pricing decisions in a market with consumer information sharing. Manag. Sci. 2018, 65, 272–285. [Google Scholar] [CrossRef]
- Song, B.; Li, M.Z.F. Dynamic pricing with service unbundling. Prod. Oper. Manag. 2018, 27, 1334–1354. [Google Scholar] [CrossRef]
- Rao, A. Online content pricing: Purchase and rental markets. Market. Sci. 2015, 34, 430–451. [Google Scholar] [CrossRef]
- Wu, C.H.; Chiu, Y.Y. Pricing and content development for online media platforms regarding consumer homing choices. Eur. J. Oper. Res. 2023, 305, 312–328. [Google Scholar] [CrossRef]
- Shi, Z.J.; Zhang, K.F.; Srinivasan, K. Freemium as an optimal strategy for market dominant firms. Market. Sci. 2019, 38, 150–169. [Google Scholar] [CrossRef]
- Li, G.; Tian, L.; Zheng, H. Information sharing in an online marketplace with co-opetitive sellers. Prod. Oper. Manag. 2021, 30, 3713–3734. [Google Scholar] [CrossRef]
- Geng, W.; Chen, Z. Optimal pricing of virtual goods with conspicuous features in a freemium model. Int. J. Electron. Comm. 2019, 23, 427–449. [Google Scholar] [CrossRef]
- Du, S.; Peng, X.; Nie, T.; Zhu, Y. Information disclosure and pricing in the online expert service platform. J. Oper. Res. Soc. 2023, 75, 1663–1680. [Google Scholar] [CrossRef]
- Liu, S.; Lin, X.; Huang, X.; Luo, H.; Yu, S. Research on service-driven benign market with platform subsidy strategy. Mathematics 2023, 11, 325. [Google Scholar] [CrossRef]
- Shah, D.; Murthi, B.P.S. Marketing in a data-driven digital world: Implications for the role and scope of marketing. J. Bus. Res. 2021, 125, 772–779. [Google Scholar] [CrossRef]
- Bellar, O.; Baina, A.; Ballafkih, M. Sentiment analysis: Predicting product reviews for e-commerce recommendations using deep learning and transformers. Mathematics 2024, 12, 2403. [Google Scholar] [CrossRef]
- Falkowski-Gilski, P.; Uhl, T. Current trends in consumption of multimedia content using online streaming platforms: A user-centric survey. Comput. Sci. Rev. 2020, 37, 100268. [Google Scholar] [CrossRef]
- Caulkins, J.P.; Feichtinger, G.; Grass, D.; Hartl, R.F.; Kort, P.M.; Seidl, A. Interaction of pricing, advertising and experience quality: A dynamic analysis. Eur. J. Oper. Res. 2017, 256, 877–885. [Google Scholar] [CrossRef]
- Zhao, X.; Huang, L.; Wang, L.; Yazdani, E.; Zhang, C. Understanding of the dynamics of mobile reading: An HMM model of user engagement and content consumption. Prod. Oper. Manag. 2024, 34, 3755–3774. [Google Scholar] [CrossRef]
- Shon, M.J.; Shin, J.; Hwang, J.; Lee, D. Free contents vs. inconvenience costs: Two faces of online video advertising. Telemat. Inform. 2021, 56, 101476. [Google Scholar] [CrossRef]
- Goli, A.; Huang, J.; Reiley, D.; Riabov, N.M. Measuring consumer sensitivity to audio advertising: A long-run field experiment on Pandora Internet Radio. arXiv 2024, arXiv:2412.05516. [Google Scholar] [CrossRef]
- Moorthy, S.; Shahrokhi Tehrani, S. Targeting advertising spending and price on the Hotelling line. Market. Sci. 2023, 42, 1057–1079. [Google Scholar] [CrossRef]
- Datta, H.; Knox, G.; Bronnenberg, B.J. Changing their tune: How consumers’ adoption of online streaming affects music consumption and discovery. Market. Sci. 2018, 37, 5–21. [Google Scholar] [CrossRef]
- Singaraju, S.P.; Rose, J.L.; Arango-Soler, L.A.; D’Souza, C.; Khaksar, S.M.S.; Brouwer, A.R. The dark age of advertising: An examination of perceptual factors affecting advertising avoidance in the context of mobile YouTube. J. Electron. Commer. Res. 2022, 23, 13–32. [Google Scholar]
- Chiou, L.; Tucker, C. Paywalls and the demand for news. Inf. Econ. Policy 2013, 25, 61–69. [Google Scholar] [CrossRef]
- Zhao, K.; Zhang, P.; Lee, H.M. Understanding the impacts of user-and marketer-generated content on free digital content consumption. Decis. Support Syst. 2022, 154, 113684. [Google Scholar] [CrossRef]
- Fibich, G.; Gavious, A.; Lowengart, O. Explicit solutions of optimization models and differential games with nonsmooth (asymmetric) reference-price effects. Oper. Res. 2003, 51, 721–734. [Google Scholar] [CrossRef]
- Towse, R.; Hernández, T.N. Handbook of Cultural Economics, 3rd ed.; Edward Elgar Publishing: Cheltenham, UK, 2020. [Google Scholar]
- Sethi, S.P. Optimal Control Theory—Applications to Management Science and Economics, 4th ed.; Springer: Cham, Switzerland, 2021. [Google Scholar]
- Luca, M. User-generated content and social media. In Handbook of Media Economics; Elsevier: Amsterdam, The Netherlands, 2015; Volume 1, pp. 563–592. [Google Scholar]
- Rieder, B.; Borra, E.; Coromina, Ò.; Matamoros-Fernández, A. Making a living in the creator economy: A large-scale study of linking on YouTube. Soc. Media Soc. 2023, 9, 20563051231180628. [Google Scholar] [CrossRef]
- Archak, N.; Ghose, A.; Ipeirotis, P.G. Deriving the pricing power of product features by mining consumer reviews. Manag. Sci. 2011, 57, 1485–1509. [Google Scholar] [CrossRef]
- Akopov, A.S. Designing of integrated system-dynamics models for an oil company. Int. J. Comput. Appl. Technol. 2012, 45, 220–230. [Google Scholar] [CrossRef]
- Schieritz, N.; GroBler, A. Emergent structures in supply chains-a study integrating agent-based and system dynamics modeling. In Proceedings of the 36th Annual Hawaii International Conference on System Sciences, Big Island, HI, USA, 6–9 January 2003. [Google Scholar]






| Notation | Description | |
|---|---|---|
| variable | online content subscription price at time | |
| quality effort of online content at time | ||
| content value dynamics at time , dynamically accumulated from historical quality | ||
| demand for freemium users at time | ||
| demand for subscription users at time | ||
| parameter | advertising revenue-sharing ratio for content creators, | |
| revenue generated by unit advertising intensity | ||
| advertising intensity | ||
| user engagement costs, such as time spent searching and cognitive effort | ||
| unit subsidy provided by the platform to creators for subscription users | ||
| marginal effect of historical quality on value dynamics, also used to portray the dispersion of content type (that is, a more significant results in a lower influence of historical quality and a higher content dispersion) | ||
| advertising revenue-sharing ratio for content creators |
Disclaimer/Publisher’s Note: The statements, opinions and data contained in all publications are solely those of the individual author(s) and contributor(s) and not of MDPI and/or the editor(s). MDPI and/or the editor(s) disclaim responsibility for any injury to people or property resulting from any ideas, methods, instructions or products referred to in the content. |
© 2025 by the authors. Licensee MDPI, Basel, Switzerland. This article is an open access article distributed under the terms and conditions of the Creative Commons Attribution (CC BY) license (https://creativecommons.org/licenses/by/4.0/).
Share and Cite
Bian, B.; Wang, H. Content Value Dynamics in Digital Platforms: Strategic Monetization and Operational Design. Mathematics 2025, 13, 3815. https://doi.org/10.3390/math13233815
Bian B, Wang H. Content Value Dynamics in Digital Platforms: Strategic Monetization and Operational Design. Mathematics. 2025; 13(23):3815. https://doi.org/10.3390/math13233815
Chicago/Turabian StyleBian, Bei, and Haiyan Wang. 2025. "Content Value Dynamics in Digital Platforms: Strategic Monetization and Operational Design" Mathematics 13, no. 23: 3815. https://doi.org/10.3390/math13233815
APA StyleBian, B., & Wang, H. (2025). Content Value Dynamics in Digital Platforms: Strategic Monetization and Operational Design. Mathematics, 13(23), 3815. https://doi.org/10.3390/math13233815

