Fixed-Time Synchronization of Memristive Inertial BAM Neural Networks via Aperiodic Switching Control
Abstract
1. Introduction
- (1)
- The BAM-IMNN considered in this paper includes mixed delays, inertial items, and state switching, which is more comprehensive compared to common NNs and can enrich the existing theoretical findings regarding FS and FTS for NNs.
- (2)
- (3)
- We devised easy aperiodically switching controllers to realize FS and FTS for the considered systems, which makes our outcomes more practical and feasible.
2. Preliminaries
2.1. Model and Assumptions
2.2. Difinition of Filippov Solution
2.3. Stabilization Model of BAM-IMNN (1)
2.4. Error System and Response System of BAM-IMNN (1)
2.5. Lemmas and Definitions
3. Results
3.1. FS of BAM-IMNN (1)
3.2. FTS of BAM-IMNNs (1) and (7)
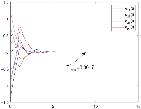
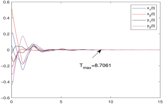
3.3. Numerical Simulations
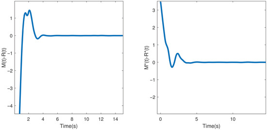
4. Application to Communication Security
5. Conclusions
Author Contributions
Funding
Data Availability Statement
Conflicts of Interest
References
- Hu, X.; Wang, L.; Zhang, C.K.; Wan, X.; He, Y. Fixed-time stabilization of discontinuous spatiotemporal neural networks with time-varying coefficients via aperiodically switching control. Sci. China Inf. Sci. 2023, 66, 152204. [Google Scholar] [CrossRef]
- Li, X.; She, K.; Zhong, S.; Shi, K.; Kang, W.; Cheng, J.; Yu, Y. Extended robust global exponential stability for uncertain switched memristor-based neural networks with time-varying delays. Appl. Math. Comput. 2018, 325, 271–290. [Google Scholar] [CrossRef]
- Tang, Q.; Jian, J. Global exponential convergence for impulsive inertial complex-valued neural networks with time-varying delays. Math. Comput. Simul. 2019, 159, 39–56. [Google Scholar] [CrossRef]
- Wang, L.; He, H.; Zeng, Z. Global synchronization of fuzzy memristive neural networks with discrete and distributed delays. IEEE Trans. Fuzzy Syst. 2019, 28, 2022–2034. [Google Scholar] [CrossRef]
- Li, H.; Li, C.; Huang, T.; Zhang, W. Fixed-time stabilization of impulsive Cohen–Grossberg BAM neural networks. Neural Netw. 2018, 98, 203–211. [Google Scholar] [CrossRef]
- Babcock, K.L.; Westervelt, R.M. Stability and dynamics of simple electronic neural networks with added inertia. Phys. D Nonlinear Phenom. 1986, 23, 464–469. [Google Scholar] [CrossRef]
- Wang, Z.; Liu, Y.; Xia, H.; Shen, H. Quasi-multisynchronization and quasi-monosynchronization of delayed neural networks with parameter mismatch via impulsive control. IEEE Trans. Autom. Sci. Eng. 2025, 22, 14646–14656. [Google Scholar] [CrossRef]
- Hopfield, J.J. Neural networks and physical systems with emergent collective computational abilities. Proc. Natl. Acad. Sci. USA 1982, 79, 2554–2558. [Google Scholar] [CrossRef] [PubMed]
- Cohen, M.A.; Grossberg, S. Absolute stability of global pattern formation and parallel memory storage by competitive neural networks. IEEE Trans. Syst. Man Cybern. 1983, SMC-13, 815–826. [Google Scholar] [CrossRef]
- Kosko, B. Bidirectional associative memories. IEEE Trans. Syst. Man Cybern. 1988, 18, 49–60. [Google Scholar] [CrossRef]
- Kosko, B. Adaptive bidirectional associative memories. Appl. Opt. 1987, 26, 4947–4960. [Google Scholar] [CrossRef] [PubMed]
- Song, Q.; Cao, J. Dynamics of bidirectional associative memory networks with delays and reaction–diffusion terms. Nonlinear Anal. 2007, 8, 345–361. [Google Scholar] [CrossRef]
- Cao, J.D.; Xiao, M. Stability and Hopf bifurcation in a simplified BAM neural network with two time delays. IEEE Trans. Neural Netw. 2007, 18, 416–430. [Google Scholar] [CrossRef] [PubMed]
- Du, S.Z.; Chen, Z.Q.; Yuan, Z.Z.; Zhang, X.H. Sensitivity to noise in bidirectional associative memory (BAM). IEEE Trans. Neural Netw. 2005, 16, 887–898. [Google Scholar] [CrossRef]
- Duan, L.; Li, J. Finite-time synchronization for a fully complex-valued BAM inertial neural network with proportional delays via non-reduced order and non-separation approach. Neurocomputing 2025, 611, 128648. [Google Scholar] [CrossRef]
- Duan, L.; Li, J. Fixed-time synchronization of fuzzy neutral-type BAM memristive inertial neural networks with proportional delays. Inf. Sci. 2021, 576, 522–541. [Google Scholar] [CrossRef]
- Arslan, E.; Narayanan, G.; Ali, M.S.; Arik, S.; Saroha, S. Controller design for finite-time and fixed-time stabilization of fractional-order memristive complex-valued BAM neural networks with uncertain parameters and time-varying delays. Neural Netw. 2020, 130, 60–74. [Google Scholar] [CrossRef]
- Ge, J.H.; Xu, J. Computation of synchronized periodic solution in a BAM network with two delays. IEEE Trans. Neural Netw. 2010, 21, 439–450. [Google Scholar]
- Zhang, Y.; Jiang, M.; Fang, X. A new fixed-time stability criterion and its application to synchronization control of memristor-based fuzzy inertial neural networks with proportional delay. Neural Process. Lett. 2020, 52, 1291–1315. [Google Scholar] [CrossRef]
- Zhang, Z.; Cao, J. Finite-time synchronization for fuzzy inertial neural networks by maximum value approach. IEEE Trans. Fuzzy Syst. 2021, 30, 1436–1446. [Google Scholar] [CrossRef]
- Jian, J.; Duan, L. Finite-time synchronization for fuzzy neutral-type inertial neural networks with time-varying coefficients and proportional delays. Fuzzy Sets Syst. 2020, 381, 51–67. [Google Scholar] [CrossRef]
- Jo, S.H.; Chang, T.; Ebong, I.; Bhadviya, B.B.; Mazumder, P.; Lu, W. Nanoscale memristor device as synapse in neuromorphic systems. Nano Lett. 2010, 10, 1297–1301. [Google Scholar] [CrossRef] [PubMed]
- Babcock, K.; Westerveit, R. Dynamics of simple electronic neural networks. Phys. D Nonlinear Phenom. 1987, 28, 305–316. [Google Scholar] [CrossRef]
- Xu, C.J.; Zhang, Q.M. Existence and global exponential stability of anti-periodic solutions for BAM neural networks with inertial term and delay. Neurocomputing 2015, 153, 108–116. [Google Scholar] [CrossRef]
- Tu, Z.W.; Cao, J.D.; Hayat, T. Global exponential stability in Lagrange sense for inertial neural networks with time-varying delays. Neurocomputing 2016, 171, 524–531. [Google Scholar] [CrossRef]
- Zhang, Z.Q.; Chen, M.; Li, A.L. Further study on finite-time synchronization for delayed inertial neural networks via inequality skills. Neurocomputing 2020, 373, 15–23. [Google Scholar] [CrossRef]
- Huang, C.X.; Liu, B.W. New studies on dynamic analysis of inertial neural networks involving non-reduced order method. Neurocomputing 2019, 325, 283–287. [Google Scholar] [CrossRef]
- Huang, C.X.; Yang, L.S.; Liu, B.W. New results on periodicity of non-autonomous inertial neural networks involving non-reduced order method. Neural Process. Lett. 2019, 50, 595–606. [Google Scholar] [CrossRef]
- Zhang, G.D.; Zeng, Z.G. Stabilization of second-order memristive neural networks with mixed time delays via nonreduced order. IEEE Trans. Neural Netw. Learn. Syst. 2020, 31, 700–706. [Google Scholar] [CrossRef]
- Chaouki, A.; El Abed, A. Effect of fuzziness on the stability of inertial neural networks with mixed delay via non-reduced order method. Int. J. Comput. Math. Comput. Syst. Theory 2019, 4, 151–170. [Google Scholar]
- Liu, M.; Jiang, H.J.; Hu, C. Finite-time synchronization of delayed dynamical networks via aperiodically intermittent control. J. Frankl. Inst. 2017, 354, 5374–5397. [Google Scholar] [CrossRef]
- Alimi, A.M.; Aouiti, C.; Assali, E.A. Finite-time and fixed-time synchronization of a class of inertial neural networks with multi-proportional delays and its application to secure communication. Neurocomputing 2019, 332, 29–43. [Google Scholar] [CrossRef]
- Zhang, G.D.; Shen, Y.; Chen, B.S. Positive periodic solutions in a non-selective harvesting predator–prey model with multiple delays. J. Math. Anal. Appl. 2012, 395, 298–306. [Google Scholar] [CrossRef]
- Gui, S.Y.; Wang, Z.H. Fixed/predefined-time projective synchronization of delayed discontinuous fuzzy neural networks via adaptive aperiodically switching strategy. J. Nonlinear Dyn. Appl. 2025, 1, 10–25. [Google Scholar] [CrossRef]
- Aouiti, C.; Hui, Q.; Jallouli, H.; Moulay, E. Fixed-time stabilization of fuzzy neutral-type inertial neural networks with time-varying delay. Fuzzy Sets Syst. 2021, 411, 48–67. [Google Scholar] [CrossRef]
- Chen, C.; Li, L.; Peng, H.; Yang, Y.; Mi, L.; Wang, L. A new fixed-time stability theorem and its application to the synchronization control of memristive neural networks. Neurocomputing 2019, 349, 290–300. [Google Scholar] [CrossRef]
- Hu, C.; He, H.; Jiang, H. Fixed/preassigned-time synchronization of complex networks via improving fixed-time stability. IEEE Trans. Cybern. 2020, 51, 2882–2892. [Google Scholar] [CrossRef]
- Gan, Q.; Li, L.; Yang, J.; Qin, Y.; Meng, M. Improved results on fixed/preassigned-time synchronization for memristive complex-valued neural networks. IEEE Trans. Neural Netw. Learn. Syst. 2021, 33, 5542–5556. [Google Scholar] [CrossRef]
- Liu, M.; Jiang, H.J.; Hu, C. Synchronization of hybrid-coupled delayed dynamical networks via aperiodically intermittent pinning control. J. Frankl. Inst. 2016, 353, 2722–2742. [Google Scholar] [CrossRef]
- Liu, X.W.; Chen, Z.; Zhou, L.J. Synchronization of coupled reaction–diffusion neural networks with hybrid coupling via aperiodically intermittent pinning control. J. Frankl. Inst. 2017, 354, 7053–7076. [Google Scholar] [CrossRef]
- Liu, L.J.; Chen, W.H.; Lu, X.M. Aperiodically intermittent H∞ synchronization for a class reaction–diffusion neural networks. Neurocomputing 2017, 222, 105–115. [Google Scholar] [CrossRef]
- Gan, Q.T.; Xiao, F.; Qin, Y.; Yang, J. Fixed-time cluster synchronization of discontinuous directed community networks via periodically or aperiodically switching control. IEEE Access 2019, 7, 83306–83318. [Google Scholar] [CrossRef]
- Zhang, W.; Li, C.D.; Huang, T.W.; Xiao, M.Q. Synchronization of neural networks with stochastic perturbation via aperiodically intermittent control. Neural Netw. 2015, 71, 105–111. [Google Scholar] [CrossRef] [PubMed]
- Zhang, Z.; Quan, Z. Global exponential stability via inequality technique for inertial BAM neural networks with time delays. Neurocomputing 2015, 151, 1316–1326. [Google Scholar] [CrossRef]
- Filippov, A.F. Differential Equations with Discontinuous Right-Hand Sides; Kluwer Academic Publishers: Dordrecht, The Netherlands, 1988. [Google Scholar]
- Han, J.; Chen, G.; Wang, L.; Zhang, G.D.; Hu, J. Direct approach on fixed-time stabilization and projective synchronization of inertial neural networks with mixed delays. Neurocomputing 2023, 535, 97–106. [Google Scholar] [CrossRef]
- Xiao, Z.; Zhang, G.D.; Wang, L.M.; Xiao, Q. Novel results on fixed-time stabilization and synchronization for delayed memristive inertial neural networks via aperiodically switching control. Commun. Nonlinear Sci. Numer. Simul. 2025; under review. [Google Scholar]
- He, H.; Zhou, Y.; Jiang, G.; Wang, L.M. Distributed practical prescribed-time secondary control of microgrid under event-triggered communication. J. Nonlinear Dyn. Appl. 2025, 1, 36–51. [Google Scholar] [CrossRef]
- Xia, Y.; Yang, Z.; Han, M. Lag synchronization of unknown chaotic delayed Yang Yang-type fuzzy neural networks with noise perturbation based on adaptive control and parameter identification. IEEE Trans. Neural Netw. 2009, 20, 1165–1180. [Google Scholar]
- Yang, T. A survey of chaotic secure communication systems. Int. J. Comput. Cogn. 2004, 2, 81–130. [Google Scholar]






| Parameters | |||||||||||||
| Values | 0.5 | 0.3 | 2.2 | 1.6 | 1.8 | −3.24 | −3.2 | 4.2 | 4.3 | −0.01 | −0.01 | 0.01 | 0.02 |
| Parameters | |||||||||||||
| Values | 0.5 | 0.3 | −1.6 | −2.4 | −2.6 | −2.5 | −2.45 | 2.8 | 2.87 | −0.01 | −0.01 | 0.01 | 0.02 |
| Parameters | |||||||||||||
| Values | 1.5 | 0.6 | 0.6 | 0.5 | 0.3 | −4.16 | −4.24 | 2.5 | 2.9 | 0.01 | 0.02 | −0.05 | −0.02 |
| Parameters | |||||||||||||
| Values | 1.5 | 0.6 | −1.8 | −1.1 | −1.13 | −2.9 | −2.8 | 3.25 | 3.27 | 0.01 | 0.02 | −0.05 | −0.02 |
| Parameters | ||||||||
| Values | 15.5 | 0.8 | 26 | 26 | 52 | 52 | 11.6 | 2.3 |
| Parameters | ||||||||
| Values | 15.5 | 0.8 | 26 | 26 | 52 | 52 | 9.7 | 2.3 |
| Parameters | ||||||||
| Values | 23.95 | 0.6 | 26 | 26 | 52 | 52 | 8.5 | 2.3 |
| Parameters | ||||||||
| Values | 23.95 | 0.6 | 26 | 26 | 52 | 52 | 9.2 | 2.3 |
Disclaimer/Publisher’s Note: The statements, opinions and data contained in all publications are solely those of the individual author(s) and contributor(s) and not of MDPI and/or the editor(s). MDPI and/or the editor(s) disclaim responsibility for any injury to people or property resulting from any ideas, methods, instructions or products referred to in the content. |
© 2025 by the authors. Licensee MDPI, Basel, Switzerland. This article is an open access article distributed under the terms and conditions of the Creative Commons Attribution (CC BY) license (https://creativecommons.org/licenses/by/4.0/).
Share and Cite
Zhou, X.; Han, J.; Li, Y.; Zhang, G. Fixed-Time Synchronization of Memristive Inertial BAM Neural Networks via Aperiodic Switching Control. Mathematics 2025, 13, 3592. https://doi.org/10.3390/math13223592
Zhou X, Han J, Li Y, Zhang G. Fixed-Time Synchronization of Memristive Inertial BAM Neural Networks via Aperiodic Switching Control. Mathematics. 2025; 13(22):3592. https://doi.org/10.3390/math13223592
Chicago/Turabian StyleZhou, Xiao, Jing Han, Yan Li, and Guodong Zhang. 2025. "Fixed-Time Synchronization of Memristive Inertial BAM Neural Networks via Aperiodic Switching Control" Mathematics 13, no. 22: 3592. https://doi.org/10.3390/math13223592
APA StyleZhou, X., Han, J., Li, Y., & Zhang, G. (2025). Fixed-Time Synchronization of Memristive Inertial BAM Neural Networks via Aperiodic Switching Control. Mathematics, 13(22), 3592. https://doi.org/10.3390/math13223592

