An Inferential Study of Discrete One-Parameter Linear Exponential Distribution Under Randomly Right-Censored Data
Abstract
1. Introduction
2. Maximum Likelihood Estimations
2.1. Point Estimation
2.2. Interval Estimation
3. Bayesian Estimation
- case I
- Assume the parameter flowing Gamma priors with shape parameter and rate parameter 1. The Gamma prior is employed due to its flexibility and capacity to encapsulate a wide range of prior beliefs, making it a suitable choice for Bayesian analysis. The hyperparameter of the Gamma prior was selected in such a way that the Gamma prior mean (shape/rate) was the same as the original mean (parameter value); see [22,23,24]. The corresponding prior density function of is given by:where is a positive parameter. The posterior density function of given the data is expressed as follows:
- case II
- In the case of a non-informative prior, little or no prior information is available about the unknown parameter. For , an improper non-informative prior is adopted, which can be expressed in the form of a uniform density over its parameter space, with probability density function given by:The uniform prior was preferred for its simplicity and computational stability. The posterior density function of can be expressed as follows:
3.1. Bayesian Estimator Under SELF
3.2. Bayesian Estimator Under LINEX Loss Function
3.3. Bayesian Estimation Under GELF
- 1
- Set the initial values
- 2
- Generate from a normal distribution centered at the current estimate as
- 3
- The acceptance probability is computed as
- 4
- The chain is iterated M times to obtain posterior samples, .

4. Simulation
- *
- To evaluate the accuracy and precision of parameter estimates for the DLE distribution based on random right-censored samples.
- *
- To compare the performance of the ML and Bayesian approaches under different loss functions.
- *
- To investigate the impact of sample size and prior assumptions on the performance of the estimation methods.
- 1.
- Fix the value of the parameter .
- 2.
- Obtain from DLE distribution; i = 1,…, n.
- 3.
- Draw n random pseudo from uniform distribution i.e., This distribution controls the censorship mechanism.
- 4.
- Construct the observed data as follows:Consequently, the pairs form the random right-censored dataset.
- As the sample size increases, the RMSE of both ML and Bayesian estimators declines, reflecting enhanced accuracy and convergence toward unbiasedness.
- An increase in sample size leads to a reduction in the RMSE for both ML and Bayesian estimators, confirming their improved precision and asymptotic unbiased behavior.
- The Bayesian estimators with informative priors generally outperform those with non-informative priors.
- Bayesian estimates under asymmetric loss functions with a positive weight yield smaller RMSE values and shorter credible intervals compared to those with a negative weight.
- Among the Bayesian methods, GELF with positive weight consistently yields the smallest RMSE and the shortest interval lengths.
- The ML estimator and the Bayesian estimator under GELF with positive weight show superior and consistent performance across all sample sizes.
| n | ML | Bayesian Estimation | |||||
|---|---|---|---|---|---|---|---|
| SELF | LINEX | GELF | |||||
| c = −1.5 | c = 1.5 | q = −1.5 | q=1.5 | ||||
| Estimate Bias MSE Length | Estimate Bias MSE Length | Estimate Bias MSE Length | Estimate Bias MSE Length | Estimate Bias MSE Length | Estimate Bias MSE Length | ||
| 0.01 | 20 | ||||||
| 100 | |||||||
| 500 | |||||||
| 1000 | |||||||
| 0.1 | 20 | ||||||
| 100 | |||||||
| 500 | |||||||
| 1000 | |||||||
| 0.5 | 20 | ||||||
| 100 | |||||||
| 500 | |||||||
| 1000 | |||||||
| 1 | 20 | ||||||
| 100 | |||||||
| 500 | |||||||
| 1000 | |||||||
| n | ML | Bayesian Estimation | |||||
|---|---|---|---|---|---|---|---|
| SELF | LINEX | GELF | |||||
| c = −1.5 | c = 1.5 | q = −1.5 | q=1.5 | ||||
| Estimate Bias MSE Length | Estimate Bias MSE Length | Estimate Bias MSE Length | Estimate Bias MSE Length | Estimate Bias MSE Length | Estimate Bias MSE Length | ||
| 0.01 | 20 | ||||||
| 100 | |||||||
| 500 | |||||||
| 1000 | |||||||
| 0.1 | 20 | ||||||
| 100 | |||||||
| 500 | |||||||
| 1000 | |||||||
| 0.5 | 20 | ||||||
| 100 | |||||||
| 500 | |||||||
| 1000 | |||||||
| 1 | 20 | ||||||
| 100 | |||||||
| 500 | |||||||
| 1000 | |||||||

5. Applications in Random Right-Censored Data
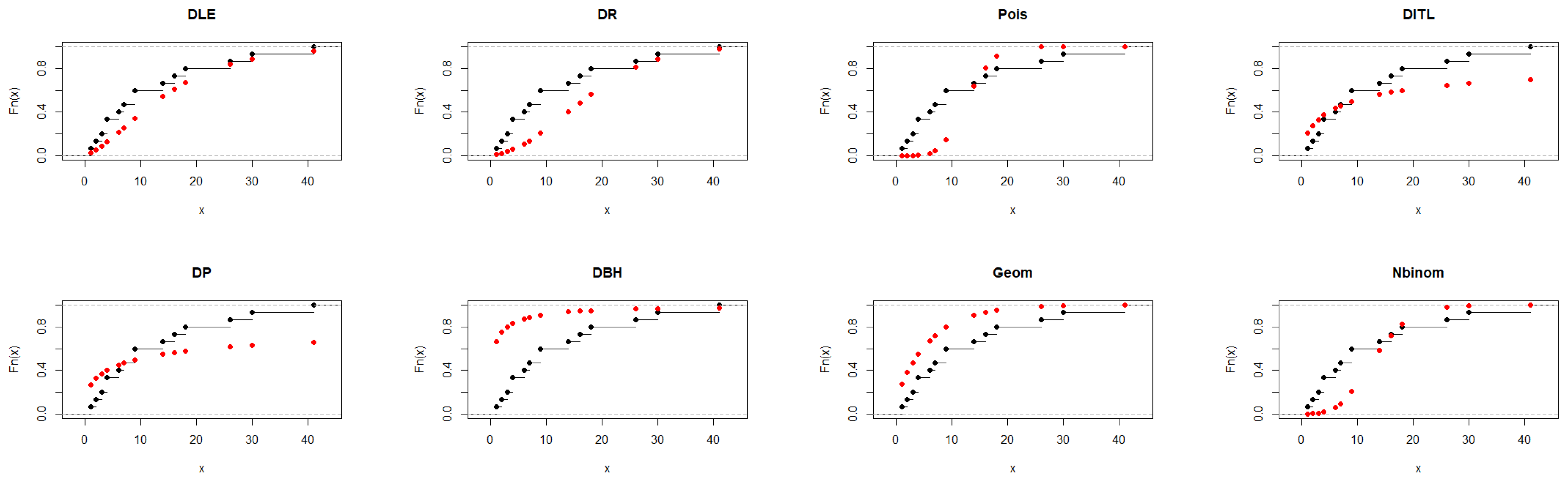
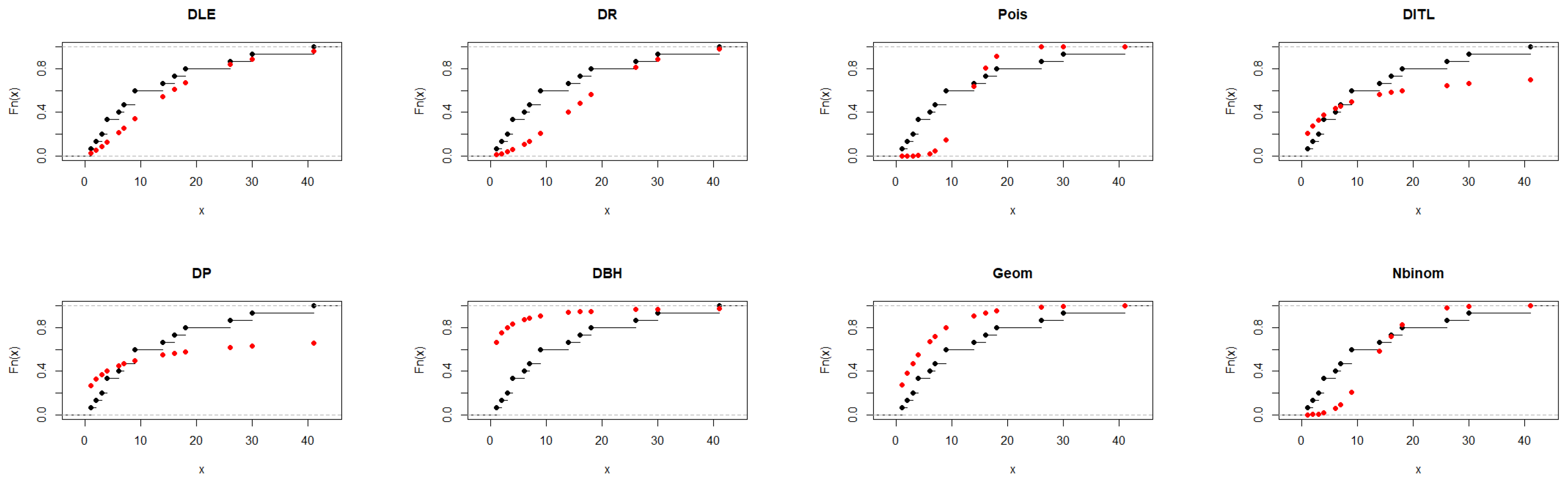
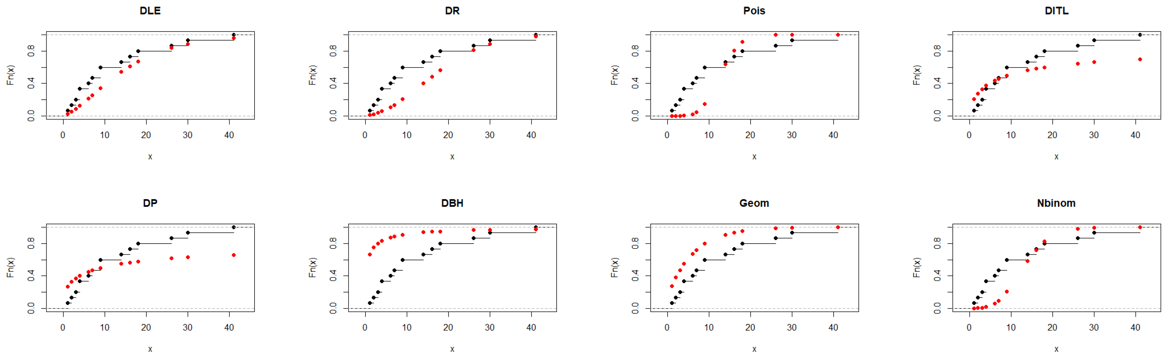
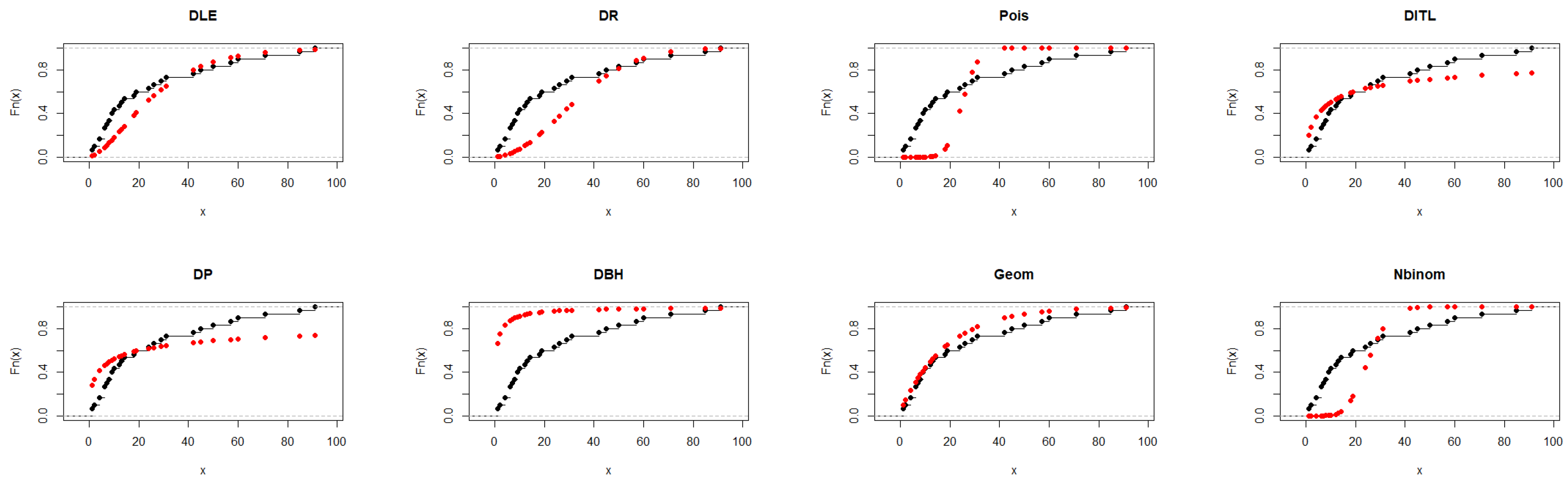
5.1. Real Data Analysis for Comparing Competing Discrete Models
5.1.1. Dataset I
5.1.2. Dataset II
5.1.3. Dataset III
5.2. Real Data Analysis for Assessing Classical and Bayesian Estimation Techniques
5.2.1. Dataset I
5.2.2. Dataset II
5.2.3. Dataset III
6. Conclusions
Author Contributions
Funding
Data Availability Statement
Acknowledgments
Conflicts of Interest
Appendix A. The Derivative of log-Likelihood
References
- Lawless, J.F. Statistical Models and Methods for Lifetime Data; John Wiley & Sons: Hoboken, NJ, USA, 2011. [Google Scholar]
- Kaplan, E.L.; Meier, P. Nonparametric estimation from incomplete observations. J. Am. Stat. Assoc. 1958, 53, 457–481. [Google Scholar] [CrossRef]
- Giné, E.; Guillou, A. On consistency of kernel density estimators for randomly censored data: Rates holding uniformly over adaptive intervals. In Proceedings of the Annales de l’IHP Probabilités et Statistiques, Paris, France, 18–20 June 2001; Volume 37, pp. 503–522. [Google Scholar]
- Kohler, M.; Máthé, K.; Pintér, M. Prediction from randomly right censored data. J. Multivar. Anal. 2002, 80, 73–100. [Google Scholar] [CrossRef]
- Khardani, S. Relative error prediction for twice censored data. Math. Methods Stat. 2019, 28, 291–306. [Google Scholar] [CrossRef]
- Khardani, S.; Lemdani, M.; Saïd, E.O. Some asymptotic properties for a smooth kernel estimator of the conditional mode under random censorship. J. Korean Stat. Soc. 2010, 39, 455–469. [Google Scholar] [CrossRef]
- El-Morshedy, M.; Eliwa, M.; Nagy, H. A new two-parameter exponentiated discrete Lindley distribution: Properties, estimation and applications. J. Appl. Stat. 2020, 47, 354–375. [Google Scholar] [CrossRef]
- Eliwa, M.S.; Altun, E.; El-Dawoody, M.; El-Morshedy, M. A new three-parameter discrete distribution with associated INAR (1) process and applications. IEEE Access 2020, 8, 91150–91162. [Google Scholar] [CrossRef]
- ul Haq, M.A.; Babar, A.; Hashmi, S.; Alghamdi, A.S.; Afify, A.Z. The discrete type-II half-logistic exponential distribution with applications to COVID-19 data. Pak. J. Stat. Oper. Res. 2021, 17, 921–932. [Google Scholar] [CrossRef]
- Eliwa, M.; Altun, E.; Alhussain, Z.A.; Ahmed, E.A.; Salah, M.M.; Ahmed, H.H.; El-Morshedy, M. A new one-parameter lifetime distribution and its regression model with applications. PLoS ONE 2021, 16, e0246969. [Google Scholar] [CrossRef] [PubMed]
- Alghamdi, A.S.; Ahsan-ul Haq, M.; Babar, A.; Aljohani, H.M.; Afify, A.Z.; Cell, Q.E. The discrete power-Ailamujia distribution: Properties, inference, and applications. AIMS Math. 2022, 7, 8344–8360. [Google Scholar] [CrossRef]
- Eldeeb, A.S.; Ahsan-ul Haq, M.; Eliwa, M.S.; Cell, Q.E. A discrete Ramos-Louzada distribution for asymmetric and over-dispersed data with leptokurtic-shaped: Properties and various estimation techniques with inference. AIMS Math. 2022, 7, 1726–1741. [Google Scholar] [CrossRef]
- Almetwally, E.M.; Abdo, D.A.; Hafez, E.; Jawa, T.M.; Sayed-Ahmed, N.; Almongy, H.M. The new discrete distribution with application to COVID-19 Data. Results Phys. 2022, 32, 104987. [Google Scholar] [CrossRef] [PubMed]
- Afify, A.Z.; Ahsan-ul Haq, M.; Aljohani, H.M.; Alghamdi, A.S.; Babar, A.; Gómez, H.W. A new one-parameter discrete exponential distribution: Properties, inference, and applications to COVID-19 data. J. King Saud Univ.-Sci. 2022, 34, 102199. [Google Scholar] [CrossRef]
- Shamlan, D.; Baaqeel, H.; Fayomi, A. A Discrete Odd Lindley Half-Logistic Distribution with Applications. J. Phys. Conf. Ser. 2024, 2701, 012034. [Google Scholar] [CrossRef]
- Al-Harbi, K.; Fayomi, A.; Baaqeel, H.; Alsuraihi, A. A Novel Discrete Linear-Exponential Distribution for Modeling Physical and Medical Data. Symmetry 2024, 16, 1123. [Google Scholar] [CrossRef]
- Krishna, H.; Goel, N. Maximum likelihood and Bayes estimation in randomly censored geometric distribution. J. Probab. Stat. 2017, 2017. [Google Scholar] [CrossRef]
- Achcar, J.A.; Martinez, E.Z.; de Freitas, B.C.L.; de Oliveira Peres, M.V. Classical and Bayesian inference approaches for the exponentiated discrete Weibull model with censored data and a cure fraction. Pak. J. Stat. Oper. Res. 2021, 17, 467–481. [Google Scholar] [CrossRef]
- Pandey, A.; Singh, R.P.; Tyagi, A. An Inferential Study of Discrete Burr-Hatke Exponential Distribution under Complete and Censored Data. Reliab. Theory Appl. 2022, 17, 109–122. [Google Scholar]
- Tyagi, A.; Singh, B.; Agiwal, V.; Nayal, A.S. Analysing Random Censored Data from Discrete Teissier Model. Reliab. Theory Appl. 2023, 18, 403–411. [Google Scholar]
- Cohen, A.C. Maximum likelihood estimation in the Weibull distribution based on complete and on censored samples. Technometrics 1965, 7, 579–588. [Google Scholar] [CrossRef]
- Basu, S.; Singh, S.K.; Singh, U. Estimation of inverse Lindley distribution using product of spacings function for hybrid censored data. Methodol. Comput. Appl. Probab. 2019, 21, 1377–1394. [Google Scholar] [CrossRef]
- Kurdi, T.; Nassar, M.; Alam, F.M.A. Bayesian Estimation Using Product of Spacing for Modified Kies Exponential Progressively Censored Data. Axioms 2023, 12, 917. [Google Scholar] [CrossRef]
- Alkhairy, I. Classical and Bayesian inference for the discrete Poisson Ramos-Louzada distribution with application to COVID-19 data. Math. Biosci. Eng. 2023, 20, 14061–14080. [Google Scholar] [CrossRef]
- Varian, H.R. A Bayesian approach to real estate assessment. In Studies in Bayesian Econometrics and Statistics in Honor of Leonard J. Savage; Fienberg, S.E., Zellner, A., Eds.; North-Holland Publishing Company: Amsterdam, The Netherlands, 1975; pp. 195–208. [Google Scholar]
- Calabria, R.; Pulcini, G. An engineering approach to Bayes estimation for the Weibull distribution. Microelectron. Reliab. 1994, 34, 789–802. [Google Scholar] [CrossRef]
- Ramos, P.L.; Guzman, D.C.; Mota, A.L.; Rodrigues, F.A.; Louzada, F. Sampling with censored data: A practical guide. arXiv 2020, arXiv:2011.08417. [Google Scholar] [CrossRef]
- Roy, D. Discrete rayleigh distribution. IEEE Trans. Reliab. 2004, 53, 255–260. [Google Scholar] [CrossRef]
- Poisson, S.D. Recherches sur la Probabilité des Jugements en Matière Criminelle et en Matière Civile: Précédées des Règles GénéRALES du Calcul des Probabilités; Bachelier: Oslo, Norway, 1837; pp. 206–207. [Google Scholar]
- Krishna, H.; Pundir, P.S. Discrete Burr and discrete Pareto distributions. Stat. Methodol. 2009, 6, 177–188. [Google Scholar] [CrossRef]
- El-Morshedy, M.; Eliwa, M.S.; Altun, E. Discrete Burr-Hatke distribution with properties, estimation methods and regression model. IEEE Access 2020, 8, 74359–74370. [Google Scholar] [CrossRef]
- Eldeeb, A.S.; Ahsan-Ul-Haq, M.; Babar, A. A discrete analog of inverted Topp-Leone distribution: Properties, estimation and applications. Int. J. Anal. Appl. 2021, 19, 695–708. [Google Scholar]
- de Laplace, P.S. Théorie Analytique des Probabilités; Courcier: Paris, France, 1820; Volume 7. [Google Scholar]
- de Montmort, P.R.; Bernoulli, J.; Bernoulli, N. Essai d’Analyse sur les Jeux de Hazards; Seconde Édition Revue & augmentée de Plusieurs Lettres; Chez Claude Jombert: Paris, France, 1714. [Google Scholar]
- Geweke, J. Evaluating the accuracy of sampling-based approaches to the calculation of posterior moments. Bayesian Stat. 1992, 4, 169–193. [Google Scholar]






| Models | Abbreviation | Author(s) |
|---|---|---|
| Discrete Raleigh | DR | [28] |
| Poisson | Pois | [29] |
| Discrete Pareto | DP | [30] |
| Discrete Burr–Hatke | DBH | [31] |
| Discrete Inverted Topp–Leone | DITL | [32] |
| Geometric | GEOM | [33] |
| Negative Binomial | Nbinom | [34] |
| Models | ML (S.E.) | -LL | AIC | BIC | K-S | p-Value |
|---|---|---|---|---|---|---|
| DLE | 0.0039 (0.0006) | 126.381 | 254.761 | 255.757 | 0.146 | 0.784 |
| DR | 0.999 (0.000) | 125.856 | 253.712 | 254.708 | 0.109 | 0.971 |
| Pois | 471.699 (4.857) | −1159.51 | 2321.01 | 2322.00 | 0.499 | 0.000 |
| DITL | 0.168 (0.072) | 157.164 | 316.329 | 317.325 | 0.527 | 0.000 |
| DP | 0.149 (0.035) | 159.328 | 320.657 | 321.653 | 0.535 | 0.000 |
| DBH | 6.4 (0.0005) | 227.841 | 457.681 | 458.677 | 0.994 | 0.000 |
| Geom | 0.0024 (0.0006) | 126.887 | 255.774 | 256.769 | 0.339 | 0.019 |
| Nbinom | 0.040 (0.0019) | 148.331 | 298.662 | 299.658 | 0.319 | 0.034 |
| Models | ML (S.E.) | -LL | AIC | BIC | K-S | p-Value |
|---|---|---|---|---|---|---|
| DLE | 0.069 (0.009) | 102.85 | 237.817 | 239.219 | 0.254 | 0.042 |
| DR | 0.999 (0.000) | 130.114 | 262.229 | 263.629 | 0.506 | 0.000 |
| Pois | 25.675 (0.932) | 412.885 | 827.769 | 829.171 | 0.524 | 0.000 |
| DITL | 0.383 (0.129) | 115.205 | 232.409 | 233.810 | 0.265 | 0.029 |
| DP | 0.296 (0.059) | 119.915 | 241.831 | 243.232 | 0.312 | 0.006 |
| DBH | 6.47 × 10−9 (0.007) | 148.893 | 299.785 | 301.186 | 0.733 | 0.000 |
| Geom | 0.052 (0.009) | 99.826 | 201.653 | 203.054 | 0.164 | 0.396 |
| Nbinom | 0.537 (0.012) | 260.541 | 523.083 | 524.484 | 0.497 | 0.000 |
| Models | ML (S.E.) | -LL | AIC | BIC | K-S | p-Value |
|---|---|---|---|---|---|---|
| DLE | 0.121 (0.025) | 42.179 | 86.358 | 87.066 | 0.257 | 0.276 |
| DR | 0.998 (0.000) | 47.142 | 96.284 | 96.993 | 0.696 | 0.000 |
| Pois | 13.375 (0.971) | 98.929 | 199.859 | 200.567 | 0.457 | 0.004 |
| DITL | 0.392 (0.174) | 39.249 | 80.499 | 81.207 | 0.299 | 0.136 |
| DP | 0.287 (0.091) | 41.257 | 84.514 | 85.222 | 0.339 | 0.062 |
| DBH | 6.47 ×10−9 (0.036) | 53.621 | 109.243 | 109.951 | 0.683 | 0.000 |
| Geom | 0.147 (0.039) | 29.041 | 60.082 | 60.789 | 0.349 | 0.051 |
| Nbinom | 0.520 (0.025) | 67.114 | 136.228 | 136.936 | 0.395 | 0.019 |
| Method | AIC | BIC | K-S | p-Value | ||
|---|---|---|---|---|---|---|
| ML | 0.004 | 254.761 | 255.757 | 0.146 | 0.784 | |
| Case I | SELF | 0.004 | 254.764 | 255.759 | 0.144 | 0.798 |
| P-LINEX | 0.004 | 254.764 | 255.759 | 0.144 | 0.798 | |
| N-LINEX | 0.004 | 254.764 | 255.759 | 0.144 | 0.798 | |
| P-GELF | 0.004 | 254.832 | 255.827 | 0.144 | 0.799 | |
| N-GELF | 0.004 | 254.761 | 255.757 | 0.146 | 0.788 | |
| Case II | SELF | 0.004 | 254.777 | 255.772 | 0.151 | 0.750 |
| P-LINEX | 0.004 | 254.776 | 255.772 | 0.151 | 0.751 | |
| N-LINEX | 0.004 | 254.777 | 255.772 | 0.151 | 0.750 | |
| P-GELF | 0.004 | 254.767 | 255.763 | 0.143 | 0.805 | |
| N-GELF | 0.004 | 254.788 | 255.784 | 0.153 | 0.739 |
| Method | AIC | BIC | K-S | p-Value | ||
|---|---|---|---|---|---|---|
| ML | 0.069 | 237.817 | 239.219 | 0.254 | 0.042 | |
| Case I | SELF | 0.069 | 237.819 | 239.220 | 0.255 | 0.040 |
| P-LINEX | 0.069 | 237.819 | 239.221 | 0.255 | 0.040 | |
| N-LINEX | 0.069 | 237.818 | 239.291 | 0.255 | 0.040 | |
| P-GELF | 0.068 | 237.862 | 239.264 | 0.263 | 0.031 | |
| N-GELF | 0.069 | 237.817 | 239.218 | 0.254 | 0.042 | |
| Case II | SELF | 0.071 | 237.826 | 239.227 | 0.250 | 0.047 |
| P-LINEX | 0.071 | 237.825 | 239.226 | 0.250 | 0.046 | |
| N-LINEX | 0.071 | 237.827 | 239.229 | 0.250 | 0.047 | |
| P-GELF | 0.069 | 237.823 | 239.224 | 0.256 | 0.039 | |
| N-GELF | 0.071 | 237.833 | 239.234 | 0.249 | 0.049 |
| Method | AIC | BIC | K-S | p-Value | ||
|---|---|---|---|---|---|---|
| ML | 0.121 | 86.358 | 87.066 | 0.257 | 0.276 | |
| Case I | SELF | 0.120 | 86.361 | 87.069 | 0.262 | 0.256 |
| P-LINEX | 0.119 | 86.363 | 87.071 | 0.263 | 0.249 | |
| N-LINEX | 0.121 | 86.359 | 87.067 | 0.260 | 0.263 | |
| P-GELF | 0.113 | 86.462 | 87.170 | 0.286 | 0.172 | |
| N-GELF | 0.121 | 86.358 | 87.066 | 0.257 | 0.275 | |
| Case II | SELF | 0.125 | 86.382 | 87.090 | 0.243 | 0.340 |
| P-LINEX | 0.125 | 86.376 | 87.084 | 0.244 | 0.332 | |
| N-LINEX | 0.126 | 86.388 | 87.096 | 0.241 | 0.349 | |
| P-GELF | 0.119 | 86.369 | 87.077 | 0.266 | 0.237 | |
| N-GELF | 0.127 | 86.399 | 87.107 | 0.238 | 0.363 |
| Dataset | I | II | III |
|---|---|---|---|
| Z-score | −0.7998 | −0.7516 | −0.847 |
Disclaimer/Publisher’s Note: The statements, opinions and data contained in all publications are solely those of the individual author(s) and contributor(s) and not of MDPI and/or the editor(s). MDPI and/or the editor(s) disclaim responsibility for any injury to people or property resulting from any ideas, methods, instructions or products referred to in the content. |
© 2025 by the authors. Licensee MDPI, Basel, Switzerland. This article is an open access article distributed under the terms and conditions of the Creative Commons Attribution (CC BY) license (https://creativecommons.org/licenses/by/4.0/).
Share and Cite
Baaqeel, H.; Al-Harbi, K.; Fayomi, A. An Inferential Study of Discrete One-Parameter Linear Exponential Distribution Under Randomly Right-Censored Data. Mathematics 2025, 13, 3520. https://doi.org/10.3390/math13213520
Baaqeel H, Al-Harbi K, Fayomi A. An Inferential Study of Discrete One-Parameter Linear Exponential Distribution Under Randomly Right-Censored Data. Mathematics. 2025; 13(21):3520. https://doi.org/10.3390/math13213520
Chicago/Turabian StyleBaaqeel, Hanan, Khlood Al-Harbi, and Aisha Fayomi. 2025. "An Inferential Study of Discrete One-Parameter Linear Exponential Distribution Under Randomly Right-Censored Data" Mathematics 13, no. 21: 3520. https://doi.org/10.3390/math13213520
APA StyleBaaqeel, H., Al-Harbi, K., & Fayomi, A. (2025). An Inferential Study of Discrete One-Parameter Linear Exponential Distribution Under Randomly Right-Censored Data. Mathematics, 13(21), 3520. https://doi.org/10.3390/math13213520

