Study of Soliton Solutions, Bifurcation, Quasi-Periodic, and Chaotic Behaviour in the Fractional Coupled Schrödinger Equation
Abstract
1. Introduction
2. Preliminaries
- ;
- ;
- ;
- ;
- ;
- , where is included in the range of .
3. Mathematical Analysis
- Real parts:
- The fourth order differential Equations (10) can be expressed as a system of first order differential equations in the formAlthough system (11) is conservative because , it is not Hamiltonian due to the non-existence of a Hamiltonian function producing system (11) using Hamilton canonical Equations [32]. It is obvious that system (11) is a complicated four-dimensional phase portrait. Therefore, we investigate the dynamical behaviour of system (10) in the sub-manifold with constant of the four-dimensional phase space . Inserting into system (11), it reduces to a two-dimensional dynamical system if the included parameters admit the restrictionsHence, the two-dimensional dynamical system has the formwhere and r are new parameters introduced for simplicity, and they are given bySystem (13) is conservative and Hamiltonian since and it can be derived from the Hamiltonianby employing Hamilton canonical Equations [32,33]. The Hamiltonian (15) is a constant of motion, i.e., it takes a constant value along all phase orbits due to it does not rely explicitly on the independent variable , which plays the role of time in Hamiltonian mechanics. Hence, we havewhere is an arbitrary parameter which plays a significant role, as we will see later. The problem of constructing exact solutions to Equation (1) is equivalent to finding the solutions of the particle’s one-dimensional motion described by the Hamiltonian system (13) under the influence of a three-parameter potential function given byHence, we substitute (13a) into the conserved quantity (16) and separate the variables. Consequently, we have the next one-dimensional formwhere the quartic polynomial is given by
- To integrate both sides of Equation (18), it is important to ensure the precise determination of the ranges of the parameters , and r. This range can be identified using two approaches: the complete discriminant system for the polynomial [34] and the bifurcation method [35]. The latter method is particularly valuable as it classifies solution types before their construction by linking them to phase orbits. Moreover, it enables the study of solution dependence on initial conditions through the degeneracy property.
4. Bifurcation Analysis
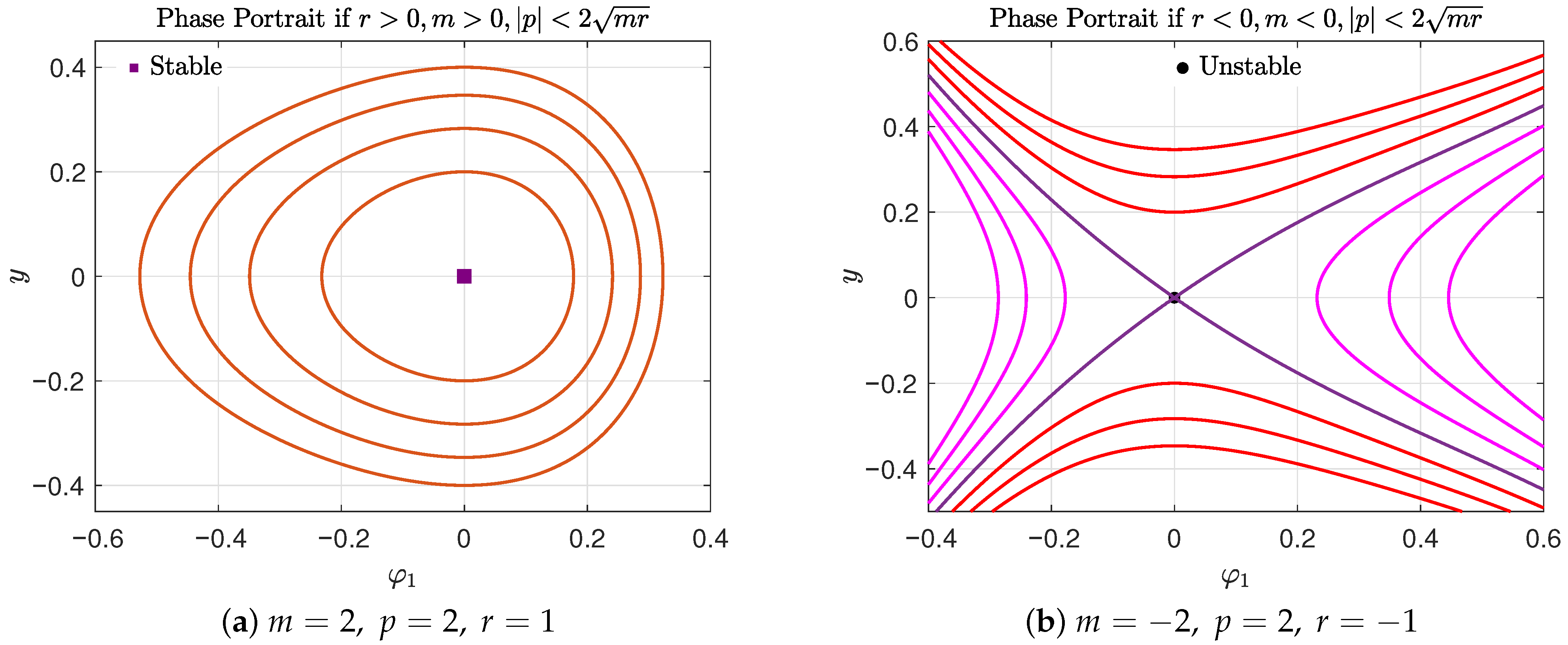
- Case A: When , which is equivalent to the condition with , system (13) admits one equilibrium point at . To characterize O, we invoke Lagrange’s Theorem 1. A direct computation yields . Consequently, point O serves as a local maximum of the potential function (17) when , corresponding to a saddle point in the Hamiltonian system (13). Conversely, if , O becomes a local minimum of the potential, signifying a center point in the phase portrait of the Hamiltonian system. The phase portrait related to this case is illustrated in Figure 1. At the equilibrium point O, the bifurcation parameter takes the value . When with and , system (13) exhibits a bounded family of periodic orbits encircling the center equilibrium O, denoted by , as shown in Figure 1a, and occurring for all positive values of . In contrast, when with and , the phase portrait comprises two distinct families of unbounded orbits: red orbits for and cyan for , separated by a single unbounded orbit highlighted in purple at .
- Case B: If , which corresponds to the condition with , then system (13) admits two equilibrium points: and . In order to classify these points, we invoke the Lagrange Theorem 1. A direct computation yieldsConsequently, the equilibrium point corresponds to a cusp. Point O behaves either as a center when , or as a saddle when . The corresponding phase portraits of system (13) are illustrated in Figure 2. Let us postulate the bifurcation parameter at O and as and . The phase portrait in this configuration is characterized as follows:
- Moreover, there is a trajectory in green separating these two families.
- Case C: When , i.e., when , the Hamiltonian system (13) possesses the three equilibrium points:To classify these equilibrium points, we apply Lagrange’s Theorem 1 and evaluate the second derivatives of the potential :Additionally, we determine the bifurcation parameter at these points:which plays a key role in characterizing the phase portrait. According to the sign of the product , we now consider the following two cases:
- I. First, we assume and consequently, the condition yields or . Therefore, we consider the subsequent cases:
- (a) If , and , the equilibria O and are center points, while is a saddle point. The phase portrait is depicted in Figure 3a, which consists of different kinds of bounded orbits, relying on the parameter value. There is a family of super-periodic orbits in red, characterized by for , two brown families of periodic orbits around the center points O and , characterized by for , a family of green periodic orbits around the center point , characterized by for , and a single cyan periodic orbit for also around . In addition, there are two opposite homoclinic trajectories in purple for , characterized by .
- (b) On the other hand, when and , the equilibrium points O and are centers, whereas is a saddle. Figure 3b illustrates the corresponding phase portrait, where the orbits are all bounded and classified into distinct types according to their value. A similar phase characterization to that in (a) can be provided.
- (c) When , and , the equilibrium points O and behave as saddles, while behaves as the center. The corresponding phase plane is presented in Figure 3c, where, obviously, there is one family of periodic red trajectories for , denoted by , while all the other orbits are unbounded.
- (d) When , , and , point O becomes a saddle, whereas is also a saddle and acts as a center. Figure 3d illustrates the corresponding phase portrait. The dynamics in this scenario resemble those described in case (c).
- II. If , the inequality holds automatically. We therefore analyze the following cases:
- (a) If , , and , point O is a saddle, while and are centers. The phase portrait of system (13) for this case is depicted in Figure 4a, where the orbits are all bounded. Specifically, we have
- For , there exists a family of red periodic orbits encircling the center .
- For , two families, in brown, of closed periodic orbits emerge around the two central equilibria and , confined inside the two blue homoclinic orbits at .
- A single cyan periodic trajectory occurs at .
- All periodic trajectories mentioned above are of type . Additionally, for , a family of green super-periodic trajectories, governed by, associated with , appears. An analogous explanation can be provided for Figure 4b.
- (b) When , , and , the equilibrium point O becomes the center, while and are both saddles. The related phase plane is shown in Figure 4b, which contains a single family of closed periodic orbits, confined within the blue homoclinic orbit that occurs at , whereas the other trajectories are unbounded. Figure 4d can be interpreted in a similar manner.
5. Exact Solutions
5.1. Periodic Solutions
- If , there is a closed orbit family defined by and for one orbit, has two real roots, say and two conjugate complex roots and . The interval of real propagation in this case is , through which the integration leads towhere is the elliptic Jacobian function of modulus k [38], and . Therefore, we obtain the first solution of Equation (1) as
- If , there is a unique closed orbit in cyan, as in Figure 3a, defined by and in this case, the roots of are . The interval of real propagation in this case is through which the integration leads toThen,is a solution of Equation (1).
- If , there is a unique closed orbit in cyan as in Figure 4a defined by and the roots of , in this case, are . The interval of real propagation in this case is through which the integration leads toThen, a solution of Equation (1) can be derived as
- If , the two families of closed orbits in brown, as in Figure 3a and Figure 4a, are defined by . The roots of the related of one orbit are all real and the intervals of real propagation in this case are and . For , we havewhere is to the elliptic Jacobian function with modulus k [38] and . For , we haveHence,andare solutions of Equation (1).
- To help the reader review the results of this section, we can summarize these cases in Table 2.
5.2. Soliton Solutions
- If , there is an shape corresponding to two homoclinic orbits in purple, as in Figure 3a, characterized by and the roots of the related are all real with and the intervals of real propagation in this case are and . The solutions over them areandrespectively. So, we get the following solutions of Equation (1):and
- If , there is another shape corresponding to two additional homoclinic orbits in blue as in Figure 4a, defined by and the roots of the related are all real with . The solutions through the intervals of real propagation and are derived asandrespectively. Consequently, we obtain the solutionsand
- If , there is a reversed shape trajectory in blue, as shown in Figure 3c, characterized by and the related possess the roots . There is one bounded interval in which the homoclinic orbit lies, and two unbounded and of real propagation. The solution over the bonded one assigns the following soliton solutionThen,is a solution of Equation (1).
- If , there is another reversed shape trajectory in blue, as shown in Figure 4c, described by . The roots of the related satisfy . In this case, and are the real propagation intervals. The solutions through the bonded one of the homoclinic trajectory isIt follows that,is a solution of Equation (1).
5.3. Graphical Interpretation
- First, if and , then and so the only equilibrium O is the center. For any , say , the root of are and . At this point, solution (27) can be rewritten in the numerical form
6. Perturbed System Dynamics
7. Conclusions
Author Contributions
Funding
Data Availability Statement
Acknowledgments
Conflicts of Interest
References
- Akinyemi, L.; Şenol, M.; Tasbozan, O.; Kurt, A. Multiple-solitons for generalized (2+1)-dimensional conformable Korteweg-de Vries-Kadomtsev-Petviashvili equation. J. Ocean Eng. Sci. 2022, 7, 536–542. [Google Scholar] [CrossRef]
- Zhao, Y.H.; Mathanaranjan, T.; Rezazadeh, H.; Akinyemi, L.; Inc, M. New solitary wave solutions and stability analysis for the generalized (3+1)-dimensional nonlinear wave equation in liquid with gas bubbles. Results Phys. 2022, 43, 106083. [Google Scholar] [CrossRef]
- Hasegawa, A.; Tappert, F. Transmission of stationary nonlinear optical pulses in dispersive dielectric fibers. I. Anomalous dispersion. Appl. Phys. Lett. 1973, 23, 142–144. [Google Scholar] [CrossRef]
- Mollenauer, L.F.; Stolen, R.H.; Gordon, J.P. Experimental observation of picosecond pulse narrowing and solitons in optical fibers. Phys. Rev. Lett. 1980, 45, 1095–1098. [Google Scholar] [CrossRef]
- Altawallbeh, Z.; Az-Zo’bi, E.; Alleddawi, A.O.; Şenol, M.; Akinyemi, L. Novel liquid crystals model and its nematicons. Opt. Quantum Electron. 2022, 54, 861. [Google Scholar] [CrossRef]
- Nasreen, N.; Younas, U.; Lu, D.; Zhang, Z.; Rezazadeh, H.; Hosseinzadeh, M. Propagation of solitary and periodic waves to conformable ion sound and Langmuir waves dynamical system. Opt. Quantum Electron. 2023, 55, 868. [Google Scholar] [CrossRef]
- Wazwaz, A.M. Two new integrable fourth-order nonlinear equations: Multiple soliton solutions and multiple complex soliton solutions. Nonlinear Dyn. 2018, 94, 2655–2663. [Google Scholar] [CrossRef]
- Guan, X.; Liu, W.; Zhou, Q.; Biswas, A. Darboux transformation and analytic solutions for a generalized super-NLS-mKdV equation. Nonlinear Dyn. 2019, 98, 1491–1500. [Google Scholar] [CrossRef]
- Chen, Y.; Lü, X.; Wang, X.L. Bäcklund transformation, Wronskian solutions and interaction solutions to the (3+ 1)-dimensional generalized breaking soliton equation. Eur. Phys. J. Plus 2023, 138, 492. [Google Scholar] [CrossRef]
- Gao, X.; Guo, Y.; Shan, W.; Yuan, Y.; Zhang, C.; Chen, S. Magneto-optical/ferromagnetic-material computation: Bäcklund transformations, bilinear forms and N solitons for a generalized (3+1)-dimensional variable-coefficient modified Kadomtsev–Petviashvili system. Appl. Math. Lett. 2020, 111, 106627. [Google Scholar] [CrossRef]
- Elbrolosy, M.; Elmandouh, A. Painlevé analysis, Lie symmetry and bifurcation for the dynamical model of radial dislocations in microtubules. Nonlinear Dyn. 2025, 113, 13699–13714. [Google Scholar] [CrossRef]
- Khalique, C.M.; Biswas, A. Optical solitons with power law nonlinearity using Lie group analysis. Phys. Lett. A 2009, 373, 2047–2049. [Google Scholar] [CrossRef]
- Khalique, C.M.; Biswas, A. A Lie symmetry approach to nonlinear Schrödinger’s equation with non-Kerr law nonlinearity. Commun. Nonlinear Sci. Numer. Simul. 2009, 14, 4033–4040. [Google Scholar] [CrossRef]
- Lu, B. The first integral method for some time fractional differential equations. J. Math. Anal. Appl. 2012, 395, 684–693. [Google Scholar] [CrossRef]
- Al-Askar, F.M.; Mohammed, W.W. Abundant optical solutions for the Sasa-Satsuma equation with M-truncated derivative. Front. Phys. 2023, 11, 1216451. [Google Scholar] [CrossRef]
- Rehman, H.U.; Iqbal, I.; Hashemi, M.S.; Mirzazadeh, M.; Eslami, M. Analysis of cubic-quartic-nonlinear Schrödinger’s equation with cubic-quintic-septic-nonic form of self-phase modulation through different techniques. Optik 2023, 287, 171028. [Google Scholar] [CrossRef]
- Islam, M.A.; Rimu, N.N.; Sarker, S.; Dey, P.; Akbar, M.A. Dynamics of soliton solutions, bifurcation, chaotic behavior, stability, and sensitivity analysis of the time-fractional Gardner equation. AIP Adv. 2025, 15, 095203. [Google Scholar] [CrossRef]
- Khadim, M.; Abbas, M.; Nazir, T.; Lupas, A.A.; Anwar, M.N.; Alharthi, M. Bifurcation analysis and optical soliton solutions of the ion sound and Langmuir wave equation using the modified Khater method. AIMS Math. 2025, 10, 19617–19641. [Google Scholar] [CrossRef]
- Alshammari, S.; Al-Sawalha, M.M.; Shah, R. Approximate Analytical Methods for a Fractional-Order Nonlinear System of Jaulent–Miodek Equation with Energy-Dependent Schrödinger Potential. Fractal Fract. 2023, 7, 140. [Google Scholar] [CrossRef]
- Han, T.; Li, Z.; Li, C. Bifurcation analysis, stationary optical solitons and exact solutions for generalized nonlinear Schrödinger equation with nonlinear chromatic dispersion and quintuple power-law of refractive index in optical fibers. Phys. A Stat. Mech. Its Appl. 2023, 615, 128599. [Google Scholar] [CrossRef]
- Jamal, A.; Ullah, A.; Ahmad, S.; Sarwar, S.; Shokri, A. A Survey of (2+1)-Dimensional KdV–mKdV Equation Using Nonlocal Caputo Fractal–Fractional Operator. Results Phys. 2023, 46, 106294. [Google Scholar] [CrossRef]
- Mirzazadeh, M.; Sharif, A.; Hashemi, M.S.; Akgül, A.; Din, S.M.E. Optical solitons with an extended (3+1)-dimensional nonlinear conformable Schrödinger equation including cubic–quintic nonlinearity. Results Phys. 2023, 49, 106521. [Google Scholar] [CrossRef]
- Asma, M.; Biswas, A.; Kara, A.H.; Zayed, E.M.; Guggilla, P.; Khan, S.; Ekici, M.; Alzahrani, A.K.; Belic, M.R. A pen-picture of solitons and conservation laws in magneto-optic waveguides having quadratic-cubic law of nonlinear refractive index. Optik 2020, 223, 165330. [Google Scholar] [CrossRef]
- Muhammad, J.; Riaz, M.B.; Younas, U.; Nasreen, N.; Jhangeer, A.; Lu, D. Extraction of optical wave structures to the coupled fractional system in magneto-optic waveguides. Arab J. Basic Appl. Sci. 2024, 31, 242–254. [Google Scholar] [CrossRef]
- Ali, A.; Ahmad, J.; Javed, S. Investigating the dynamics of soliton solutions to the fractional coupled nonlinear Schrödinger model with their bifurcation and stability analysis. Opt. Quantum Electron. 2023, 55, 829. [Google Scholar] [CrossRef]
- Han, T.; Li, Z.; Zhang, X. Bifurcation and new exact traveling wave solutions to time-space coupled fractional nonlinear Schrödinger equation. Phys. Lett. A 2021, 395, 127217. [Google Scholar] [CrossRef]
- Esen, A.; Sulaiman, T.A.; Bulut, H.; Baskonus, H.M. Optical solitons to the space-time fractional (1+1)-dimensional coupled nonlinear Schrödinger equation. Optik 2018, 167, 150–156. [Google Scholar] [CrossRef]
- Alharbi, M.; Elmandouh, A.; Elbrolosy, M. New soliton, kink and periodic solutions for fractional space–time coupled Schrödinger equation. Alex. Eng. J. 2025, 114, 123–135. [Google Scholar] [CrossRef]
- Qayyum, M.; Ahmad, E.; Ahmad, H.; Almohsen, B. New solutions of time-space fractional coupled Schrödinger systems. AIMS Math. 2023, 8, 27033–27051. [Google Scholar] [CrossRef]
- Atanackovic, T.M.; Pilipovic, S.; Stankovic, B.; Zorica, D. Fractional Calculus with Applications in Mechanics: Wave Propagation, Impact and Variational Principles; John Wiley & Sons: Hoboken, NJ, USA, 2014. [Google Scholar]
- Khalil, R.; Al Horani, M.; Yousef, A.; Sababheh, M. A new definition of fractional derivative. J. Comput. Appl. Math. 2014, 264, 65–70. [Google Scholar] [CrossRef]
- Goldstein, H. Classical Mechanics Addison-Wesley Series in Physics; Addison-Wesley: Boston, MA, USA, 1980. [Google Scholar]
- Saha, A.; Banerjee, S. Dynamical Systems and Nonlinear Waves in Plasmas; CRC Press: Boca Raton, FL, USA, 2021; p. x+207. [Google Scholar]
- Yang, L.; Hou, X.; Zeng, Z. A complete discrimination system for polynomials. Sci. China Ser. E 1996, 39, 628–646. [Google Scholar]
- Nemytskii, V.V. Qualitative Theory of Differential Equations; Princeton University Press: Princeton, NJ, USA, 2015; Volume 2083. [Google Scholar]
- Dubinov, A.; Kolotkov, D.Y.; Sazonkin, M. Supernonlinear waves in plasma. Plasma Phys. Rep. 2012, 38, 833–844. [Google Scholar] [CrossRef]
- Gantmacher, F. Lectures in Analytical Mechanics; Mir Publishers: Moscow, Russia, 1970. [Google Scholar]
- Byrd, P.F.; Friedman, M.D. Handbook of Elliptic Integrals for Engineers and Scientists, 2nd ed.; Die Grundlehren der Mathematischen Wissenschaften, Band 67; Springer: New York, NY, USA; Heidelberg, Germany, 1971; p. xvi+358. [Google Scholar]
- Younas, U.; Hussain, E.; Muhammad, J.; Garayev, M.; El-Meligy, M. Bifurcation analysis, chaotic behavior, sensitivity demonstration and dynamics of fractional solitary waves to nonlinear dynamical system. Ain Shams Eng. J. 2025, 16, 103242. [Google Scholar] [CrossRef]
- Jhangeer, A.; Beenish. Dynamics and wave analysis in longitudinal motion of elastic bars or fluids. Ain Shams Eng. J. 2024, 15, 102907. [Google Scholar] [CrossRef]
- Layek, G.C. An Introduction to Dynamical Systems and Chaos; Springer: Berlin/Heidelberg, Germany, 2015; Volume 1. [Google Scholar]










| No. | Abbreviation | Explanation |
|---|---|---|
| 1. | Periodic orbit | |
| 2. | Homoclinic orbit | |
| 3. | Heteroclinic orbit | |
| 4. | Super-nonlinear periodic orbit |
| No. | Signs of | Range of | Phase Portrait | Real Prop. | Solution | |||
|---|---|---|---|---|---|---|---|---|
| Figure | Color | Interval | ||||||
| 1. | − | + | + | Figure 1a | orange | |||
| 2. | 0 | + | + | Figure 2a | red | |||
| 3. | 0 | + | + | Figure 2a | pink | |||
| 4. | + | + | + | Figure 3a | green | |||
| 5. | + | + | + | Figure 3a | red | |||
| 6. | + | + | − | Figure 4a | red | |||
| 7. | + | + | − | Figure 4a | green | |||
| 8. | + | + | + | Figure 3a | cyan | |||
| 9. | + | + | − | Figure 4a | cyan | |||
| 10. | + | + | + | Figure 3a | brown | |||
| 11. | + | + | − | Figure 4a | brown | |||
| 12. | + | − | − | Figure 3c | red | |||
| 13. | + | − | + | Figure 4c | red | |||
| No. | Signs of | Range of | Phase Portrait | Real Prop. | Solution | |||
|---|---|---|---|---|---|---|---|---|
| Figure | Color | Interval | ||||||
| 1. | + | + | + | Figure 3a | perple | |||
| 2. | + | + | − | Figure 4a | blue | |||
| 3. | + | − | − | Figure 3c | blue | |||
| 4. | + | − | + | Figure 4c | blue | |||
| Time | Time | ||||||
|---|---|---|---|---|---|---|---|
| 5 | 35 | ||||||
| 10 | 40 | ||||||
| 15 | 45 | ||||||
| 20 | 50 | ||||||
| 25 | 55 | ||||||
| 30 | 60 |
Disclaimer/Publisher’s Note: The statements, opinions and data contained in all publications are solely those of the individual author(s) and contributor(s) and not of MDPI and/or the editor(s). MDPI and/or the editor(s) disclaim responsibility for any injury to people or property resulting from any ideas, methods, instructions or products referred to in the content. |
© 2025 by the authors. Licensee MDPI, Basel, Switzerland. This article is an open access article distributed under the terms and conditions of the Creative Commons Attribution (CC BY) license (https://creativecommons.org/licenses/by/4.0/).
Share and Cite
Alharbi, M.; Elmandouh, A.; Elbrolosy, M. Study of Soliton Solutions, Bifurcation, Quasi-Periodic, and Chaotic Behaviour in the Fractional Coupled Schrödinger Equation. Mathematics 2025, 13, 3174. https://doi.org/10.3390/math13193174
Alharbi M, Elmandouh A, Elbrolosy M. Study of Soliton Solutions, Bifurcation, Quasi-Periodic, and Chaotic Behaviour in the Fractional Coupled Schrödinger Equation. Mathematics. 2025; 13(19):3174. https://doi.org/10.3390/math13193174
Chicago/Turabian StyleAlharbi, Manal, Adel Elmandouh, and Mamdouh Elbrolosy. 2025. "Study of Soliton Solutions, Bifurcation, Quasi-Periodic, and Chaotic Behaviour in the Fractional Coupled Schrödinger Equation" Mathematics 13, no. 19: 3174. https://doi.org/10.3390/math13193174
APA StyleAlharbi, M., Elmandouh, A., & Elbrolosy, M. (2025). Study of Soliton Solutions, Bifurcation, Quasi-Periodic, and Chaotic Behaviour in the Fractional Coupled Schrödinger Equation. Mathematics, 13(19), 3174. https://doi.org/10.3390/math13193174

