Flux and First-Passage Time Distributions in One-Dimensional Integrated Stochastic Processes with Arbitrary Temporal Correlation and Drift
Abstract
1. Introduction
2. General Cases for Arbitrary Distribution and Correlation
2.1. The Current of Tracers Through a Boundary
2.2. The Arrival Rate (Absolute Flux) of Tracers at a Boundary
2.3. First-Passage Probability Density
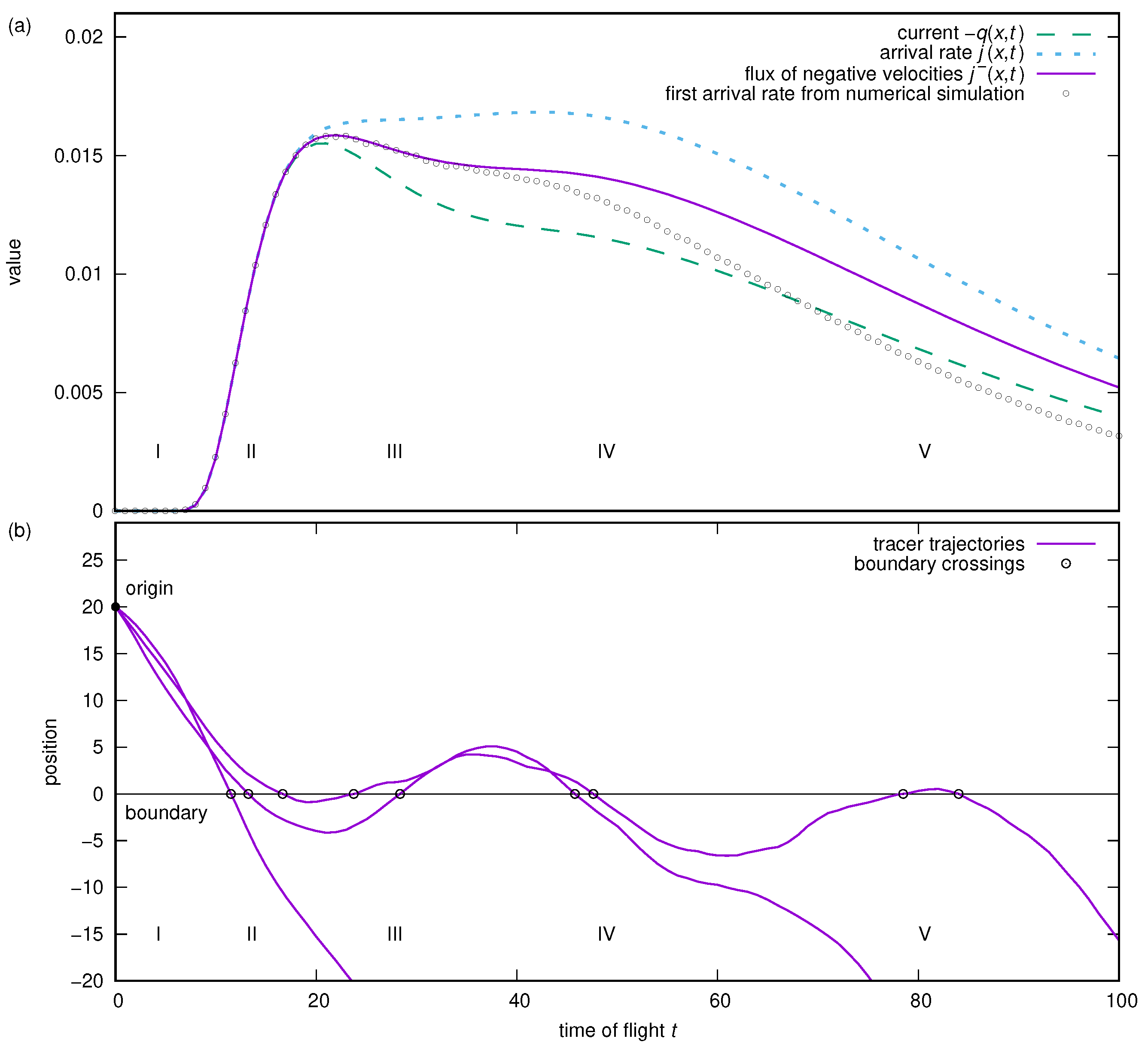
2.3.1. Rough Approximation
- Below a certain time (interval I), no arrivals occur because the tracers need a certain time to reach the boundary.
- Then (interval II) tracers arrive at the boundary for the first time. Because of the correlation of the velocity, which corresponds to a certain inertia of the tracers, no immediate return is expected, and higher-order arrivals do not occur. Up to this time of flight, there is no difference between the various quantities shown; they all follow the distribution of first arrivals from the simulated process.
- Then (interval III) tracers return to the boundary with positive velocities. Here, the current and the arrival rate start to deviate because of their opposite sign when counting arrivals with positive velocities. If only negative velocities are considered with , the second arrivals are not counted, and this flux still follows the distribution of first arrivals from the simulated process.
- Then (interval IV), the third arrivals occur. Unfortunately, they contribute to because of their negative velocities, resulting in a deviation of this flux from the first-arrival distribution.
- Later (interval V), the fifth and all higher odd orders of arrivals occur. These also contribute to and cause a further deviation of this flux from the first-arrival distribution.
2.3.2. Numerical Solution
3. Specifications for Gaussian Distribution of Increments
- is the (unconditioned) probability density of a tracer with velocity u. Then, is the probability that a fluid element observes a velocity within the range . Assuming a Gaussian distribution of velocities, this becomeswith a given mean drift velocity and velocity variance .
- is the probability density of a tracer having velocity u at a time after a previous observation, conditioned on having had velocity at that observation. Then, is the probability that a fluid element has a velocity within the range under the condition of having had velocity at the previous observation ago. Since the process is assumed to be stationary, velocity statistics are time-reversible; hence, . Assuming a Gaussian distribution of velocities, this iswithand
- is the (unconditioned) probability density that a tracer has traveled the distance x within time t. Then, is the probability that a fluid element is within the range at a given time t. Assuming a Gaussian distribution of velocities, this iswithand following [5]which is, following [6]withwhere, again, is the given mean drift velocity and is the given variance of the velocity.
- is the probability density that a tracer has traveled the distance x within time t, conditioned on the arrival velocity u at the boundary at distance x to the origin of motion at time t. Then, is the probability that a fluid element is within the range at a given time t under the condition of having the arrival velocity u at the boundary at distance x at time t. Assuming a Gaussian distribution of velocities, this is given by (derivation in Appendix A.2)withandwithand , as above, where, again, is the given mean drift velocity and is the given variance of the velocity.Both integrals and are characteristic of the diffusive behavior of the process. Therefore, these two integrals are shown for the various test processes in the following test section, together with the corresponding correlation functions.
- is the probability density that a tracer has traveled distance x within time t conditioned on having velocity u at the boundary at distance x at time t and velocity at a previous (or later, as in the case of the derivations of the numerical solution of first arrivals above) observation at time . Then, is the probability that a fluid element is within the range at a given time t under the condition of having the arrival velocity u and having velocity at time . Assuming a Gaussian distribution of velocities, this is given by (derivation in Appendix A.4)withandNote that both and also depend on . The functional dependence is dropped in the notations because of the simplification of the notation in the following derivations. Particular specifications are given in each of the following cases.
- is the joint probability density that a tracer has traveled the distance x within time t and distance at time , conditioned on the arrival velocity u at distance x at time t and arrival velocity at distance at time . Then, is the probability that a fluid element is within the range at a given time t and within the range at time under the condition of having the arrival velocity u at time t and arrival velocity at time . Assuming a Gaussian distribution of velocities, this is given by (derivation in Appendix A.5)withand withwithandandwith
- With and being Gaussian, one obtainsUsing the substitutionsone obtains the following (method Q3):
- With and being Gaussian, one obtainsUsing the substitutions , , and as above, one obtains the following (method J2):By limiting the integration range to positive velocities only, one obtainsBy limiting the integration range to negative velocities only, one obtains the following (method P1):
4. Test Cases
4.1. Telegrapher’s Process
4.2. Exponential Decay
4.3. Strong Correlation
4.4. Artificial Correlation
5. A Note on Anomalous Diffusivity
6. Conclusions
Author Contributions
Funding
Data Availability Statement
Conflicts of Interest
Appendix A. (Un-)Conditional Probability Densities
Appendix A.1. Unconditioned Case
Appendix A.2. One-Point Prediction Around One Observation


Appendix A.3. Two-Point Joint Prediction Around One Observation
Appendix A.4. One-Point Prediction Around Two Observations


Appendix A.5. Two-Point Joint Prediction Around Two Observations
References
- Hu, Z.; Cheng, L.; Berne, B.J. First passage time distribution in stochastic processes with moving and static absorbing boundaries with application to biological rupture experiments. J. Chem. Phys. 2010, 133, 034105. [Google Scholar] [CrossRef] [PubMed]
- Blake, I.; Lindsey, W. Level-crossing problems for random processes. IEEE Trans. Inf. Theory 1973, 19, 295–315. [Google Scholar] [CrossRef]
- Resnick, S.I. Adventures in Stochastic Processes; Birkhäuser: Boston, MA, USA, 1992. [Google Scholar]
- Reith-Braun, M.; Pfaff, F.; Thummy, J.; Hanebeck, U.D. Approximate First-Passage Time Distributions for Gaussian Motion and Transportation Models. In Proceedings of the 26th International Conference on Information Fusion (FUSION), Charleston, SC, USA, 27–30 June 2023; pp. 1–8. [Google Scholar] [CrossRef]
- Taylor, G.I. Diffusion by Continuous Movements. Proc. R. Math. Soc. Ser. 2 1921, 20, 196–212. [Google Scholar] [CrossRef]
- Wilson, J.D.; Zhuang, Y. Restriction on the Timestep to be Used in Stochastic Lagrangian Models of Turbulent Dispersion. Bound.-Layer Meteorol. 1989, 49, 309–316. [Google Scholar] [CrossRef]
- Alili, L.; Patie, P.; Pedersen, J.L. Representations of the first hitting time density of an Ornstein-Uhlenbeck process. Stoch. Models 2005, 21, 967–980. [Google Scholar] [CrossRef]
- Benedetto, E.; Sacerdote, L.; Zucca, C. A first passage problem for a bivariate diffusion process: Numerical solution with an application to neuroscience when the process is Gauss–Markov. J. Comput. Appl. Math. 2013, 242, 41–52. [Google Scholar] [CrossRef]
- Hesse, C.H. The One-sided Barrier Problem for an Integrated Ornstein-Uhlenbeck Process. Commun. Stat. Stoch. Models 1991, 7, 447–480. [Google Scholar] [CrossRef]
- Lefebvre, M. Moment generating function of a first hitting place for the integrated Ornstein-Uhlenbeck process. Stoch. Processes Their Appl. 1989, 32, 281–287. [Google Scholar] [CrossRef]
- Lipton, A.; Kaushansky, V. On the First Hitting Time Density of an Ornstein-Uhlenbeck Process. arXiv 2018, arXiv:1810.02390. [Google Scholar] [CrossRef]
- Ricciardi, L.M.; Sato, S. First-Passage-Time Density and Moments of the Ornstein-Uhlenbeck Process. J. Appl. Probab. 1988, 25, 43–57. [Google Scholar] [CrossRef]







Disclaimer/Publisher’s Note: The statements, opinions and data contained in all publications are solely those of the individual author(s) and contributor(s) and not of MDPI and/or the editor(s). MDPI and/or the editor(s) disclaim responsibility for any injury to people or property resulting from any ideas, methods, instructions or products referred to in the content. |
© 2025 by the authors. Licensee MDPI, Basel, Switzerland. This article is an open access article distributed under the terms and conditions of the Creative Commons Attribution (CC BY) license (https://creativecommons.org/licenses/by/4.0/).
Share and Cite
Nobach, H.; Eule, S. Flux and First-Passage Time Distributions in One-Dimensional Integrated Stochastic Processes with Arbitrary Temporal Correlation and Drift. Mathematics 2025, 13, 3163. https://doi.org/10.3390/math13193163
Nobach H, Eule S. Flux and First-Passage Time Distributions in One-Dimensional Integrated Stochastic Processes with Arbitrary Temporal Correlation and Drift. Mathematics. 2025; 13(19):3163. https://doi.org/10.3390/math13193163
Chicago/Turabian StyleNobach, Holger, and Stephan Eule. 2025. "Flux and First-Passage Time Distributions in One-Dimensional Integrated Stochastic Processes with Arbitrary Temporal Correlation and Drift" Mathematics 13, no. 19: 3163. https://doi.org/10.3390/math13193163
APA StyleNobach, H., & Eule, S. (2025). Flux and First-Passage Time Distributions in One-Dimensional Integrated Stochastic Processes with Arbitrary Temporal Correlation and Drift. Mathematics, 13(19), 3163. https://doi.org/10.3390/math13193163

