Enhancing Logistic Modeling for Diauxic Growth and Biphasic Antibacterial Activity Synthesis by Lactic Acid Bacteria in Realkalized Fed-Batch Fermentations
Abstract
1. Introduction
2. Materials and Methods
2.1. Bacterial Strains
2.2. Culture Media, Fermentation Conditions and Data Collection
2.3. Biomass and Antibacterial Activity Determinations
2.4. Models Improvement
2.4.1. Growth Model
2.4.2. Antibacterial Activity Model
2.5. Model Parameters Determination and Model Evaluation
3. Results and Discussion
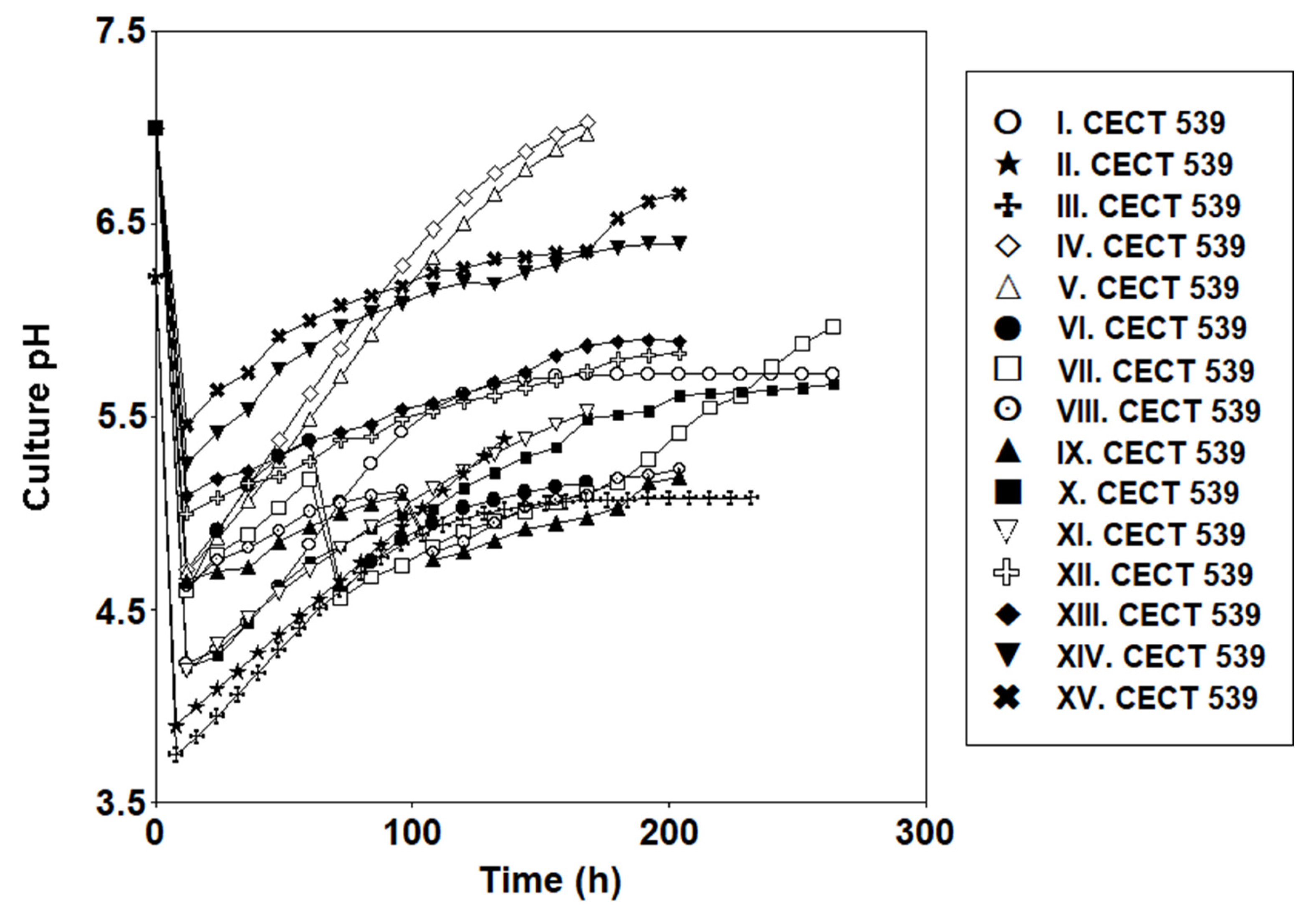
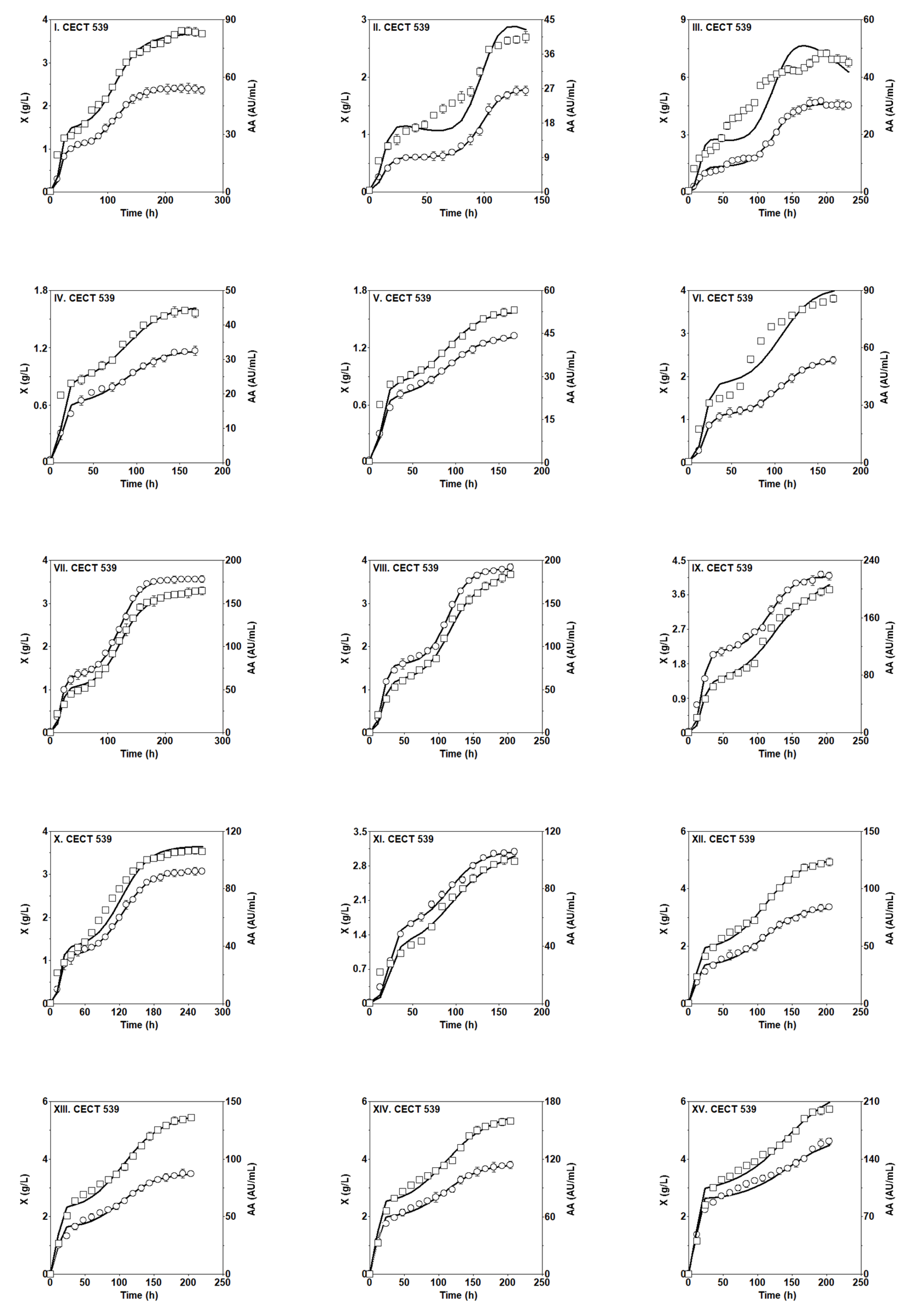
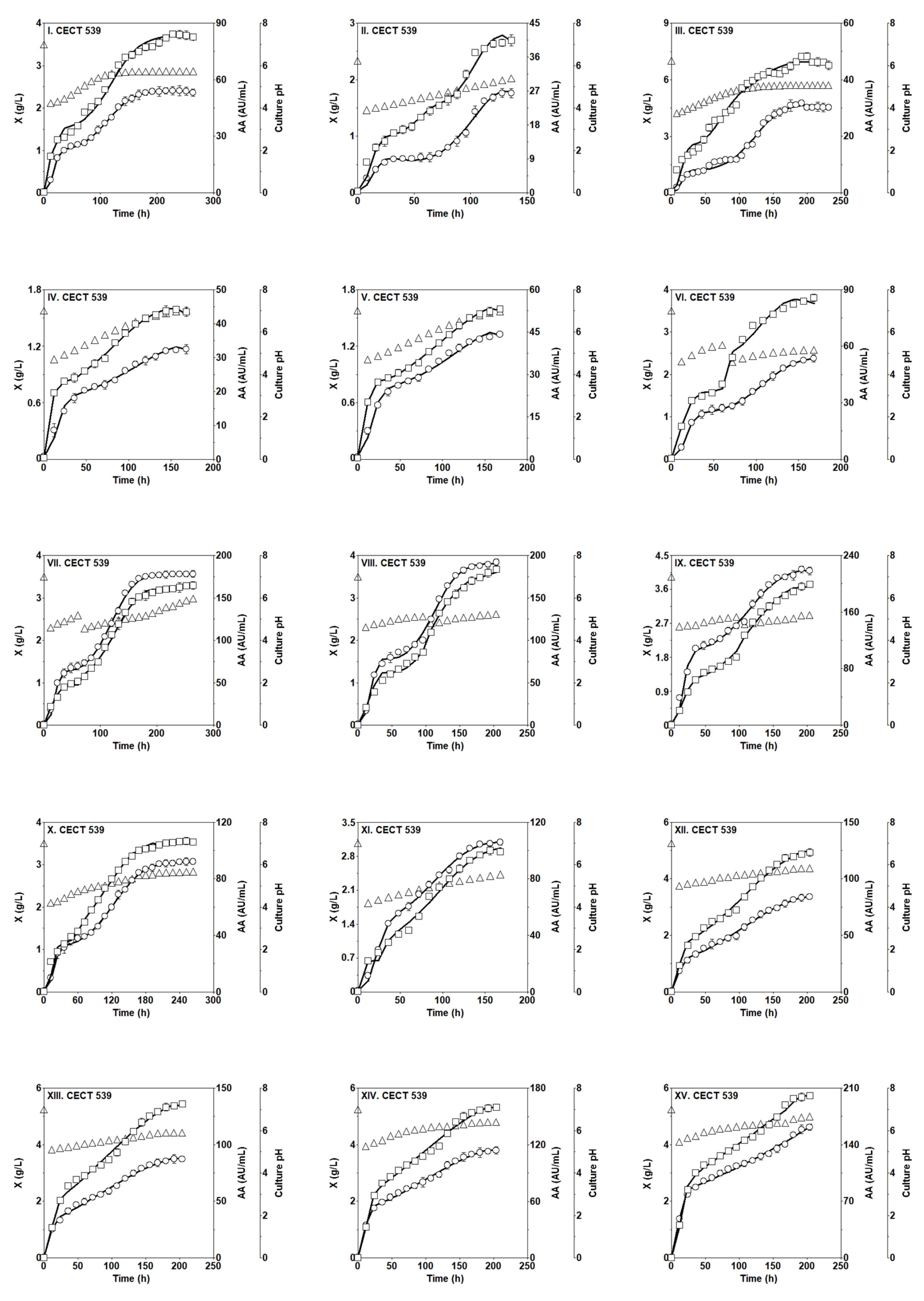
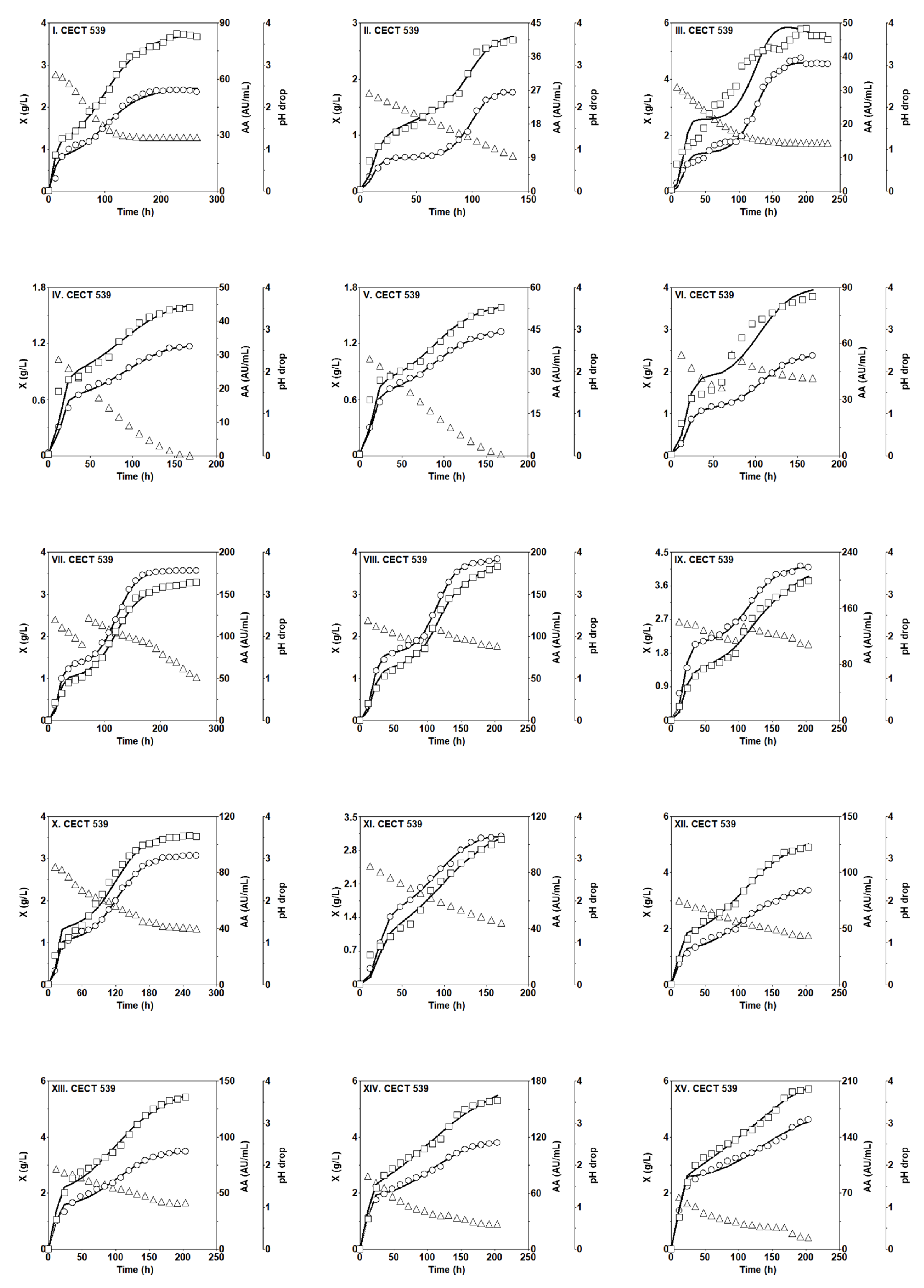
3.1. Modeling the Growth of L. lactis CECT 539 in Realkalized Fed-Batch Cultures
3.2. Modeling the Production of Antibacterial Activity
4. Conclusions
Supplementary Materials
Funding
Data Availability Statement
Acknowledgments
Conflicts of Interest
References
- Leroy, F.; De Vuyst, L. Growth of the bacteriocin-producing Lactobacillus sakei strain CTC 494 in MRS broth is strongly reduced due to nutrient exhaustion: A nutrient depletion model for the growth of lactic acid bacteria. Appl. Environ. Microbiol. 2001, 67, 4407–4413. [Google Scholar] [CrossRef]
- Wachenheim, D.E.; Patterson, J.A.; Ladisch, M.R. Analysis of the logistic function model: Derivation and applications specific to batch cultured microorganisms. Bioresour. Technol. 2003, 86, 157–164. [Google Scholar] [CrossRef]
- Van Impe, J.F.; Poschet, F.; Geeraerd, A.H.; Vereecken, K.M. Towards a novel class of predictive microbial growth models. Int. J. Food Microbiol. 2005, 100, 97–105. [Google Scholar] [CrossRef]
- Guerra, N.P.; Torrado, A.; López, C.; Fajardo, P.; Pastrana, L. Dynamic mathematical models to describe the growth and nisin production by Lactococcus lactis subsp. lactis CECT 539 in both batch and re-alkalized fed-batch cultures. J. Food Eng. 2007, 82, 103–113. [Google Scholar] [CrossRef]
- Vázquez, J.A.; Lorenzo, J.M.; Fuciños, P.; Franco, D. Evaluation of non-linear equations to model different animal growths with mono and bisigmoid profiles. J. Theor. Biol. 2012, 314, 95–105. [Google Scholar] [CrossRef] [PubMed]
- Shirsat, N.; Mohd, A.; Whelan, J.; English, N.J.; Glennon, B.; Al-Rubeai, M. Revisiting Verhulst and Monod models: Analysis of batch and fed-batch cultures. Cytotechnology 2015, 67, 515–530. [Google Scholar] [CrossRef] [PubMed]
- Edwards, V.H.; Wilke, C.R. Mathematical representation of batch culture data. Biotechnol. Bioeng. 1968, 10, 964–974. [Google Scholar] [CrossRef]
- Dewitt, C.C. Correlation of rate data. Ind. Eng. Chem. 1943, 35, 695–700. [Google Scholar] [CrossRef]
- Guerra, N.P.; Pastrana, L. Production of bacteriocins from Lactococcus lactis subsp. lactis CECT 539 and Pediococcus acidilactici NRRL B-5627 using mussel-processing wastes. Biotechnol. Appl. Biochem. 2002, 36, 119–125. [Google Scholar] [CrossRef]
- Perrin, E.; Ghini, V.; Giovannini, M.; Di Patti, F.; Cardazzo, B.; Carraro, L.; Fagorzi, C.; Turano, P.; Fani, R.; Fondi, M. Diauxie and co-utilization of carbon sources can coexist during bacterial growth in nutritionally complex environments. Nat. Commun. 2020, 11, 3135. [Google Scholar] [CrossRef]
- Meyer, P. Bi-logistic growth. Technol. Forecast. Soc. Chang. 1994, 47, 89–102. [Google Scholar] [CrossRef]
- Guerra, N.P.; Fajardo, P.; Fuciños, C.; Amado, I.R.; Alonso, E.; Torrado, A.; Pastrana, L. Modelling the biphasic growth and product formation by Enterococcus faecium CECT 410 in realkalized fed-batch fermentations in whey. J. Biomed. Biotechnol. 2010, 2010, 290286. [Google Scholar] [CrossRef] [PubMed]
- Boulineau, S.; Tostevin, F.; Kiviet, D.J.; ten Wolde, P.R.; Nghe, P.; Tans, S.J. Single-cell dynamics reveals sustained growth during diauxic shifts. PLoS ONE 2013, 8, e61686. [Google Scholar] [CrossRef] [PubMed]
- Solopova, A.; van Gestel, J.; Weissing, F.J.; Bachmann, H.; Teusink, B.; Kok, J.; Kuipers, O.P. Bet-hedging during bacterial diauxic shift. Proc. Natl. Acad. Sci. USA 2014, 111, 7427–7432. [Google Scholar] [CrossRef]
- Madigan, M.; Martinko, J.; Stahl, D.; Clark, D. Brock Biology of Microorganisms, 13th ed.; Pearson Education: London, UK, 2012. [Google Scholar]
- Pelczar, M.J.; Chan, E.C.S.; Krieg, N.R. Microbiology, 5th ed.; Tata McGraw-Hill: New Delhi, India, 2007. [Google Scholar]
- Cabo, M.L.; Murado, M.A.; González, M.P.; Pastoriza, L. Effects of aeration and pH gradient on nisin production. A mathematical model. Enzym. Microb. Technol. 2001, 29, 264–273. [Google Scholar] [CrossRef]
- Castillo, B.; Pastenes, L.; Córdova-Lepe, F. Modeling the effects of pH variation and bacteriocin synthesis on bacterial growth. Appl. Math. Model. 2022, 110, 285–297. [Google Scholar] [CrossRef]
- Costas, M.; Alonso, E.; Guerra, N.P. Nisin production in realkalized fed-batch cultures in whey with feeding with lactose- or glucose-containing substrates. Appl. Microbiol. Biotechnol. 2016, 100, 7899–7908. [Google Scholar] [CrossRef]
- Costas, M.; Alonso, E.; Outeiriño, D.; Fajardo, P.; Guerra, N.P. Combination of food wastes for an efficient production of nisin in realkalized fed-batch cultures. Biochem. Eng. J. 2017, 123, 13–23. [Google Scholar] [CrossRef]
- Costas, M.; Alonso, E.; Outeiriño, D.; Guerra, N.P. Production of a highly concentrated probiotic culture of Lactococcus lactis CECT 539 containing high amounts of nisin. 3-Biotech 2018, 8, 292. [Google Scholar] [CrossRef]
- Costas, M.; Alonso, E.; Bendaña, R.J.; Guerra, N.P. The joint effect of pH gradient and glucose feeding on the growth kinetics of Lactococcus lactis CECT 539 in glucose-limited fed-batch cultures. Polish J. Microbiol. 2019, 68, 269–280. [Google Scholar] [CrossRef]
- Costas, M.; Alonso, E.; Bazán, D.L.; Bendaña, R.J.; Guerra, N.P. Batch and fed-batch production of probiotic biomass and nisin in nutrient-supplemented whey media. Braz. J. Microbiol. 2019, 50, 915–925. [Google Scholar] [CrossRef]
- Guerra, N.P.; Fajardo, P.; Pastrana, L. Modelling the stress inducing biphasic growth and pediocin production by Pediococcus acidilactici NRRL B-5627 in re-alkalized fed-batch cultures. Biochem. Eng. J. 2008, 40, 465–472. [Google Scholar] [CrossRef]
- Fajardo, P.; Rodríguez, I.; Pastrana, L.; Guerra, N.P. Production of a potentially probiotic culture of Lactobacillus casei subsp. casei CECT 4043 in whey. Int. Dairy J. 2008, 18, 1057–1065. [Google Scholar] [CrossRef]
- Lo Grasso, A.; Fort, A.; Mahdizadeh, F.; Magnani, A.; Mocenni, C. Generalized logistic model of bacterial growth. Math. Comput. Model. Dyn. Syst. 2023, 29, 169–185. [Google Scholar] [CrossRef]
- Yang, R.; Ray, B. Factors influencing production of bacteriocins by lactic acid bacteria. Food Microbiol. 1994, 11, 281–291. [Google Scholar] [CrossRef]
- Yang, R.; Johnson, M.C.; Ray, B. Novel method to extract large amounts of bacteriocins from lactic acid bacteria. Appl. Environ. Microbiol. 1992, 58, 3355–3359. [Google Scholar] [CrossRef]
- Parente, E.; Ricciardi, A.; Addario, G. Influence of pH on growth and bacteriocin production by Lactococcus lactis subsp. lactis 14ONWC during batch fermentation. Appl. Microbiol. Biotechnol. 1994, 41, 388–394. [Google Scholar] [CrossRef]
- Joosten, H.M.L.J.; Nunez, M. Adsorption of nisin and enterocin 4 to polypropylene and glass surface and its prevention by Tween 80. Lett. Appl. Microbiol. 1995, 21, 389–392. [Google Scholar] [CrossRef]
- De Vuyst, L.; Callewaert, R.; Crabbé, K. Primary metabolite kinetics of bacteriocin biosynthesis by Lactobacillus amylovorus and evidence for stimulation of bacteriocin production under unfavourable growth conditions. Microbiology 1996, 142, 817–827. [Google Scholar] [CrossRef]
- Verellen, T.L.J.; Bruggeman, G.; Van Reenen, C.A.; Dicks, L.M.T.; Vandamme, E.J. Fermentation optimization of plantaricin 423, a bacteriocin produced by Lactobacillus plantarum 423. J. Ferment. Bioeng. 1998, 86, 174–179. [Google Scholar] [CrossRef]
- Cheigh, C.I.; Choi, H.J.; Park, H.; Kim, S.B.; Kook, M.C.; Kim, T.S.; Hwang, J.K.; Pyun, Y.R. Influence of growth conditions on the production of a nisin-like bacteriocin by Lactococcus lactis subsp. lactis A164 isolated from kimchi. J. Biotechnol. 2002, 95, 225–235. [Google Scholar] [CrossRef]
- Sharma, S.; Garg, A.P.; Singh, G. Optimization of fermentation conditions for bacteriocin production by Lactococcus lactis CCSULAC1 on modified MRS medium. Int. J. Dairy Sci. 2010, 5, 1–9. [Google Scholar] [CrossRef]
- Lomauro, C.J.; Bakshi, A.S.; Labuza, T.P. Evaluation of food moisture sorption isotherm equations part I: Fruit, vegetable and meat products. LWT—Food Sci. Technol. 1985, 18, 111–117. [Google Scholar]
- Aguerre, R.J.; Suarez, C.; Viollaz, P.E. New B.E.T. type multilayer sorption isotherms. Part II. Modelling water sorption in foods. LWT—Food Sci. Technol. 1989, 22, 192–195. [Google Scholar]









| Fermentation Medium * | Feeding Medium ** | Fermentation Name *** | Reference |
|---|---|---|---|
| DW (22.54 g lactose/L) | CW (48.11 g lactose/L) + CL (400 g/L) | I. CECT 539 | [4] |
| MPW (5.33 g glucose/L) | CG (240 g/L) | II. CECT 539 | |
| CMPW (101.33 g glucose/L) | III. CECT 539 | ||
| DW (22.16 g lactose/L) | CL (400 g/L) | IV. CECT 539 | [19] |
| CG (400 g/L) | V. CECT 539 | ||
| DW (22.62 g lactose/L) | CW (51.35 g lactose/L) + CG (400 g/L) | VI. CECT 539 | [20] |
| CMPW (101.72 g glucose/L) + CG (400 g/L) | VII. CECT 539 | ||
| DWP (22.61 g lactose/L) | CMPWG (400 g glucose/L) + CW (51.35 g lactose/L) | VIII. CECT 539 | [21] |
| CMPWGP (400 g glucose/L) + CW (51.35 g lactose/L) | IX. CECT 539 | ||
| DW (22.62 g lactose/L) | CMPW (101.72 g glucose/L) + CL (400 g/L) | X. CECT 539 | [22] |
| CMPWGP (400 g glucose/L) | XI. CECT 539 | ||
| DW25 (20.96 g of TS/L) | CW (53.40 g lactose/L) + CG (400 g/L) | XII. CECT 539 | [23] |
| DW50 (21.92 g of TS/L) | CW (53.40 g lactose/L) + CG (400 g/L) | XIII. CECT 539 | |
| DW75 (22.89 g of TS/L) | CW (53.40 g lactose/L) + CG (400 g/L) | XIV. CECT 539 | |
| DW100 (24.81 g of TS/L) | CW (53.40 g lactose/L) + CG (400 g/L) | XV. CECT 539 |
| Fermentation Medium * | Feeding Medium ** | Fermentation Name *** | Reference |
|---|---|---|---|
| MPW (5.33 g glucose/L) | CG (240 g/L) | I. NRRL B-5627 | [24] |
| CMPW (101.33 g glucose/L) | II. NRRL B-5627 | ||
| DWYE2 (20.06 g lactose/L) | CWYE2 (48.51 g lactose/L) + CG (400 g/L) | III. NRRL B-5627 | |
| CG (400 g/L) | IV. NRRL B-5627 | ||
| CWYE4 (48.51 g lactose/L) + CG (400 g/L) | V. NRRL B-5627 | ||
| DW (20.54 g lactose/L) | CW (48.11 g lactose/L) + CL (400 g/L) | I. CECT 4043 | [25] |
| CMPW (101.33 g glucose/L) + CG (310 g/L) | II. CECT 4043 | ||
| DW (22 g lactose/L) | CL (400 g/L) | I. CECT 410 | [12] |
| CW (48.11 g lactose/L) + CL (400 g/L) | II. CECT 410 |
| Cultures | ||||||
|---|---|---|---|---|---|---|
| Parameter | I. CECT 539 | II. CECT 539 | III. CECT 539 | IV. CECT 539 | V. CECT 539 | VI. CECT 539 |
| K1 | 1.20 ± 0.10 | 0.59 ± 5.10 × 10−3 | 1.52 ± 7.10 × 10−3 | 0.80 ± 0.01 | 0.86 ± 0.02 | 1.20 ± 0.03 |
| aX0 | 46.86 ± 10.35 | 44.71 ± 16.55 | 63.92 ± 11.40 | 24.76 ± 5.66 | 29.22 ± 9.25 | 55.03 ± 17.22 |
| aX1 | 0.23 ± 0.02 | 0.25 ± 0.06 | 0.26 ± 0.04 | 0.23 ± 0.02 | 0.22 ± 0.03 | 0.23 ± 0.02 |
| aX2 | −7.70 × 10−4 ± 5.80 × 10−5 | −1.52 × 10−3 ± 7.00 × 10−4 | −9.87 × 10−4 ± 8.14 × 10−6 | −1.15 × 10−3 ± 1.00 × 10−4 | −1.11 × 10−3 ± 2.00 × 10−4 | −1.06 × 10−3 ± 2.00 × 10−4 |
| bX0 | 0.97 ± 0.09 | 0.62 ± 0.08 | 1.77 ± 0.18 | 0.99 ± 0.23 | 0.97 ± 0.41 | 0.70 ± 0.16 |
| bX1 | −1.52 × 10−2 ± 2.10 × 10−3 | −5.54 × 10−2 ± 4.20 × 10−3 | −2.11 × 10−2 ± 2.60 × 10−3 | −1.32 × 10−3 ± 4.00 × 10−4 | −4.12 × 10−3 ± 7.50 × 10−4 | −2.27 × 10−2 ± 5.10 × 10−3 |
| bX2 | 2.04 × 10−4 ± 1.17 × 10−5 | 5.61 × 10−4 ± 3.39 × 10−5 | 2.46 × 10−4 ± 1.54 × 10−5 | 1.00 × 10−4 ± 3.58 × 10−5 | 1.07 × 10−4 ± 5.58 × 10−5 | 2.64 × 10−4 ± 3.49 × 10−5 |
| tbgp | 71.97 ± 0.33 | 57.83 ± 2.89 | 77.48 ± 7.12 | 70.63 ± 5.07 | 65.93 ± 1.56 | 61.90 ± 2.16 |
| R2 | 0.9992 | 0.9911 | 0.9911 | 0.9926 | 0.9924 | 0.9993 |
| F | 170,414.31 | 6477.24 | 12,800.73 | 12,391.34 | 37,852.02 | 94,418.86 |
| p | <0.0001 | <0.0001 | <0.0001 | <0.0001 | <0.0001 | <0.0001 |
| SSD | 0.010 | 0.048 | 0.659 | 0.012 | 0.016 | 0.005 |
| RPDM | 1.50 | 6.10 | 7.71 | 3.68 | 3.94 | 1.55 |
| Af | 1.02 | 1.07 | 1.09 | 1.04 | 1.04 | 1.02 |
| Bf | 1.00 | 0.97 | 0.98 | 0.99 | 0.99 | 1.00 |
| Cultures | |||||
|---|---|---|---|---|---|
| Parameter | VII. CECT 539 | VIII. CECT 539 | IX. CECT 539 | X. CECT 539 | XI. CECT 539 |
| K1 | 1.35 ± 0.09 | 2.18 ± 0.30 | 2.28 ± 0.03 | 1.30 ± 4.69 × 10−5 | 1.70 ± 0.01 |
| aX0 | 65.76 ± 6.04 | 90.29 ± 0.01 | 85.61 ± 35.21 | 45.56 ± 10.78 | 63.81 ± 16.05 |
| aX1 | 0.21 ± 0.10 | 0.23 ± 0.01 | 0.26 ± 0.02 | 0.22 ± 0.02 | 0.21 ± 0.01 |
| aX2 | −2.17 × 10−4 ± 3.00 × 10−5 | −8.85 × 10−4 ± 2.00 × 10−4 | −1.06 × 10−3 ± 1.00 × 10−4 | −3.50 × 10−4 ± 5.00 × 10−5 | −9.31 × 10−4 ± 7.15 × 10−5 |
| bX0 | 1.06 ± 0.27 | 0.61 ± 0.10 | 0.86 ± 0.109 | 1.57 ± 0.19 | 0.90 ± 0.10 |
| bX1 | −2.18 × 10−2 ± 3.30 × 10−3 | −3.28 × 10−2 ± 3.48 × 10−3 | −1.14 × 10−2 ± 3.00 × 10−3 | −8.54 × 10−3 ± 2.60 × 10−3 | −1.00 × 10−2 ± 3.30 × 10−3 |
| bX2 | 2.39 × 10−4 ± 2.01 × 10−5 | 3.19 × 10−4 ± 2.24 × 10−5 | 1.63 × 10−4 ± 2.01 × 10−5 | 1.47 × 10−4 ± 1.27 × 10−5 | 2.19 × 10−4 ± 2.60 × 10−5 |
| tbgp | 60.42 ± 3.13 | 95.84 ± 0.28 | 71.92 ± 0.94 | 71.79 ± 0.18 | 50.78 ± 0.73 |
| R2 | 0.9987 | 0.9968 | 0.9926 | 0.9987 | 0.9981 |
| F | 78,111.71 | 24,760.71 | 12,577.51 | 86,485.63 | 32,646.16 |
| p | <0.0001 | <0.0001 | <0.0001 | <0.0001 | <0.0001 |
| SSD | 0.043 | 0.083 | 0.201 | 0.028 | 0.030 |
| RPDM | 2.87 | 3.17 | 4.68 | 2.36 | 3.34 |
| Af | 1.03 | 1.03 | 1.06 | 1.03 | 1.04 |
| Bf | 0.98 | 0.99 | 0.97 | 0.99 | 0.98 |
| Cultures | ||||
|---|---|---|---|---|
| Parameter | XII. CECT 539 | XIII. CECT 539 | XIV. CECT 539 | XV. CECT 539 |
| K1 | 2.11 ± 0.19 | 2.45 ± 0.01 | 3.06 ± 0.20 | 3.97 ± 0.33 |
| aX0 | 33.43 ± 2.35 | 39.02 ± 4.36 | 53.84 ± 3.95 | 72.91 ± 13.72 |
| aX1 | 0.36 ± 0.05 | 0.42 ± 0.08 | 0.41 ± 1.40 × 10−3 | 0.41 ± 0.01 |
| aX2 | −1.60 × 10−3 ± 2.00 × 10−4 | −1.88 × 10−3 ± 6.79 × 10−6 | −1.83 × 10−3 ± 6.00 × 10−6 | −1.75 × 10−3 ± 3.00 × 10−4 |
| bX0 | 2.50 ± 0.07 | 2.23 ± 0.08 | 1.52 ± 0.11 | 3.77 ± 0.05 |
| bX1 | 8.53 × 10−3 ± 6.00 × 10−4 | 1.18 × 10−2 ± 8.00 × 10−4 | 7.13 × 10−3 ± 1.30 × 10−3 | 4.80 × 10−3 ± 3.00 × 10−4 |
| bX2 | 4.79 × 10−5 ± 2.91 × 10−6 | 2.32 × 10−5 ± 3.97 × 10−6 | 4.08 × 10−5 ± 1.12 × 10−5 | 2.34 × 10−6 ± 6.35 × 10−7 |
| tbgp | 95.77 ± 1.02 × 10−2 | 95.64 ± 4.28 | 120.37 ± 5.12 | 158.13 ± 3.47 |
| R2 | 0.9966 | 0.9961 | 0.9971 | 0.9955 |
| F | 29,868.49 | 30,138.42 | 46,630.97 | 32,385.67 |
| p | <0.0001 | <0.0001 | <0.0001 | <0.0001 |
| SSD | 0.053 | 0.063 | 0.050 | 0.098 |
| RPDM | 2.16 | 2.19 | 1.55 | 1.98 |
| Af | 1.02 | 1.02 | 1.01 | 1.02 |
| Bf | 1.00 | 1.00 | 1.00 | 1.00 |
| Cultures | |||||
|---|---|---|---|---|---|
| Parameter | I. NRRL B-5627 | II. NRRL B-5627 | III. NRRL B-5627 | IV. NRRL B-5627 | V. NRRL B-5627 |
| K1 | 0.71 ± 3.70 × 10−3 | 1.00 ± 6.00 × 10−3 | 2.58 ± 0.66 | 1.95 ± 4.20 × 10−3 | 2.49 ± 4.19 × 10−3 |
| aX0 | 34.93 ± 6.73 | 40.22 ± 17.52 | 81.05 ± 3.60 × 10−3 | 76.35 ± 10.96 | 39.13 ± 10.02 |
| aX1 | 0.56 ± 0.03 | 0.40 ± 0.05 | 1.61 ± 4.00 × 10−4 | 0.50 ± 0.01 | 0.39 ± 0.04 |
| aX2 | 4.46 × 10−3 ± 3.00 × 10−4 | −2.84 × 10−3 ± 4.00 × 10−4 | 5.67 × 10−3 ± 1.17 × 10−5 | 2.01 × 10−3 ± 9.93 × 10−4 | 1.67 × 10−2 ± 6.99 × 10−3 |
| bX0 | 4.37 ± 0.33 | 0.96 ± 0.09 | 3.11 ± 0.20 | 0.81 ± 0.04 | 3.68 ± 0.07 |
| bX1 | 1.80 × 10−2 ± 2.90 × 10−3 | −2.83 × 10−2 ± 3.90 × 10−3 | 6.67 × 10−3 ± 1.60 × 10−3 | 4.44 × 10−3 ± 2.00 × 10−3 | 1.14 × 10−2 ± 4.26 × 10−4 |
| bX2 | 1.67 × 10−4 ± 2.62 × 10−5 | 5.29 × 10−4 ± 3.70 × 10−5 | 7.10 × 10−5 ± 8.52 × 10−6 | 1.47 × 10−4 ± 1.74 × 10−5 | 4.20 × 10−5 ± 2.42 × 10−6 |
| tbgp | 32.58 ± 0.27 | 53.78 ± 0.38 | 94.83 ± 0.06 | 74.17 ± 0.40 | 71.04 ± 0.11 |
| R2 | 0.9884 | 0.9866 | 0.9852 | 0.9940 | 0.9954 |
| F | 5725.28 | 5656.88 | 7266.46 | 3121.57 | 7140.52 |
| p | <0.0001 | <0.0001 | <0.0001 | <0.0001 | <0.0001 |
| SSD | 0.055 | 0.065 | 0.620 | 0.044 | 0.275 |
| RPDM | 5.85 | 5.17 | 4.23 | 3.63 | 2.08 |
| Af | 1.06 | 1.10 | 1.04 | 1.04 | 1.02 |
| Bf | 1.02 | 1.00 | 1.00 | 0.97 | 1.00 |
| Cultures | ||||
|---|---|---|---|---|
| Parameter | I. CECT 4043 | II. CECT 4043 | I. CECT 410 | II. CECT 410 |
| K1 | 0.56 ± 5.66 × 10−4 | 0.86 ± 6.32 × 10−2 | 0.53 ± 1.16 × 10−2 | 0.93 ± 3.48 × 10−3 |
| aX0 | 19.48 ± 1.03 | 53.88 ± 6.33 | 51.29 ± 18.99 | 10.76 ± 3.05 × 10−6 |
| aX1 | 1.65 × 10−2 ± 6.20 × 10−3 | 0.24 ± 2.01 × 10−2 | 0.12 ± 5.14 × 10−3 | 7.73 ± 3.43 × 10−2 |
| aX2 | 3.14 × 10−2 ± 2.59 × 10−4 | −6.00 × 10−4 ± 2.81 × 10−5 | −5.12 × 10−4 ± 8.84 × 10−6 | 3.07 × 10−2 ± 2.16 × 10−5 |
| bX0 | 2.09 ± 0.06 | 2.48 ± 6.42 × 10−2 | 0.24 ± 0.05 | 11.30 ± 1.01 |
| bX1 | 3.65 × 10−2 ± 5.50 × 10−4 | −2.98 × 10−4 ± 3.88 × 10−5 | −5.69 × 10−2 ± 9.42 × 10−3 | 7.71 × 10−3 ± 1.19 × 10−3 |
| bX2 | −9.80 × 10−5 ± 3.71 × 10−6 | 1.44 × 10−5 ± 1.02 × 10−6 | 3.65 × 10−4 ± 4.63 × 10−5 | 2.85 × 10−5 ± 4.23 × 10−6 |
| tbgp | 48.35 ± 0.16 | 138.65 ± 2.13 | 88.84 ± 1.86 × 10−2 | 120.34 ± 2.18 × 10−2 |
| R2 | 0.9981 | 0.9848 | 0.9973 | 0.9933 |
| F | 32,471.24 | 14,792.41 | 16,743.02 | 13,551.61 |
| p | <0.0001 | <0.0001 | <0.0001 | <0.0001 |
| SSD | 0.001 | 0.086 | 0.008 | 0.290 |
| RPDM | 1.33 | 5.39 | 4.53 | 4.87 |
| Af | 1.01 | 1.06 | 1.05 | 1.07 |
| Bf | 1.00 | 0.99 | 0.97 | 1.00 |
| Cultures | ||
|---|---|---|
| Parameter | Mos Breed Roosters | Foals |
| K1 | 6.60 ± 1.35 × 10−2 | 131.69 ± 0.80 |
| aX0 | 2.74 ± 1.31 × 10−2 | 34.03 ± 3.31 |
| aX1 | 7.46 × 10−3 ± 1.11 × 10−4 | 3.30 × 10−2 ± 8.46 × 10−4 |
| aX2 | −3.69 × 10−6 ± 5.04 × 10−7 | −2.66 × 10−5 ± 2.23 × 10−6 |
| bX0 | 38.97 ± 1.03 | 0.17 ± 1.61 × 10−3 |
| bX1 | 7.19 × 10−2 ± 5.01 × 10−4 | −1.86 × 10−2 ± 2.54 × 10−3 |
| bX2 | −1.69 × 10−4 ± 2.68 × 10−6 | 3.43 × 10−5 ± 1.09 × 10−5 |
| tbgp | 167.54 ± 5.25 | 321.38 ± 2.44 |
| R2 | 0.9961 | 0.9868 |
| F | 20,610.75 | 7691.90 |
| p | <0.0001 | <0.0001 |
| SSD | 0.186 | 1072.62 |
| RPDM | 5.37 | 6.67 |
| Af | 1.08 | 1.03 |
| Bf | 1.03 | 1.01 |
| Cultures | ||||||
|---|---|---|---|---|---|---|
| Parameter | I. CECT 539 | II. CECT 539 | III. CECT 539 | IV. CECT 539 | V. CECT 539 | VI. CECT 539 |
| α | 1216.73 ± 57.13 | 16.40 ± 0.15 | 7.85 ± 0.35 | 38.68 ± 0.20 | 757.00 ± 1.89 | 135.86 ± 0.91 |
| φ | 0.30 ± 4.81 × 10−2 | 0.45 ± 7.69 × 10−2 | 0.23 ± 5.13 × 10−2 | 0.66 ± 7.36 × 10−2 | 3.31 ± 3.40 × 10−2 | 1.98 ± 0.94 |
| aP0 | 71.50 ± 2.61 | 1.97 × 10−2 ± 3.58 × 10−3 | −0.51 ± 3.17 × 10−2 | 2.17 ± 0.24 | 214.51 ± 1.38 | 22.39 ± 8.96 |
| aP1 | 3.44 × 10−3 ± 4.97 × 10−4 | −0.21 ± 3.81 × 10−2 | 5.25 × 10−2 ± 0.97 × 10−2 | 6.81 × 10−3 ± 4.60 × 10−4 | 8.11 × 10−3 ± 1.08 × 10−4 | 6.23 × 10−3 ± 3.05 × 10−4 |
| aP2 | −7.36 × 10−6 ± 1.42 × 10−6 | 3.93 × 10−3 ± 1.6 × 10−3 | 1.46 × 10−3 ± 8.01 × 10−4 | 1.05 × 10−4 ± 4.78 × 10−6 | 3.62 × 10−5 ± 7.65 × 10−7 | −2.77 × 10−5 ± 2.16 × 10−6 |
| bP0 | −2.39 × 10−3 ± 1.44 × 10−4 | −8.13 × 10−7 ± 1.36 × 10−7 | −2.60 × 10−2 ± 4.15 × 10−4 | −0.26 ± 3.20 × 10−3 | −0.79 ± 0.16 | −0.65 ± 0.22 |
| bP1 | −1.34 ± 5.80 × 10−3 | −0.38 ± 2.59 × 10−3 | −6.61 × 10−2 ± 2.49 × 10−4 | −0.16 ± 9.94 × 10−4 | −1.29 × 10−2 ± 8.35 × 10−4 | −5.03 × 10−2 ± 8.48 × 10−3 |
| bP2 | 7.35 × 10−2 ± 4.00 × 10−4 | 2.93 × 10−3 ± 3.66 × 10−5 | 3.92 × 10−4 ± 2.44 × 10−6 | 7.30 × 10−3 ± 7.12 × 10−5 | 2.68 × 10−3 ± 6.88 × 10−4 | 6.53 × 10−3 ± 2.20 × 10−3 |
| R2 | 0.9903 | 0.9876 | 0.9833 | 0.9979 | 0.9986 | 0.9930 |
| F | 4403.83 | 2368.62 | 3111.67 | 12,841.35 | 19,306.78 | 3950.01 |
| p | <0.0001 | <0.0001 | <0.0001 | <0.0001 | <0.0001 | <0.0001 |
| SSD | 131.34 | 34.60 | 99.11 | 4.28 | 4.17 | 72.56 |
| RPDM | 3.83 | 6.66 | 6.92 | 1.16 | 1.00 | 3.09 |
| Af | 1.04 | 1.07 | 1.08 | 1.01 | 1.01 | 1.03 |
| Bf | 1.00 | 0.96 | 0.97 | 1.00 | 1.00 | 1.01 |
| Cultures | |||||
|---|---|---|---|---|---|
| Parameter | VII. CECT 539 | VIII. CECT 539 | IX. CECT 539 | X. CECT 539 | XI. CECT 539 |
| α | 1099.32 ± 28.45 | 1187.59 ± 218.14 | 34.90 ± 3.97 | 21.47 ± 1.11 | 31.29 ± 2.96 |
| φ | 0.57 ± 3.07 × 10−2 | 0.60 ± 0.20 | 0.30 ± 9.08 × 10−2 | 0.44 ± 5.63 × 10−2 | 8.23 × 10−2 ± 2.70 × 10−3 |
| aP0 | 65.63 ± 0.78 | 70.89 ± 1.52 | 1.12 ± 2.52 × 10−2 | 4.03 × 10−2 ± 1.46 × 10−2 | 0.87 ± 4.81 × 10−2 |
| aP1 | 5.61 × 10−4 ± 6.05 × 10−5 | 1.21 × 10−3 ± 3.64 × 10−5 | 1.04 × 10−2 ± 1.83 × 10−4 | −0.13 ± 8.30 × 10−3 | 1.46 × 10−2 ± 2.26 × 10−3 |
| aP2 | 6.06 × 10−6 ± 7.51 × 10−8 | 2.15 × 10−6 ± 2.09 × 10−7 | 2.15 × 10−6 (NS) | 1.66 × 10−3 ± 4.26 × 10−5 | −9.97 × 10−7 ± 1.83 × 10−8 |
| bP0 | −2.33 × 10−3 ± 1.43 × 10−4 | −1.15 × 10−3 ± 7.47 × 10−4 | −3.00 × 10−3 ± 5.11 × 10−4 | 0.23 (NS) | −2.98 × 10−3 (NS) |
| bP1 | −1.34 ± 5.46 × 10−3 | −2.00 ± 1.41 × 10−2 | −2.09 ± 1.32 × 10−2 | 1.72 × 10−2 (NS) | 2.17 (NS) |
| bP2 | 7.35 × 10−2 ± 4.45 × 10−4 | 0.13 ± 1.18 × 10−3 | 0.14 ± 1.10 × 10−3 | 0.22 (NS) | 0.14 (NS) |
| R2 | 0.9979 | 0.9958 | 0.9965 | 0.9943 | 0.9793 |
| F | 20,107.32 | 7060.46 | 9541.68 | 6870.30 | 9211.53 |
| p | <0.0001 | <0.0001 | <0.0001 | <0.0001 | <0.0001 |
| SSD | 146.59 | 254.11 | 239.51 | 152.59 | 392.53 |
| RPDM | 2.55 | 4.15 | 2.64 | 4.85 | 9.14 |
| Af | 1.03 | 1.04 | 1.03 | 1.06 | 1.14 |
| Bf | 1.01 | 1.01 | 1.00 | 0.99 | 0.95 |
| Cultures | ||||
|---|---|---|---|---|
| Parameter | XII. CECT 539 | XIII. CECT 539 | XIV. CECT 539 | XV. CECT 539 |
| α | 37.31 ± 1.22 | 41.62 ± 1.16 | 43.45 ± 0.69 | 47.71 ± 0.50 |
| φ | −5.82 × 10−3 ± 2.36 × 10−2 | −6.95 × 10−2 ± 1.93 × 10−2 | −6.03 × 10−2 ± 1.80 × 10−2 | −0.10 ± 1.35 × 10−2 |
| aP0 | 1.61 ± 0.88 | 1.91 ± 0.55 | 2.04 ± 0.47 | 2.33 ± 0.23 |
| aP1 | 1.03 × 10−2 ± 4.65 × 10−3 | 0.11 ± 2.28 × 10−2 | 0.13 ± 1.58 × 10−2 | 0.14 ± 1.39 × 10−2 |
| aP2 | 1.62 × 10−2 ± 3.86 × 10−3 | 3.07 × 10−3 ± 1.17 × 10−3 | 6.20 × 10−4 (NS) | −6.09 × 10−4 ± 3.50 × 10−6 |
| bP0 | −1.73 × 10−3 (NS) | −1.19 × 10−3 (NS) | −1.19 × 10−3 (NS) | −1.16 × 10−3 (NS) |
| bP1 | 21.02 (NS) | 21.02 (NS) | 21.02 (NS) | 21.02 (NS) |
| bP2 | 1.33 (NS) | 1.33 (NS) | 1.33 (NS) | 1.33 (NS) |
| R2 | 0.9962 | 0.9948 | 0.9946 | 0.9971 |
| F | 7807.78 | 6386.46 | 6208.53 | 8595.60 |
| p | <0.0001 | <0.0001 | <0.0001 | <0.0001 |
| SSD | 85.80 | 134.63 | 186.07 | 145.41 |
| RPDM | 2.24 | 2.41 | 2.28 | 1.89 |
| Af | 1.02 | 1.02 | 1.02 | 1.02 |
| Bf | 1.00 | 1.00 | 1.00 | 1.00 |
| Cultures | |||||
|---|---|---|---|---|---|
| Parameter | I. NRRL B-5627 | II. NRRL B-5627 | III. NRRL B-5627 | IV. NRRL B-5627 | V. NRRL B-5627 |
| α | 430.84 ± 2.09 | 215.07 ± 19.31 | 2.69 ± 2.48 × 10−2 | 144.47 ± 0.33 | 76.55 ± 0.55 |
| φ | 4.37 × 10−2 ± 3.98 × 10−3 | 0.89 ± 0.14 | 25.65 ± 0.24 | −0.25 ± 1.29 × 10−3 | 0.12 ± 7.84 × 10−3 |
| aP0 | −0.32 ± 9.33 × 10−3 | −4.64 × 10−4 ± 1.45 × 10−4 | −0.99 ± 9.82 × 10−3 | −0.45 (NS) | −1.97 × 10−2 ± 5.73 × 10−3 |
| aP1 | −3.76 × 10−2 ± 1.23 × 10−3 | −0.24 ± 6.15 × 10−3 | 27.13 ± 3.82 × 10−6 | 1.67 (NS) | −0.14 ± 7.69 × 10−3 |
| aP2 | 1.20 × 10−3 ± 2.77 × 10−5 | 2.50 × 10−3 ± 2.04 × 10−5 | 9.43 × 10−2 ± 1.16 × 10−7 | 4.09 × 10−5 (NS) | 2.04 × 10−3 ± 4.85 × 10−5 |
| bP0 | 1.25 × 10−2 (NS) | −0.25 (NS) | 9.73 × 10−3 (NS) | −0.33 ± 1.81 × 10−3 | −0.65 ± 0.25 |
| bP1 | 37.76 ± (NS) | 37.76 (NS) | 37.76 (NS) | −1.42 × 10−2 ± 1.05 × 10−4 | 37.76 ± 1.54 × 10−6 |
| bP2 | 12.81 (NS) | 12.81 (NS) | 12.81 (NS) | 1.80 × 10−4 ± 1.24 × 10−6 | 12.81 ± 4.05 × 10−5 |
| R2 | 0.9971 | 0.9893 | 0.9652 | 0.9986 | 0.9942 |
| F | 20,120.08 | 5104.55 | 1079.16 | 32,637.69 | 8564.28 |
| p | <0.0001 | <0.0001 | <0.0001 | <0.0001 | <0.0001 |
| SSD | 2199.96 | 10,427.44 | 5885.46 | 193.91 | 2431.36 |
| RPDM | 1.62 | 3.73 | 5.39 | 1.07 | 3.65 |
| Af | 1.02 | 1.04 | 1.05 | 1.01 | 1.02 |
| Bf | 1.00 | 0.98 | 1.00 | 1.00 | 1.00 |
| Cultures | ||||
|---|---|---|---|---|
| Parameter | I. CECT 4043 | II. CECT 4043 | I. CECT 410 | II. CECT 410 |
| α | 13.66 ± 9.98 × 10−2 | 29.49 ± 1.32 | 0.38 ± 3.41 × 10−2 | 1.11 ± 1.10 × 10−2 |
| φ | −6.75 × 10−2 ± 7.92 × 10−3 | 8.93 × 10−2 ± 1.06 × 10−2 | 0.57 ± 0.13 | −1.93 × 10−2 ± 7.19 × 10−3 |
| aP0 | 1.24 ± 0.15 | 7.79 ± 2.26 | 0.10 ± 3.22 × 10−2 | −0.44 ± 6.87 × 10−2 |
| aP1 | 5.28 × 10−2 ± 2.72 × 10−3 | 1.15 × 10−2 ± 3.63 × 10−3 | −0.11 ± 6.25 × 10−3 | −1.01 × 10−3 ± 3.49 × 10−6 |
| aP2 | −1.37 × 10−4 ± 1.85 × 10−5 | 1.20 × 10−4 ± 1.45 × 10−5 | 1.37 × 10−3 ± 2.82 × 10−5 | 1.73 × 10−4 ± 4.25 × 10−5 |
| bP0 | 0.75 ± 0.11 | 7.15 × 10−4 ± 3.85 × 10−5 | 2.12 (NS) | 16.66 (NS) |
| bP1 | 7.21 × 10−2 ± 1.28 × 10−5 | −8.99 × 10−2 ± 1.32 × 10−3 | 7.21 × 10−2 (NS) | 7.21 × 10−2 (NS) |
| bP2 | 0.22 ± 1.46 × 10−8 | 2.59 × 10−4 ± 5.92 × 10−6 | 0.22 (NS) | 0.22 (NS) |
| R2 | 0.9963 | 0.9895 | 0.9960 | 0.9934 |
| F | 7573.89 | 6288.56 | 8814.40 | 8650.07 |
| p | <0.0001 | <0.0001 | <0.0001 | <0.0001 |
| SSD | 0.575 | 111.35 | 0.01 | 0.32 |
| RPDM | 2.33 | 11.13 | 4.35 | 2.52 |
| Af | 1.02 | 1.13 | 1.04 | 1.03 |
| Bf | 0.99 | 0.95 | 1.01 | 1.00 |
Disclaimer/Publisher’s Note: The statements, opinions and data contained in all publications are solely those of the individual author(s) and contributor(s) and not of MDPI and/or the editor(s). MDPI and/or the editor(s) disclaim responsibility for any injury to people or property resulting from any ideas, methods, instructions or products referred to in the content. |
© 2025 by the author. Licensee MDPI, Basel, Switzerland. This article is an open access article distributed under the terms and conditions of the Creative Commons Attribution (CC BY) license (https://creativecommons.org/licenses/by/4.0/).
Share and Cite
Guerra, N.P. Enhancing Logistic Modeling for Diauxic Growth and Biphasic Antibacterial Activity Synthesis by Lactic Acid Bacteria in Realkalized Fed-Batch Fermentations. Mathematics 2025, 13, 3105. https://doi.org/10.3390/math13193105
Guerra NP. Enhancing Logistic Modeling for Diauxic Growth and Biphasic Antibacterial Activity Synthesis by Lactic Acid Bacteria in Realkalized Fed-Batch Fermentations. Mathematics. 2025; 13(19):3105. https://doi.org/10.3390/math13193105
Chicago/Turabian StyleGuerra, Nelson Pérez. 2025. "Enhancing Logistic Modeling for Diauxic Growth and Biphasic Antibacterial Activity Synthesis by Lactic Acid Bacteria in Realkalized Fed-Batch Fermentations" Mathematics 13, no. 19: 3105. https://doi.org/10.3390/math13193105
APA StyleGuerra, N. P. (2025). Enhancing Logistic Modeling for Diauxic Growth and Biphasic Antibacterial Activity Synthesis by Lactic Acid Bacteria in Realkalized Fed-Batch Fermentations. Mathematics, 13(19), 3105. https://doi.org/10.3390/math13193105
