Next Article in Journal
Bounds on Causal Effects Based on Expectations in Ordered-Outcome Models
Next Article in Special Issue
Truncated M-Fractional Exact Solutions, Stability Analysis, and Modulation Instability of the Classical Lonngren Wave Model
Previous Article in Journal
Context-Aware Dynamic Integration for Scene Recognition
Previous Article in Special Issue
Solutions for Linear Fractional Differential Equations with Multiple Constraints Using Fractional B-Poly Bases
 
 
Font Type:
Arial Georgia Verdana
Font Size:
Aa Aa Aa
Line Spacing:
Column Width:
Background:
Article

Nonlinear Wave Structures, Multistability, and Chaotic Behavior of Quantum Dust-Acoustic Shocks in Dusty Plasma with Size Distribution Effects

School of Mathematics and Statistics, Hanshan Normal University, Chaozhou 521041, China
*
Author to whom correspondence should be addressed.
Mathematics 2025, 13(19), 3101; https://doi.org/10.3390/math13193101
Submission received: 26 August 2025 / Revised: 19 September 2025 / Accepted: 24 September 2025 / Published: 27 September 2025

Abstract

This paper presents a detailed study of the ( 3 + 1 ) -dimensional Zakharov–Kuznetsov–Burgers equation to investigate shock-wave phenomena in dusty plasmas with quantum effects. The model provides significant physical insight into nonlinear dispersive and dissipative structures arising in charged-dust–ion environments, corresponding to both laboratory and astrophysical plasmas. We then perform a qualitative, numerically assisted dynamical analysis using bifurcation diagrams, multistability checks, return maps, Poincaré sections, and phase portraits. For both the unperturbed and a perturbed system, we identify chaotic, quasi-periodic, and periodic regimes from these numerical diagnostics; accordingly, our dynamical conclusions are qualitative. We also examine frequency-response and time-delay sensitivity, providing a qualitative classification of nonlinear behavior across a broad parameter range. After establishing the global dynamical picture, traveling-wave solutions are obtained using the Paul–Painlevé approach. These solutions represent shock and solitary structures in the plasma system, thereby bridging the analytical and dynamical perspectives. The significance of this study lies in combining a detailed dynamical framework with exact traveling-wave solutions, allowing a deeper understanding of nonlinear shock dynamics in quantum dusty plasmas. These results not only advance theoretical plasma modeling but also hold potential applications in plasma-based devices, wave propagation in optical fibers, and astrophysical plasma environments.

1. Introduction

Nonlinear partial differential equations (NLPDEs) serve as significant tools for modeling collective processes in complex plasmas, specifically in systems where dust particles play an essential role [1,2]. In dusty plasmas, the distribution of dust grain sizes has a profound influence on the dynamics of nonlinear wave propagation [3]. In contrast to idealized models that assume uniform dust particles, realistic plasmas contain grains of varying sizes and charges, which modify both the dispersion and dissipation properties of the medium [4]. This variation directly affects the stability and structure of shock waves, leading to broadened wavefronts, modified amplitudes, and in certain regimes, the emergence of new nonlinear characteristics such as precursor solitons or attenuated shocks [5].
In the context of quantum dusty plasmas, the importance of NLPDEs becomes even more pronounced. Quantum effects introduce additional pressure-like terms arising from tunneling and degeneracy, which, when combined with dust size distribution, create a extremely nonlinear environment for wave propagation [6]. NLPDE-based models such as Zakharov–Kuznetsov (ZK) or Burgers-type equations presents an effective mathematical framework to capture these complexities by incorporating dissipation, dispersion, and nonlinear interactions in a unified manner [7]. Through such formulations, one can observe how different dust size distributions alter shock profiles, potentially trigger instabilities, and modulate energy transport [8]. These insights are relevant not only for laboratory plasmas but also for astrophysical environments, where dust size variation is a natural characteristic and shock waves play a critical role in structure formation and energy dissipation [9].
Solitons and exact solutions to NLPDEs are of great significance in comprehending the role of dust size distribution on shock-wave dynamics in quantum dusty plasmas [10,11]. Dust grains of different sizes modify the charge-to-mass ratio and consequently alter the dissipative and dispersive properties of the medium, which directly influences the shape, amplitude, and stability of solitons and shock profiles [12]. Exact solutions allow for a precise characterization of how dust size variation can lead to broadened shocks, attenuated fronts, or the coexistence of solitary and oscillatory behaviors, which are crucial in describing energy transport and nonlinear interactions in such plasmas [13]. Recently, many scholars have focused on deriving solitons and exact solutions to NLPDEs using a variety of analytical techniques, including Painlevé analysis [14], the Hirota bilinear method [15], the extended tanh-function method [16], the ( G / G ) -expansion method [17], the exp-function method [18], the variational iteration method [19], Backlund transformation [20], the modified Jacobi elliptic expansion method [21], the improved F-expansion method [22], and the inverse scattering method [23]. These techniques not only provide explicit solitary and shock-wave solutions but also shed light on their stability, bifurcation properties, and possible chaotic transitions in dusty-plasma environments. Such studies are valuable in both laboratory plasma experiments and astrophysical scenarios, where dust size distribution plays a significant role in the propagation of nonlinear waves and the formation of shock structures [24].
The ( 3 + 1 ) -dimensional ZK–Burgers equation presents a compact yet physically rich framework for explaining shock-wave phenomena in plasmas containing dust-charged particles with quantum effects [25]. By combining the ZK dispersion (capturing oblique, multidimensional propagation and transverse modulation) with Burgers-type dissipation (modeling viscosity, dust–neutral drag, and charge-fluctuation damping), the ZK–Burgers model embeds the essential steepening–dispersion–dissipation balance that governs the emergence of monotonic and solitary structures, oscillatory shocks, and their interactions [26]. Quantum corrections typically entering through a Bohm-type potential and degeneracy (Fermi) pressure renormalize the dispersive scale and, together with dust charging and amplitude, modify shock width and admissibility conditions. In realistic dusty plasmas, the dust-size distribution further alters the effective inertia and charging dynamics, thereby reshaping the nonlinear and dispersive coefficients of the reduced model and yeilding to broadened fronts, precursor oscillations, or attenuated (under/overcompressive) shocks [27].
From a literature standpoint, lower-dimensional ZK- or Burgers-type reductions have long been used to observe ion-acoustic and dust-acoustic structures; however, many classic treatments either neglect quantum contributions or restrict attention to ( 1 + 1 ) or ( 2 + 1 ) geometries, limiting their capacity to capture transverse effects, filamentation, and oblique-shock formation. The ( 3 + 1 ) -D ZK–Burgers formulation addresses these gaps by (i) accommodating fully three-dimensional geometries relevant to laboratory devices, microgravity dusty-plasma experiments, and space/astrophysical environments (e.g., cometary tails, planetary rings); (ii) incorporating dust charging, drag, and grain-size dispersion into the dissipation and nonlinearity; and (iii) including quantum dispersion, which is crucial in dense or degenerate plasmas. In this setting, exact and traveling-wave solutions (bright, periodic, hybrid, dark–bright) characterize coherent behaviors and shock profiles, while complementary dynamical bifurcation analysis, multistability, Poincaré maps, and return maps reveals parameter regimes of periodic, quasi-periodic, and chaotic responses.
Overall, the ( 3 + 1 ) -D ZK–Burgers equation serves as a unifying asymptotic model that links microphysics (dust charging, quantum pressure, grain-size effects) to macroscopic observables (shock morphology, stability, and coherence). It thus provides a rigorous basis for predicting shock thickness, front oscillations, and transition thresholds, and for designing diagnostics and control strategies in dusty quantum plasmas across laboratory and astrophysical settings.
Although different studies have investigated shock and soliton structures in plasmas using ZK and Burgers-type equations, most of the available literature is limited to lower-dimensional ( 1 + 1 ) or ( 2 + 1 ) frameworks and frequently neglects essential physical effects such as dust grain charging, quantum corrections, and grain-size distribution [28]. In particular, the majority of earlier works considered either classical dusty plasmas or weakly nonlinear regimes, without incorporating quantum effects or external magnetic fields. Such simplifications restrict their applicability to realistic plasma environments, where dust dynamics, multidimensionality, and quantum contributions play a central role in shaping shock morphology and stability [29,30,31].
In the present work, we address these gaps by focusing on quantum dust-acoustic (QDA) shock waves in collisionless dusty plasma under the influence of an external magnetic field. The system is modeled through the ( 3 + 1 ) -dimensional ZKB equation, which simultaneously accounts for dissipation, dispersion, and nonlinear steepening in dusty quantum plasmas. Our main motivation is twofold: (i) to construct exact solitary and shock-type solutions (bright, periodic, combo, dark–bright) using the Paul–Painlevé approach, and (ii) to perform a comprehensive dynamical analysis applying chaos-identification tools such as Lyapunov exponents, bifurcation diagrams, return maps, multistability, and basin attractors. This dual framework allows us to uncover the rich nonlinear dynamics of QDA shock waves and to emphasize the influence of dust size distribution and quantum effects, thereby extending the scope of previous studies.
Figure 1 provides a complete flowchart of the methodology and analysis applied in this study. The remainder of this paper is structured as follows. Section 2 outlines the formulation of the ( 3 + 1 ) -dimensional ZKB model describing dusty plasma with quantum effects. In Section 3, the dynamical properties of the system are observed through bifurcation theory. Section 5 introduces a range of chaos-identification tools that are used to classify the nonlinear regimes, including periodic, quasi-periodic, and chaotic behaviors. Section 6 describes the construction of exact solutions using the Paul–Painlevé approach together with their physical interpretations. Finally, Section 7 summarizes our main findings and outlines possible directions for future research.

2. Formulation of Model

In this study, we consider a three-dimensional dusty-plasma system incorporating quantum effects. The plasma comprises inertia-less ions and electrons, along with negatively charged dust particles [32]. The pressure for a given species l is modeled as [33,34,35]
E = m W F 2 3 G 0 2 G l 3 ,
where G l denotes the number density of species l, and G l 0 represents its corresponding equilibrium value. Here, = d s refers to the sth dust species, while = e and = i correspond to electrons and ions, respectively. The mass of the species is indicated by m , and the Fermi thermal speed is given by W F l = 2 S B H F / m , where S B is the Boltzmann constant and H F is the Fermi temperature.
The overall charge balance in the plasma system satisfies the following condition:
G k 0 = G e 0 + s = 1 M Y d s G d s 0 ,
where G d s 0 , G e 0 , and G i 0 refer to the equilibrium number densities of the sth dust population, electrons, and ions, respectively. Furthermore, the behavior of shock structures in a quantum plasma system characterized by a spatially varying density G ( r ) is described in detail in [36,37,38].
G d s t + · ( G d s v d s ) = 0 ,
G d s t + G d s ( · ( G d s v d s ) ) = Y d s m d s Ψ ϵ d m d s G d s Θ ( v d s × x ) + ρ m d s 2 v d s + K d 2 2 m d s 2 2 G d s G d s ,
2 Ψ = η e G e η i G i + q = 1 M Y d s G d s ,
Ψ ϵ e G e G e + K e 2 2 2 G e G e = 0 ,
Ψ ϵ i G i G i + K i 2 2 2 G i G i = 0 .
The parameters η i and η e are defined as η i = G i 0 Y ¯ d 0 G tot , η e = G e 0 Y ¯ d 0 G tot , while the normalized temperature ratios are given by ϵ e = H e H eff , ϵ i = H i H eff , ϵ d = H F d Y ¯ d 0 H eff , and the quantum diffraction parameters take the form K e 2 = 2 Y ¯ d 0 ω p d 2 m e c d 4 , K i 2 = 2 Y ¯ d 0 ω p d 2 m i c d 4 , H d 2 = Z ¯ d 0 ω p d 2 m ¯ d c d 4 . Here, H eff represents the effective temperature, defined as H eff = H i H e η i H i + η e H e , with H i and H e being the ion and electron temperatures, respectively. Here, v d s denotes the velocity vector of the s-th dust species, m d s is the mass of a dust grain in that species, and Y d s is the number of elementary charges associated with the surface of the sth dust grain. The total equilibrium number density of particles is denoted by G tot and is given by G tot = s = 1 M G d s , while Y ¯ d 0 denotes the average charge number over all dust species. The average charge-weighted number density is expressed as
Y ¯ d 0 G tot = m = 1 M m d s G d s ,
where m d denotes the average mass of the dust particles, defined by
m ¯ d = 1 G tot s = 1 G m d s G d s .
The dust-acoustic speed c d is determined using the relation c d = 2 Y ¯ d 0 H eff m ¯ d , while the dust plasma frequency is given by ω p d = 4 π e 2 Y ¯ d 0 2 G tot m ¯ d . The magnetization parameter is defined as Θ = e Y ¯ d 0 B 0 m ¯ d c d ω p d , and ρ denotes the viscosity of the dust species. The number densities of the sth dust particle, electrons, and ions are denoted by n d s , n e , and n i , respectively. The velocity vector corresponding to the sth dust component is represented by v d s .
v d s = v d s x i + v d s y j + v d s z k .
The electrostatic potential is denoted by Ψ . By introducing dimensionless variables and applying the reductive perturbation technique [39], the potential Ψ can be expanded as a power series in the small parameter ϵ . As a result, we obtain the following expression:
s = 1 M Y d s 2 G d s 0 λ 2 m d s ϵ G d s 0 2 = 1 .
Considering that the temperature H of the dust fluid is typically low while the mass is relatively large [40], the above reduces to:
λ 2 = s = 1 M G d s 2 Y d s 2 m d j .
Here, λ is the phase-speed parameter of the dust–acoustic mode for the ratio of the wave phase speed to the dust–acoustic speed; Equation (11) is the compatibility relation that determines λ 2 from G d s , Y d s , and m d s . Next, by matching the coefficients of ϵ 4 in the y- and z-directional equations, we obtain additional conditions.
w d s y 2 = λ m d s Θ 2 Y d s 1 + Y d s G d s 0 ϵ d G d s 0 2 λ 2 m d s 2 R x y ,
w d s z 2 = λ m d s Θ 2 Y d s 1 + Y d s G d s 0 ϵ d G d s 0 2 λ 2 m d s 2 R x z .
Thus, by considering terms in the power series expansion of ϵ up to an order of less than four, and incorporating Equations (11)–(14), we arrive at the ZK–Burgers equation.
M t + Π 1 M M x + Π 2 M x x x + Π 3 ( M x y y + M x z z ) Π 4 M x x = 0 .
The coefficients involved are given by
Π 1 = 3 2 λ 3 s = 1 M Y d s 3 G d s 0 m d s 2 + 1 2 λ s = 1 M ϵ d μ d s · Y d s G d s 0 2 ϵ d G d s 0 2 λ 2 m d s 0 + λ 2 η e ϵ e 2 η i ϵ i 2 ,
Π 2 = λ 2 1 2 λ s = 1 M K d 2 4 m d s 2 λ 2 η e K e 2 4 ϵ e 2 + η i K i 2 4 ϵ i 2 ,
Π 3 = λ 2 s = 1 M m d s n d s 0 Θ 2 1 + ϵ d G 2 λ 2 m d s ϵ d G d s 0 2 + Π 2 ,
Π 4 = ρ 2 λ 2 s = 1 M Y d s 2 G d s 0 m d s 2 .
To study the propagation of shock structures within a quantum dusty-plasma framework, we derive the ZK–Burgers equation as depicted in Equation (15). This approach enables the analysis of solitary-wave solutions under the influence of a quantum plasma environment, particularly when dust particle distributions follow a power-law.

3. Conversion of Proposed Model into ODE

To obtain traveling-wave solutions to the ZK–Burgers Equation (15), we introduce the traveling–wave transformation:
M ( x , y , z , t ) = Q ( τ ) , τ = Z 1 x + Z 2 y + Z 3 z ω t .
Plugging Equation (20) together with its various derivatives into Equation (15), we obtain
ω Q + Π 1 Z 1 Q Q + [ Π 2 Z 1 3 + Π 3 ( Z 1 Z 2 2 + Z 1 Z 3 2 ) ] Q Π 4 Z 1 2 Q = 0 .
After performing integration once with regard to τ , Equation (21) reduces to
ω Q + Π 1 Z 1 2 Q 2 + [ Π 2 Z 1 3 + Π 3 ( Z 1 Z 2 2 + Z 1 Z 3 2 ) ] Q Π 4 Z 1 2 Q = 0 .

4. Dynamical Investigation of Unperturbed System

In this section, we conduct a comprehensive dynamical investigation of the ( 3 + 1 ) -dimensional ZK–Burgers equation through detailed bifurcation analysis [41,42]. Particular emphasis is placed on exploring the transitions between stable, quasi-periodic, and chaotic regimes, thereby uncovering the rich nonlinear behavior of the system.

Bifurcation Analysis

In this section, we investigate the dynamical consequences of Equation (22) through the lens of bifurcation theory. As a first step, we apply a Galilean transformation to the ordinary differential equation given in Equation (22), reformulating it into the following system of equations:
d Q d τ = R , d R d τ = B 1 Q B 2 Q 2 + B 3 R .
Here, B 1 = ω [ Π 2 Z 1 3 + Π 3 ( Z 1 Z 2 2 + Z 1 Z 3 2 ) ] , B 2 = Π 1 Z 1 2 [ Π 2 Z 1 3 + Π 3 ( Z 1 Z 2 2 + Z 1 Z 3 2 ) ] , B 3 = Π 4 Z 1 2 [ Π 2 Z 1 3 + Π 3 ( Z 1 Z 2 2 + Z 1 Z 3 2 ) ] .
Remark 1. 
System (23) is inherently dissipative when B 3 < 0 , since the phase-space divergence equals B 3 . This dissipation governs the emergence of attractors and underpins the chaotic dynamics analyzed in subsequent sections.
To find the equilibrium points of the dynamical system (23), we need to solve the following system of equations:
R = 0 , B 1 Q B 2 Q 2 + B 3 R = 0 .
System (24) is solved, and the resulting equilibrium points are as follows:
E 1 = ( 0 , 0 ) , E 2 = ( B 1 B 2 , 0 ) .
For system (23) at an equilibrium of E = ( Q , 0 ) , the linearized matrix is
A = 0 1 ( B 1 + 2 B 2 Q ) B 3 ,
with the characteristic polynomial
λ 2 B 3 λ + ( B 1 + 2 B 2 Q ) = 0 .
Let Δ = B 1 + 2 B 2 Q . The eigenvalues are
λ 1 , 2 = B 3 ± B 3 2 4 Δ 2 .
Proposition 1. 
The type of equilibrium point E is determined as follows:
1. 
If Δ < 0 , E is a saddle.
2. 
If Δ > 0 and B 3 2 > 4 Δ , E is a node: it is stable if B 3 < 0 , and unstable if B 3 > 0 .
3. 
If Δ > 0 and B 3 2 < 4 Δ , E is a spiral (focus): it is stable if B 3 < 0 , and unstable if B 3 > 0 .
Since B 3 0 in the dissipative case, centers do not occur.
Applying this to system (23), we obtain
E 1 = ( 0 , 0 ) : Δ = B 1 , E 2 = B 1 B 2 , 0 : Δ = B 1 .
Thus, E 1 is a saddle if B 1 < 0 , and E 2 is a saddle if B 1 > 0 ; otherwise they are stable/unstable nodes or foci depending on B 3 and the discriminant. The various outcomes that arise from varying the involved parameters in system (23) are presented in Table 1.
The classification of equilibrium points summarized in Table 1 highlights the influence of parameter signs on the qualitative dynamics of the system. When the characteristic equation yields real eigenvalues of opposite signs, the corresponding equilibrium behaves as a saddle, indicating divergence along the unstable manifold and convergence along the stable one. When the eigenvalues are complex with a negative real part, the equilibrium appears as a stable spiral (focus), consistent with the trajectories spiraling inward in Figure 2 and Figure 3. Since system (23) is dissipative, genuine centers do not occur, and thus, no closed neutral orbits are displayed in the phase portraits. This classification explains the coexistence of saddles and stable spirals under different parameter regimes, which provides the foundation for richer nonlinear dynamics, including multistability and transitions to chaos.

5. Chaotic Phenomena with Various Chaos-Identification Tools

In this section, we analyze the chaotic dynamics of the system using a range of diagnostic techniques, including return maps, multistability analysis, and chaotic attractors, as well as time series of the perturbed dynamical system. These tools allow us to systematically distinguish between chaotic, quasi-periodic, and periodic behaviors across different parameter regimes.

5.1. Detection of Chaos

To study the chaotic behavior of the model, an external forcing term U sin ( S ) was introduced into the unperturbed dynamical system (23), thereby yielding a perturbed system.
d Q d τ = R , d R d τ = B 1 Q B 2 Q 2 + B 3 R + U sin ( S ) , d S d τ = V .
Here, S = V τ . System (23) corresponds to the unperturbed dynamical reduction of the ZK–Burgers equation, obtained through a traveling-wave transformation and subsequent Galilean reduction. While this system captures essential dissipative and dispersive interactions, it remains autonomous and therefore cannot display externally driven oscillations. To investigate the onset of more complex dynamics, we extended system (23) by incorporating the forcing term U sin ( S ) and the auxiliary phase relation d S d τ = V . This yields system (26), a non-autonomous dynamical system capable of exhibiting richer behaviors, including bifurcations, quasi-periodicity, and chaos, thereby providing deeper insight into the nonlinear responses of dusty-plasma shocks. It is worth clarifying the physical motivation behind the introduction of the oscillatory forcing term in system (26). In realistic dusty-plasma environments, external periodic perturbations naturally arise from oscillatory electric or magnetic fields, fluctuations in dust charging, or background wave–particle interactions. The term U sin ( S ) therefore models the action of an external driver that continuously injects energy into the plasma system. Such perturbations are known to induce transitions among periodic, quasi-periodic, and chaotic responses, which are frequently observed in both laboratory dusty-plasma experiments and astrophysical-plasma settings. Thus, the forcing term reflects physically relevant excitations that enrich the dynamical behavior of the dusty-plasma model. The trajectories depicted in Figure 4 illustrate the diverse dynamical responses of the perturbed ZK–Burgers system under different parameter regimes. For U = 3.4 and V = 8.89 (Figure 4a), the solution exhibits a closed-loop structure, indicating a stable periodic orbit. When the parameters are adjusted to U = 2.6 and V = 8.4 (Figure 4b), the trajectories evolve into nested patterns with slight variations, a hallmark of quasi-periodic motion where multiple incommensurate frequencies coexist. A further small change to U = 2.6 and V = 8.9 (Figure 4c) also produces toroidal structures, which correspond to quasi-periodic invariant tori rather than chaotic attractors. These observations demonstrate how subtle parameter variations can drive the system through periodic and quasi-periodic regimes, highlighting its sensitivity and complex oscillatory behavior.
The dynamical responses demonstrated in Figure 5 further illustrate the diverse behaviors of the perturbed ZK–Burgers system under different parameter values. For U = 0.9 and V = 6.91 (Figure 5a), the trajectories form regular, repeating loops, reflecting that the system is in a periodic state. When the parameters are changed to U = 1.1 and V = 6.91 (Figure 5b), the orbit evolves into more intricate nested patterns, indicating a quasi-periodic regime characterized by oscillations with incommensurate frequencies. Finally, for U = 0.92 and V = 4.4 (Figure 5c), the solution develops into a more complex toroidal structure, which corresponds to a quasi-periodic invariant torus rather than a chaotic attractor. These results highlight the sensitivity of the model to small parameter variations and confirm the existence of transitions between periodic and quasi-periodic behaviors within the same physical framework.
The phase trajectories depicted in Figure 6 highlight the emergence of periodic and quasi-periodic behaviors in the perturbed ZK–Burgers system. In Figure 6a, corresponding to U = 1.07 and V = 3.89 , the system evolves into smooth and repeating loops, characteristic of a periodic regime. As the parameters shift to U = 1.5 and V = 3.9 (Figure 6b), the trajectories develop into more intricate nested patterns, reflecting quasi-periodic motion where multiple oscillatory modes interact. Finally, for U = 0.92 and V = 4.4 (Figure 6c), the orbits also form complex toroidal structures, which correspond to quasi-periodic invariant tori rather than chaotic attractors. These results once again highlight the sensitivity of the system to parameter variations, where small changes can shift the dynamics from order to quasi-periodicity.

5.2. Multistability Analysis

In this subsection, we study the chaotic behavior of the perturbed ZK–Burgers system through the phenomenon of multistability. For the parameter set B 1 = 0.94 , B 2 = 0.4 , B 3 = 0.004 , U = 2.5 , V = 14.97 , the system represents multiple coexisting attractors when initialized with distinct starting conditions. As shown in Figure 7a, distinct trajectories emerge for the initial states ( Q , R , S ) = ( 0.10 , 0.10 , 0 ) , ( 0.20 , 0.20 , 0 ) , and ( 0.25 , 0.23 , 0 ) , despite identical governing equations and parameters. This coexistence of attractors confirms the system’s strong sensitivity to initial conditions, a defining feature of multistability. To further examine this phenomenon, the corresponding Poincaré section is presented in Figure 7b. The scattered and irregular distribution of points reflects the chaotic nature of the multistable states, verifying that small perturbations in initial conditions can drive the system toward qualitatively distinct yet coexisting chaotic responses. These findings underscore the inherent complexity of the model, where multiple chaotic solutions can coexist under the same physical setting.

5.3. Return Map Analysis

In this subsection, we examine the dynamical responses of the perturbed ZK–Burgers system via return map analysis. Figure 8 displays the return maps for different values of with fixed parameters B 1 = 3.94 , B 2 = 0.4 , B 3 = 0.0004 , U = 2.5 , V = 2.97 and the initial condition ( 0.39 , 0.22 , 0.92 ) . For = 0.1 (Figure 8a), the points are distributed along a nearly smooth curve, indicating periodic behavior. As increases to 0.3 (Figure 8b), the return map develops more intricate loops, which correspond to quasi-periodic oscillations. When = 0.6 (Figure 8c) and = 0.8 (Figure 8d), the point distributions form increasingly complex toroidal patterns that reflect quasi-periodic invariant tori rather than chaotic attractors. These results confirm that return maps provide a useful diagnostic tool for distinguishing periodic and quasi-periodic regimes within the system.

5.4. Chaotic Attractors

In this subsection, we examine the dynamics of the perturbed ZK–Burgers system through 3D attractor plots. Figure 9 demonstrates the trajectories in ( Q , R , S ) -space for distinct choices of the parameters ( U , V ) . For U = 2.5 , V = 5.9 (Figure 9b) and U = 2.5 , V = 7.9 (Figure 9d), the attractors form relatively smooth layered structures, which are associated with quasi-periodic behavior. When U = 2.5 , V = 6.97 (Figure 9a), the trajectories show irregular folding patterns and stretching, indicating fully developed chaotic motion. Finally, for U = 2.5 , V = 8.9 (Figure 9c), the attractor maintains more regularity with repeating layers, suggesting a transition toward periodic behavior. These observations confirm that the system can switch between periodic, quasi-periodic, and chaotic regimes depending on parameter variations, reinforcing the richness of its nonlinear structure.

5.5. Bifurcation Diagram Analysis

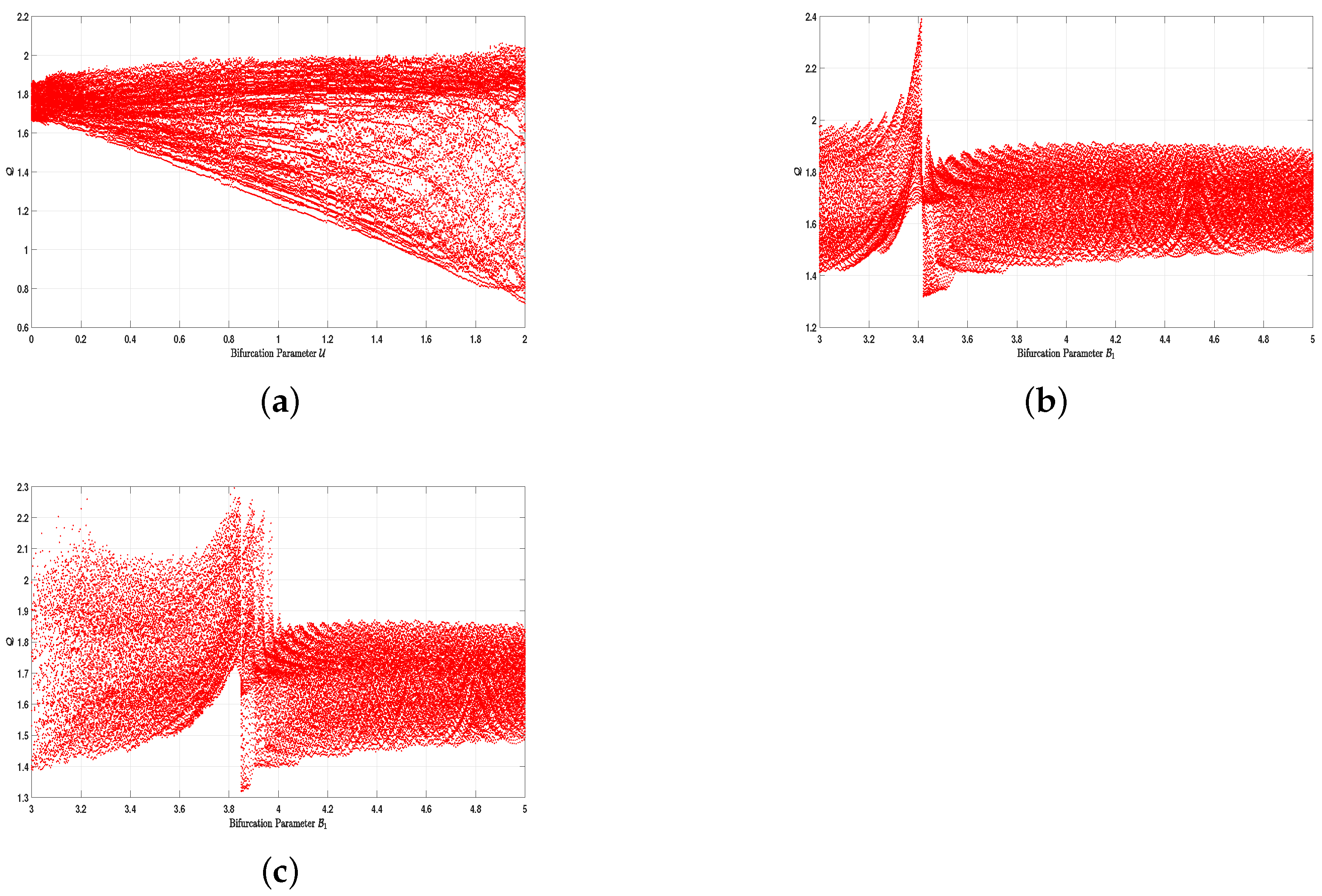
In this subsection, we examine the dynamical transitions of the perturbed ZK–Burgers system by constructing bifurcation diagrams with respect to different parameters. Figure 10 signifies how the qualitative behavior of the system evolves as the bifurcation parameters are varied. In Figure 10a, when the bifurcation parameter M increases from 0 to 2, the system initially demonstrates stable periodic states, represented by a single smooth branch. As M grows, the system undergoes a series of bifurcations that generate multiple branches, yielding to quasi-periodic oscillations. For larger values of M (around M 1.5 ), the branches become scattered and irregular, highlighting chaotic behavior. In Figure 10b, the bifurcation is plotted with respect to B 1 . For 3 B 1 3.3 , the system remains periodic, but around B 1 3.4 a sudden bifurcation occurs, producing a dense web of points characteristic of chaos. As B 1 increases further ( B 1 4.2 ), the system regains partial regularity with quasi-periodic structures. A similar scenario is analyzed in Figure 10c, where variations in B 2 produce alternating windows of periodic, quasi-periodic, and chaotic regimes. Particularly, for 3 B 2 3.2 the system shows periodic oscillations, whereas in the interval 3.3 B 2 3.8 the dynamics become chaotic. Beyond this range, the system again shows quasi-periodic responses interspersed with narrow chaotic bands. The bifurcation diagrams confirm that the perturbed ZK–Burgers system is highly sensitive to parameter variations, showing transitions from periodic motion to quasi-periodic oscillations and ultimately to chaos, depending on the chosen bifurcation parameter values.
Remark 2. 
System (26) is directly connected to the ZK–Burgers Equation (15). Through the traveling-wave transformation (Equation (20)), Equation (15) reduces to the ODE (21), which, after integration, gives Equation (22). By setting d Q d τ = R this yields system (23), and the addition of the external forcing U sin ( S ) with d S d τ = V leads to system (26). Hence, the forced system studied here is a natural extension of the reduced plasma model.
Remark 3. 
System (26) can be regarded as a three-dimensional autonomous system in the evolving variables ( Q , R , S ) , with S ˙ = V representing a constant phase velocity. In some treatments, however, the pair ( S , S ˙ ) is counted separately, leading to the description of a four-dimensional autonomous system. Such systems are known to exhibit both two-dimensional and three-dimensional invariant tori, whose detection requires analysis through first or second Poincaré sections. In the present study, Poincaré maps (Figure 7), together with return maps (Figure 8), provide the main evidence for distinguishing periodic and quasi-periodic regimes from chaotic ones. This ensures that the dynamical features illustrated in Figure 4, Figure 5, Figure 6, Figure 7 and Figure 8 are quantitatively supported and consistently interpreted.

6. Solitary-Wave Solutions to the Proposed Model

In this section, we investigate additional solitary-wave solutions using the Paul–Painlevé approach. The general framework of this method is outlined in Appendix A, while here we focus on its direct application to the present model to derive explicit solution structures.

6.1. Application of Paul–Painlevé Approach

This section presents the application of the Paul–Painlevé approach to the proposed nonlinear model given by Equation (15). After reducing the system to the single ODE in Equation (22), a balancing procedure is applied by comparing the highest-order nonlinear term with the highest-order derivative, which yields M = 2 . By substituting M = 2 into Equation (A4), we obtain the following results:
Q = P 0 + P 1 P ( G ) e n τ + P 2 P ( G ) 2 e 2 n τ .
After substituting the solution (27) into Equation (22), a system of algebraic equations is derived by collecting terms corresponding to distinct powers of P ( G ) . This system is then solved using Mathematica, yielding the following solution set:
Set-1
P 0 = 2 n Π 4 ω Π 1 , P 1 = 2 k Π 4 ω n Π 1 , P 2 = 0 , Z 1 = ω n Π 4 , Z 3 = Z 2 2 ( n ) Π 3 Π 4 Π 2 ω n Π 3 Π 4 .
By inserting the previously specified parameter values into Equation (27), we obtain
M 1 ( x , y , z , t ) = 2 Π 4 ω d 0 n + k e n x ω z Z 2 2 ( n ) Π 3 Π 4 Π 2 ω Π 3 n Π 4 + t ω + Z 2 y n Q n Π 1 k Q d 0 .
Set-2
P 0 = 2 6 5 n Π 4 ω Π 1 , P 1 = 4 6 5 k Π 4 ω n Π 1 , P 2 = 2 6 5 k 2 Π 4 ω n 3 / 2 Π 1 , Z 1 = 5 6 ω n Π 4 , Z 3 = ω 2 30 Z 2 2 Π 3 30 Π 4 ω n 3 / 2 25 Π 2 ω n Π 4 30 Π 3 ω .
By inserting the previously specified parameter values into Equation (27), we obtain
M 2 ( x , y , z , t ) = 1 n 3 / 2 Π 1 d 0 k Q 2 [ 2 6 5 e 2 n z ω 2 30 Z 2 2 Π 3 30 Π 4 ω n 3 / 2 25 Π 2 ω n Π 4 30 Π 3 ω 5 6 x ω n Π 4 + t ω + Z 2 y Π 4 ω k n k Q d 0 e n z ω 2 30 Z 2 2 Π 3 30 Π 4 ω n 3 / 2 25 Π 2 ω n Π 4 30 Π 3 ω 5 6 x ω n Π 4 + t ω + Z 2 y 2 ] .
Set-3
P 0 = 0 , P 1 = 0 , P 2 = 6 k 2 Π 4 λ 4 2 100 Z 2 2 Π 2 Π 3 n 2 100 Z 3 2 Π 2 Π 3 n 2 Π 4 25 Π 1 Π 2 n 2 , Z 1 = Π 4 2 100 Z 2 2 + Z 3 2 Π 2 Π 3 n 2 Π 4 10 Π 2 n , ω = 3 Π 4 50 Z 2 2 Π 2 Π 3 n 2 + 50 Z 3 2 Π 2 Π 3 n 2 + Π 4 Π 4 2 100 Z 2 2 Π 2 Π 3 n 2 100 Z 3 2 Π 2 Π 3 n 2 Π 4 125 Π 2 2 n .
By inserting the previously specified parameter values into Equation (27), we obtain
M 3 ( x , y , z , t ) = 1 25 Π 1 Π 2 n 2 d 0 k Q 2 [ e 12 Z 2 2 Π 3 Π 4 n 2 t 5 Π 2 12 Z 3 2 Π 3 Π 4 n 2 t 5 Π 2 Π 4 2 100 Z 2 2 + Z 3 2 Π 2 Π 3 n 2 λ 4 6 Π 4 2 t + 25 Π 2 x 125 Π 2 2 2 Z 2 n y 2 Z 3 n z k 2 Π 4 Π 4 2 100 Z 2 2 + Z 3 2 Π 2 Π 3 n 2 Π 4 ] .
Set-4
P 0 = 2 i Z 2 2 + Z 3 2 n Π 3 Π 4 Π 1 Π 2 , P 1 = 2 i Z 2 2 + Z 3 2 k Π 3 Π 4 Π 1 Π 2 , P 2 = 0 , Z 1 = i Z 2 2 + Z 3 2 Π 3 Π 2 , ω = Z 2 2 + Z 3 2 n Π 3 Π 4 Π 2 .
By inserting the previously specified parameter values into Equation (27), we obtain
M 4 ( x , y , z , t ) = 2 i Z 2 2 + Z 3 2 Π 3 Π 4 n k e n Z 2 2 + Z 3 2 n Π 3 Π 4 t Π 2 i Z 2 2 + Z 3 2 Π 3 x Π 2 + Z 2 y + Z 3 z k Q d 0 Π 1 Π 2 .
Set-5
P 0 = 12 Π 4 50 Z 2 2 n 2 Π 2 Π 3 50 Z 3 2 n 2 Π 2 Π 3 + Π 4 Π 4 + 100 Z 2 2 n 2 Π 2 Π 3 100 Z 3 2 n 2 Π 2 Π 3 + Π 4 2 25 Π 1 Π 2 Π 4 + 100 Z 2 2 n 2 Π 2 Π 3 100 Z 3 2 n 2 Π 2 Π 3 + Π 4 2 , P 1 = 24 k Π 4 50 Z 2 2 n 2 Π 2 Π 3 50 Z 3 2 n 2 Π 2 Π 3 + Π 4 Π 4 + 100 Z 2 2 n 2 Π 2 Π 3 100 Z 3 2 n 2 Π 2 Π 3 + Π 4 2 25 n Π 1 Π 2 Π 4 + 100 Z 2 2 n 2 Π 2 Π 3 100 Z 3 2 n 2 Π 2 Π 3 + Π 4 2 , P 2 = 6 k 2 Π 4 Π 4 + 100 Z 2 2 n 2 Π 2 Π 3 100 Z 3 2 n 2 Π 2 Π 3 + Π 4 2 25 n 2 Π 1 Π 2 , Z 1 = Π 4 + 100 Z 2 2 n 2 Π 2 Π 3 100 Z 3 2 n 2 Π 2 Π 3 + Π 4 2 10 n Π 2 , ω = 3 Π 4 50 Z 2 2 n 2 Π 2 Π 3 50 Z 3 2 n 2 Π 2 Π 3 + Π 4 Π 4 + 100 Z 2 2 n 2 Π 2 Π 3 100 Z 3 2 n 2 Π 2 Π 3 + Π 4 2 125 n Π 2 2 .
By inserting the previously specified parameter values into Equation (27), we obtain
M 5 ( x , y , z , t ) = 1 25 n 2 Π 1 Π 2 d 0 k Q 2 [ 6 e 2 Z 2 n y 2 Z 3 n z 25 Π 2 x + 6 t Π 4 2 Π 4 + 100 Z 2 2 + Z 3 2 n 2 Π 2 Π 3 + Π 4 2 125 Π 2 2 ( k e 6 Z 2 2 + Z 3 2 n 2 Π 3 Π 4 t 5 Π 2 e Z 2 n y + Z 3 n z + 25 Π 2 x + 6 t Π 4 2 Π 4 + 100 Z 2 2 + Z 3 2 n 2 Π 2 Π 3 + Π 4 2 250 Π 2 2 k n Q + e Z 2 n y + Z 3 n z + 25 Π 2 x + 6 t Π 4 2 Π 4 + 100 Z 2 2 + Z 3 2 n 2 Π 2 Π 3 + Π 4 2 250 Π 2 2 n d 0 ) 2 Π 4 Π 4 + 100 Z 2 2 + Z 3 2 n 2 Π 2 Π 3 + Π 4 2 ] .

6.2. Graphical Simulation

In this section, we present a detailed discussion of the solitary-wave solutions derived through the Paul–Painlevé approach for the proposed ( 3 + 1 ) -dimensional ZK–Burgers model. The solutions are demonstrated in Figure 11, Figure 12, Figure 13, Figure 14 and Figure 15, where different parameter sets lead to distinct nonlinear wave structures such as periodic waves, bright solitons, combined states, and dark–bright excitations. These results emphasize the physical richness of the model and its relevance to dusty plasmas with quantum corrections.
Figure 11 corresponds to Equation (29) and represents a bright soliton solution derived for the parameter values Π 1 = 0.3 , Π 2 = 0.02 , Π 3 = 0.06 , Π 4 = 0.03 , d 0 = 0.9 , n = 0.1 , k = 0.4 , a 1 = 0.03 , ω = 0.1 , z = 0.3 , Q = 0.78 , Z 2 = 0.02 , y = 0.2 . The solution explains a localized wave packet of enhanced amplitude that preserves its shape while propagating. Physically, bright solitons arise due to a balance between dispersion and nonlinearity, and they are significant in modeling coherent energy transport in plasma devices as well as in astrophysical-plasma environments.
Figure 12, associated with Equation (30), shows a periodic solution for the parameters Π 1 = 0.5 , Π 2 = 0.04 , Π 3 = 0.06 , Π 4 = 0.06 , d 0 = 0.3 , n = 0.4 , k = 0.2 , ω = 0.7 , z = 0.7 , Q = 0.56 , Z 2 = 0.2 , y = 0.8 . The oscillatory pattern represents the presence of nonlinear wave trains that may be generated in plasmas under resonant conditions. Such periodic states are relevant to plasma resonance studies, wave–particle interactions, and nonlinear communication systems.
Figure 13, determined from Equation (32) with Π 1 = 0.75 , Π 2 = 0.05 , Π 3 = 0.06 , Π 4 = 0.06 , d 0 = 0.04 , Z 3 = 0.6 , n = 0.4 , k = 0.4 , z = 0.3 , Q = 0.6 , Z 2 = 0.82 , y = 0.3 , illustrates a combo solution. This solution contains both solitary and oscillatory characteristics, reflecting the coexistence of localized and periodic modes. Physically, such hybrid behaviors can be used to describe multi-mode interactions in dusty plasmas, where nonlinear excitations coexist due to strong coupling effects or quantum corrections.
Figure 14, corresponding to Equation (34), also represents a combined solution, derived for Π 1 = 0.85 , Π 2 = 0.04 , Π 3 = 0.06 , Π 4 = 0.06 , d 0 = 0.02 , Z 3 = 0.6 , n = 0.4 , k = 0.2 , z = 0.7 , Q = 0.56 , Z 2 = 0.92 , y = 0.8 . In this case, the coexistence of solitary and periodic waves appears, with different amplitude distributions compared to Figure 13, suggesting parameter-sensitive dynamics. These solutions are valuable for modeling nonlinear wave coupling and modulation processes in strongly magnetized plasmas.
Finally, Figure 15, related to Equation (36), depicts a dark–bright soliton solution for Π 1 = 0.75 , Π 2 = 0.5 , Π 3 = 0.6 , Π 4 = 0.06 , d 0 = 0.04 , Z 3 = 0.74 , n = 0.4 , k = 0.4 , z = 0.3 , Q = 0.6 , Z 2 = 0.02 , y = 0.3 . This type of solution demonstrates the coexistence of a localized intensity dip (dark soliton) and a localized intensity hump (bright soliton). Such states are highly significant in the context of energy localization, modulational instability, and turbulence in plasma systems. They also present analogies to dark–bright solitons observed in optical fibers, where nonlinear waveguides support coexisting dip–hump structures. Overall, the derived solutions indicate that the ( 3 + 1 ) -dimensional ZK–Burgers system supports a wide range of nonlinear excitations depending on parameter choices. These results expand our understanding of plasma nonlinearities, providing practical insights for applications in dusty and quantum plasmas, nonlinear optics, plasma turbulence control, and astrophysical wave modeling.

6.3. Comparison

In contrast to prior quantum ZK–type studies [28,29,30,31], which consider dust–free or nondissipative settings and chiefly report solitary/exact solutions, we analyze a ( 3 + 1 ) -D ZK–Burgers model for dusty quantum plasma (including dissipation), derive multiple solution families via the Paul–Painlevé approach, and conduct a comprehensive nonlinear-dynamics/chaos analysis. A concise side-by-side comparison is provided in Table 2.

7. Conclusions and Future Work

In this study, we studied the ( 3 + 1 ) -dimensional Zakharov–Kuznetsov–Burgers equation in the framework of quantum dusty plasma to examine the mechanisms underlying shock-wave phenomena. The nonlinear model was analyzed through a comprehensive dynamical framework that incorporated bifurcation theory, Lyapunov exponents, multistability, return map analysis, chaotic attractors, Poincaré maps, and phase portraits. The analysis revealed a rich variety of dynamical regimes, including chaotic, quasi-periodic, and periodic structures, as well as sensitivity of the system to frequency-response and time-delay effects. These results contribute to a deeper understanding of the nonlinear structures that arise in dispersive–dissipative-plasma environments. After establishing the global dynamics, traveling-wave solutions were constructed via the Paul–Painlevé approach. The obtained analytical solutions present explicit representations of shock- and solitary-wave profiles, thereby linking the dynamical picture with exact solution structures. This dual framework provides valuable insight into the interplay between nonlinear excitations, dissipation, and dispersion in plasmas with charged dust particles under quantum effects. Building on this work, several promising avenues may be pursued. First, the model can be extended to include additional physical effects such as nonthermal particle distributions, external magnetic fields, or higher-order quantum corrections. Second, numerical simulations may be performed to validate the analytical and dynamical results, specifically in regimes where multistability and coexistence of attractors are predicted. Third, connections to experimental plasma systems can be explored, allowing the identification of parameter regimes relevant to laboratory dusty-plasma and astrophysical-plasma conditions. Finally, the methodology employed here may be generalized to other nonlinear dispersive equations, broadening its impact in plasma physics, nonlinear optics, and related engineering applications.

Author Contributions

Conceptualization, L.Z.; Methodology, H.X.; Formal analysis, H.X.; Investigation, L.Z.; Resources, H.X.; Writing—original draft, H.X.; Writing—review & editing, L.Z. All authors have read and agreed to the published version of the manuscript.

Funding

This work was supported in part by the National Natural Science Foundation (NSF) of China under Grant 12372009, in part by the NSF of Hanshan Normal University under Grant PNB221103, and in part by the Education Science Planning Project of Guangdong under Grant 2023GXJK385.

Data Availability Statement

The original contributions presented in this study are included in the article. Further inquiries can be directed to the corresponding author.

Conflicts of Interest

The authors declare that they have no conflicts of interest.

Appendix A. Outline of the Paul–Painlevé Approach

For completeness, we present here a concise description of the Paul–Painlevé approach, which is often employed in the analysis of nonlinear differential equations to distinguish between regular and chaotic solution behaviors.
Step 1: Reduction to an ordinary differential equation
We begin with the general nonlinear partial differential equation
I ( M , M x , M y , M z , M t , ) = 0 .
Introducing the traveling-wave transformation
M ( x , y , z , t ) = Q ( τ ) , τ = Z 1 x + Z 2 y + Z 3 z ω t ,
the PDE (A1) is reduced to an ordinary differential equation of the form
U ( Q , Q , Q , ) = 0 .
Step 2: Construction of the Trial Solution
A suitable trial solution for Equation (A3) is established, expressed as
Q ( τ ) = i = 1 M P i P i ( G ) e i n τ ,
where P i ( i = 1 , 2 , , m ) are constants to be determined. The auxiliary function P ( G ) satisfies the Riccati-type equation
d P d G k P 2 = 0 ,
with G = E ( τ ) = A 1 e n τ n . Its solution can be written as
P ( G ) = 1 k G d 0 .
Step 3: Determination of the Balance Number
The parameter m in Equation (A4) is obtained using the balancing principle, which requires that the highest-order derivative in Equation (A3) be balanced with the highest-degree nonlinear term.
Step 4: Coefficient Identification
Substituting Equations (A4) and (A5) into Equation (A1) produces a polynomial in powers of P i ( G ) , (i = 0, 1, 2, …). By equating coefficients of identical powers to zero, one obtains an algebraic system of equations. This system is then solved using a computer algebra system (CAS), such as Mathematica, yielding explicit forms for the unknown parameters and thereby constructing the final solution set. Remark: This appendix has been included to provide readers with a structured overview of the Paul–Painlevé procedure. The approach is especially valuable in classifying solution behaviors of nonlinear models and in generating closed-form structures that highlight integrability properties.

References

  1. Zhu, X.; Xia, P.; He, Q.; Ni, Z.; Ni, L. Ensemble Classifier Design Based on Perturbation Binary Salp Swarm Algorithm for Classification. Comput. Model. Eng. Sci. CMES 2023, 135, 653. [Google Scholar] [CrossRef]
  2. ur Rahman, M.; Akram, S.; Asif, M. Chaotic behavior, sensitive analysis and dynamics of invariant formulation of nonclassical symmetries to the nonlinear Tzitzéica equation arising in mathematical physics. Bound. Value Probl. 2025, 2025, 123. [Google Scholar] [CrossRef]
  3. Zhang, X.; Yang, X.; He, Q. Multi-scale systemic risk and spillover networks of commodity markets in the bullish and bearish regimes. N. Am. J. Econ. Financ. 2022, 62, 101766. [Google Scholar] [CrossRef]
  4. Moslem, W.M.; Ali, S.; Shukla, P.K.; Tang, X.Y.; Rowlands, G. Solitary, explosive, and periodic solutions of the quantum Zakharov-Kuznetsov equation and its transverse instability. Phys. Plasmas 2007, 14, 082308. [Google Scholar] [CrossRef]
  5. El-Shorbagy, M.A.; Akram, S.; ur Rahman, M.; Nabwey, H.A. Analysis of bifurcation, chaotic structures, lump and M-W-shape soliton solutions to (2 + 1) complex modified Korteweg-de-Vries system. AIMS Math. 2024, 9, 16116–16145. [Google Scholar] [CrossRef]
  6. Li, B.; Liang, H.; He, Q. Multiple and generic bifurcation analysis of a discrete Hindmarsh-Rose model. Chaos Solitons Fractals 2021, 146, 110856. [Google Scholar] [CrossRef]
  7. Akram, S.; ur Rahman, M.; AL-Essa, L.A. A comprehensive dynamical analysis of (2 + 1)-dimensional nonlinear electrical transmission line model with Atangana–Baleanu derivative. Phys. Lett. A 2025, 555, 130762. [Google Scholar] [CrossRef]
  8. Iqbal, M.; Faridi, W.A.; Alrashdi, H.D.; Aljohani, A.; Murad, M.A.S.; Mohammad, N.; Alsubaie, A.S. Nonlinear behavior of dispersive solitary wave solutions for the propagation of shock waves in the nonlinear coupled system of equations. Sci. Rep. 2025, 15, 27535. [Google Scholar] [CrossRef]
  9. Mahmood, T.; Alhawael, G.; Akram, S.; ur Rahman, M. Exploring the Lie symmetries, conservation laws, bifurcation analysis and dynamical waveform patterns of diverse exact solution to the Klein–Gordan equation. Opt. Quantum Electron. 2024, 56, 1978. [Google Scholar] [CrossRef]
  10. Eskandari, Z.; Avazzadeh, Z.; Ghaziani, R.K.; Li, B. Dynamics and bifurcations of a discrete-time Lotka–Volterra model using nonstandard finite difference discretization method. Math. Methods Appl. Sci. 2025, 48, 7197–7212. [Google Scholar] [CrossRef]
  11. Zubair Raza, M.; Iqbal, M.A.B.; Khan, A.; Almutairi, D.K.; Abdeljawad, T. Soliton solutions of the (2 + 1)-dimensional Jaulent-Miodek evolution equation via effective analytical techniques. Sci. Rep. 2025, 15, 3495. [Google Scholar] [CrossRef]
  12. Xu, P.; Huang, H.; Wang, K. Dynamics of real and complex multi-soliton solutions, novel soliton molecules, asymmetric solitons and diverse wave solutions to the Kadomtsev-Petviashvili equation. Alex. Eng. J. 2025, 125, 537–544. [Google Scholar] [CrossRef]
  13. Baber, M.Z.; Ahmed, N.; Xu, C.; Iqbal, M.S.; Sulaiman, T.A. A computational scheme and its comparison with optical soliton solutions for the stochastic Chen–Lee–Liu equation with sensitivity analysis. Mod. Phys. Lett. B 2025, 39, 2450376. [Google Scholar] [CrossRef]
  14. Mohan, B.; Kumar, S. Painlevé analysis, restricted bright-dark N-solitons, and N-rogue waves of a (4 + 1)-dimensional variable-coefficient generalized KP equation in nonlinear sciences. Nonlinear Dyn. 2025, 113, 11893–11906. [Google Scholar] [CrossRef]
  15. El-Shorbagy, M.A.; Akram, S.; ur Rahman, M. Investigation of lump, breather and multi solitonic wave solutions to fractional nonlinear dynamical model with stability analysis. Partial. Differ. Equ. Appl. Math. 2024, 12, 100955. [Google Scholar] [CrossRef]
  16. Hussein, H.H.; Ahmed, H.M.; Alexan, W. Analytical soliton solutions for cubic-quartic perturbations of the Lakshmanan-Porsezian-Daniel equation using the modified extended tanh function method. Ain Shams Eng. J. 2024, 15, 102513. [Google Scholar] [CrossRef]
  17. Hossain, A.K.M.; Sazzad, K.; Akter, H.; Akbar, M.A. Soliton solutions of DSW and Burgers equations by generalized ( G G )-expansion method. Opt. Quantum Electron. 2024, 56, 653. [Google Scholar] [CrossRef]
  18. Samir, I.; Ahmed, H.M.; Rabie, W.; Abbas, W.; Mostafa, O. Construction optical solitons of generalized nonlinear Schrödinger equation with quintuple power-law nonlinearity using Exp-function, projective Riccati, and new generalized methods. AIMS Math. 2025, 10, 3392–3407. [Google Scholar] [CrossRef]
  19. Anjum, N.; Rasheed, A.; He, J.I.; Alsolami, A.A. Free vibration of a tapered beam by the Aboodh transform-based variational iteration method. J. Comput. Appl. Mech. 2024, 55, 440–450. [Google Scholar]
  20. Yasmin, H.; Alshehry, A.S.; Ganie, A.H.; Mahnashi, A.M.; Shah, R. Perturbed Gerdjikov–Ivanov equation: Soliton solutions via Backlund transformation. Optik 2024, 298, 171576. [Google Scholar] [CrossRef]
  21. Farooq, A.; Khan, M.I.; Ma, W.X. Exact solutions for the improved mKdv equation with conformable derivative by using the Jacobi elliptic function expansion method. Opt. Quantum Electron. 2024, 56, 542. [Google Scholar] [CrossRef]
  22. El-Shorbagy, M.A.; Akram, S.; ur Rahman, M. Propagation of solitary wave solutions to (4 + 1)-dimensional Davey–Stewartson–Kadomtsev–Petviashvili equation arise in mathematical physics and stability analysis. Part. Differ. Equ. Appl. Math. 2024, 10, 100669. [Google Scholar] [CrossRef]
  23. Guo, N. On the inverse scattering transform problem for the modified intermediate long wave equation: Deep-and shallow-water limits. Commun. Nonlinear Sci. Numer. Simul. 2025, 152, 109099. [Google Scholar] [CrossRef]
  24. Faridi, W.A.; Iqbal, M.; Riaz, M.B.; AlQahtani, S.A.; Wazwaz, A. The fractional soliton solutions of dynamical system arising in plasma physics: The comparative analysis. Alex. Eng. J. 2024, 95, 247–261. [Google Scholar] [CrossRef]
  25. El-Awady, E.I.; Hussain, S.; Akhtar, N. On the analytical soliton approximations to damping forced Zakharov-Kuznetsov equation arising in dissipative nonthermal magnetized plasma. Phys. Scr. 2024, 99, 115263. [Google Scholar] [CrossRef]
  26. Saini, N.S.; Chahal, B.S.; Bains, A.S.; Bedi, C. Zakharov-Kuznetsov equation in a magnetized plasma with two temperature superthermal electrons. Phys. Plasmas 2014, 21, 022114. [Google Scholar] [CrossRef]
  27. Sindi, C.T.; Manafian, J. Soliton solutions of the quantum Zakharov-Kuznetsov equation which arises in quantum magneto-plasmas. Eur. Phys. J. Plus 2017, 132, 67. [Google Scholar] [CrossRef]
  28. Goswami, J.; Chandra, S.; Ghosh, B. Shock waves and the formation of solitary structures in electron acoustic wave in inner magnetosphere plasma with relativistically degenerate particles. Astrophys. Space Sci. 2019, 364, 65. [Google Scholar] [CrossRef]
  29. Arshed, S.; Akram, G.; Sadaf, M.; Khan, A. Solutions of (3 + 1)-dimensional extended quantum nonlinear Zakharov–Kuznetsov equation using the generalized Kudryashov method and the modified Khater method. Opt. Quantum Electron. 2023, 55, 922. [Google Scholar] [CrossRef]
  30. Zhang, B.-g.; Li, W.; Li, X. Peakons and new exact solitary wave solutions of extended quantum Zakharov-Kuznetsov equation. Phys. Plasmas 2017, 24, 062113. [Google Scholar] [CrossRef]
  31. Shah, H.A.; Mahmood, S. Zakharov–Kuznetsov Equation in Quantum Plasmas. Phys. Plasmas 2011, 18, 022301. [Google Scholar]
  32. Tao, L.-L.; Wei, L.; Liu, B.; Zhang, H.; Duan, W. The effect of dust size distribution on shock wave in quantum dusty plasma. Pramana 2021, 95, 111. [Google Scholar] [CrossRef]
  33. Manfredi, G. How to model quantum plasmas. Fields Inst. Commun. 2005, 46, 263–287. [Google Scholar]
  34. Suvorov, A.G.; Mastrano, A.; Melatos, A. Spin paramagnetic deformation of a neutron star. Mon. Not. R. Astron. Soc. 2016, 456, 731–738. [Google Scholar] [CrossRef]
  35. Shukla, P.K.; Ali, S. Dust acoustic waves in quantum plasmas. Phys. Plasmas 2005, 12, 114502. [Google Scholar] [CrossRef]
  36. Han, J.-F.; Gao, D.; Zhang, H.; Wang, X.; Duan, W. Effects of the dust size distribution in one-dimensional quantum dusty plasma. Front. Phys. 2015, 10, 105201. [Google Scholar] [CrossRef]
  37. El-Labany, S.K.; El-Siragy, N.M.; El-Taibany, W.F.; Behery, E.E. The effect of dust size distribution on quantum dust acoustic wave. Phys. Plasmas 2009, 16, 093701. [Google Scholar] [CrossRef]
  38. El-Tantawy, S.A. Effect of ion viscosity on dust ion-acoustic shock waves in a nonextensive magnetoplasma. Astrophys. Space Sci. 2016, 361, 249. [Google Scholar] [CrossRef]
  39. Qi, X.; Xu, Y.; Duan, W.; Zhang, L.; Yang, L. Particle-in-cell simulation of the head-on collision between two ion acoustic solitary waves in plasmas. Phys. Plasmas 2014, 21, 082118. [Google Scholar] [CrossRef]
  40. De Angelis, U.; Formisano, V.; Giordano, M. Ion plasma waves in dusty plasmas: Halley’s comet. J. Plasma Phys. 1988, 40, 399–406. [Google Scholar] [CrossRef]
  41. Magnitskii, N.A. Wave Propagation and Chaotic Behavior in Conservative and Dissipative Sawada–Kotera Models. Fluid Dyn. Mater. Process. 2025, 21, 1529. [Google Scholar] [CrossRef]
  42. Akram, S.; Ur Rahman, M. Exploring Nonlinear Dynamics and Soliton Structures in the Spin Reduced Hirota-Maxwell-Bloch System via Atangana’s Conformable Operator. Chin. J. Phys. 2025, 97, 1514–1538. [Google Scholar] [CrossRef]
Figure 1. Graphical abstract illustrating the methodological framework for the ZK-Burger equation, integrating soliton solutions via wave transformation with dynamical and chaotic analyses through phase portraits, return maps, bifurcation diagrams, and attractors.
Figure 1. Graphical abstract illustrating the methodological framework for the ZK-Burger equation, integrating soliton solutions via wave transformation with dynamical and chaotic analyses through phase portraits, return maps, bifurcation diagrams, and attractors.
Mathematics 13 03101 g001
Figure 2. Phase portraits of the unperturbed system illustrating spiral and saddle-type behaviors for selected parameter cases ( B 1 , B 2 , B 3 ) , corresponding to Table 1.
Figure 2. Phase portraits of the unperturbed system illustrating spiral and saddle-type behaviors for selected parameter cases ( B 1 , B 2 , B 3 ) , corresponding to Table 1.
Mathematics 13 03101 g002
Figure 3. Phase portraits of the unperturbed system showing variations in stability patterns under alternative parameter choices ( B 1 , B 2 , B 3 ) , corresponding to Table 1.
Figure 3. Phase portraits of the unperturbed system showing variations in stability patterns under alternative parameter choices ( B 1 , B 2 , B 3 ) , corresponding to Table 1.
Mathematics 13 03101 g003
Figure 4. Periodic and quasi-periodic trajectories of the perturbed system (26) under varying ( U , V ) : highlighting the transition from simple loops to nested invariant tori.
Figure 4. Periodic and quasi-periodic trajectories of the perturbed system (26) under varying ( U , V ) : highlighting the transition from simple loops to nested invariant tori.
Mathematics 13 03101 g004
Figure 5. Evolution of the perturbed system (26) under different ( U , V ) : values, showing the emergence of quasi-periodic structures with increasingly intricate toroidal patterns.
Figure 5. Evolution of the perturbed system (26) under different ( U , V ) : values, showing the emergence of quasi-periodic structures with increasingly intricate toroidal patterns.
Mathematics 13 03101 g005
Figure 6. Phase trajectories of the perturbed system (26) illustrating transitions from periodic motion to quasi-periodic regimes characterized by multi-frequency oscillations.
Figure 6. Phase trajectories of the perturbed system (26) illustrating transitions from periodic motion to quasi-periodic regimes characterized by multi-frequency oscillations.
Mathematics 13 03101 g006
Figure 7. Multistability analysis of the perturbed system (26) for the parameter values B 1 = 0.94 , B 2 = 0.4 , B 3 = 0.004 , U = 2.5 , V = 14.97 .
Figure 7. Multistability analysis of the perturbed system (26) for the parameter values B 1 = 0.94 , B 2 = 0.4 , B 3 = 0.004 , U = 2.5 , V = 14.97 .
Mathematics 13 03101 g007
Figure 8. Return map analysis of the perturbed system (26) for varying , illustrating transitions from periodic to quasi-periodic regimes.
Figure 8. Return map analysis of the perturbed system (26) for varying , illustrating transitions from periodic to quasi-periodic regimes.
Mathematics 13 03101 g008
Figure 9. Chaotic attractors of the perturbed system (26) for varying ( U , V ) , showing transitions among periodic, quasi-periodic, and chaotic regimes.
Figure 9. Chaotic attractors of the perturbed system (26) for varying ( U , V ) , showing transitions among periodic, quasi-periodic, and chaotic regimes.
Mathematics 13 03101 g009
Figure 10. Bifurcation diagrams of the perturbed system (26) showing periodic states for small parameter values, quasi-periodic transitions at intermediate ranges, and chaotic behavior around U 1.5 , B 1 3.4 , and B 2 3.8 .
Figure 10. Bifurcation diagrams of the perturbed system (26) showing periodic states for small parameter values, quasi-periodic transitions at intermediate ranges, and chaotic behavior around U 1.5 , B 1 3.4 , and B 2 3.8 .
Mathematics 13 03101 g010
Figure 11. Physical visualization of the solution (29) for Π 1 = 0.3 , Π 2 = 0.02 , Π 3 = 0.06 , Π 4 = 0.03 , d 0 = 0.9 , n = 0.1 , k = 0.4 , a 1 = 0.03 , ω = 0.1 , z = 0.3 , Q = 0.78 , Z 2 = 0.02 , y = 0.2 .
Figure 11. Physical visualization of the solution (29) for Π 1 = 0.3 , Π 2 = 0.02 , Π 3 = 0.06 , Π 4 = 0.03 , d 0 = 0.9 , n = 0.1 , k = 0.4 , a 1 = 0.03 , ω = 0.1 , z = 0.3 , Q = 0.78 , Z 2 = 0.02 , y = 0.2 .
Mathematics 13 03101 g011
Figure 12. Physical visualization of the solution (30) for Π 1 = 0.5 , Π 2 = 0.04 , Π 3 = 0.06 , Π 4 = 0.06 , d 0 = 0.3 , n = 0.4 , k = 0.2 , ω = 0.7 , z = 0.7 , Q = 0.56 , Z 2 = 0.2 , y = 0.8 .
Figure 12. Physical visualization of the solution (30) for Π 1 = 0.5 , Π 2 = 0.04 , Π 3 = 0.06 , Π 4 = 0.06 , d 0 = 0.3 , n = 0.4 , k = 0.2 , ω = 0.7 , z = 0.7 , Q = 0.56 , Z 2 = 0.2 , y = 0.8 .
Mathematics 13 03101 g012
Figure 13. Physical visualization of the solution (32) for Π 1 = 0.75 , Π 2 = 0.05 , Π 3 = 0.06 , Π 4 = 0.06 , d 0 = 0.04 , Z 3 = 0.6 , n = 0.4 , k = 0.4 , z = 0.3 , Q = 0.6 , Z 2 = 0.82 , y = 0.3 .
Figure 13. Physical visualization of the solution (32) for Π 1 = 0.75 , Π 2 = 0.05 , Π 3 = 0.06 , Π 4 = 0.06 , d 0 = 0.04 , Z 3 = 0.6 , n = 0.4 , k = 0.4 , z = 0.3 , Q = 0.6 , Z 2 = 0.82 , y = 0.3 .
Mathematics 13 03101 g013
Figure 14. Physical visualization of the solution (34) for Π 1 = 0.85 , Π 2 = 0.04 , Π 3 = 0.06 , Π 4 = 0.06 , d 0 = 0.02 , Z 3 = 0.6 , n = 0.4 , k = 0.2 , z = 0.7 , Q = 0.56 , Z 2 = 0.92 , y = 0.8 .
Figure 14. Physical visualization of the solution (34) for Π 1 = 0.85 , Π 2 = 0.04 , Π 3 = 0.06 , Π 4 = 0.06 , d 0 = 0.02 , Z 3 = 0.6 , n = 0.4 , k = 0.2 , z = 0.7 , Q = 0.56 , Z 2 = 0.92 , y = 0.8 .
Mathematics 13 03101 g014
Figure 15. Physical visualization of the solution (36) for Π 1 = 0.75 , Π 2 = 0.5 , Π 3 = 0.6 , Π 4 = 0.06 , d 0 = 0.04 , Z 3 = 0.74 , n = 0.4 , k = 0.4 , z = 0.3 , Q = 0.6 , Z 2 = 0.02 , y = 0.3 .
Figure 15. Physical visualization of the solution (36) for Π 1 = 0.75 , Π 2 = 0.5 , Π 3 = 0.6 , Π 4 = 0.06 , d 0 = 0.04 , Z 3 = 0.74 , n = 0.4 , k = 0.4 , z = 0.3 , Q = 0.6 , Z 2 = 0.02 , y = 0.3 .
Mathematics 13 03101 g015
Table 1. Classification of equilibrium points (EPs) under different parameter cases with the parameter values used to compute ( B 1 , B 2 , B 3 ) .
Table 1. Classification of equilibrium points (EPs) under different parameter cases with the parameter values used to compute ( B 1 , B 2 , B 3 ) .
CaseParameter ConditionsParameter Values UsedEquilibrium Points and NatureFigure
(i) B 1 > 0 , B 2 > 0 , B 3 < 0 Z 1 = 1 , Z 2 = 1 , Z 3 = 1 ,   ω = 3 ,
Π 1 = 6 , Π 2 = 1 , Π 3 = 1 , Π 4 = 3
E P 1 = ( 1 , 0 ) (Saddle)
E P 2 = ( 0 , 0 ) (Unstable focus)
Figure 2a
(ii) B 1 < 0 , B 2 > 0 , B 3 < 0 Z 1 = 1 , Z 2 = 1 , Z 3 = 1 ,   ω = 3 ,
Π 1 = 6 , Π 2 = 1 , Π 3 = 1 , Π 4 = 3
E P 1 = ( 0 , 0 ) (Unstable focus)
E P 2 = ( 1 , 0 ) (Saddle)
Figure 2b
(iii) B 1 < 0 , B 2 < 0 , B 3 < 0 Z 1 = 1 , Z 2 = 1 , Z 3 = 1 ,   ω = 3 ,
Π 1 = 6 , Π 2 = 1 , Π 3 = 1 , Π 4 = 3
E P 1 = ( 0 , 0 ) (Saddle)
E P 2 = ( 1 , 0 ) (Unstable focus)
Figure 3a
(iv) B 1 > 0 , B 2 < 0 , B 3 < 0 Z 1 = 1 , Z 2 = 1 , Z 3 = 1 ,   ω = 3 ,
Π 1 = 6 , Π 2 = 1 , Π 3 = 1 , Π 4 = 3
E P 1 = ( 1 , 0 ) (Unstable focus)
E P 2 = ( 0 , 0 ) (Saddle)
Figure 3b
Table 2. Side-by-side comparison of the present work with additional published studies [28,29,30,31].
Table 2. Side-by-side comparison of the present work with additional published studies [28,29,30,31].
AspectGoswami et al. [28]Arshed et al. [29]Zhang et al. [30]Shah & Mahmood [31]Present Work
Model/equationElectron-acoustic waves (inner magnetosphere; relativistic degeneracy) ( 3 + 1 ) -D extended quantum ZK ( 3 + 1 ) -D extended quantum ZK ( 2 + 1 ) -D quantum ZK (no dust) ( 3 + 1 ) -D ZK–Burgers in dusty quantum plasma
MethodShock/solitary-structure analysisGeneralized Kudryashov; modified KhaterExact solution techniques (incl. peakons)Analytical solitary-wave analysisPaul–Painlevé + full dynamical diagnostics
Reported solutionsShocks; solitary structuresFamilies of exact solutionsPeakons; new solitary wavesBright solitary wavesBright, periodic, hybrid (combo), dark–bright
Dynamical analysisNoNoNoNoYes: LEs, bifurcation, spectra, basins, multistability
ScopeSpace-plasma regime, relativistic effectsParametric exact solutions (no dynamics)Extended quantum ZK without dissipationBaseline quantum ZK frameworkDissipation + dusty medium; solution families + comprehensive dynamics
NoveltyShock/solitary in different regimesExact families w/o dynamicsNew exact forms w/o dissipationBaseline for quantum ZKFirst integration of Paul–Painlevé exact solutions with full dynamical/chaotic analysis for dusty ( 3 + 1 ) -D ZK–Burgers
Disclaimer/Publisher’s Note: The statements, opinions and data contained in all publications are solely those of the individual author(s) and contributor(s) and not of MDPI and/or the editor(s). MDPI and/or the editor(s) disclaim responsibility for any injury to people or property resulting from any ideas, methods, instructions or products referred to in the content.

Share and Cite

MDPI and ACS Style

Xue, H.; Zhang, L. Nonlinear Wave Structures, Multistability, and Chaotic Behavior of Quantum Dust-Acoustic Shocks in Dusty Plasma with Size Distribution Effects. Mathematics 2025, 13, 3101. https://doi.org/10.3390/math13193101

AMA Style

Xue H, Zhang L. Nonlinear Wave Structures, Multistability, and Chaotic Behavior of Quantum Dust-Acoustic Shocks in Dusty Plasma with Size Distribution Effects. Mathematics. 2025; 13(19):3101. https://doi.org/10.3390/math13193101

Chicago/Turabian Style

Xue, Huanbin, and Lei Zhang. 2025. "Nonlinear Wave Structures, Multistability, and Chaotic Behavior of Quantum Dust-Acoustic Shocks in Dusty Plasma with Size Distribution Effects" Mathematics 13, no. 19: 3101. https://doi.org/10.3390/math13193101

APA Style

Xue, H., & Zhang, L. (2025). Nonlinear Wave Structures, Multistability, and Chaotic Behavior of Quantum Dust-Acoustic Shocks in Dusty Plasma with Size Distribution Effects. Mathematics, 13(19), 3101. https://doi.org/10.3390/math13193101

Note that from the first issue of 2016, this journal uses article numbers instead of page numbers. See further details here.

Article Metrics

Back to TopTop