Influence of Flexoelectric Coupling and Interfacial Imperfection on Shear Horizontal Wave Propagation in a Piezoflexoelectric Layer over an Elastic Substrate
Abstract
1. Introduction
2. Theoretical Formulation
3. Solution to the Problem
3.1. Solution for the Piezoflexoelectric Layer
3.2. Solution for the Elastic Substrate
3.3. Solution for the Vacuum
4. Boundary Conditions
- 1.
- The surface located at is subjected to no external mechanical stress:
- 2.
- Imposed electrical condition at .
- (a)
- Electrically open (EO) case:
- (b)
- Electrically short (ES) case:
- 3.
- At , the interface is subject to the following constraints:
5. Spectral Dynamics of Wave Propagation
5.1. Electrically Open Case
5.2. Electrically Short Case
6. Results and Discussion
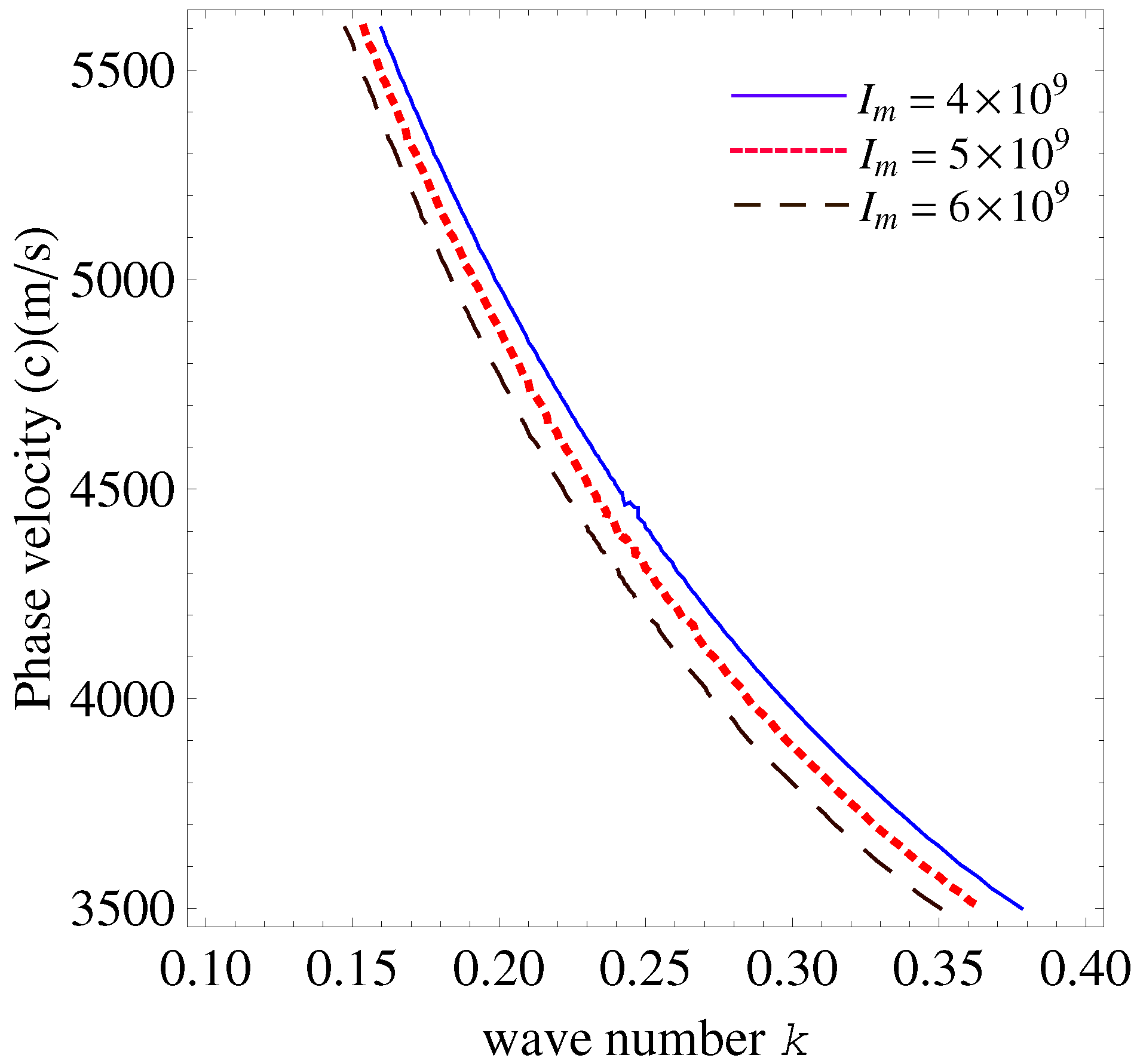
6.1. Effects of the Imperfect Interface Parameter
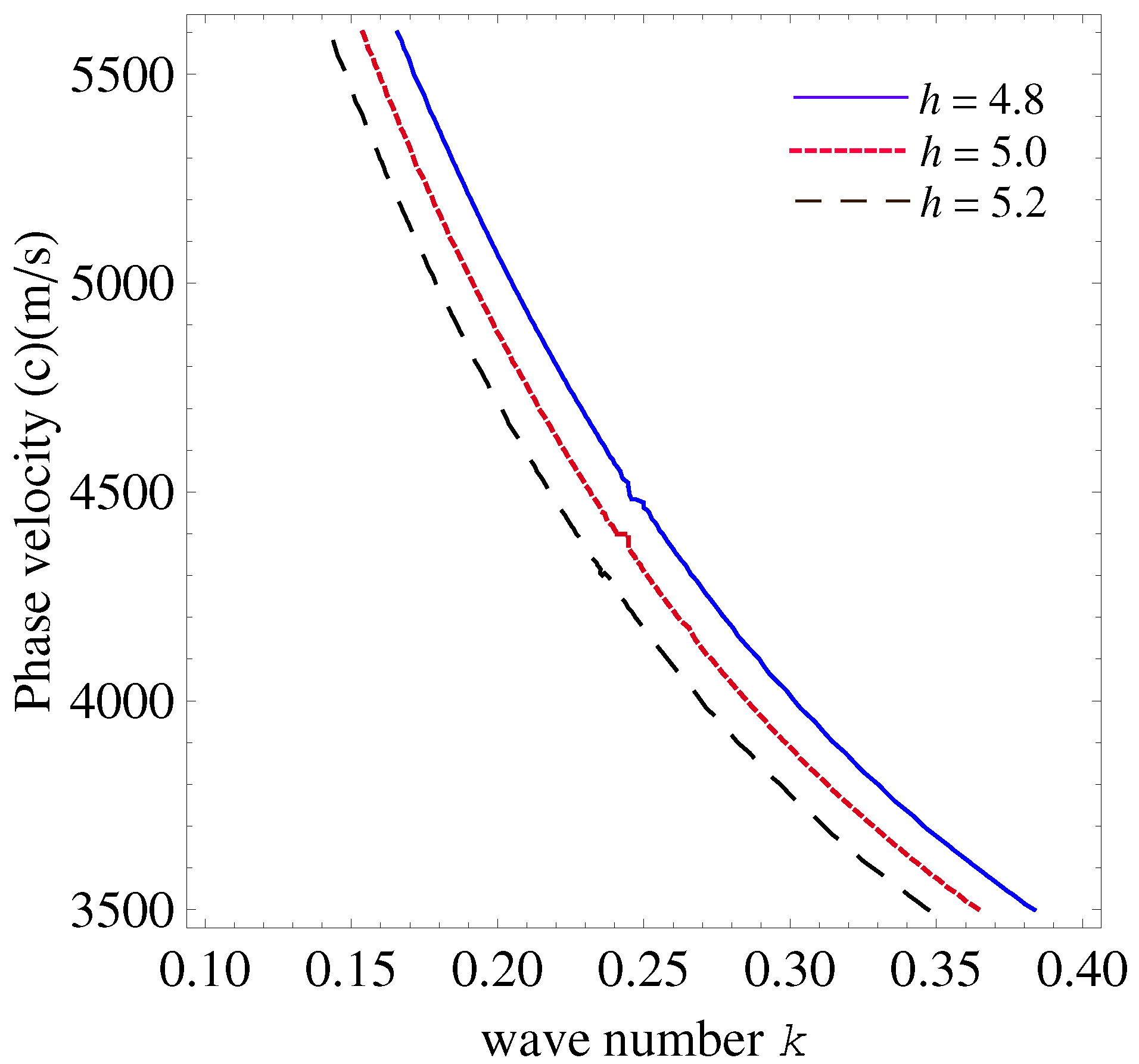
6.2. Effects of Layer Thickness Variation
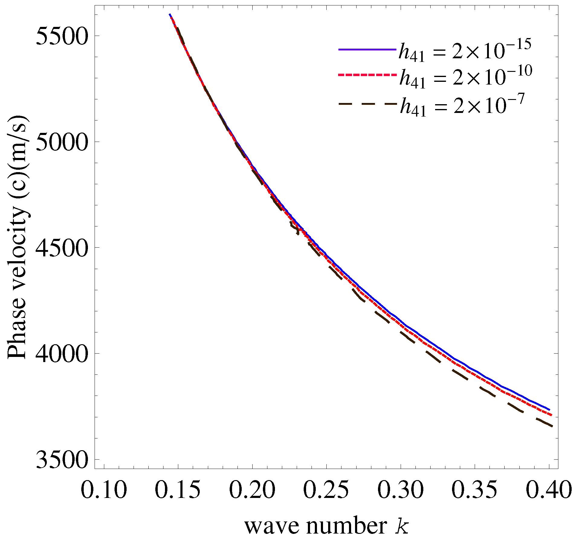
6.3. Effects of Flexoelectric Parameter on Wave Propagation
7. Conclusions
Author Contributions
Funding
Data Availability Statement
Acknowledgments
Conflicts of Interest
Abbreviations
| List of Abbreviations | |
| SH | Shear horizontal wave |
| PFE | Piezoflexoelectric |
| EO | Electrically open |
| ES | Electrically short |
| PZT | Piezoelectric material |
| SAW | Surface acoustic wave |
| FGPM | Functionally graded piezoelectric material |
| FGMEE | Functionally graded magetoelectroelastic |
| PZT-5H | Lead zirconate titanate 5H |
| Nomenclature | |
| imperfect interface parameter | |
| h | layer thickness |
| mass density | |
| stress tensor | |
| higher-order stress tensor | |
| displacement vector components | |
| electric flux | |
| electric quadrupole tensor | |
| elastic constant tensor | |
| piezoelectric constant | |
| electric permeability | |
| strain measure | |
| elastic deformation magnitude | |
| static electric potential | |
| d | converse flexoelectric tensor |
| f | direct flexoelectric tensor |
| strain gradient | |
| electric field gradient | |
| material property tensor | |
| wave number | |
| wave cycle length | |
| c | phase propagation velocity |
| vacuum electric permittivity | |
| silicon dioxide |
Appendix A
References
- Jin, F.; Wang, Z.K.; Wang, T.J. The propagation behavior of Love waves in a pre-stressed piezoelectric layered structure. Key Eng. Mater. 2000, 183, 755–760. [Google Scholar] [CrossRef]
- Wang, Q. Wave propagation in a piezoelectric coupled solid medium. J. Appl. Mech. 2002, 69, 819–824. [Google Scholar] [CrossRef]
- Manna, S.; Kundu, S.; Gupta, S. Love wave propagation in a piezoelectric layer overlying in an inhomogeneous elastic half-space. J. Vib. Control 2015, 21, 2553–2568. [Google Scholar] [CrossRef]
- Chaudhary, S.; Sahu, S.A.; Singhal, A. Analytic model for Rayleigh wave propagation in piezoelectric layer overlaid orthotropic substratum. Acta Mech. 2017, 228, 495–529. [Google Scholar] [CrossRef]
- Fang, X.; Wang, L.; Lou, J.; Fan, H.; Zhang, A.; Du, J. A unified model for investigating the propagation of SH surface waves in a piezoelectric layered medium. Int. J. Struct. Stab. Dyn. 2024, 24, 2450248. [Google Scholar] [CrossRef]
- Saroj, P.K. On propagation behavior of shear wave in piezoelectric-sandwiched structure. J. Adv. Dielectr. 2024, 14, 2440007. [Google Scholar] [CrossRef]
- Hemalatha, K.; Kumar, S.; Akshaya, A. Influence of corrugation on SH wave propagation in rotating and initially stressed functionally graded magneto-electro-elastic substrate. Geomech. Eng. 2025, 40, 79–88. [Google Scholar]
- Seema; Singhal, A. Mechanics of SH and anti-plane SH waves in orthotropic piezoelectric quasicrystal with multiple surface effect. Acta Mech. 2025, 236, 439–456. [Google Scholar] [CrossRef]
- Yudin, P.V.; Tagantsev, A.K. Fundamentals of flexoelectricity in solids. Nanotechnology 2013, 24, 432001. [Google Scholar] [CrossRef]
- Hu, S.; Shen, S. Electric field gradient theory with surface effect for nano-dielectrics. Comput. Mater. Contin. (CMC) 2009, 13, 63. [Google Scholar]
- Hemalatha, K.; Akshaya, A.; Qabur, A.; Kumar, S.; Tharwan, M.; Alnujaie, A.; Alneamy, A. Transverse Wave Propagation in Functionally Graded Structures Using Finite Elements with Perfectly Matched Layers and Infinite Element Coupling. Mathematics 2025, 13, 2131. [Google Scholar] [CrossRef]
- Shen, S.; Hu, S. A theory of flexoelectricity with surface effect for elastic dielectrics. J. Mech. Phys. Solids 2010, 58, 665–677. [Google Scholar] [CrossRef]
- Wang, Y.Q. Electro-mechanical vibration analysis of functionally graded piezoelectric porous plates in the translation state. Acta Astronaut. 2018, 143, 263–271. [Google Scholar] [CrossRef]
- Yamada, S.; Nambu, Y.; Chiba, M. Implementation and application of digitally controlled piezoelectric vibration absorbers to truss structures. Acta Astronaut. 2019, 156, 70–77. [Google Scholar] [CrossRef]
- Li, L.; Ren, Y.; Jin, Q. Wave propagation in piezoelectric doubly-curved panels considering thermal effects: Piezoelectricity-based synergistic effect analysi. Acta Astronaut. 2023, 204, 331–347. [Google Scholar] [CrossRef]
- Cheng, Y.; Liu, J.; Zhang, X.; Lu, B. Gird-search-based neural network modeling of piezoelectric hysteresis for gravitational wave inertial sensor. Acta Astronaut. 2025, 232, 132–142. [Google Scholar] [CrossRef]
- Yang, W.; Liang, X.; Shen, S. Love waves in layered flexoelectric structures. Philos. Mag. 2017, 97, 3186–3209. [Google Scholar] [CrossRef]
- Jiao, F.; Wei, P.; Li, Y. Wave propagation in piezoelectric medium with the flexoelectric effect considered. J. Mech. 2019, 35, 51–63. [Google Scholar] [CrossRef]
- Chu, L.; Li, Y.; Dui, G. Nonlinear analysis of functionally graded flexoelectric nanoscale energy harvesters. Int. J. Mech. Sci. 2020, 167, 105282. [Google Scholar] [CrossRef]
- Lv, S.; Shen, S. Rayleigh waves in a centrosymmetric flexoelectric layer attached to elastic substrate. Acta Mech. 2023, 234, 4649–4664. [Google Scholar] [CrossRef]
- Singh, S.; Singh, A. Bg waves in a piezo–flexo-magnetic layered model with impedance boundary and imperfect interface. Acta Mech. 2024, 235, 4339–4355. [Google Scholar] [CrossRef]
- Biswas, M.; Sahu, S.A. On the Rayleigh wave velocity in n-type piezoelectric semiconductors with enhanced flexoelectricity. Math. Mech. Solids 2025, 10812865251315937. [Google Scholar] [CrossRef]
- Seema; Singhal, A. Study of surface wave velocity in distinct rheological models with flexoelectric effect in piezoelectric aluminium nitride structure. J. Braz. Soc. Mech. Sci. Eng. 2025, 47, 29. [Google Scholar] [CrossRef]
- Biswas, M.; Sahu, S.A. Surface wave dispersion in imperfectly bonded flexoelectric-piezoelectric/FGPM bi-composite in contact of Newtonian liquid. Mech. Adv. Mater. Struct. 2023, 30, 2995–3012. [Google Scholar] [CrossRef]
- Kumar, S.; Kumari, R.; Singh, A.K. Love wave on a flexoelectric piezoelectric-viscoelastic stratified structure with dielectrically conducting imperfect interface. J. Acoust. Soc. Am. 2023, 154, 3615–3626. [Google Scholar] [CrossRef] [PubMed]
- Gupta, S.; Dutta, R.; Das, S. Flexoelectric effect on SH-wave propagation in functionally graded fractured porous sedimentary rocks with interfacial irregularity. J. Vib. Eng. Technol. 2024, 12, 1067–1087. [Google Scholar] [CrossRef]
- Seema; Singhal, A. Theoretical investigation of SH wave transmission in magneto-electro-elastic structure having imperfect interface using approximating method. Appl. Phys. A 2024, 130, 597. [Google Scholar] [CrossRef]
- Hemalatha, K.; Kumar, S. Propagation of SH wave in a rotating functionally graded magneto-electro-elastic structure with imperfect interface. J. Vib. Eng. Technol. 2024, 12, 8383–8397. [Google Scholar] [CrossRef]
- Hemalatha, K.; Kumar, S. Reflection of SH Wave at A Corrugated Interface of Functionally Graded Piezoelectric Half-Space. Int. J. Appl. Comput. Math. 2025, 11, 148. [Google Scholar] [CrossRef]
- Masoumi, A.; Amiri, A.; Talebitooti, R. Flexoelectric effects on wave propagation responses of piezoelectric nanobeams via nonlocal strain gradient higher order beam model. Mater. Res. Express 2019, 6, 1050d5. [Google Scholar] [CrossRef]
- Zhou, H.; Tian, X.; Deng, Q.; Sladek, J.; Sladek, V. Modeling mechanical waves propagation in flexoelectric solids. Smart Mater. Struct. 2024, 33, 035005. [Google Scholar] [CrossRef]
- Fang, X.; Wang, L.; Lou, J.; Fan, H.; Du, J. Flexoelectricity and size effects on SH surface waves in a nanoscale piezoelectric semiconductor layered medium. Appl. Math. Model. 2025, 141, 115928. [Google Scholar] [CrossRef]
- Wang, L.; Fang, X.; Lou, J.; Fan, H.; Zhang, A.; Du, J. Piezoelectric layer guided in-plane surface waves with flexoelectricity and gradient effects. Eng. Struct. 2024, 315, 118483. [Google Scholar] [CrossRef]







| Material | Elastic Constant C44 (1010 N/m2) | Piezoelectric Constant e15 (C/m2) | Dielectric Constant κ11 (10−9 F/m) | Mass Density ρ (103 kg/m3) |
|---|---|---|---|---|
| 2.30 | 17.0 | 277.0 | 7.50 | |
| 3.12 | 0.0 | 0.336 | 2.20 |
Disclaimer/Publisher’s Note: The statements, opinions and data contained in all publications are solely those of the individual author(s) and contributor(s) and not of MDPI and/or the editor(s). MDPI and/or the editor(s) disclaim responsibility for any injury to people or property resulting from any ideas, methods, instructions or products referred to in the content. |
© 2025 by the authors. Licensee MDPI, Basel, Switzerland. This article is an open access article distributed under the terms and conditions of the Creative Commons Attribution (CC BY) license (https://creativecommons.org/licenses/by/4.0/).
Share and Cite
Alneamy, A.; Hemalatha, K.; Tharwan, M. Influence of Flexoelectric Coupling and Interfacial Imperfection on Shear Horizontal Wave Propagation in a Piezoflexoelectric Layer over an Elastic Substrate. Mathematics 2025, 13, 2915. https://doi.org/10.3390/math13182915
Alneamy A, Hemalatha K, Tharwan M. Influence of Flexoelectric Coupling and Interfacial Imperfection on Shear Horizontal Wave Propagation in a Piezoflexoelectric Layer over an Elastic Substrate. Mathematics. 2025; 13(18):2915. https://doi.org/10.3390/math13182915
Chicago/Turabian StyleAlneamy, Ayman, Kulandhaivel Hemalatha, and Mohammed Tharwan. 2025. "Influence of Flexoelectric Coupling and Interfacial Imperfection on Shear Horizontal Wave Propagation in a Piezoflexoelectric Layer over an Elastic Substrate" Mathematics 13, no. 18: 2915. https://doi.org/10.3390/math13182915
APA StyleAlneamy, A., Hemalatha, K., & Tharwan, M. (2025). Influence of Flexoelectric Coupling and Interfacial Imperfection on Shear Horizontal Wave Propagation in a Piezoflexoelectric Layer over an Elastic Substrate. Mathematics, 13(18), 2915. https://doi.org/10.3390/math13182915

