Abstract
The paper advances the theory of queuing networks by presenting generalized product-form solutions that explicitly take into account the service intensity depending on the number of customers in the network nodes, including the presence of multiple service channels and multi-threaded nodes. This represents a significant extension of the classical results on the Jackson network by integrating graph-theoretic methods, including basic subgraphs with service rates depending on the number of requests. The originality of the article is in the combination of stationary and non-stationary approaches to modeling service networks within a single approach. In particular, acyclic networks with deterministic service time and non-stationary Poisson input flow are considered. Such systems present a significant difficulty, which is noted in well-known works. A stationary model of an open queuing network with service intensity depending on the number of customers in the network nodes is constructed. The stationary network model is related to the problem of marine linear navigation along a strictly defined route and schedule. A generalization of the product theorem with a new form of stationary distribution is developed for it. It is shown that even a small increase in the service intensity with a large number of requests in a queuing network node can significantly reduce its average value. A non-stationary model of an acyclic queuing network with deterministic service time in network nodes and a non-stationary Poisson input flow is constructed. The non-stationary model is associated with irregular (tramp) sea transportation. The intensities of non-stationary Poisson flows in acyclic networks are represented by product formulas using paths between the initial node and other network nodes. The parameters of Poisson distributions of the number of customers in network nodes are calculated. The simplest formulas for calculating such queuing networks are obtained for networks in the form of trees.
MSC:
60J28
1. Introduction
Along with the classical multiplicative theorems for open queuing networks [1] and closed queuing networks [2], many generalizations have been made recently (see, e.g., [3]). Generalizations of multiplicativity theorems are of interest if they are related to new practical applications, for example, when introducing blocking probabilities into models [4,5]. Thus, the inclusion of service intensity dependencies on the number of customers in the network nodes in the open network model is a consequence of the actual conditions of its operation. Thus, in marine transport there is even a special operating mode for the so-called linear networks (operating strictly according to the schedule). Similarly, for real networks, networks with non-stationary input flows are considered, which requires a significant complication of calculations. The presence of non-stationary flows is associated with the so-called tramp transportation, that is, with irregular maritime cargo transportation. Therefore, the subject of this work is the study of queuing networks with service intensity dependences on the number of customers in nodes and networks with non-stationary input flows.
This article is prompted by the emergence of new interesting simulation models of networks and queuing systems in maritime transport (see, e.g., [6,7,8]). These models lead to the emergence of new problems, the solution of which requires new mathematical methods, since the relationship between theoretical generalization and practical significance raises many questions. In particular, this is related to the stability of the solutions obtained when changing the parameters. In addition, non-stationary input flows are interesting because they allow us to describe the occurrence of traffic jams in queuing networks. It should be noted that similar problems arise when using queuing networks to optimize the ports [9,10,11]; modeling network flows regarding logistics [12,13]; and using railway stations [14], aviation networks [15], electrical networks [16], and computer networks [17].
In this paper, we propose a generalization of the product theorem for an open network that allows us to determine the dependence of the service intensity on the number of customers in different nodes in the network or on the number of customers from different flows in one node. This problem is currently not considered within the framework of the product theorem. This generalization requires a new form of expression for the stationary distribution of the number of customers in the network nodes. The definition of new formulas for stationary distributions in queuing networks is based on the allocation of basic subgraphs [18] in the graph of transient intensities. The basic subgraphs satisfy the equivalence conditions of the stationary Kolmogorov–Chapman equations with the system of balance relations. This enables one to consider networks with multi-channel nodes, multiple customer flows to individual nodes, and nodes with refusals.
To calculate non-stationary customer flows, we consider acyclic queuing networks with non-stationary Poisson input flow, deterministic service time, and no queues. These conditions are understandable to operators and logisticians. It is well known that non-stationary models for queuing networks are very difficult to calculate. To solve this problem, the following simplifications of the network model are proposed. The vertices of an acyclic network described by a directed graph (digraph) are divided into sets with a fixed maximum path length from the input (initial) vertex to the remaining vertices. This allows us to construct a recurrent procedure for calculating the intensity of flows passing through the edges of the network, which is the simplest for tree-shaped networks. This recurrent procedure is based on the coloring theorem of the Poisson flow vertices [19] and on the additivity of the intensities when merging independent Poisson flows. The proposed models and methods for their study are illustrated by the analysis of the efficiency indicators of service networks.
2. The Dependence of the Service Intensities on the Numbers of Customers in the Nodes of the Queuing Network
The main idea of this section is to divide a connected directed graph (digraph) of transient intensities into basic subgraphs that do not have common edges. It is proved that for any basic subgraph, the stationary Kolmogorov–Chapman equations are reduced to balance relations for a queuing network. And since the subgraphs do not have common edges and the stationary Kolmogorov–Chapman equations are valid for each of them, these equations are valid for the entire graph. This circumstance makes it possible to expand the applicability of this technique, assuming a fairly general dependence of the service intensity on the number of clients in the nodes of the transient intensity graph. New product formulas are proposed, taking into account the dependence of the service intensity on the number of customers in the network nodes. The simplest example here is a network model with multichannel nodes. Queuing systems and networks with several customer flows passing through their nodes are more complex. These formulas are based on the classical ergodicity theorem for discrete Markov processes.
2.1. The Ergodicity Theorem of a Discrete Markov Process
Consider a discrete Markov process defined by a weighted connected digraph of transient intensities Let the digraph have a finite set U of vertices and a finite set V of oriented edges. There are no loops or multiple edges in the graph . Here, the edge is directed from vertex v to vertex and has weight It is characterizing the intensity of the transition of the Markov process from the state v to the state There is a path with edges having positive weights from any vertex to any vertex in the digraph
Theorem 1.
Let there be a set of positive integers satisfying the equalities
Then the Markov process is ergodic, and the function
is its limit distribution [20] (Theorem 2.4, p. 77).
2.2. New Product Theorem for Open Queuing Networks
Consider an open Jackson network G with a Poisson input flow with intensity , consisting of m multi-channel queuing systems with exponential service times with intensities (which may depend on numbers of customers in nodes of the queuing network). The dynamics of customers motion in the network is set by the route matrix where is the probability of switching from the i-th node to the j-th node after service, , and the node number 0 is an external source. It is assumed that the route matrix is indecomposable:
Further, for the convenience of presenting the material of the article (but without limiting generality), we consider a family with two service nodes assuming Then the vector is the only solution to the balance ratio system
The functioning of the network (numbers of customers in nodes) is described by a discrete Markov process with transient intensities:
which define a weighted digraph of transient intensities.
Let the connected digraph of transient intensities of the Markov process be a collection of basic subgraphs with sets of vertices and edges connecting these vertices. Let us call the vertex the basic vertex of the basic subgraph (see Figure 1) and
Figure 1.
Example of basic subgraph .
We will look for the stationary distribution of the process for in the form
Lemma 1.
The Kolmogorov–Chapman stationary equations coincide with balance Equation (3) for any basic subgraph .
Proof.
For subgraph the Kolmogorov–Chapman stationary equations have the following form: in the point
in the point
in the point
Consequently the Kolmogorov–Chapman stationary equations in the basic subgraph coincide with balance relations (3). Using Formula (4) it is easy to repeat this result for any basic subgraph Lemma 1 is proved. □
Remark 1.
The service intensities are not formally defined. So the latter equalities become obvious if and are constants and so
This construction allows generalization for digraph , to the case when and
From Lemma 1, we obtain that the stationary distribution satisfies the stationary Kolmogorov–Chapman equations on the entire digraph, since this digraph is a union of basic subgraphs that do not have common edges. Thus, the stationary Kolmogorov–Chapman equations at any point of a connected digraph are the sums of these equations for finite numbers of basic subgraphs containing this point (see Figure 2).
Figure 2.
Subgraph with basic vertices marked with bold dots.
Remark 2.
If , then we may obtain the product theorem for a network with multi-server nodes (with servers at i-th node).
2.3. Queuing System with Few Input Flows
The proposed scheme for the allocation of basic subgraphs in the graph of transient intensities allows for the following generalization. Let the discrete Markov process with a set of states be determined by the intensities of the transients
This process describes a queuing system with two input flows of intensities and service intensities Then the state of the process characterizes the number of customers of the first and second flows in the system. In the graph of transient intensities of the process , we may distinguish the basic subgraphs connecting the vertex with vertices and satisfying Remark 1 (see Figure 3). Thus, it is convenient to represent a two-flow queuing network with a graph of transient intensities
Figure 3.
Graph with basic vertices marked with bold dots.
In this case, the stationary distribution defined by Equality (4), also satisfies the stationary Kolmogorov–Chapman equations, which are transformed at the vertices of the graph into the identities Due to Remark 1, the stationary distribution satisfies the stationary Kolmogorov–Chapman equations on the entire graph
of the transient intensities of the discrete Markov process
Example 1.
This model applies to a queuing system with two types of customers, in which and for some finite and the following equalities are true:
This model arises when considering a warehouse that accepts containers arriving by sea for shipment to land transport and containers arriving by land for shipment to sea transport. In this model, as the number of customers from a certain flow increases, the intensity of their service increases. According to logisticians, this may be due to signals that arrive at a certain node of the network from another nodes.
Let us break down the set of queuing system states
As a result, for , the following products of functions:
satisfy the equalities
Now we calculate for the sums
to determine by them
Using the equalities , we may obtain the mathematical expectations In turn, for we have
Numerical calculations show: if then for and for and for These results show that for , increasing parameter k does not change S significantly.
Remark 3.
It is not difficult to obtain the following asymptotic relations for if then
and if
Therefore, the product theorem for the intensity of service, depending on the number of customers, allows us to see possible asymptotic dependencies in the calculations. And then, using simple analytical methods, obtain them in a fairly general way. By themselves, these asymptotic relations are formally independent on Therefore, it becomes possible to reduce which may have a certain practical effect.
Remark 4.
In queuing theory, many results are known for systems with multiple customer flows and with priorities (absolute or relative). However, the application of the product theorem with the allocation of basic subgraphs on the graph of transient intensities, as shown in Example 1, makes it possible to expand the computational capabilities of these systems.
3. Non-Stationary Flows in Queuing Network Without Queue and with Deterministic Service Time
The main idea of this section is that for all nodes of an acyclic queuing network, the length of the maximum number of edges of the path from the initial vertex is calculated. The set of network nodes is divided into subsets with a fixed maximum path length. In this case, edges from any vertex with a given maximum path length can only go to a vertex with a greater maximum path length. This allows us to construct a recurrent procedure for calculating the deterministic intensities of flows passing through the edges of the network. The same recurrent procedure can be applied to determine Poisson flows with a given (e.g., uniformly continuous) intensity. This method allows us to establish that all flows entering the network nodes are Poisson and to calculate the parameter of the Poisson flow by the number of points at each node. Indeed, if the intensity of the Poisson process is on the half-intervals then this process satisfies the coloring theorem on all these half-intervals and so on along the entire real axis. This statement enables one to extend the coloring theorem to a Poisson process with uniformly continuous intensity.
For acyclic queuing networks with non-stationary input Poisson flow, a deterministic service time, and an absence of queues, a recurrent procedure was constructed for calculating the intensity of Poisson flows exiting the network nodes and the parameters of the Poisson distribution of the customer number at different points in time. The absence of a queue in a queuing system is known for a multi-server system with a large (tending to infinity) number of servers proportional to the intensity of the input flow (see, e.g., [21,22]). Such simplifications of models of non-stationary queuing networks are caused by the high complexity of calculating more general models [23].
These methods are based on defining sets of nodes of a network with a given maximum path length k (the number of vertices other than the initial ones on the path from the initial vertex to another vertex of the network). Such a classification of network nodes leads to the fact that each node from the set includes only edges from nodes in the sets . This presents the possibility of calculating the non-stationary intensity of flows sequentially by , from the nodes of the set to the nodes of the sets and establishing that these flows are Poisson and independent. The determinism of the customer service time in the network nodes is also a source of fairly simple integral formulas for determining the non-stationary parameters of the Poisson distributions of the number of customers in the network nodes.
3.1. Calculating Maximum Path Lengths in Acyclic Digraphs
Consider the acyclic directed graph (digraph) R with a set of vertices and a set of edges We assume that in the graph R, for any vertex , there exists a path from vertex 0 to vertex For each vertex i of the graph R, we determine the maximum length path from vertex 0 to vertex and put
To constructively calculate , we introduce the matrix where if if Thus, for any pair of vertices that are not connected by an edge (by way of length one), the value of
Let us construct an analogue of the Floyd–Warshall [24] algorithm to find the matrix of maximum lengths of all paths between the vertices of an acyclic digraph. We denote where the value if in the graph G there is no path passing only through vertices and connecting vertices If such paths exist, then the value is equal the maximum length of such paths. Then the following theorem is valid.
Theorem 2.
Matrices satisfy recurrent relations
Using Theorem 2, we may calculate the maximum lengths of paths from vertex 0 to vertices as follows
Remark 5.
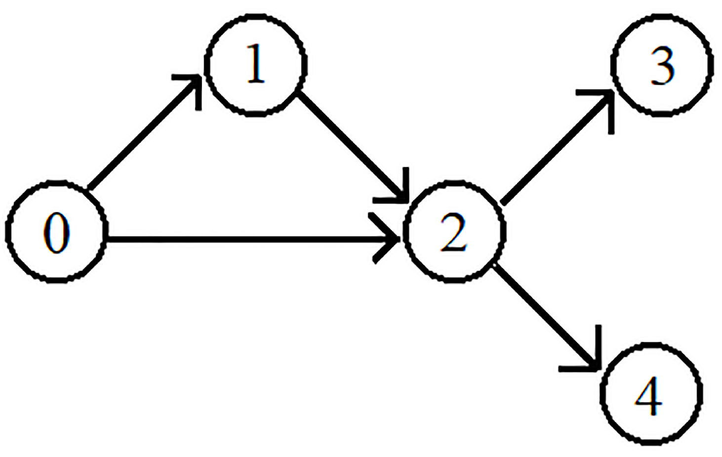
Splitting the set of vertices of the acyclic digraph R into subsets with a fixed maximum path length k from the initial vertex allows us to assert that any edges of the graph may be transferredonly from the vertices of the set to the vertices of the sets Dividing the vertices of an acyclic digraph into subsets with a fixed minimum path length does not allow us to make the same statement. For example it is possible to consider acyclic digraph from Figure 4, in which minimal lengths from 0 to 1 and to 2 equal one. But there is the edge between them.
Figure 4.
Example of digraph .
3.2. Construction of a Non-Stationary Queuing Network Model R
Calculation of transient intensities in the queuing network R. Let us define subsets Then for the digraph R does not contain the edge , so in the acyclic digraph any edge may belong the graph R only if As an example we give the digraph R (see Figure 4).
Let us split the set of vertices U into disjoint subsets We denote then
Let each edge be associated with a non-negative uniformly continuous function of time t and the function . This function determines the non-stationary intensity of the Poisson flow passing along the vertex We require that for some , the equality holds
The value determines the right shift of each point of the input flow, i.e., the delay time (servicing each requirement) at the top of the network.
Suppose that for each vertex , a set of positive numbers is given , and the equalities are fulfilled
Here, are the probabilities with which each customer leaving the vertex i arrives at the vertex
Theorem 3.
Proof.
Definition of Poisson flows in the network Let us define a Poisson flow of points with intensity Then by shifting all points of this flow by , we may obtain a Poisson flow intensity if we assume that the points of the Poisson flow correspond to the moments when customers arrive at node 0 of the network. Then the flow points with the same numbers correspond to the moments when the input flow customers leave node
Suppose that each point of the output flow with probability enters the flow following the edge Then, due to the coloring theorem [19] all these flows are independent and have intensities Those of the flows which connect at the vertexes , form Poisson flows and have intensities Moreover, Poisson flows and Poisson flows are independent.
We continue to prove by induction on k the Poisson property and the independence of flows and Poisson flows We may define Poisson flows, passing through all edges of the network R, the intensities of these flows coincide with
Determining a random number of points in the network nodes It is known that the points of the Poisson flow entering the node form the moments of arrival of customers to this node. Since the residence time of each customer is it can be argued that the random number of these customers at time t has Poisson distribution with the parameter In this way, it is possible to determine not only the intensity of non-stationary Poisson flows passing along the edges of the digraph R but also the time dependence on t of the Poisson parameters of distributions of the number of customers in the network nodes.
3.3. The Product Formula for Acyclic Queuing Network
Let be the set of all paths from the initial vertex 0 to the vertex For the path , we define
Then it is not difficult to prove from Formulas (7) and (8) by mathematical induction that the equality holds
To calculate necessary coefficients in Formulas (9) and (10), let us define a recurrent construction procedure, putting
To do this, set the initial conditions:
Assume that we have for Then for the following relations hold:
Then the Formula (10) will be rewritten as
This recurrent procedure allows one to avoid a description of all paths in Formula (9). If the digraph R is a tree then always , so calculations are very simple. But in general, case calculating complexity is sufficiently large (cubic by the number of vertexes in digraph R), and a sufficiently large volume of memory is necessary too. This is the price of solving a non-stationary problem in this case. The analysis of networks that are used in well-known simulation procedures indicates that the assumption of a tree-like network (even with small distortions) is quite common.
4. Examples and Applications
Example 2.
Consider queuing system with constant service time without a queue and with Poisson input flow, which has the intensity
when Calculate a parameter of Poisson distribution for a number of customers in this queuing system on a segment with for different meanings of
Figure 5 shows how decreases with decrease in service time
Figure 5.
Graphs of functions (dotted line), (solid line).
Example 3.
Remark 6.
Calculate , assuming that as in Example 2 then
because the constants
Consequently we obtain the following asymptotic relation:
This means that it becomes possible, by passing the input flow through two paths and , to reduce its maximum intensity by half. This shows how we may reduce the maximum intensity of the flow entering vertex 2 in Figure 5.
5. Discussion and Conclusions
This article is based on the analysis of simulation modeling methods for studying queuing networks in maritime and rail transport. These methods allow one to identify nodal elements in the networks under consideration, for example, those through which several flows of customers pass. Theorems on the number of customers in open networks in the steady-state mode assume their independence at different nodes. Thus, it becomes possible to focus on individual nodes and calculate various performance indicators. The analysis of these performance indicators shows the presence of various synergistic effects that can be used in practice. Moreover, such techniques can be applied, among other things, to large-scale and cyclic networks.
Theoretical Contributions
To study stationary modes in networks, new product formulas were proposed, taking into account the dependence of the service intensity on the number of customers in the network nodes and, in particular, in networks with multi-channel nodes and in queuing networks with a certain number of input customer flows. These constructions are based on the allocation of basic subgraphs in the graph of transient intensities and the equivalence of the system of stationary Kolmogorov–Chapman equations to the system of balance relations. To analyze non-stationary networks represented by acyclic digraphs, a stochastic model of the passage of the input customer Poisson flow through queuing networks was constructed. The proposed method for calculating queuing networks involves considering graphs of transient intensities when studying stationary modes in networks. However, when constructing and studying non-stationary queuing networks, attention is mainly paid to the graphs of transient intensities of flows passing between network nodes. This procedure is based on the calculation of constants related to the customer flows along various paths between the original node and another node in the network. Therefore, trees are the simplest graphs for such procedures for calculating non-stationary flows in a queuing network.
Practical Contributions
The synergistic (nonlinear) effect found in Remark 3 shows how the average number of customers in the network nodes can be significantly reduced by changing the service intensity. If non-stationary flows follow different paths and then merge, then the following pattern is found in Remark 6. We can split the input flow into parts and, using their service in intermediate nodes, significantly reduce the maximum intensity of merged flows. Particular attention should be paid to queuing networks represented as trees, since all calculations are greatly simplified for them. This method is likely to simplify calculations for networks resembling trees. It seems that the generalizations of product theorems presented in this paper can be used not only in transportation models but also in other models, for example, in consumer service models, as noted in Example 2. The service intensity depending on the number of customers in the nodes is analyzed using asymptotic estimates. The intensity of non-stationary Poisson flows entering and exiting the network nodes is determined using a special recurrent procedure. The synergistic effects found in Remarks 3 and 6 require not only additional analytical studies but also computational experiments. For this purpose, the algorithms for calculating various characteristics of queuing networks constructed in the article should be adapted to computational experiments. Consequently, further development of this topic will require the development of algorithms for a set of paths from the initial vertex to other lvertices.
Funding
The research was carried out within the state assignment for IAM FEB RAS N 075-00459-25-00.
Data Availability Statement
The raw data supporting the conclusions of this article will be made available by the authors on request.
Conflicts of Interest
The author declares no conflicts of interest.
References
- Jackson, J.R. Networks of Waiting Lines. Oper. Res. 1957, 5, 518–521. [Google Scholar] [CrossRef]
- Gordon, K.D.; Newell, G.F. Closed Queuing Systems with Exponential Servers. Oper. Res. 1967, 15, 254–265. [Google Scholar] [CrossRef]
- Basharin, G.P.; Gaidamaka, Y.V.; Samouylov, K.E. Mathematical Theory of Teletraffic and Its Applications to the Analysis of Multiservice Communication of Next Generation Networks. Autom. Control Comput. Sci. 2013, 47, 62–69. [Google Scholar] [CrossRef]
- Balsamo, S.; Clo, M.C. A Convolution Algorithm for Product-form queuing Networks with Blocking. Ann. Oper. Res. 1998, 79, 97–117. [Google Scholar] [CrossRef]
- Boucherie, R.J.; van Dijk, N.M. On the arrival theorem for product form queuing networks with blocking. Perform. Eval. 1997, 29, 155–176. [Google Scholar] [CrossRef]
- Peng, P.; Claramunt, C.; Cheng, S.; Yang, Y.; Lu, F. A Multi-Layer Modeling Approach for Mining Versatile Ports of a Global Maritime Transportation Network. Int. J. Didital Earth 2023, 16, 2129–2151. [Google Scholar] [CrossRef]
- Han, D.; Cheng, X.; Chen, H.; Xiao, C.; Wen, Y.; Sui, Z. Simulation Modeling for Ships Entering and Leaving Port in Qiongzhou Strait Waters: A Multi-Agent Information Interaction Method. J. Mar. Sci. Eng. 2024, 12, 1560. [Google Scholar] [CrossRef]
- Lempert, A.A.; Zharkov, M.L.; Kazakov, A.L.; Wu, H.Z. Modeling of a marine container terminal using a queuing network. Manag. Large Syst. 2024, 112, 310–337. (In Russian) [Google Scholar]
- Dragovic, B.; Park, N.-K.; Nenad, Đ.; Zrnic, N.; Mestrovic, R. Mathematical Models of Multiserver Queuing System for Dynamic Performance Evaluation in Port. Math. Probl. Eng. 2012, 2012, 1–19. [Google Scholar] [CrossRef]
- Rida, M. Modeling and Optimization of Decision-Making Process During Loading and Unloading Operations at Container Port. Arab. J. Sci. Eng. 2014, 39, 8395–8408. [Google Scholar] [CrossRef]
- Wang, W.; Ji, Y.; Zhao, Z.; Yin, H. Simulation Optimization of Station-Level Control of Large-Scale Passenger Flow Based on queuing Network and Surrogate Model. Sustainability 2024, 16, 7502. [Google Scholar] [CrossRef]
- Edmond, E.D.; Maggs, R.P. How Useful are Queue Models in Port Investment Decisions for Container Berths? J. Oper. Res. Soc. 2017, 29, 741–750. [Google Scholar] [CrossRef]
- Pereira, M.T.; Rocha, N.; Silva, F.G.; Moreira, M.A.L.; Altinkaya, Y.O.; Pereira, M.J. Process Optimization in Sea Ports: Integrating Sustainability and Efficiency Through a Novel Mathematical Model. J. Mar. Sci. Eng. 2025, 13, 119. [Google Scholar] [CrossRef]
- Bychkov, I.; Kazakov, A.; Lempert, A.; Zharkov, M. Modeling of Railway Stations Based on Queuing Networks. Appl. Sci. 2021, 11, 2425. [Google Scholar] [CrossRef]
- Shone, R.; Glazebrook, K.Z.; Konstantinos, G. Applications of Stochastic Modeling in Air Traffic Management: Methods, Challenges and Opportunities for Solving Air Traffic Problems under Uncertainty. Eur. J. Oper. Res. 2021, 292, 1–26. [Google Scholar] [CrossRef]
- Varshney, S.; Shah, M.; Srinivas, B.A.; Gupta, M.; Panda, K.P. Queuing Modeling and Optimization of Hybrid Electric Vehicle Infrastructures Using Evolutionary Algorithms. Int. J. Thermofluids 2025, 26, 101043. [Google Scholar] [CrossRef]
- Lazarova, M.; Sapundzhi, F. Stochastic Modeling with Applications in Supply Chain Management and ICT Systems. Computation 2023, 11, 21. [Google Scholar] [CrossRef]
- Tsitsiashvili, G.S.; Osipova, M.A. Invariance of Stationary Distributions of Exponential Networks with Prohibitions and Determination of Maximum Prohibitions. Computation 2025, 13, 89. [Google Scholar] [CrossRef]
- Kingman, J.F.K. Poisson Processes; Clarendon Press: Oxford, UK, 1993. [Google Scholar]
- Ivchenko, G.I.; Kashtanov, V.A.; Kovalenko, I.N. Theory of Queuing: A Textbook for Universities; Higher School: Moscow, Russia, 1982. (In Russian) [Google Scholar]
- Jagerman, D.L. Some Properties of the Erlang Loss Function. Bell Syst. Tech. J. 1974, 53, 525–551. [Google Scholar] [CrossRef]
- Tsitsiashvili, G.S. Study of Synergistic Effects in Complex Stochastic Systems. Mathematics 2021, 9, 1396. [Google Scholar] [CrossRef]
- Ivnitskiy, V.A. Theory of Arbitrary Incoming Flow Customers to Non-Stationary Systems and Queuing Networks; Palmarium Academic Publishing: Saarbrucken, Germany, 2012. (In Russian) [Google Scholar]
- Cormen, T.H.; Leiserson, C.E.; Rivest, R.L.; Stein, C. Algorithms: Introduction to Second Edition; The MIT Press Cambridge: Cambridge, UK, 1990. [Google Scholar]
Disclaimer/Publisher’s Note: The statements, opinions and data contained in all publications are solely those of the individual author(s) and contributor(s) and not of MDPI and/or the editor(s). MDPI and/or the editor(s) disclaim responsibility for any injury to people or property resulting from any ideas, methods, instructions or products referred to in the content. |
© 2025 by the author. Licensee MDPI, Basel, Switzerland. This article is an open access article distributed under the terms and conditions of the Creative Commons Attribution (CC BY) license (https://creativecommons.org/licenses/by/4.0/).




