Convergence and Stability of the Truncated Stochastic Theta Method for McKean-Vlasov Stochastic Differential Equations Under Local Lipschitz Conditions
Abstract
1. Introduction
2. Notations and Preliminaries
3. Stochastic Particle Method
- Existence. Let , . For any , let solve the SDESimilar to the proof of Theorem 3.1 in [19], we can prove that and is a Cauchy sequence, and hence has a limit in the space as , which is a solution.
4. Truncated Stochastic Theta Method and Strong Convergence
4.1. Numerical Methods and Associated Moments
4.2. Strong Convergence
5. Stability of the Truncated Stochastic Theta Method
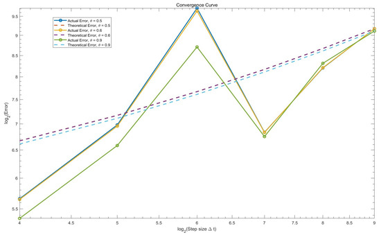
6. Numerical Example
7. Conclusions
Author Contributions
Funding
Data Availability Statement
Conflicts of Interest
References
- Bahlali, K.; Mezerdi, M.A.; Mezerdi, B. Stability of McKean-Vlasov stochastic differential equations and applications. Stoch. Dyn. 2020, 20, 1–20. [Google Scholar] [CrossRef]
- dos Reis, G.; Engelhardt, S.; Smith, G. Simulation of McKean-Vlasov SDEs with super-linear growth. IMA J. Numer. Anal. 2022, 42, 874–922. [Google Scholar] [CrossRef]
- dos Reis, G.; Salkeld, W.; Tugaut, J. Freidlin-Wentzell LDP in path space for McKean-Vlasov equations and the functional iterated logarithm law. Ann. Appl. Probab. 2019, 29, 1487–1540. [Google Scholar] [CrossRef]
- Carmona, R.; Delarue, F. Probabilistic Theory of Mean Field Games with Applications II. Probability Theory and Stochastic Modelling; Springer: Cham, Switzerland, 2018. [Google Scholar]
- Liu, Z.; Ma, J. Existence, uniqueness and exponential ergodicity under Lyapunov conditions for McKean-Vlasov SDEs with Markovian switching. J. Differ. Equ. 2022, 337, 138–167. [Google Scholar] [CrossRef]
- Li, Y.; Mao, X.; Song, Q.; Wu, F.; Yin, G. Strong convergence of Euler-Maruyama schemes for McKean-Vlasov stochastic differential equations under local Lipschitz conditions of state variables. IMA J. Numer. Anal. 2023, 43, 1001–1035. [Google Scholar] [CrossRef]
- Adams, D.; Reis, G.d.; Ravaille, R.; Salkld, W.; Tugaut, J. Large deviations and exit-times for reflected McKean-Vlasov equations with self-stabilizing terms and superlinear drifts. Stoch. Processes Appl. 2022, 146, 264–310. [Google Scholar] [CrossRef]
- Hammersley, W.R.P.; Šiška, D.; Szpruch, Ł. Weak existence and uniqueness for McKean-Vlasov SDEs with common noise. Ann. Probab. 2021, 49, 527–555. [Google Scholar] [CrossRef]
- Yuan, H.; Zhu, Q. The well-posedness and stabilities of mean-field stochastic differential equations driven by G-Brownian motion. SIAM J. Control Optim. 2025, 63, 596–624. [Google Scholar] [CrossRef]
- Yuan, H.; Zhu, Q. The stabilities of delay stochastic McKean-Vlasov equations in the G-framework. Sci. China Inf. Sci. 2025, 68, 112203. [Google Scholar] [CrossRef]
- Govindan, T.E.; Ahmed, N.U. On Yosida approximations of McKean-Vlasov type stochastic evolution equations. Stoch. Anal. Appl. 2015, 33, 383–398. [Google Scholar] [CrossRef]
- Ding, X.; Qiao, H. Stability for stochastic Mckean-Vlasov equations with non-lipschitz coefficients. SIAM J. Control Optim. 2021, 59, 880–905. [Google Scholar] [CrossRef]
- Bossy, M.; Talay, D. A stochastic particle method for the McKean-Vlasov and the Burgers equation. Math. Comp. 1997, 66, 157–192. [Google Scholar] [CrossRef]
- Budhiraja, A.; Fan, W.T.L. Uniform in time interacting particle approximations for nonlinear equations of Patlak-Keller-Segel type. Electron. J. Probab. 2016, 22, 1–37. [Google Scholar] [CrossRef]
- Bao, J.; Reisinger, C.; Ren, P.; Stockinger, W. First-order convergence of Milstein schemes for McKean-Vlasov equations and interacting particle systems. Proc. R. Soc. A 2021, 477, 20200258. [Google Scholar] [CrossRef] [PubMed]
- Gobet, E.; Pagliarani, S. Analytical approximations of non-linear SDEs of McKean-Vlasov type. J. Math. Anal. Appl. 2018, 466, 71–106. [Google Scholar] [CrossRef]
- Kumar, C.; Neelima, C. On explicit Milstein-type scheme for McKean-Vlasov stochastic differential equations with super-linear drift coefficient. Electron. J. Probab. 2021, 26, 1–32. [Google Scholar] [CrossRef]
- Neelima, B.S.; Kumar, C.; Reis, G.d.; Reisinger, C. Well-posedness and tamed Euler schemes for McKean-Vlasov equations driven by Lévy noise. arXiv 2020, arXiv:2010.08585. [Google Scholar]
- Liu, H.; Shi, B.; Wu, F. Tamed Euler-Maruyama approximation of McKean-Vlasov stochastic differential equations with super-linear drift and Hölder diffusion coefficients. Appl. Numer. Math. 2023, 183, 56–85. [Google Scholar] [CrossRef]
- Wu, H.; Hu, J.; Gao, S.; Yuan, C. Stabilization of stochastic McKean-Vlasov equations with feedback control based on discrete-time state observation. SIAM J. Control Optim. 2022, 60, 2884–2901. [Google Scholar] [CrossRef]
- Li, T.; Yuan, C. A note on strong convergence of implicit scheme for SDEs under local one-sided Lipschitz conditions. Int. J. Comput. Math. 2020, 98, 238–251. [Google Scholar] [CrossRef]
- Jentzen, A.; Kloeden, P.E.; Neuenkirch, A. Pathwise approximation of stochastic differential equations on domains: Higher order convergence rates without global Lipschitz coeficients. Numer. Math. 2009, 112, 41–64. [Google Scholar] [CrossRef]


Disclaimer/Publisher’s Note: The statements, opinions and data contained in all publications are solely those of the individual author(s) and contributor(s) and not of MDPI and/or the editor(s). MDPI and/or the editor(s) disclaim responsibility for any injury to people or property resulting from any ideas, methods, instructions or products referred to in the content. |
© 2025 by the authors. Licensee MDPI, Basel, Switzerland. This article is an open access article distributed under the terms and conditions of the Creative Commons Attribution (CC BY) license (https://creativecommons.org/licenses/by/4.0/).
Share and Cite
Chu, H.; Yuan, H.; Zhu, Q. Convergence and Stability of the Truncated Stochastic Theta Method for McKean-Vlasov Stochastic Differential Equations Under Local Lipschitz Conditions. Mathematics 2025, 13, 2433. https://doi.org/10.3390/math13152433
Chu H, Yuan H, Zhu Q. Convergence and Stability of the Truncated Stochastic Theta Method for McKean-Vlasov Stochastic Differential Equations Under Local Lipschitz Conditions. Mathematics. 2025; 13(15):2433. https://doi.org/10.3390/math13152433
Chicago/Turabian StyleChu, Hongxia, Haiyan Yuan, and Quanxin Zhu. 2025. "Convergence and Stability of the Truncated Stochastic Theta Method for McKean-Vlasov Stochastic Differential Equations Under Local Lipschitz Conditions" Mathematics 13, no. 15: 2433. https://doi.org/10.3390/math13152433
APA StyleChu, H., Yuan, H., & Zhu, Q. (2025). Convergence and Stability of the Truncated Stochastic Theta Method for McKean-Vlasov Stochastic Differential Equations Under Local Lipschitz Conditions. Mathematics, 13(15), 2433. https://doi.org/10.3390/math13152433

