Abstract
This article introduces the theory of three-variable q-truncated exponential Gould–Hopper-based Appell polynomials by employing a generating function approach that incorporates q-calculus functions. This study further explores these polynomials by using a computational algebraic approach. The determinant form, recurrences, and differential equations are proven. Relationships with the monomiality principle are given. Finally, graphical representations are presented to illustrate the behavior and potential applications of the three-variable q-truncated exponential Gould–Hopper-based Appell polynomials.
Keywords:
quantum calculus; q-truncated polynomials; q-truncated Gould–Hopper–Appell polynomials; quasi-monomiality; extension of monomiality principle; q-dilatation operator; partial differential equations; differential equations MSC:
05A30; 11B83; 11B68
1. Introduction
Special polynomials are fundamental mathematical constructs that serve as versatile tools across various disciplines. Their significance lies in their capacity to simplify complex mathematical problems and provide elegant solutions to real-world challenges. These polynomials are particularly effective in approximating intricate functions, rendering them invaluable in numerical analysis and computational mathematics. Their orthogonality properties facilitate the efficient representation of functions in series expansions, which is crucial in areas such as signal processing and data compression. Furthermore, special polynomials frequently emerge as solutions to differential equations that model physical phenomena, thereby bridging the gap between abstract mathematics and practical applications in physics and engineering. The utility of special polynomials extends beyond their computational advantages. Their associated generating functions offer a compact means of representing infinite sequences, thereby aiding the study of combinatorial problems and probability distributions. The recurrence relations governing these polynomials not only allow for efficient computation but also reveal profound mathematical structures and patterns. Additionally, the symmetry properties exhibited by many special polynomials provide insights into the underlying mathematical and physical principles of the systems that they describe. This combination of theoretical elegance and practical utility renders special polynomials indispensable in fields ranging from quantum mechanics to financial modeling, cementing their status as essential tools in modern mathematics and its applications. Gould–Hopper polynomials are the subject of extensive research due to their distinctive characteristics and applicability in fields such as approximation theory, differential equations, and quantum mechanics. Gould–Hopper polynomials, which represent a generalization of Hermite polynomials, have been the focus of comprehensive investigations regarding their mathematical properties and practical applications.
Recent advancements in special polynomial, q-Appell, and truncated multivariate polynomial families have underscored their utility in operator theory, approximation, and discrete modeling [1,2,3,4,5]. These investigations have provided a comprehensive framework within which the proposed generalization can be contextualized. The 2-variable truncated exponential polynomials (2VTPs) denoted by are specified by the generating relation [6,7,8]
where
Very recently, in [9], Özat et al. presented the general form of truncated exponential-based general-Appell polynomials, utilizing the framework of two-variable general-Appell polynomials as follows:
In addition, the authors successfully derived explicit and determinant representations, along with operators for lowering and raising, a recurrence relation, a differential equation, and various summation formulas pertinent to these polynomials.
The field of quantum calculus, alternatively known as q-calculus, represents an area of burgeoning research interest. For quantum calculus converges to classical calculus. In contemporary scientific discourse, quantum calculus has exhibited its utility across diverse disciplines, encompassing mathematical sciences, quantum physics, quantum mechanics, quantum algebra, approximation theory, and operator theory, among other domains. We now provide some basic properties of quantum analysis. For the following properties and more details, please see [1,10,11,12,13]. Assume that . The q-shifted factorial is defined as
The q-analogue of a number is given by
The q-factorial is given by
The following equality holds:
where
The following equalities hold:
and
The following equality holds:
Hence,
The following equality holds:
In particular, we have
and
where denotes the -order q-derivative with respect to .
The q-derivative concerning the product of the functions and has been thoroughly examined in the existing literature.
and
The q-integral of a function is introduced as
By virtue of (17), we get
In particular, , and then
The q-GHPs, symbolized as , are established through the use of the generating function [14]
and the series definition is
For , the following equality holds (see [15]):
The q-dilatation operator is characterized by its action on any function of the complex variable z as follows [2,16]:
satisfying the property
The following equality holds [15]:
where
Al Salam provides a comprehensive explanation of the generating function for the q-Appell polynomials , as articulated in the formula found in [17,18].
The following represents a suitable option for specific individuals within the category of q-Appell polynomials (Table 1).
Table 1.
Certain q-APF.
Appell polynomials of the order, which are based on a two-variable q-truncated exponential function and are represented as , are characterized by the generating function provided in [6].
The higher-order q-truncated exponential Gould–Hopper polynomials in three variables, symbolized as , are described by the following generating function:
In [14], Raza et al. introduced the q-Gould–Hopper polynomials and examined various properties associated with them. Subsequently, in [20], the same authors defined the two-variable q-Gould–Hopper–Appell polynomials by convolving the q-Gould–Hopper polynomials with the q-Appell polynomials, utilizing an extended application of the monomial principle.
The classical Appell polynomial families and their q-analogs have garnered significant scholarly attention due to their applications in combinatorics, quantum theory, and operator analysis. Foundational studies, such as those conducted by Andrews, Askey, and Roy [1], Srivastava and Manocha [4], and Ernst [3], offer a comprehensive framework within which the current generalization can be contextualized.
In this paper, we define three-variable q-truncated exponential Gould–Hopper-based Appell polynomials, employing a generating function approach that incorporates q-calculus functions. The investigation extends to the analysis of these polynomials within the quasi-monomiality framework, facilitating the establishment of crucial operational identities. Subsequently, operational representations are derived, and both q-differential and partial differential equations are formulated for the aforementioned polynomials. To further elucidate their analytical properties, summation formulas are developed. The article concludes with graphical representations that demonstrate the behavior of the three-variable q-truncated exponential Gould–Hopper-based Appell polynomials and highlights their potential applications in various fields.
2. q-Appell Convolution
In this section, we introduce three-variable q-truncated exponential Gould–Hopper-based Appell polynomials or, shortly, 3VqTEGHbAPs denoted by , and we obtain their series definitions, partial derivatives, and explicit and implicit formulas. Therefore, we first define the 3VqTEGHbAPs.
Here, we define the three-variable q-truncated exponential Gould–Hopper-based Appell polynomials in the following form:
In other words, we note that
We observe that the generating function exhibits absolute convergence for , where R is contingent upon the convergence radii of , , and . In this study, we assume to ensure the validity of the q-calculus operations and convergence.
Theorem 1.
Utilizing the expansion (27) of on the left-hand side of Equation (33), we simplify the expression and equate the coefficients of the corresponding powers of t on both sides of the equation, thereby establishing assertion (32). □
In a similar manner, we can derive the following equivalent forms of the series representations of .
Theorem 2.
The three-variable q-truncated exponential Gould–Hopper-based Appell polynomials are characterized by the following series:
Proof.
The determinant form plays a crucial role in deriving the exploration of q-special polynomials, offering a compact and refined representation that captures their core attributes. This formulation adeptly illustrates essential features, such as orthogonality, recurrence relations, and generating functions, establishing it as a valuable instrument for analysis and manipulation across diverse mathematical settings. Moreover, the determinant form serves as a link to other mathematical frameworks, enabling a deeper understanding of the foundational principles that govern q-special polynomials. Its importance extends beyond mere computational applications, contributing significantly to the theoretical progress in the field of special function theory.
Costabile and Longo [21], expanding on the techniques presented in [22], effectively derived the determinantal form of q-Appell polynomials.
Theorem 3.
The determinant form of the three-variable q-truncated exponential Gould–Hopper-based Appell polynomial with degree n is
where and are the three-variable q-truncated exponential Gould–Hopper polynomials defined by Equation (29).
Proof.
Applying Cramers’ rule, we get
By taking the transpose in the last equation, we have
Thus, simple row operations are used to finish the proof. □
By integrating the series expressions of the newly generalized q-truncated exponential Gould–Hopper polynomials into the generating function of the three-variable q-truncated exponential Gould–Hopper-based Appell polynomials, we derive
Multiplying both sides by
we get
Applying the Cauchy product in (40) gives
So, we obtain the system of equations as follows:
⋮
Theorem 4.
The following q-recurrence formula for the 3VqTEGHbAPs holds true:
Proof.
Using the series in the r.h.s of Equation (39), we get
Again, using Equations (30) and (44) in Equation (43), we achieve
By rearranging the series and equating the corresponding powers of t on both sides of the resulting equation, we derive assertion (42). □
Theorem 5.
The higher derivative formula for the 3VqTEGHbAPs holds true:
Proof.
By taking the -order q-partial derivative with respect to on both sides of the generating function (30) and subsequently applying Equation (13) to the left-hand side, it can be deduced that
Upon reorganizing the given series and then equating the corresponding powers of t on both sides of the resulting equation, we confirm assertion (30). □
Theorem 6.
The 3VqTEGHbAPs satisfy the following addition formula:
Proof.
Theorem 7.
The summation formula for the is explicitly defined as the product of and , as demonstrated below:
Proof.
We examine the product formed by the generating function (20) of and generating function (28) of in the following form:
In the r.h.s. of Equation (51), using the identity
we get
which, on shifting the to the l.h.s. and using the series definition of the exponential, becomes
Again, using Equation (28) in the r.h.s of Equation (54), we get
Utilizing the equation generating function (30) on the left-hand side of Equation (55) and matching the coefficients of identical powers of t in the resulting equation, we establish assertion (50). □
3. Monomiality Characteristic and Operational Identities
This section presents the q-quasi-monomiality characteristic, operational identities, and q-differential equations pertinent to the 3VqTEGHbAPs, denoted as .
The notion of monomiality is a crucial tool for analyzing exceptional polynomials and their attributes. Initially introduced by J.F. Steffensen [23], this concept was later expanded into the realm of quasi-monomiality by Dattoli and his colleagues [24,25,26]. In the specific context of q-polynomials, Raza et al. [15] further extended the monomiality principle. This extension offers a robust methodology for examining the quasi-monomiality of certain q-special polynomials. Researchers have extensively utilized monomiality frameworks to construct and evaluate hybrid families of special polynomials [27]. The two q-operators, denoted as and , are known as the q-multiplicative and q-derivative operators, respectively, for a q-polynomial set , as demonstrated by [2]
and
The operators and adhere to the following commutation relation:
The characteristics of the polynomials can be inferred from the properties of the operators and . If these operators, and , have a differential realization, then the polynomials are governed by the differential equation
and
In view of (56) and (57), we have
From (56), we have
In particular, we have
where is the q-sequel of polynomial . Also, the generating function of can be obtained as
Now, we establish the q-monomial characteristic of the three-variable q-truncated Gould–Hopper–Appell polynomials in the form of the following theorem.
Theorem 8.
The three-variable q-truncated exponential Gould–Hopper-based Appell polynomials exhibit quasi-monomial properties when subjected to the following q-multiplicative and q-derivative operators:
or, alternatively,
and
respectively, where and are the q-dilatation operators, as specified in Equation (23).
Proof.
By taking the partial derivative of Equation (30) with respect to t and applying Equation (15), we derive
By employing Equations (15) and (16) and setting and , followed by simplifying the resulting equation using Equations (23) and (25) on the left-hand side, we obtain
Since
is an invertible series of t, and has q-power series expansion in t.
By equating the coefficients of t on both sides of Equation (72) and considering Equation (56), the resulting equation substantiates assertion (65).
Theorem 9.
The following q-differential equations for hold true:
and
Proof.
The application of the monomiality principle in this context inherently results in the formulation of canonical q-differential operators, for which the polynomials serve as eigenfunctions. This structural characteristic implies that each polynomial family under consideration can be systematically linked to a q-difference equation, thereby reinforcing its analytical and spectral importance. We present the following theorem regarding the operational identities associated with the three-variable q-truncated Gould–Hopper polynomials.
Theorem 10.
The 3VqTEGHbAPs satisfy the following respective operational identities:
or, equivalently,
and
where is the q-derivative operator.
Proof.
In view of Equation (7), we have
Utilizing the preceding equation of Formula (30), we acquire
Utilizing expression (5) on the r.h.s. of the preceding equation, we arrive at statement (77). Again, by using a similar method to (77) and (5), we get assertion (78). By operating on both sides of Equation (77) and using Equation (10), we obtain (79). □
4. Reductions to Classical Families
This section presents specific cases of the polynomial previously discussed in Section 2, represented by Equation (30). Taking in (30), reduces to the q-truncated exponential Gould–Hopper-based Bernoulli polynomials (q-TEGHbBPs); are defined by the following generating function:
In view of Equations (22) and (82), we have
Considering Equation (82), the following determinant form for is derived:
Theorem 11.
The determinant representation of q-truncated Gould–Hopper–Bernoulli polynomials of degree n is
where () and are the q-truncated Gould–Hopper polynomials defined by Equation (29).
Furthermore, by taking in (30), reduces to the q-truncated exponential Gould–Hopper-based Euler polynomials (q-TEGHbEPs); are defined by the following generating function:
By virtue of (22) and (60), we have
The following determinant form for is obtained.
Theorem 12.
The determinant formulation of the q-truncated Gould–Hopper–Euler polynomials for a polynomial of degree n is
where () and are the q-truncated Gould–Hopper polynomials defined by Equation (29).
By taking in (30), is reduced to the q-truncated exponential Gould–Hopper-based Genocchi polynomials (q-TEGHbGPs); are defined by the following generating function:
In view of Equations (22) and (64), we have
Theorem 13.
The determinant representation of the q-truncated exponential Gould–Hopper-based Genocchi polynomials (q-TEGHbGPs) of degree n is
where () and are the q-truncated exponential Gould–Hopper polynomials defined by Equation (29).
Remark 1.
To further enhance clarity and confirm consistency with classical results, it is instructive to consider the limiting case as . In this limit, the q-truncated exponential Gould–Hopper-based Appell polynomials reduce to their classical counterparts, including the Bernoulli, Euler, and Genocchi polynomials.
For instance, taking the generating function of the q-truncated exponential Gould–Hopper-based Bernoulli polynomials with
and considering the classical limit , we obtain
This expression corresponds to the generating function of the classical truncated exponential Gould–Hopper-based Bernoulli polynomials:
Similar derivations can be performed for the Euler and Genocchi polynomials.
Remark 2
(On Time-Reversal Symmetry). A critical yet frequently neglected aspect in the analysis of special polynomials is their behavior under the inversion of the dependent variable, specifically the transformation . This consideration of symmetry is of considerable importance in physical and engineering contexts, where it often corresponds to time reversibility or irreversibility in dynamical systems. For example, even functions exhibit time-symmetric behavior, whereas odd or asymmetric functions indicate directional or irreversible processes.
In the case of the three-variable q-truncated exponential Gould–Hopper-based Appell polynomials , a study of the generating function
under the substitution could yield insights into the parity structure of the polynomials and their coefficients. Such an investigation could further distinguish between even, odd, or asymmetrically structured polynomial families, as well as elucidate deeper algebraic or physical symmetries embedded in the q-calculus framework.
Remark 3
(On Canonical Differential Equations). The introduction of the three-variable q-truncated exponential Gould–Hopper-based Appell polynomials in this study, along with the formulation of canonical q-differential equations, is both feasible and significant. By utilizing the generating function structure in conjunction with the monomiality principle and operational identities, one can systematically derive q-difference or q-differential equations for which these polynomials act as eigenfunctions. These equations not only elucidate the analytical structure of the polynomials but also facilitate applications in mathematical physics and integrable systems.
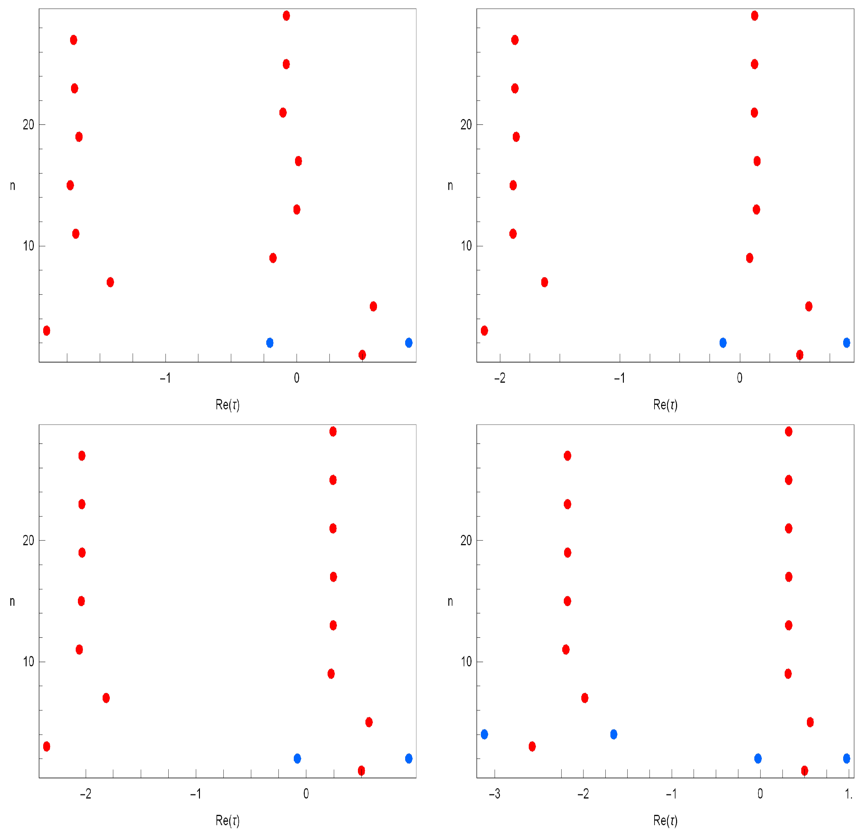
5. Distribution of Zeros and Graphical Representation
In this section, we intend to present the graphical representations and zeros of the q-truncated exponential Gould–Hopper-based Bernoulli polynomials , as delineated in Section 3. For , a few of are as follows:
We conduct an investigation into the zeros of the q-truncated exponential Gould–Hopper-based Bernoulli polynomials, denoted as , utilizing computational methods. Specifically, we plot the zeros of the q-truncated Hopper–Bernoulli polynomials for (see Figure 1).
Figure 1.
Zeros of .
In Figure 1 (top left), the parameters are set as follows: , , , , and . In Figure 1 (top right), the parameters are , , , , and . In Figure 1 (bottom left), the parameters are , , , , and . In Figure 1 (bottom right), the parameters are , , , , and .
Stacks of zeros of the q-truncated Hopper–Bernoulli polynomials for , forming a 3D structure, are presented in Figure 2.
Figure 2.
Zeros of .
In Figure 2 (top left), the parameters are set as follows: and . In Figure 2 (top right), the parameters are and . In Figure 2 (bottom left), the parameters are and . In Figure 2 (bottom right), the parameters are and .
Plots of real zeros of q-truncated exponential Gould–Hopper-based Bernoulli polynomials for are presented in Figure 3.
Figure 3.
Real zeros of .
In Figure 3 (top left), the parameters are set as follows: , , , , and . In Figure 3 (top right), the parameters are , , , , and . In Figure 3 (bottom left), the parameters are , , , , and . In Figure 3 (bottom right), the parameters are , , , , and .
Subsequently, we computed an approximate solution that satisfies the q-truncated exponential Gould–Hopper-based Bernoulli polynomials for the parameters and . The results are presented in Table 2.
Table 2.
Approximate solutions of .
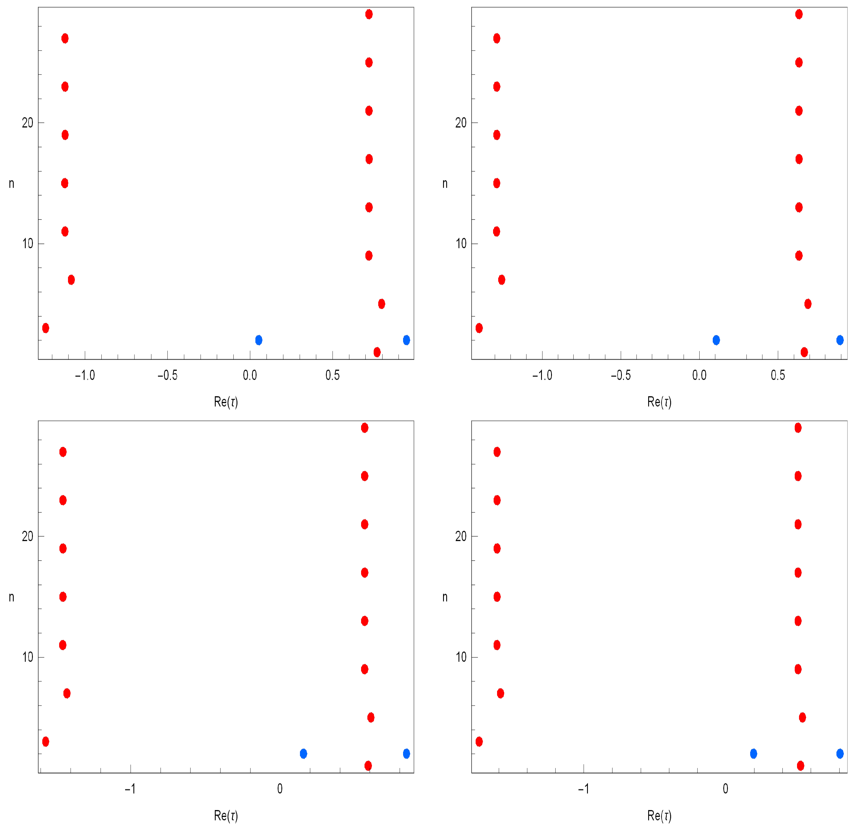
For , a few of are as follows:
We investigate the beautiful zeros of the q-truncated exponential Gould–Hopper-based Euler polynomials by using a computer. We plot the zeros of q-truncated Hopper–Euler polynomials for (Figure 4).
Figure 4.
Zeros of .
In Figure 4 (top left), the parameters are set as follows: , , , , and . In Figure 4 (top right), the parameters are , , , , and . In Figure 4 (bottom left), the parameters are , , , , and . In Figure 4 (bottom right), the parameters are , , , , and .
Figure 5 illustrates the three-dimensional structure formed by the zeros of the q-truncated Hopper–Euler polynomials for .
Figure 5.
Zeros of .
In Figure 5 (top left), the selected parameters are , , , , and . In Figure 5 (top right), the parameters remain as , , , and , with q adjusted to . In Figure 5 (bottom left), the parameters are consistent with , , , and , and q is set to . Finally, in Figure 5 (bottom right), the parameters are , , , and , and q is increased to .
Plots of real zeros of q-truncated Hopper–Euler polynomials for are presented in Figure 6.
Figure 6.
Real zeros of .
In Figure 6 (top left), the parameters are set as follows: , , , , and . In Figure 6 (top right), the parameters are , , , , and . In Figure 6 (bottom left), the parameters are , , , , and . In Figure 6 (bottom right), the parameters are , , , , and .
Subsequently, we computed an approximate solution that satisfies the q-truncated exponential Gould–Hopper-based Euler polynomials , with the parameters set as , , , , and . The results are presented in Table 3.
Table 3.
Approximate solutions of .
6. Conclusions
The concept of q-monomiality plays a pivotal role in the analysis of special polynomials, providing a framework for understanding their properties and relationships. This paper delves into a comprehensive examination of three-variable q-truncated exponential Gould–Hopper-based Appell polynomials within the context of q-monomiality. By systematically studying these polynomials, the authors uncover and elucidate various properties, contributing to a deeper understanding of their mathematical structure and behavior. The research extends beyond theoretical exploration, offering practical applications and insights. The authors present special cases of the newly established polynomials, accompanied by their determinantal forms. This approach not only demonstrates the versatility of the polynomials but also provides concrete examples for further study. Additionally, this paper includes an analysis of zeros and graphical representations for these special cases, offering visual and numerical insights into the polynomials’ behavior. These findings serve as a valuable resource for researchers, enabling them to apply the q-monomiality principle to investigate the properties of various polynomials and potentially uncover new mathematical relationships.
Author Contributions
Conceptualization, W.A.K., K.S.M., F.A.C. and C.K.; methodology, W.A.K., K.S.M., F.A.C. and C.K.; software, C.S.R.; validation, W.A.K., K.S.M., F.A.C., C.K. and C.S.R.; formal analysis, W.A.K.; investigation, W.A.K.; resources, W.A.K.; data curation, C.S.R.; writing—original draft preparation, W.A.K., K.S.M., F.A.C., C.K. and C.S.R.; writing—review and editing, W.A.K.; visualization, W.A.K., K.S.M., F.A.C., C.K. and C.S.R.; supervision, W.A.K., K.S.M., F.A.C. and C.K.; project administration, W.A.K. and K.S.M.; funding acquisition, K.S.M. All authors have read and agreed to the published version of the manuscript.
Funding
The research received no external funding.
Data Availability Statement
No data were used to support this study.
Acknowledgments
The researchers would like to thank the Deanship of Graduate Studies and Scientific Research at Qassim University for financial support (QU-APC-2025).
Conflicts of Interest
The authors declare no conflicts of interest.
References
- Andrews, G.E.; Askey, R.; Roy, R. Special Functions; Cambridge University Press: Cambridge, UK, 1999. [Google Scholar]
- Cao, J.; Razab, N.; Fadel, M. Two-variable q-Laguerre polynomials from the context of quasi-monomiality. J. Anal. Appl. 2024, 535, 128126. [Google Scholar] [CrossRef]
- Ernst, T. A Comprehensive Treatment of q-Calculus, Birkhäuser; Springer: Basel, Switzerland, 2012. [Google Scholar]
- Srivastava, H.M.; Manocha, H.L. A Treatise on Generating Functions; Ellis Horwood Ltd.: Chichester, UK, 1984. [Google Scholar]
- Choi, J. Recent Advances in Special Functions and Their Applications. Symmetry 2023, 15, 2159. [Google Scholar] [CrossRef]
- Costabile, F.A.; Khan, S.; Ali, H. A Study of the q-Truncated Exponential-Appell Polynomials. Mathematics 2024, 12, 3862. [Google Scholar] [CrossRef]
- Dattoli, G.; Migliorati, M.; Srivastava, H.M. A class of Bessel summation formulas and associated operational methods. Frac. Calcu. Appl. Anal. 2004, 7, 169–176. [Google Scholar]
- Khan, S.; Yasmin, G.; Ahmad, N. A note on truncated exponential based Appell polynomials. Bull. Malays. Math. Sci. Soc. 2017, 40, 373–388. [Google Scholar] [CrossRef]
- Özat, Z.; Çekim, B.; Özarslan, M.A.; Costabile, F.A. Truncated-Exponential-Based General-Appell Polynomials. Mathematics 2025, 13, 1266. [Google Scholar] [CrossRef]
- Baxhaku, B.; Agrawal, P.N.; Shukla, R. Bivariate positive linear operators constructed by means of q-Lagrange polynomials. J. Math. Anal. Appl. 2020, 491, 124337. [Google Scholar] [CrossRef]
- Kac, V.; Cheung, P. Quantum Calculus; Springer: New York, NY, USA, 2002. [Google Scholar]
- Askey, R. Limits of some q-Laguerre polynomials. J. Approx. Theory 1986, 46, 213–216. [Google Scholar] [CrossRef]
- Srivastava, H.M. Some characterization of Appell and q-Appell polynomials. Ann. Mat. Pura Appl. 1982, 130, 321–329. [Google Scholar] [CrossRef]
- Raza, N.; Fadel, M.; Cesarano, C. A note of q-truncated exponential polynomials. Carpathian Math. Publ. 2024, 16, 128–147. [Google Scholar] [CrossRef]
- Raza, N.; Fadel, M.; Khan, S.; Cesarano, C. Monomiality principle for q-polynomials: Introduction and Applications. Math. Mech. Complex Syst. 2024; in press. [Google Scholar]
- Florenini, R.; Vinet, L. Quantum algebras and q-special functions. Ann. Phys. 1993, 221, 53–70. [Google Scholar] [CrossRef]
- Al-Salam, W.A. q-Bernoulli numbers and polynomials. Math. Nachr. 1958, 17, 239–260. [Google Scholar] [CrossRef]
- Al-Salam, W.A. q-Appell polynomials. Ann. Mat. Pura Appl. 1967, 77, 31–45. [Google Scholar] [CrossRef]
- Ernst, T. q-Bernoulli and q-Euler polynomials, an umbral calculus approach. Int. J. Differ. Equ. 2006, 1, 31–80. [Google Scholar]
- Raza, N.; Fadel, M.; Cesarano, C. On monomiality property of q-Gould-Hopper-Appell polynomials. Arab J. Basic Appl. Sci. 2025, 32, 21–29. [Google Scholar] [CrossRef]
- Costabile, F.A.; Longo, E. A Determinantal Approach to Appell Polynomials. J. Comput. Appl. Math. 2010, 234, 1528–1542. [Google Scholar] [CrossRef]
- Costabile, F.A.; Gualtieri, M.T.; Napoli, A. General bivariate Appell polynomials via matrix calculus and related interpolation hints. Mathematics 2022, 9, 964. [Google Scholar] [CrossRef]
- Steffensen, J.F. The poweroid, an extension of the mathematical notion of power. Acta Math. 1941, 73, 333–366. [Google Scholar] [CrossRef]
- Dattoli, G. Hermite-Bessel and Laguerre-Bessel functions: A by-product of the monomiality principle. Adv. Spec. Funct. Appl. 2020, 1, 147–164. [Google Scholar]
- Dattoli, G.; Lorenzutta, S.; Mancho, A.M.; Torre, A. Generalized polynomials and associated operational identities. J. Comput. Appl. Math. 1999, 108, 209–218. [Google Scholar] [CrossRef]
- Dattoli, G.; Torre, A. Exponential operators, quasi-monomials and generalized polynomials. Radiat. Phys. Chem. 2000, 57, 21–26. [Google Scholar] [CrossRef]
- Zayed, M.; Wani, S.A.; Ramirez, W.; Cesarano, C. Advancements in q-Hermite-Appell polynomials: A three-dimensional exploration. AIMS Math. 2024, 9, 26799–26824. [Google Scholar] [CrossRef]
Disclaimer/Publisher’s Note: The statements, opinions and data contained in all publications are solely those of the individual author(s) and contributor(s) and not of MDPI and/or the editor(s). MDPI and/or the editor(s) disclaim responsibility for any injury to people or property resulting from any ideas, methods, instructions or products referred to in the content. |
© 2025 by the authors. Licensee MDPI, Basel, Switzerland. This article is an open access article distributed under the terms and conditions of the Creative Commons Attribution (CC BY) license (https://creativecommons.org/licenses/by/4.0/).





