Next Article in Journal
On the Stationary Measure for Markov Branching Processes
Next Article in Special Issue
Viscoelectric and Steric Effects on Electroosmotic Flow in a Soft Channel
Previous Article in Journal
A Make-to-Order Capacitated Lot-Sizing Model with Parallel Machines, Eligibility Constraints, Extra Shifts, and Backorders
Previous Article in Special Issue
The Linear Stability of a Power-Law Liquid Film Flowing Down an Inclined Deformable Plane
 
 
Font Type:
Arial Georgia Verdana
Font Size:
Aa Aa Aa
Line Spacing:
Column Width:
Background:
Article

General Solutions for Magnetohydrodynamic Unidirectional Motions of a Class of Fluids with Power-Law Dependence of Viscosity on Pressure Through a Planar Channel

by
Constantin Fetecau
1 and
Dumitru Vieru
2,3,*
1
Academy of Romanian Scientists, 3 Ilfov, 050044 Bucharest, Romania
2
Department of Mathematics, Saveetha School of Engineering, Saveetha Institute of Medical and Technical Sciences, Saveetha University, Chennai 602105, Tamil Nadu, India
3
Department of Theoretical Mechanics, Technical University of Iasi, 700050 Iasi, Romania
*
Author to whom correspondence should be addressed.
Mathematics 2025, 13(11), 1800; https://doi.org/10.3390/math13111800
Submission received: 29 April 2025 / Revised: 21 May 2025 / Accepted: 23 May 2025 / Published: 28 May 2025
(This article belongs to the Special Issue Advances and Applications in Computational Fluid Dynamics)

Abstract

An analytical study is conducted on unsteady, one-directional magnetohydrodynamic (MHD) flows of electrically conducting, incompressible, and viscous fluids, where the viscosity varies with pressure following a power-law relationship. The flow takes place within a planar channel and is driven by the lower plate, which moves along its own plane with an arbitrary, time-dependent speed. The effects of gravitational acceleration are also considered. General exact formulas are derived for both the dimensionless velocity of the fluid and the resulting non-zero shear stress. Moreover, these are the only general solutions for the MHD motions of the fluids considered, and they can produce precise solutions for any motion of this type for respective fluids. The proposed analytical method leads to simple forms of analytical solutions and can be useful in the study of other cases of fluids with viscosity depending on pressure. As an example, solutions related to the modified Stokes’ second problem are presented and confirmed through graphical validation. These solutions also help highlight the impact of the magnetic field on fluid dynamics and determine the time needed for the system to achieve a steady state. Graphical representations indicate that a steady state is reached more quickly and the fluid moves more slowly when a magnetic field is applied.

1. Introduction

In the last two decades, the motions of fluids with pressure-dependent viscosity have been extensively studied. Much of the experimental literature has proved that fluid viscosity can strongly increase at high pressures [1,2,3]. On the other hand, in early studies, Stokes [4] recognized that fluid viscosity can depend on pressure. In addition, this dependence cannot be neglected in a lot of engineering applications, like the processing of polymer melts, granular flow, pharmaceutical tablet manufacturing, microfluidics, geophysics, crude oil and fuel oil pumping [5,6,7,8], and elastohydrodynamic lubrication [9]. For the variation in viscosity with pressure p, two relations have usually been used in the existing literature, namely, η ( p ) = μ exp ( α p ) [10,11,12] and η ( p ) = μ ( 1 + α p ) [13,14], where α is the constant pressure–viscosity coefficient. The pressure–viscosity coefficient α can vary, for instance, between the limits 10–50 GPa 1 for polymer melts [15,16] and 10–70 GPa 1 for lubricants [17,18]. The fact that η ( p ) if p is a problem that was experimentally confirmed.
The existing problems involving the motions of fluids with pressure-dependent viscosity and properties of their solutions were investigated by Bulicek et al. [19] and Malek and Rajagopal [20]. Kannan and Rajagopal [21] studied the motions of such fluids between parallel plates and found that gravity has a significant effect on the flow characteristics of the fluids. Exact solutions for the steady Couette flow of fluids with linear, power-law, and exponential dependence of viscosity on the pressure were established by Rajagopal [14]. Other steady solutions for flows of the same fluids over an inclined plane were also obtained by Rajagopal [15] using a semi-inverse method. Steady-state solutions of modified Stokes’ problems for fluids with exponential and linear dependence of viscosity on the pressure were derived by Prusa [22]. Interesting results concerning unsteady modified Stokes’ problems were obtained by Rajagopal et al. [23] and Fetecau and Bridges [24]. Analytic solutions for the steady flow in a rectangular duct of fluids with linear dependence of viscosity on the pressure were provided by Akyldiz and Siginer [25] and Housiadas and Georgiou [26]. However, in these studies, the influence of the magnetic field was not taken into consideration.
Some exact solutions corresponding to MHD motions of incompressible viscous fluids with exponential and linear dependence of viscosity on pressure were recently obtained by Fetecau and Hanifa Hanif [27] and Fetecau and Morosanu [28], respectively. Our interest here is to provide general exact solutions for the isothermal unsteady motion of a class of incompressible viscous fluids with power-law dependence of viscosity on the pressure between two infinite horizontal parallel plates induced by the lower plate, which moves in its plane with an arbitrary time-dependent velocity in the presence of a uniform magnetic field acting perpendicular to the plates. Such solutions are lacking in the existing literature. The obtained solutions, which satisfy all imposed initial and boundary conditions, can generate the velocity field and shear stress corresponding to any motion of this kind for respective fluids. For illustration, the solutions corresponding to the modified Stokes’ second problem are provided, and the necessary time to reach the steady state is graphically determined.

2. Statement of the Problem

Let us consider that an electrically conducting incompressible viscous fluid with power-law dependence of viscosity on pressure is stationary between two infinite horizontal parallel flat plates. Its constitutive equation is
T = p I + μ ( p ) A = p I + α p 4 / 3 A .
In the above relation, T is the Cauchy stress tensor, I is the unit tensor, A is the first Rivlin–Ericksen tensor, p is the hydrostatic pressure, μ ( p ) is the fluid viscosity, and α > 0 is the dimensional pressure–viscosity coefficient. At the moment t = 0 + , the lower plate begins to slide in its plane with time-dependent velocity V f ( t ) , where V is constant and the continuous function f ( ) has a zero value at t = 0 .
We assume that the fluid is finitely conducting and that a magnetic field of constant strength B acts orthogonal to plates. Owing to the shear, the fluid begins to move. Since both plates are infinite in extent, all physical entities depend on x and t only in a convenient Cartesian coordinate system, x, y, and z, in which the x-axis is normal to the plates. We aim to obtain the velocity vector u and the hydrostatic pressure p of the form [22]
u = u ( x , t ) = u ( x , t ) e z ,   p = p ( x ) .
Assuming that the permeability of the fluid is constant, the induced magnetic field can be neglected, and since there is no electric charge distribution in the fluid, the balance of linear momentum reduces to the next relevant differential Equations [29]
ρ u ( x , t ) t = τ ( x , t ) x σ B 2 u ( x , t ) ,   d p ( x ) d x = ρ g .
The non-trivial shear stress τ ( x , t ) = S z x ( x , t ) is given by the relation
τ ( x , t ) = α p ( x ) 4 / 3 u ( x , t ) x ,
and the velocity u ( x , t ) has to satisfy the following initial and boundary conditions
u ( x , 0 ) = 0 ,   0 x d ;   u ( 0 , t ) = V f ( t ) ,   u ( d , t ) = 0   for   t > 0 ,
where d is the distance between plates. Integrating the second relation from the equalities (3) from zero to d, one finds that
p ( x ) = ρ g ( d x ) + p d   where   p d = p ( d ) .
By introducing p ( x ) from Equation (6) into (4), one obtains
τ ( x , t ) = α   [ ρ g ( d x ) + p d ] 4 3 u ( x , t ) x .
Next, we introduce the next non-dimensional variables and functions
u = 1 V u ,   τ = t 0 ρ d V τ ,   x = 1 d x ,   t = 1 t 0 t ,   f ( t ) = f ( t 0 t ) ,
and neglect the star notation. The governing equations take the non-dimensional forms
u ( x , t ) t = τ ( x , t ) x M u ( x , t ) ;   0 < x < 1 ,   t > 0 ,
τ ( x , t ) = ( β + 1 x ) 4 3 u ( x , t ) x ;   0 < x < 1 ,   t > 0 .
In these last two relations, the constant β = p d / ( ρ g d ) , while the magnetic parameter M and the characteristic time t 0 are given by the relations
M = σ B 2 ρ t 0 ,   t 0 = 1 α g d 2 ρ g 3 .
By replacing τ ( x , t ) from Equation (10) in (9), one finds the governing equation
u ( x , t ) t = ( β + 1 x ) 4 3 2 u ( x , t ) x 2 4 3 β + 1 x 3 u ( x , t ) x M u ( x , t ) = 0 ;   0 < x < 1 ,   t > 0 ,
for the dimensionless velocity field u ( x , t ) . The corresponding initial and boundary conditions are
u ( x , 0 ) = 0 ,   0 x 1 ;   u ( 0 , t ) = f ( t ) ,   u ( 1 , t ) = 0 ,   t > 0 .

3. Solutions

In this section, one finds general expressions for the dimensionless velocity field u ( x , t ) and the corresponding shear stress τ ( x , t ) . For the fluid velocity, the partial differential Equation (12) with the boundary and initial conditions (13) is solved using changes in the unknown function and independent variable and the finite Fourier sine transform. The shear stress τ ( x , t ) is determined by substituting the expression of u ( x , t ) in relation (10).

3.1. General Solutions

By making changes to the independent variable and the unknown function
z = β + 1 x 3 β 3 , u ( z , t ) = 1 z + β 3 w ( z , t ) + z   β + 1 3 β + 1 3 β 3 f ( t ) ,
the differential Equation (12) takes the simplified form
2 w ( z , t ) z 2 9 M w ( z , t ) = 9 w ( z , t ) t + 9 z   β + 1 3 β + 1 3 β 3 [ f ( t ) + M f ( t ) ] .
The new function w ( z , t ) has to satisfy the initial and boundary conditions
w ( z , 0 ) = 0 ,   0 z a ;   w ( 0 , t ) = w ( a , t ) = 0 ,   t > 0 ,
where the constant a = β + 1 3 β 3 .
Applying the finite Fourier sine transform [30] to Equation (15), and bearing in mind the conditions (16), one finds the ordinary differential equation with the initial condition
d w F n ( t ) d t + λ n 2 + 9 M 9 w F n ( t ) = ( 1 ) n β + 1 3 λ n [ f ( t ) + M f ( t ) ] ;   w F n ( 0 ) = 0 ,
where λ n = n π / a   ( n = 1 , 2 , 3 , ) and w F n ( t ) is the finite Fourier sine transform of the function w ( z , t ) .
The solution of this equation with the corresponding initial condition is
w F n ( t ) = ( 1 ) n   β + 1 3 λ n 0 t [ f ( s ) + M f ( s ) ] exp λ n 2 + 9 M 9 ( t s ) d s .
Now, applying the inverse finite Fourier sine transform to the equality (18), one finds the general expression of the function w ( z , t ) , namely:
w ( z , t ) = 2   β + 1 3 β + 1 3 β 3 n = 1   ( 1 ) n sin ( λ n z ) λ n 0 t [ f ( s ) + M f ( s ) ] exp λ n 2 + 9 M 9 ( t s ) d s .
Substituting w ( z , t ) from Equation (19) in (14) and coming back to the initial variable, one obtains the dimensionless velocity field u ( x , t )
u ( x , t ) =   β + 1 3 β + 1 x 3 β + 1 x 3 β 3 β + 1 3 β 3 f ( t ) + 2   β + 1 3 ( β + 1 3 β 3 )   β + 1 x 3 × n = 1   ( 1 ) n sin [ λ n ( β + 1 x 3 β 3 ) ] λ n 0 t [ f ( s ) + M f ( s ) ] exp λ n 2 + 9 M 9 ( t s ) d s .
The initial and boundary conditions (13) are clearly satisfied, and the expression of the corresponding shear stress τ ( x , t ) , namely,
τ ( x , t ) = 1 3   β ( β + 1 ) 3 β + 1 3 β 3 f ( t ) + 2 3   β + 1 3 β + 1 3 β 3 × n = 1 ( 1 ) n   sin [ λ n ( β + 1 x 3 β 3 ) ] λ n β + 1 x 3 cos [ λ n ( β + 1 x 3 β 3 ) ] λ n × 0 t [ f ( s ) + M f ( s ) ] exp λ n 2 + 9 M 9 ( t s ) d s ,
has been obtained by substituting u ( x , t ) from the equality (20) in (10).
The general expressions of the dimensionless velocity field u ( x , t ) and of the shear stress τ ( x , t ) , given by Equations (20) and (21), can generate exact solutions for any MHD motion of this kind of fluid with power-law dependence of viscosity on pressure that are considered here. Consequently, the problem in discussion is completely solved. For illustration, as well as to bring to light some characteristics of fluid behavior, the solutions corresponding to the second problem of Stokes will be provided. Of course, taking M = 0 in relations (20) and (21), one recovers the general expressions obtained by Fetecau and Vieru [31] for velocity u ( x , t ) and shear stress τ ( x , t ) .

3.2. Study Cases f ( t ) = H ( t ) cos ( ω t ) or H ( t ) sin ( ω t ) (Modified Stokes’ Second Problem)

By substituting f ( t ) by H ( t ) cos ( ω t ) or H ( t ) sin ( ω t ) in Equations (20) and (21) ( H ( t ) being the Heaviside unit step function), one obtains analytic expressions for the velocities fields and the shear stresses u c ( x , t ) ,   τ c ( x , t ) ,   u s ( x , t ) ,   τ s ( x , t ) corresponding to motions of the fluids in discussion induced by cosine or sine oscillations of the lower plate, respectively. Since both motions become steady in time, these physical entities can be written as the sum of their steady-state (permanent or long time) and transient components. The non-dimensional velocity, for instance, can be presented in the forms:
u c ( x , t ) = [ u c s ( x , t ) + u c t ( x , t ) ] H ( t ) ,   u s ( x , t ) = [ u s s ( x , t ) + u s t ( x , t ) ] H ( t ) ,
where
u c s ( x , t ) = ( β + 1 x 3 β 3 ) β + 1 3 ( β + 1 3 β 3 ) β + 1 x 3 cos ( ω t ) + 18 ω   β + 1 3 ( β + 1 3 β 3 )   β + 1 x 3 × n = 1 9 ω cos ( ω t ) ( λ n 2 + 9 M ) sin ( ω t ) ( λ n 2 + 9 M ) 2 + 81 ω 2 ( 1 ) n sin [ λ n ( β + 1 x 3 β 3 ) λ n + 18 M   β + 1 3 ( β + 1 3 β 3 )   β + 1 x 3 n = 1   ( λ n 2 + 9 M ) cos ( ω t ) + 9 ω sin ( ω t ) ( λ n 2 + 9 M ) 2 + 81 ω 2 ( 1 ) n sin [ λ n ( β + 1 x 3 β 3 ) λ n ,
u c t ( x , t ) = 2   β + 1 3 ( β + 1 3 β 3 ) β + 1 x 3 × n = 1 ( 1 ) n λ n ( λ n 2 + 9 M ) sin [ λ n ( β + 1 x 3 β 3 ) ( λ n 2 + 9 M ) 2 + 81 ω 2 exp λ n 2 + 9 M 9 t ,
u s s ( x , t ) = ( β + 1 x 3 β 3 ) β + 1 3 ( β + 1 3 β 3 ) β + 1 x 3 sin ( ω t ) + 18 ω β + 1 3 ( β + 1 3 β 3 )   β + 1 x 3 × n = 1 ( λ n 2 + 9 M ) cos ( ω t ) + 9 ω sin ( ω t ) ( λ n 2 + 9 M ) 2 + 81 ω 2 ( 1 ) n sin [ λ n ( β + 1 x 3 β 3 ) λ n + 18 M     β + 1 3 ( β + 1 3 β 3 )   β + 1 x 3 n = 1   ( λ n 2 + 9 M ) sin ( ω t ) 9 ω cos ( ω t ) ( λ n 2 + 9 M ) 2 + 81 ω 2 ( 1 ) n sin [ λ n ( β + 1 x 3 β 3 ) λ n ,
u s t ( x , t ) = 18 ω β + 1 3 ( β + 1 3 β 3 )   β + 1 x 3 × n = 1 ( 1 ) n λ n sin [ λ n ( β + 1 x 3 β 3 ) ] ( λ n 2 + 9 M ) 2 + 81 ω 2 exp λ n 2 + 9 M 9 t   .
In the absence of the magnetic field, taking M = 0 in the above relations, one recovers the solutions obtained by Fetecau and Vieru [31].
By substituting the velocity fields u c s ( x , t ) ,   u c t ( x , t ) ,   u s s ( x , t ) and u s t ( x , t ) from Equations (23)–(26) in (10), one obtains the expressions of the corresponding dimensionless shear stresses τ c s ( x , t ) ,     τ c t ( x , t ) ,     τ s s ( x , t ) and τ s t ( x , t ) , namely,
τ c s ( x , t ) = β ( β + 1 ) 3 3 ( β + 1 3 β 3 ) cos ( ω t ) 6 ω β + 1 3 β + 1 3 β 3 × n = 1 ( 1 ) n { sin [ λ n ( β + 1 x 3 β 3 ) ] λ n β + 1 x 3 cos [ λ n ( β + 1 x 3 β 3 ) ] } λ n × ( λ n 2 + 9 M ) sin ( ω t ) 9 ω cos ( ω t ) ( λ n 2 + 9 M ) 2 + 81 ω 2 + 6 M   β + 1 3 β + 1 3 β 3 × n = 1 ( 1 ) n { sin [ λ n ( β + 1 x 3 β 3 ) ] λ n β + 1 x 3 cos [ λ n ( β + 1 x 3 β 3 ) ] } λ n × ( λ n 2 + 9 M ) cos ( ω t ) + 9 ω sin ( ω t ) ( λ n 2 + 9 M ) 2 + 81 ω 2 ,
τ c t ( x , t ) = 2   β + 1 3 3 ( β + 1 3 β 3 ) n = 1 ( 1 ) n λ n ( λ n 2 + 9 M ) ( λ n 2 + 9 M ) 2 + 81 ω 2   sin [ λ n ( β + 1 x 3 β 3 ) ] λ n β + 1 x 3 cos [ λ n ( β + 1 x 3 β 3 ) ] exp λ n 2 + 9 M 9 t ,
τ s s ( x , t ) = β ( β + 1 ) 3 β + 1 3 β 3 sin ( ω t ) + 6 ω β + 1 3 β + 1 3 β 3 × n = 1 ( 1 ) n { sin [ λ n ( β + 1 x 3 β 3 ) ] λ n β + 1 x 3 cos [ λ n ( β + 1 x 3 β 3 ) ] } λ n × ( λ n 2 + 9 M ) cos ( ω t ) + 9 ω sin ( ω t ) ( λ n 2 + 9 M ) 2 + 81 ω 2 + 6 M   β + 1 3 β + 1 3 β 3 × n = 1 ( 1 ) n { sin [ λ n ( β + 1 x 3 β 3 ) ] λ n β + 1 x 3 cos [ λ n ( β + 1 x 3 β 3 ) ] } λ n × ( λ n 2 + 9 M ) sin ( ω t ) 9 ω cos ( ω t ) ( λ n 2 + 9 M ) 2 + 81 ω 2 ,
τ s t ( x , t ) = 6 ω β + 1 3 β + 1 3 β 3 × n = 1 ( 1 ) n λ n { sin [ λ n ( β + 1 x 3 β 3 ) ] λ n β + 1 x 3 cos [ λ n ( β + 1 x 3 β 3 ) ] } ( λ n 2 + 9 M ) 2 + 81 ω 2 exp λ n 2 + 9 M 9 t ,
It is well known that the steady-state velocities u c s ( x , t ) ,     u s s ( x , t ) are independent of the initial conditions, but they satisfy the boundary conditions and governing equation. These steady-state velocities are important for experimental researchers who want to know the transition moment of a motion to a steady state. In order to determine this moment, the steady-state solutions are necessary and sufficient. In the last section, the required time to reach the steady state will be determined for distinct values of the magnetic parameter M.

3.3. New Expressions for the Steady-State Solutions of the Second Problem of Stokes

To check the previous results, new equivalent expressions are determined for the steady-state velocities u c s ( x , t ) ,     u s s ( x , t ) and the shear stresses τ c s ( x , t ) ,     τ s s ( x , t ) . In order to find both velocities at the same time, let us introduce the complex velocity
u c p ( x , t ) = u c s ( x , t ) + i u s s ( x , t ) ;       0 < x < 1 ,     t R ,
where i is the imaginary unit. This velocity has to satisfy the governing equation
u c p ( x , t ) t = ( β + 1 x ) 4 3 2 u c p ( x , t ) x 2 4 3 β + 1 x 3 u c p ( x , t ) x M u c p ( x , t ) = 0 ;       0 < x < 1 ,       t > 0 ,
and the boundary conditions
u c p ( 0 , t ) = e i ω t ,     u c p ( 1 , t ) = 0 ;       t R .
By making changes to the independent variable and the unknown function
r = β + 1 x 3 ,     u c p ( r , t ) = 1 r w c p ( r , t ) ,
one attains the following boundary value problem
2 w c p ( r , t ) r 2 + 1 r w c p ( r , t ) r 1 4 r 2 w c p ( r , t ) 9 M w c p ( r , t ) = 9 w c p ( r , t ) t ,
w c p ( b , t ) = 0 ,     w c p ( c ) = c   e i ω t ,  
where b = β 3 and c = β + 1 3 .
Bearing in mind the form of the boundary conditions (36) and the fact that the governing Equation (35) is homogeneous, we aim to obtain a separable solution of the form
w c p ( r , t ) = W ( r ) e i ω t .
By introducing w c p ( r , t ) from Equation (37) in (35), for the complex function W ( r ) , one finds the ordinary differential equation
d 2 W ( r ) d r 2 + 1 r d W ( r ) d r 9 ( i ω + M ) + 1 4 r 2 W ( r ) = 0 ,
with the boundary conditions
W ( b ) = 0 ,     W ( c ) = c .
By making a new change to the independent variable in Equation (38), namely, z = 3 i r i ω + M , it results that W ( z ) has to satisfy the Bessel equation
z 2 d 2 W ( z ) d z 2 + z d W ( z ) d z + z 2 1 4 W ( z ) = 0 .
The general solution of this equation is given by the relation
W ( z ) = C 1 J 1 / 2 ( z ) + C 2 Y 1 / 2 ( z ) ,
where J 1 / 2 ( ) and Y 1 / 2 ( ) are Bessel functions of the first and second kind of order 1/2.
Simple computations help us to determine the function W ( z ) using the boundary conditions (39); coming back to the independent variable r, the function W ( r ) is given by the relation
W ( r ) = c Y 1 / 2 ( γ   b ) J 1 / 2 ( γ   r ) J 1 / 2 ( γ   b ) Y 1 / 2 ( γ   r ) Y 1 / 2 ( γ   b ) J 1 / 2 ( γ   c ) J 1 / 2 ( γ   b ) Y 1 / 2 ( γ   c ) ,
where γ = 3 i i ω + M . By introducing W ( r ) into Equation (37), one obtains w c p ( r , t ) , which, together with the relations (34), implies
u c p ( x , t ) = β + 1 6 β + 1 x 6 Y 1 / 2 ( γ   b ) J 1 / 2 ( γ     β + 1 x 3 ) J 1 / 2 ( γ   b ) Y 1 / 2 ( γ     β + 1 x 3 ) Y 1 / 2 ( γ   b ) J 1 / 2 ( γ   c ) J 1 / 2 ( γ   b ) Y 1 / 2 ( γ   c ) e i ω t .
Finally, from Equations (31) and (43), the dimensionless steady-state velocities u c s ( x , t ) and u s s ( x , t ) can be presented in the equivalent forms
u c s ( x , t ) = β + 1 6 β + 1 x 6 Re Y 1 / 2 ( γ   b ) J 1 / 2 ( γ     β + 1 x 3 ) J 1 / 2 ( γ   b ) Y 1 / 2 ( γ     β + 1 x 3 ) Y 1 / 2 ( γ   b ) J 1 / 2 ( γ   c ) J 1 / 2 ( γ   b ) Y 1 / 2 ( γ   c ) e i ω t .
u s s ( x , t ) = β + 1 6 β + 1 x 6 Im Y 1 / 2 ( γ   b ) J 1 / 2 ( γ     β + 1 x 3 ) J 1 / 2 ( γ   b ) Y 1 / 2 ( γ     β + 1 x 3 ) Y 1 / 2 ( γ   b ) J 1 / 2 ( γ   c ) J 1 / 2 ( γ   b ) Y 1 / 2 ( γ   c ) e i ω t ,
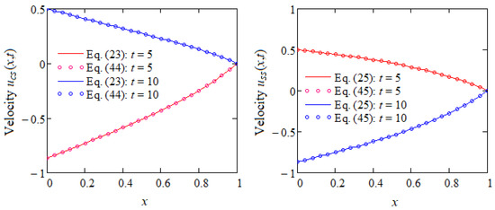
where Re and Im mean the real part and the imaginary part of that which follows. Figure 1 clearly shows the equivalence of the expressions of u c s ( x , t ) and u s s ( x , t ) given by the equalities (23), (44) and (25), (45), respectively.
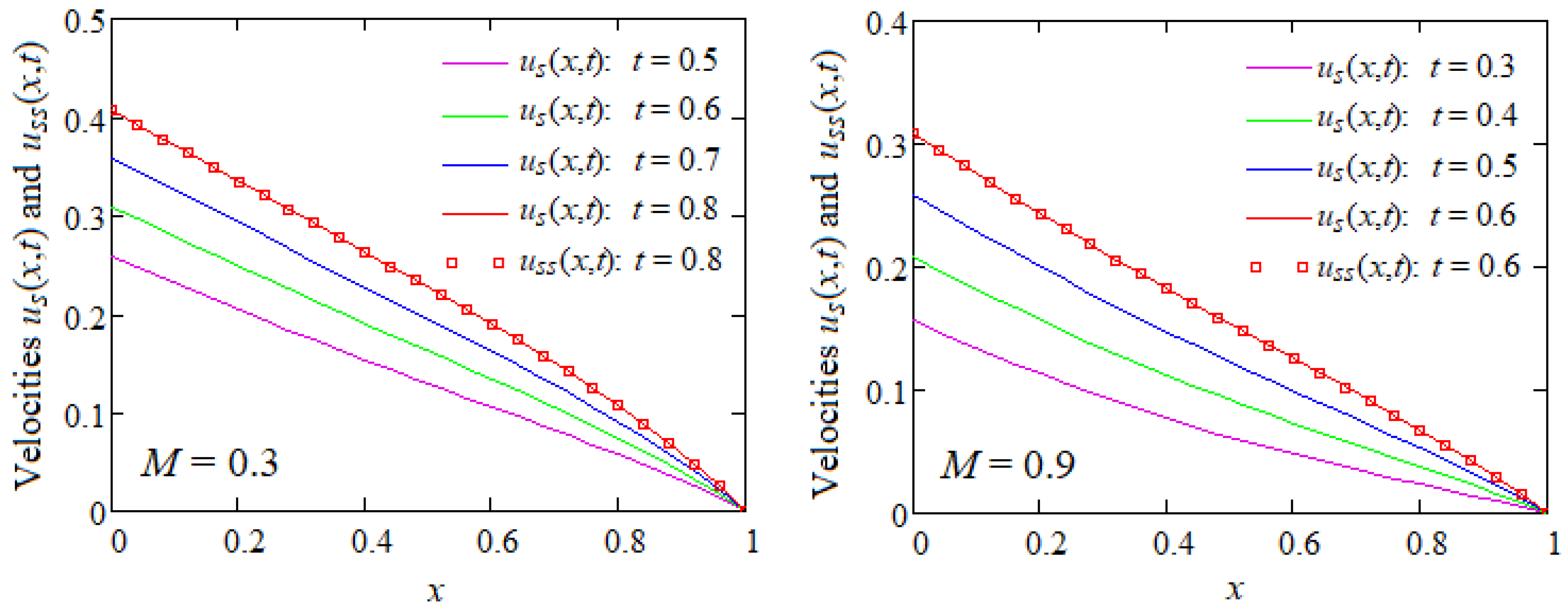
Similar expressions for the steady-state shear stresses τ c s ( x , t ) and τ s s ( x , t ) , namely,
τ c s ( x , t ) = 1 3 β + 1 x   β + 1 6 × Re Y 1 / 2 ( γ   b ) J 3 / 2 ( γ     β + 1 x 3 ) J 1 / 2 ( γ   b ) Y 3 / 2 ( γ     β + 1 x 3 ) Y 1 / 2 ( γ   b ) J 1 / 2 ( γ   c ) J 1 / 2 ( γ   b ) Y 1 / 2 ( γ   c ) γ   e i ω t ,
τ s s ( x , t ) = 1 3 β + 1 x   β + 1 6 × Im Y 1 / 2 ( γ   b ) J 3 / 2 ( γ     β + 1 x 3 ) J 1 / 2 ( γ   b ) Y 3 / 2 ( γ     β + 1 x 3 ) Y 1 / 2 ( γ   b ) J 1 / 2 ( γ   c ) J 1 / 2 ( γ   b ) Y 1 / 2 ( γ   c ) γ   e i ω t ,
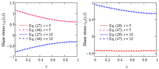
were obtained by substituting u c s ( x , t ) and u s s ( x , t ) from Equations (44) and (45) in (10). Figure 2 clearly shows the equivalence of the expressions of τ c s ( x , t ) and τ s s ( x , t ) given by the relations (27), (46) and (29), (47), respectively.

3.4. Study Case f ( t ) = H ( t ) (Modified Stokes’ First Problem)

By substituting f ( t ) by H ( t ) in Equations (20) and (21), one finds the expressions of the velocity field u C ( x , t ) and shear stress τ C ( x , t ) corresponding to the fluid motion induced by the lower plate that slides along its plane with the constant velocity V. By making ω = 0 in Equations (23), (24), (27) and (28), one recovers the expressions of their steady and transient components
u C s ( x ) = ( β + 1 x 3 β 3 ) β + 1 3 ( β + 1 3 β 3 ) β + 1 x 3 + 18 M     β + 1 3 ( β + 1 3 β 3 )   β + 1 x 3 n = 1 ( 1 ) n sin [ λ n ( β + 1 x 3 β 3 ) ( λ n 2 + 9 M ) λ n ,
u C t ( x , t ) = 2   β + 1 3 ( β + 1 3 β 3 ) β + 1 x 3 × n = 1 ( 1 ) n λ n sin [ λ n ( β + 1 x 3 β 3 ) ] λ n 2 + 9 M exp λ n 2 + 9 M 9 t ,
τ C s ( x ) = β ( β + 1 ) 3 ( β + 1 3 β 3 ) + 6 M β + 1 3 β + 1 3 β 3 × n = 1 ( 1 ) n { sin [ λ n ( β + 1 x 3 β 3 ) ] λ n β + 1 x 3 cos [ λ n ( β + 1 x 3 β 3 ) ] } λ n ( λ n 2 + 9 M ) ,
τ C t ( x , t ) = 2   β + 1 3 3 ( β + 1 3 β 3 ) × n = 1 ( 1 ) n λ n { sin [ λ n ( β + 1 x 3 β 3 ) ] λ n β + 1 x 3 cos [ λ n ( β + 1 x 3 β 3 ) ] } λ n 2 + 9 M exp λ n 2 + 9 M 9 t ,
which were recently obtained by Fetecau and Vieru [32]. Equivalent expressions for the steady components u C s ( x ) and τ C s ( x ) , namely,
u C s ( x ) = β + 1 6 β + 1 x 6 × Re Y 1 / 2 ( 3 i   b M ) J 1 / 2 ( 3 i M       β + 1 x 3 ) J 1 / 2 ( 3 i   b M ) Y 1 / 2 ( 3 i M     β + 1 x 3 ) Y 1 / 2 ( 3 i   b M ) J 1 / 2 ( 3 i   c M ) J 1 / 2 ( 3 i   b M ) Y 1 / 2 ( 3 i   c M ) ,
τ C s ( x ) = M ( β + 1 x )     β + 1 3 × Re Y 1 / 2 ( 3 i   b M ) J 1 / 2 ( 3 i M ( β + 1 x ) J 1 / 2 ( 3 i   b M ) Y 1 / 2 ( 3 i M ( β + 1 x ) Y 1 / 2 ( 3 i   b M ) J 1 / 2 ( 3 i   c M ) J 1 / 2 ( 3 i   b M ) Y 1 / 2 ( 3 i   c M )   i ,
were obtained by making ω = 0 in Equations (44) and (46).

4. Numerical Results

In this study, isothermal unidirectional motions of some incompressible viscous fluids with power-law dependence of viscosity on pressure were investigated under the influence of the magnetic field and gravitational acceleration. Fluid motion between two infinite horizontal parallel plates is induced by the lower plate that moves in its plane with time-dependent velocity V f ( t ) . Closed-form expressions were derived for the dimensionless velocity field u ( x , t ) and the non-trivial shear stress τ ( x , t ) . These expressions can generate exact solutions for any motion of this kind for respective fluids. Consequently, the problem in discussion is completely solved. For illustration, the solutions corresponding to the modified Stokes’ second problem are provided, and their steady-state components are presented in different forms, whose equivalence is graphically proved in Figure 1 and Figure 2.
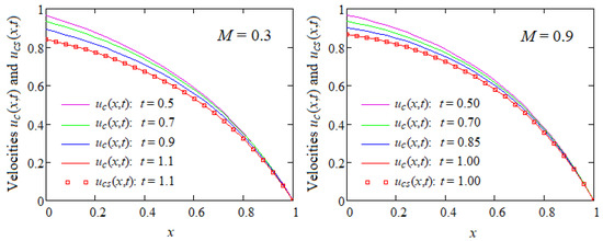
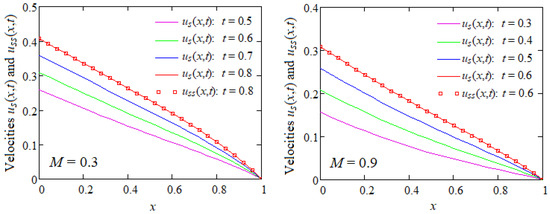
In the following, in order to bring to light some characteristics of fluid motion, Figure 3, Figure 4, Figure 5, Figure 6, Figure 7 and Figure 8 show the velocity fields u c ( x , t ) , u s ( x , t ) , u c s ( x , t ) , u s s ( x , t ) , and u ( x , t ) corresponding to f ( t ) = 1 exp ( t ) . The numerical values of the parameters M and β were arbitrarily chosen to highlight their influence on the fluid’s behavior. Figure 3 and Figure 4 show the convergence of the dimensionless starting velocities u c ( x , t ) and u s ( x , t ) to their steady-state components u c s ( x , t ) and u s s ( x , t ) , respectively, for increasing values of time t. They give the necessary time to reach the steady state for these motions. From a mathematical point of view, this is the time after which the diagrams of the starting velocities u c ( x , t ) and u s ( x , t ) superpose over those of their steady-state components. This time, which indicates the transition moment of the motion to a steady state, is very important for experimental researchers. As shown in these figures, it declines for increasing values of the magnetic parameter M.
Consequently, the steady state is reached earlier in the presence of a magnetic field. In addition, the time to arrive at the steady state is smaller for motions due to sine oscillations of the plate. This is obvious because at the moment t = 0 + , the velocity of both walls is zero for motions induced by sine oscillations of the plate. In addition, these figures also show that the boundary condition is satisfied and the fluid velocity diminishes for increasing values of M. This means that the fluid moves slower in the presence of the magnetic field.
Figure 5 and Figure 6 present the time variations in the starting velocities u c ( x , t ) and u s ( x , t ) at the middle of the channel for increasing values of the parameter β and distinct values of the magnetic parameter M. The oscillatory behavior of the two motions and the phase difference between them are clearly brought to light. Moreover, as expected, the amplitudes of their oscillations are identical at the same values of parameters and decline for increasing values of β or the magnetic parameter M. This means that the fluid moves slower if the pressure p d at the level of the upper plate increases or if a magnetic field is present.
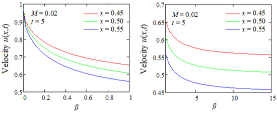
The dimensionless pressure parameter β influences the fluid viscosity values and, implicitly, the shear stress and fluid velocity. For completeness, the influence of this parameter on fluid velocity is highlighted in Figure 7 and Figure 8. In the numerical simulations, small and large values of the β coefficient were considered for two different values of the dimensionless magnetic parameter M. The time-dependent velocity of the lower wall of the channel is given by the function f ( t ) = 1 exp ( t ) . The curves in Figure 7 and Figure 8 represent the velocity profiles in three neighboring fluid layers located in the median part of the channel. It is observed that for small values of the parameter β , the fluid velocity values are significantly different in the three analyzed layers. This is due to the fact that for small values of the parameter β , the increase in fluid viscosity values is reduced, so the slowing down of the fluid movement by viscous forces will be smaller.
For large values of the parameter β , the viscosity of the fluid has significantly higher values; therefore, the movement of the fluid will be slowed down by the viscous forces. In the graphs presented in Figure 8, it can be seen that the values of the velocities in the analyzed layers are very close and tend to become almost constant for large values of β . As expected, the layers located closer to the lower wall move with a higher speed because of the influence of the velocity of this wall. It is also observed that the increase in the values of the magnetic parameter M has the effect of slowing down the fluid movement. This is due to the effect of the Lorentz force, which has the effect of breaking the movement.

5. Conclusions

The main results of the present study consist of determining the analytical solutions of the initial boundary value problem in the general case, where the fluid velocity on the lower wall of the channel is given by an arbitrary time-dependent function. The results obtained can generate exact solutions for any such movement of respective fluids. Therefore, the motion problem considered for the respective fluids is completely solved.
For illustration, as well as to highlight some characteristics of fluid behavior, some concrete cases were considered, and the corresponding solutions were provided. Graphical representations of the steady-state and starting velocity fields for different values of the physical parameters M and β , as well as the general results that were obtained, which led us to the following conclusions:
-
The MHD motions of some electrically conducting incompressible viscous fluids with power-law dependence of viscosity on pressure were analytically investigated.
-
General expressions were established for the velocity field and non-trivial shear stress. They can generate exact solutions for any such motion of respective fluids.
-
For illustration, the solutions for the modified Stokes’ second problem were provided, and the correctness of their steady-state components was graphically proved.
-
Similar solutions of the modified Stokes’ first problem for the same fluids with pressure-dependent viscosity were obtained as a limiting case of the present results.
-
Graphical representations showed that the fluid moves slower and the steady state appears earlier in the presence of the magnetic field.
-
Fluid velocity decreases if the dimensional pressure parameter β increases.
Finally, we mention that the present results can be extended to MHD motions of other viscous fluids with power-law dependence of viscosity on pressure.

Author Contributions

Conceptualization, C.F. and D.V.; methodology, C.F. and D.V.; software, D.V.; validation, C.F. and D.V.; formal analysis, D.V.; investigation, C.F. and D.V.; resources, D.V.; data curation, C.F. and D.V.; writing—original draft preparation, C.F.; writing—review and editing, C.F.; visualization, C.F. and D.V.; supervision, C.F. and D.V.; project administration, D.V. All authors have read and agreed to the published version of the manuscript.

Funding

This research received no external funding.

Data Availability Statement

The data are contained within this article.

Acknowledgments

The authors would like to express their gratitude to the Editor and Reviewers for the careful assessment and fruitful recommendations.

Conflicts of Interest

The authors declare no conflicts of interest.

Nomenclature

d [ m ] Distance between channel’s walls
p [ N m 2 ] Mechanical pressure
T [ N m 2 ] Cauchy stress tensor
u [ m s 1 ] Velocity vector
I [ ] Unit tensor
A [ s 1 ] First Rivlin-Ericksen tensor
g [ m s 2 ] Gravitational acceleration vector
M [ ] Magnetic parameter
u [ ] Dimensionless velocity component in x-direction
α [ N 1 / 3 m 2 / 3 s ] Dimensional pressure coefficient
β [ ] Dimensionless pressure parameter
ρ [ K g m 3 ] Fluid density
μ [ N s m 2 ] Dynamic viscosity
τ [ ] Dimensionless shear stress
λ n [ ] Eigenvalues
w F n [ ] Sine-Fourier transform of function w
J ν ( ) Bessel function of first kind and order ν
Y ν ( ) Bessel function of second kind of order ν

References

  1. Griest, E.M.; Webb, W.; Schiessler, R.W. Effect of pressure on viscosity of high hydrocarbons and their mixture. J. Chem. Phys. 1958, 29, 711–720. [Google Scholar] [CrossRef]
  2. Johnson, K.L.; Tevaarwerk, J.L. Shear behavior of elastohydrodynamic oil films. Proc. R. Soc. Lond. Ser. A 1977, 356, 215–236. [Google Scholar] [CrossRef]
  3. Johnson, K.L.; Greenwood, J.A. Thermal analysis of an Eyring fluid in elastohydrodynamic traction. Wear 1980, 61, 355–371. [Google Scholar] [CrossRef]
  4. Stokes, G.G. On the theories of the internal friction of fluids in motion and of the equilibrium motion of elastic solids. Trans. Cambridge Phil. Soc. 1845, 8, 287–305. [Google Scholar]
  5. Renardy, M. Parallel shear flows of fluids with a pressure dependent viscosity. J. Non-Newton. Fluid Mech. 2003, 114, 229–236. [Google Scholar] [CrossRef]
  6. Le Roux, C. Flow of fluids with pressure dependent viscosities in an orthogonal rheometer subject to slip boundary conditions. Meccanica 2009, 44, 71–83. [Google Scholar] [CrossRef]
  7. Martinez-Boza, F.J.; Martin-Alfonso, M.J.; Callegas, C.; Fernandez, M. High-pressure behavior of intermediate fuel oils. Energy Fuels 2011, 25, 5138–5144. [Google Scholar] [CrossRef]
  8. Dealy, J.M.; Wang, J. Melt Rheology and Its Applications in the Plastic Industry, 2nd ed.; Springer: Dordrecht, The Netherlands, 2013. [Google Scholar]
  9. Fusi, L. Unidirectional flows of a Herschel-Bulkley fluid with pressure-dependent rheological moduli. Eur. Phys. J. Plus 2020, 135, 544. [Google Scholar] [CrossRef]
  10. Barus, C. Isothermals, isopiestics and isometric relative to viscosity. Am. J. Sci. 1893, 3, 87–96. [Google Scholar] [CrossRef]
  11. Hron, J.; Malek, J.; Rajagopal, K.R. Simple flows of fluids with pressure dependent viscosities. Proc. R. Soc. Lond. A 2001, 457, 1603–1622. [Google Scholar] [CrossRef]
  12. Karra, S.; Prusa, V.; Rajagopal, K.R. On Maxwell fluids with relaxation time and viscosity depending on the pressure. Int. J. Non-Linear Mech. 2011, 46, 819–827. [Google Scholar] [CrossRef]
  13. Rajagopal, K.R. Couette flows of fluids with pressure dependent viscosity. Int. J. Appl. Mech. Eng. 2004, 9, 573–585. [Google Scholar]
  14. Rajagopal, K.R. A semi-inverse problem of flows of fluids with pressure-dependent viscosities. Inverse Probl. Sci. Eng. 2008, 16, 269–280. [Google Scholar] [CrossRef]
  15. Denn, M.M. Polymer Melt Processing; Cambridge University Press: Cambridge, UK, 2008. [Google Scholar]
  16. Calusi, B.; Palade, L.I. Modeling of a fluid with pressure-dependent viscosity in Helle-Show flow. Modelling 2024, 5, 1490–1504. [Google Scholar] [CrossRef]
  17. Bair, S.; Kottke, P. Pressure-viscosity relationships for elastohydrodynamics. Tribol. Trans. 2003, 46, 289–295. [Google Scholar] [CrossRef]
  18. Kottke, P.A.; Bair, S.S.; Winer, W.O. The measurement of viscosity of liquids under tension. ASME. J. Tribol. 2003, 125, 260–266. [Google Scholar] [CrossRef]
  19. Bulicek, M.; Malek, J.; Rajagopal, K.R. Mathematical analysis of unsteady flows of fluids with pressure, shear-rate, and temperature dependent material moduli that slip at solid boundaries. SIAM J. Math. Anal. 2009, 41, 665–707. [Google Scholar] [CrossRef]
  20. Malek, J.; Rajagopal, K.R. Mathematical Properties of the Solutions to the Equations Governing the Flow of Fluid with Pressure and Shear Rate Dependent Viscosities. In Handbook of Mathematical Fluid Dynamics; Elsevier: Amsterdam, The Netherlands, 2007; Volume 4, pp. 407–444. [Google Scholar]
  21. Rajagopal, K.R.; Kannan, K. Flows of Fluids with Pressure Dependent Viscosities Between Rotating Parallel Plates. In New Trends in Mathematical Physics; Fergola, P., Capone, F., Gentile, M., Guerriero, G., Eds.; World Scientific: Singapore, 2005; pp. 172–183. [Google Scholar] [CrossRef]
  22. Prusa, V. Revisiting Stokes first and second problems for fluids with pressure-dependent viscosities. Int. J. Eng. Sci. 2010, 48, 2054–2065. [Google Scholar] [CrossRef]
  23. Rajagopal, K.R.; Saccomandi, G.; Vergori, L. Unsteady flows of fluids with pressure dependent viscosity. J. Math. Anal. Appl. 2013, 404, 362–372. [Google Scholar] [CrossRef]
  24. Fetecau, C.; Bridges, C. Analytical solutions for some unsteady flows of fluids with linear dependence of viscocity on the pressure. Inverse Probl. Sci. Eng. 2021, 29, 378–395. [Google Scholar] [CrossRef]
  25. Akyildiz, F.I.; Siginer, D. A note on the steady flow of Newtonian fluids with pressure dependent viscosity in a rectangular duct. Int. J. Eng. Sci. 2016, 104, 1–4. [Google Scholar] [CrossRef]
  26. Housiadas, K.D.; Georgiou, G.C. Analytical solution of the flow of a Newtonian fluid with pressure-dependent viscosity in a rectangular duct. Appl. Math. Comput. 2018, 322, 123–128. [Google Scholar] [CrossRef]
  27. Fetecau, C.; Hanif, H. Effects of magnetic field on modified Stokes problems involving fluids whose viscosity depends exponentially on pressure. Axioms 2025, 14, 124. [Google Scholar] [CrossRef]
  28. Fetecau, C.; Morosanu, C. General solutions for MHD motions of viscous fluids with viscosity linearly dependent on pressure in a planar channel. IgMin Res. 2025, 3, 104–112. [Google Scholar] [CrossRef]
  29. Rossow, V.J. On flow of electrically conducting fluids over a flat plate in the presence of a transverse magnetic field. NACA TR Tech. Rep. 1958, 1957, 489–508. [Google Scholar]
  30. Sneddon, I.N. Fourier Transforms; McGRAW-HILL Book Company, Inc.: New York, NY, USA; Toronto, ON, Canada; London, UK, 1951. [Google Scholar]
  31. Fetecau, C.; Vieru, D. Exact solutions for unsteady motion between parallel plates of some fluids with power-law dependence of viscosity on the pressure. Appl. Eng. Sci. 2020, 1, 10000. [Google Scholar] [CrossRef]
  32. Fetecau, C.; Vieru, D. A note on magnetic effects on the modified Stokes’ first problem for fluids with power-law dependence of viscosity on pressure. Ann. Acad. Rom. Sci. Ser. Math. Appl. 2025. submitted. [Google Scholar]
Figure 1. Equivalence of the expressions of u c s ( x , t ) and u s s ( x , t ) given by Equations (23), (44) and (25), (45), respectively, when β = 0.5 ,   ω = π / 6 ,   M = 0.8 .
Figure 1. Equivalence of the expressions of u c s ( x , t ) and u s s ( x , t ) given by Equations (23), (44) and (25), (45), respectively, when β = 0.5 ,   ω = π / 6 ,   M = 0.8 .
Mathematics 13 01800 g001
Figure 2. Equivalence of the expressions of τ c s ( x , t ) and τ s s ( x , t ) given by Equations (27), (46) and (29), (47), respectively, when β = 0.5 ,   ω = π / 6 ,   M = 0.8 .
Figure 2. Equivalence of the expressions of τ c s ( x , t ) and τ s s ( x , t ) given by Equations (27), (46) and (29), (47), respectively, when β = 0.5 ,   ω = π / 6 ,   M = 0.8 .
Mathematics 13 01800 g002
Figure 3. Convergence of the starting velocity u c ( x , t ) , given by Equation (22), to its steady-state component u c s ( x , t ) , given by Equation (23), when β = 0.5 ,   ω = π / 6 for two values of M.
Figure 3. Convergence of the starting velocity u c ( x , t ) , given by Equation (22), to its steady-state component u c s ( x , t ) , given by Equation (23), when β = 0.5 ,   ω = π / 6 for two values of M.
Mathematics 13 01800 g003
Figure 4. Convergence of the starting velocity u s ( x , t ) , given by Equation (22), to its steady-state component u s s ( x , t ) , given by Equation (25), when β = 0.5 ,   ω = π / 6 for two values of M.
Figure 4. Convergence of the starting velocity u s ( x , t ) , given by Equation (22), to its steady-state component u s s ( x , t ) , given by Equation (25), when β = 0.5 ,   ω = π / 6 for two values of M.
Mathematics 13 01800 g004
Figure 5. Midplane velocity u c ( x , t ) given by Equation (22) as a function of time when ω = π / 6 ,   x = 0.5   and   M = 0.1 and M = 0.7 for increasing values of β .
Figure 5. Midplane velocity u c ( x , t ) given by Equation (22) as a function of time when ω = π / 6 ,   x = 0.5   and   M = 0.1 and M = 0.7 for increasing values of β .
Mathematics 13 01800 g005
Figure 6. Midplane velocity u s ( x , t ) given by Equation (22) as a function of time when ω = π / 6 ,   x = 0.5   and   M = 0.1 and M = 0.7 for increasing values of β .
Figure 6. Midplane velocity u s ( x , t ) given by Equation (22) as a function of time when ω = π / 6 ,   x = 0.5   and   M = 0.1 and M = 0.7 for increasing values of β .
Mathematics 13 01800 g006
Figure 7. Profiles of the velocity u ( x , t ) given by Equation (20) with f ( t ) = 1 exp ( t ) for small and large values of the β parameter when M = 0.02 ,   t = 5 at three values of the spatial variable x.
Figure 7. Profiles of the velocity u ( x , t ) given by Equation (20) with f ( t ) = 1 exp ( t ) for small and large values of the β parameter when M = 0.02 ,   t = 5 at three values of the spatial variable x.
Mathematics 13 01800 g007
Figure 8. Profiles of the velocity u ( x , t ) given by Equation (20) with f ( t ) = 1 exp ( t ) for small and large values of the β parameter when M = 20 ,   t = 5 at three values of the spatial variable x.
Figure 8. Profiles of the velocity u ( x , t ) given by Equation (20) with f ( t ) = 1 exp ( t ) for small and large values of the β parameter when M = 20 ,   t = 5 at three values of the spatial variable x.
Mathematics 13 01800 g008
Disclaimer/Publisher’s Note: The statements, opinions and data contained in all publications are solely those of the individual author(s) and contributor(s) and not of MDPI and/or the editor(s). MDPI and/or the editor(s) disclaim responsibility for any injury to people or property resulting from any ideas, methods, instructions or products referred to in the content.

Share and Cite

MDPI and ACS Style

Fetecau, C.; Vieru, D. General Solutions for Magnetohydrodynamic Unidirectional Motions of a Class of Fluids with Power-Law Dependence of Viscosity on Pressure Through a Planar Channel. Mathematics 2025, 13, 1800. https://doi.org/10.3390/math13111800

AMA Style

Fetecau C, Vieru D. General Solutions for Magnetohydrodynamic Unidirectional Motions of a Class of Fluids with Power-Law Dependence of Viscosity on Pressure Through a Planar Channel. Mathematics. 2025; 13(11):1800. https://doi.org/10.3390/math13111800

Chicago/Turabian Style

Fetecau, Constantin, and Dumitru Vieru. 2025. "General Solutions for Magnetohydrodynamic Unidirectional Motions of a Class of Fluids with Power-Law Dependence of Viscosity on Pressure Through a Planar Channel" Mathematics 13, no. 11: 1800. https://doi.org/10.3390/math13111800

APA Style

Fetecau, C., & Vieru, D. (2025). General Solutions for Magnetohydrodynamic Unidirectional Motions of a Class of Fluids with Power-Law Dependence of Viscosity on Pressure Through a Planar Channel. Mathematics, 13(11), 1800. https://doi.org/10.3390/math13111800

Note that from the first issue of 2016, this journal uses article numbers instead of page numbers. See further details here.

Article Metrics

Back to TopTop