The Estimation of a Signal Generated by a Dynamical System Modeled by McKean–Vlasov Stochastic Differential Equations Under Sampled Measurements
Abstract
1. Introduction
2. Problem Formulation
2.1. Notations
2.2. Model Description
- (ii)
- is a -dimensional standard Wiener process with zeros mean and , for all , being a known matrix;
- (iii)
- is a sequence of -dimensional independent random vectors with zero mean and , for all ;
- (iv)
- is a sequence of -dimensional independent random vectors with zero mean and , for all , is a known matrix of appropriate dimension;
- (v)
- , , , are independent stochastic processes.
2.3. The Filtering Problem
3. Several Preliminary Issues
3.1. Mean-Square Stability of a MF-SLDE
- (i)
- exponentially stable in the mean-square sense (ESMS) if its solutions are satisfying, , where , are constants not depending upon t, , ,
- (ii)
- MF-strong exponentially stable (MF-SES) if the linear differential equation (17a) is exponentially stable, which means that the solutions of the IVP (17) are satisfying, , , being constants not depending upon t, , , .
- (i)
- holds;
- (ii)
- the zero solution of the SLDEis ESMS and is a Hurwitz matrix;
- (iii)
- the eigenvalues of the linear operator defined in (14) are located in the half-plane .
3.2. Resulting Jump Linear Stochastic System
4. Computation of the Performance Value Achieved by an Admissible Filter
- (i)
- is a continuously differentiable function on each interval , left-continuous in , ;
- (ii)
- , ;
- (iii)
- is a periodic function of period h.
5. State Space Representation of the Optimal Filter
5.1. Forward Jump Matrix Linear Differential Equation with Riccati-Type Jumping Operator
- (a)
- , are invertible matrices;
- (b)
- the zero solution of the closed-loop JLDE onis ES, where
- (b)
- From Proposition 2 (ii), we deduce that under the assumptions , , the eigenvalues of the matrices and are located in the half plane . Hence, is a Hurwitz matrix.
- (c)
- Substracting (52) (written for replaced by ) from (48), we obtain that is a bounded solution of the following FJMLDE:where .Since and is a Hurwitz matrix, we can show that (58) has a unique bounded solution and, additionally, this solution is positive semi-definite. So, under the assumptions , , the bounded and stabilizing solution of the FJMLDE (52), if any, satisfies
- (d)
- Let be the partition of the matrix , such that . Employing (50) and (59), we may conclude that, necessarily, , for all . Hence, under the assumptions , , the bounded and stabilizing solution of the FJMLDE with Riccati-type jumping operator (52), if any, has the structurewhere solves the FJMLDE with Riccati-type jumping operator of dimension n
5.2. Optimal Filter
- (a)
- the assumptions , hold;
- (b)
- the DTARE (68) has a stabilizing solution which satisfies the condition
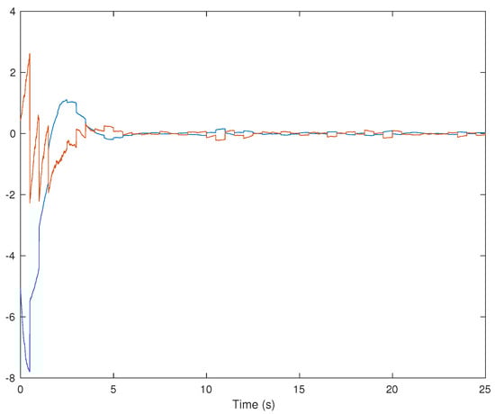
6. Numerical Experiments
7. Conclusions
Author Contributions
Funding
Data Availability Statement
Conflicts of Interest
Appendix A. Proof of Theorem 1
Appendix B. Proof of Theorem 3
References
- Kalman, R. A new approach to linear filtering and prediction problems. ASME Trans. Part D J. Basic Eng. 1960, 82, 34–45. [Google Scholar] [CrossRef]
- Kalman, R.; Bucy, R.S. New results in linear filtering and prediction theory. ASME Trans. Part D J. Basic Eng. 1961, 83, 95–108. [Google Scholar] [CrossRef]
- Kac, M. Foundations of kinetic theory. In Proceedings of the Third Berkeley Symposium on Mathematical Statistics and Probability; University of California Press: Berkeley, CA, USA, 1956; Volume III, pp. 171–197. [Google Scholar]
- McKean, H.P. Propagation of chaos for a class of non-linear parabolic equations. Lect. Ser. Differ. Equ. 1967, 7, 41–57. [Google Scholar]
- Ahmed, N.U.; Ding, X. Controlled McKean–Vlasov equations. Commun. Appl. Anal. 2001, 5, 183–206. [Google Scholar]
- Ahmed, N.U. Nonlinear diffusion governed by McKean–Vlasov equation on Hilbert space and optimal control. SIAM J. Control Optim. 2007, 46, 356–378. [Google Scholar] [CrossRef]
- Andersson, D.; Djehiche, B. A maximum principle for SDEs of mean-field type. Appl. Math. Optim. 2011, 63, 341–356. [Google Scholar] [CrossRef]
- Buckdahn, R.; Djehiche, B.; Li, J. A general maximum principle for SDEs of mean-field type. Appl. Math. Optim. 2011, 64, 197–216. [Google Scholar] [CrossRef]
- Meyer-Brandis, T.; Oksendal, B.; Zhou, X.Y. A mean-field stochastic maximum principle via Malliavin calculus. Stochastics 2012, 84, 643–666. [Google Scholar] [CrossRef]
- Park, J.Y.; Balasubramaniam, P.; Kang, Y.H. Controllability of McKean–Vlasov stochastic integrodifferential evolution equation in Hilbert spaces. Numer. Funct. Anal. Optim. 2008, 29, 1328–1346. [Google Scholar] [CrossRef]
- Moon, J. Linear-quadratic mean field stochastic zero-sum differential games. Automatica 2020, 120, 109067. [Google Scholar] [CrossRef]
- Huang, J.; Li, X.; Yong, J. A linear-quadratic optimal control problem for mean-field stochastic differential equations in infinite horizon. Math. Control Relat. Fields 2015, 5, 97–139. [Google Scholar] [CrossRef]
- Sun, J.; Wang, H.; Wu, Z. Mean-Field Stochastic Linear-Quadratic Optimal Control Problems: Open-Loop Solvabilities. ESAIM Control Optim. Calc. Var. 2017, 23, 1099–1127. [Google Scholar] [CrossRef]
- Sun, J.; Wang, H.; Wu, Z. Mean-Field Linear-Quadratic Stochastic Differential Games. J. Differ. Equ. 2021, 120, 109067. [Google Scholar] [CrossRef]
- Tian, R.; Yu, Z.; Zhang, R. A closed-loop saddle point for zero-sum linear-quadratic stochastic differential games with mean-field type. Syst. Control Lett. 2020, 136, 104624. [Google Scholar] [CrossRef]
- Yong, J. Linear-Quadratic Optimal Control Problems for Mean-Field Stochastic Differential Equations. SIAM J. Control Optim. 2013, 51, 2809–2838. [Google Scholar] [CrossRef]
- Dragan, V.; Aberkane, S. Optimal Estimation of a Signal Generated Using a Dynamical System Modeled with McKean–Vlasov Stochastic Differential Equations. Entropy 2024, 26, 483. [Google Scholar] [CrossRef]
- Briat, C. Stability analysis and stabilization of stochastic linear impulsive, switched and sampled-data systems under dwell-time constraints. Automatica 2016, 74, 279–287. [Google Scholar] [CrossRef]
- Dragan, V.; Aberkane, S.; Popa, I.L. Optimal H2 filtering for periodic linear stochastic systems with multiplicative white noise perturbations and sampled measurements. J. Frankl. Inst. 2015, 352, 5985–6010. [Google Scholar] [CrossRef]
- Gabriel, G.W.; Geromel, J.C. Performance evaluation of sampled-data control of Markov jump linear systems. Automatica 2017, 84, 212–215. [Google Scholar] [CrossRef]
- Gabriel, G.W.; Conçalves, T.R.; Geromel, J.C. Optimal and Robust Sampled-Data Control of Markov Jump Linear Systems: A Differential LMI Approach. IEEE Trans. Autom. Control 2018, 63, 3054–3060. [Google Scholar] [CrossRef]
- Geromel, J.C.; Gabriel, G.W. Optimal H2 state feedback sampled-data control design of Markov Jump Linear Systems. Automatica 2015, 54, 182–188. [Google Scholar] [CrossRef]
- Geromel, J.C. Differential Linear Matrix Inequalities. In Sampled-Data Systems Filtering and Control; Springer: Berlin/Heidelberg, Germany, 2023. [Google Scholar]
- Oksendal, B.K. Stochastic Differential Equations: An Introduction with Applications; Springer: Berlin/Heidelberg, Germany, 2003. [Google Scholar]
- Friedman, A. Stochastic Differential Equations and Applications; Academic Press: Cambridge, MA, USA, 1976. [Google Scholar]
- Ichikawa, A.; Katayama, H. Linear Time-Varying Systems and Sampled-data Systems. In Lecture Notes in Control and Information Sciences; Springer: London, UK, 2001. [Google Scholar]
- Dragan, V.; Morozan, T.; Stoica, A.M. Mathematical Methods in Robust Control of Linear Stochastic Systems, 2nd ed.; Springer: New York, NY, USA, 2013. [Google Scholar]
- Dragan, V.; Morozan, T.; Stoica, A.M. Mathematical Methods in Robust Control of Discrete-Time Linear Stochastic Systems; Springer: Berlin/Heidelberg, Germany, 2010. [Google Scholar]
- Dragan, V.; Aberkane, S. H2 optimal filtering for continuous-time periodic linear stochastic systems with state-dependent noise. Syst. Control Lett. 2014, 66, 35–42. [Google Scholar] [CrossRef]
- Dragan, V.; Aberkane, S.; Popa, I.L.; Morozan, T. On the stability and mean square stabilization of a class of a linear stochastic systems controlled by impulses. Ann. Acad. Rom. Sci. Ser. Math. Appl. 2023, 15. [Google Scholar] [CrossRef]


Disclaimer/Publisher’s Note: The statements, opinions and data contained in all publications are solely those of the individual author(s) and contributor(s) and not of MDPI and/or the editor(s). MDPI and/or the editor(s) disclaim responsibility for any injury to people or property resulting from any ideas, methods, instructions or products referred to in the content. |
© 2025 by the authors. Licensee MDPI, Basel, Switzerland. This article is an open access article distributed under the terms and conditions of the Creative Commons Attribution (CC BY) license (https://creativecommons.org/licenses/by/4.0/).
Share and Cite
Dragan, V.; Aberkane, S. The Estimation of a Signal Generated by a Dynamical System Modeled by McKean–Vlasov Stochastic Differential Equations Under Sampled Measurements. Mathematics 2025, 13, 1767. https://doi.org/10.3390/math13111767
Dragan V, Aberkane S. The Estimation of a Signal Generated by a Dynamical System Modeled by McKean–Vlasov Stochastic Differential Equations Under Sampled Measurements. Mathematics. 2025; 13(11):1767. https://doi.org/10.3390/math13111767
Chicago/Turabian StyleDragan, Vasile, and Samir Aberkane. 2025. "The Estimation of a Signal Generated by a Dynamical System Modeled by McKean–Vlasov Stochastic Differential Equations Under Sampled Measurements" Mathematics 13, no. 11: 1767. https://doi.org/10.3390/math13111767
APA StyleDragan, V., & Aberkane, S. (2025). The Estimation of a Signal Generated by a Dynamical System Modeled by McKean–Vlasov Stochastic Differential Equations Under Sampled Measurements. Mathematics, 13(11), 1767. https://doi.org/10.3390/math13111767

