A New Observer Design for the Joint Estimation of States and Unknown Inputs for a Class of Nonlinear Fractional-Order Systems
Abstract
1. Introduction
- The fractional-order observer is designed to estimate both the states and the unknown inputs simultaneously for a class of nonlinear FOSs.
- The nonlinear FOSs investigated are not essential to satisfy the Lipschitz condition, where the nonlinear functions may be uncertain, time-varying and disturbance terms.
- An algorithm is presented to calculate the parameters of the desired observer based on the Mtttag–Leffler stability theory combined with the linear matrix inequality (LMI) and the property of generalized inverse matrices.
2. Preliminaries and Problem Formulation
3. Observer Design
- (1)
- (2)
- (3)
- The fractional-order tracking error systemis Mittag–Leffler-stable for all and .
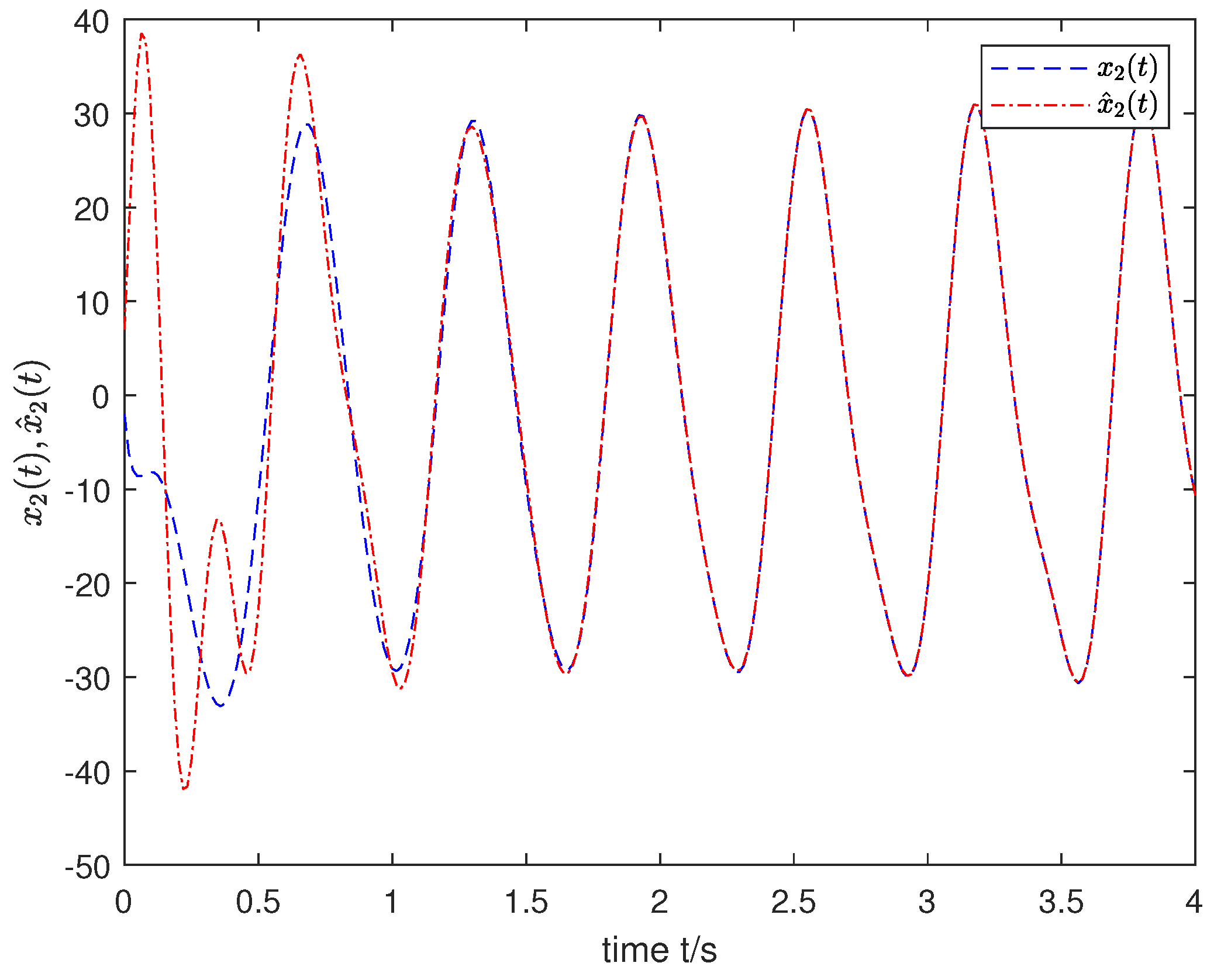
4. Simulation Results
| Algorithm 1 Observer Design Algorithm for the Nonlinear FOS |
|
5. Conclusions
Author Contributions
Funding
Data Availability Statement
Conflicts of Interest
References
- Narayanan, G.; Ali, M.S.; Alsulami, H.; Stamov, G.; Stamova, I.; Ahmad, B. Impulsive security control for fractional-order delayed multi-agent systems with uncertain parameters and switching topology under DoS attack. Inf. Sci. 2022, 618, 169–190. [Google Scholar] [CrossRef]
- Durdu, A.; Uyaroglu, Y. The shortest synchronization time with optimal fractional order value using a novel chaotic attractor based on secure communication. Chaos Solitons Fractals 2017, 104, 98–106. [Google Scholar] [CrossRef]
- Vafaei, V.; Akbarfam, A.J.; Kheiri, H. A new synchronisation method of fractional-order chaotic systems with distinct orders and dimensions and its application in secure communication. Int. J. Syst. Sci. 2021, 52, 3437–3450. [Google Scholar] [CrossRef]
- Soleimanizadeh, A.; Nekoui, M.A. Optimal type-2 fuzzy synchronization of two different fractional-order chaotic systems with variable orders with an application to secure communication. Soft Comput. 2021, 25, 6415–6426. [Google Scholar] [CrossRef]
- Shen, Y.J.; Hua, J.; Fan, W.; Liu, Y.L.; Yang, X.F.; Chen, L. Optimal design and dynamic performance analysis of a fractional-order electrical network-based vehicle mechatronic ISD suspension. Mech. Syst. Signal Process. 2023, 184, 109718. [Google Scholar] [CrossRef]
- Sarafraz, M.S.; Tavazoei, M.S. Realizability of fractional-order impedances by passive electrical networks composed of a fractional capacitor and RLC components. IEEE Trans. Circuits Syst. I Regular Papers 2015, 62, 2829–2835. [Google Scholar] [CrossRef]
- El-Saka, H.A.A.; Lee, S.; Jang, B. Dynamic analysis of fractional-order predator-prey biological economic system with Holling type II functional response. Nonlinear Dyn. 2019, 96, 407–416. [Google Scholar] [CrossRef]
- Srivastava, H.M.; Dubey, V.P.; Kumar, R.; Singh, J.; Kumar, D.; Baleanu, D. An efficient computational approach for a fractional-order biological population model with carrying capacity. Chaos Solitons Fractals 2020, 138, 109880. [Google Scholar] [CrossRef]
- Xie, Y.K.; Wang, Z.; Shen, H.; Li, Y.X. The dynamics of a delayed generalized fractional-order biological networks with predation behavior and material cycle. Nonlinear Anal. Model. Control 2020, 25, 745–765. [Google Scholar] [CrossRef]
- Marir, S.; Chadli, M.; Basin, M.V. Bounded real lemma for singular linear continuous-time fractional-order systems. Automatica 2022, 135, 109962. [Google Scholar] [CrossRef]
- Lu, J.G.; Zhu, Z.; Ma, Y.D. Robust stability and stabilization of multi-order fractional-order systems with interval uncertainties: An LMI approach. Int. J. Robust Nonlinear Control 2021, 31, 4081–4099. [Google Scholar] [CrossRef]
- Boukal, Y.; Darouach, M.; Zasadzinski, M.; Radhy, N.E. Robust H∞ observer-based control of fractional-order systems with gain parametrization. IEEE Trans. Autom. Control 2017, 62, 5710–5723. [Google Scholar] [CrossRef]
- Li, Y.; Chen, Y.Q.; Podlubny, I. Mittag–Leffler stability of fractional order nonlinear dynamic systems. Automatica 2009, 45, 1965–1969. [Google Scholar] [CrossRef]
- Zhao, Y.G.; Wang, Y.Z.; Zhang, X.F.; Li, H.T. Feedback stabilisation control design for fractional order non-linear systems in the lower triangular form. IET Control Theory Appl. 2016, 10, 1061–1068. [Google Scholar] [CrossRef]
- Chen, L.P.; Guo, W.L.; Gu, P.P.; Lopes, A.M.; Chu, Z.B.; Chen, Y.Q. Stability and stabilization of fractional-order uncertain nonlinear systems with multiorder. IEEE Trans. Circuits Syst. II Express Briefs 2023, 70, 576–580. [Google Scholar] [CrossRef]
- Peng, C.C.; Zhang, W.H. Back-stepping stabilization of fractional-order triangular system with applications to chaotic systems. Asian J. Control 2021, 23, 143–154. [Google Scholar] [CrossRef]
- Peng, C.C.; Zhang, W.H. Linear feedback synchronization and anti-synchronization of a class of fractional-order chaotic systems based on triangular structure. Eur. Phys. J. Plus 2019, 134, 292. [Google Scholar] [CrossRef]
- Belkhatir, Z.; Laleg-Kirati, T.M. High-order sliding mode observer for fractional commensurate linear systems with unknown input. Automatica 2017, 82, 209–217. [Google Scholar] [CrossRef]
- Wei, X.; Liu, D.Y.; Boutat, D. Nonasymptotic pseudo-state estimation for a class of fractional order linear systems. IEEE Trans. Autom. Control 2017, 62, 1150–1164. [Google Scholar] [CrossRef]
- Feng, T.; Wang, Y.E.; Liu, L.L.; Wu, B.W. Observer-based event-triggered control for uncertain fractional-order systems. J. Franklin Inst. 2020, 357, 9423–9441. [Google Scholar] [CrossRef]
- Pan, H.; Yu, X.H.; Guo, L. Admissible leader-following consensus of fractional-order singular multiagent system via observer-based protocol. IEEE Trans. Circuits Syst. II Express Briefs 2019, 66, 1406–1410. [Google Scholar] [CrossRef]
- Peng, C.C.; Ren, L.; Zhao, Z.H. Both sates and unknown inputs simultaneous estimation for fractional-order linear systems. Circuits Syst. Signal Process. 2024, 43, 895–915. [Google Scholar] [CrossRef]
- Kong, S.L.; Saif, M.; Liu, B. Observer design for a class of nonlinear fractional-order systems with unknown input. J. Franklin Inst. 2017, 354, 5503–5518. [Google Scholar] [CrossRef]
- Sharma, V.; Shukla, M.; Sharma, B.B. Unknown input observer design for a class of fractional order nonlinear systems. Chaos Solitons Fractals 2018, 115, 96–107. [Google Scholar] [CrossRef]
- N’Doye, I.; Salama, K.N.; Laleg-Kirati, T.M. Robust fractional-order proportional-integral observer for synchronization of chaotic fractional-order systems. IEEE/CAA J. Autom. Sin. 2019, 6, 268–277. [Google Scholar] [CrossRef]
- Lee, S.C.; Li, Y.; Chen, Y.Q.; Ahn, H.S. H∞ and sliding mode observers for linear time-invariant fractional-order dynamic systems with initial memory effect. J. Dyn. Syst. Meas. Control 2014, 136, 051022. [Google Scholar] [CrossRef]
- Khargonakar, P.P.; Petersen, I.R.; Zhou, K.M. Robust stabilization of uncertain linear systems: Quadratic and H∞ control theory. IEEE Trans. Autom. Control 1990, 35, 356–361. [Google Scholar] [CrossRef]
- Rao, C.; Mitra, S. Generalized Inverse of Matrices and Its Applications; Wiley: New York, NY, USA, 1971. [Google Scholar]





Disclaimer/Publisher’s Note: The statements, opinions and data contained in all publications are solely those of the individual author(s) and contributor(s) and not of MDPI and/or the editor(s). MDPI and/or the editor(s) disclaim responsibility for any injury to people or property resulting from any ideas, methods, instructions or products referred to in the content. |
© 2024 by the authors. Licensee MDPI, Basel, Switzerland. This article is an open access article distributed under the terms and conditions of the Creative Commons Attribution (CC BY) license (https://creativecommons.org/licenses/by/4.0/).
Share and Cite
Peng, C.; Yang, H.; Yang, A.; Ren, L. A New Observer Design for the Joint Estimation of States and Unknown Inputs for a Class of Nonlinear Fractional-Order Systems. Mathematics 2024, 12, 1139. https://doi.org/10.3390/math12081139
Peng C, Yang H, Yang A, Ren L. A New Observer Design for the Joint Estimation of States and Unknown Inputs for a Class of Nonlinear Fractional-Order Systems. Mathematics. 2024; 12(8):1139. https://doi.org/10.3390/math12081139
Chicago/Turabian StylePeng, Chenchen, Haiyi Yang, Anqing Yang, and Ling Ren. 2024. "A New Observer Design for the Joint Estimation of States and Unknown Inputs for a Class of Nonlinear Fractional-Order Systems" Mathematics 12, no. 8: 1139. https://doi.org/10.3390/math12081139
APA StylePeng, C., Yang, H., Yang, A., & Ren, L. (2024). A New Observer Design for the Joint Estimation of States and Unknown Inputs for a Class of Nonlinear Fractional-Order Systems. Mathematics, 12(8), 1139. https://doi.org/10.3390/math12081139

