WOA: Wombat Optimization Algorithm for Solving Supply Chain Optimization Problems
Abstract
1. Introduction
- WOA is designed based on simulating wombat’s natural behaviors in the wild.
- The basic inspiration of WOA is taken from the foraging of the wombat and the strategy of this animal when escaping from its predators.
- The theory of WOA is expressed and mathematically modeled in two phases: (i) the exploration based on the simulation of wombat movements during foraging and (ii) the exploitation based on simulating wombat movements when it dives towards nearby tunnels to defend against its predators.
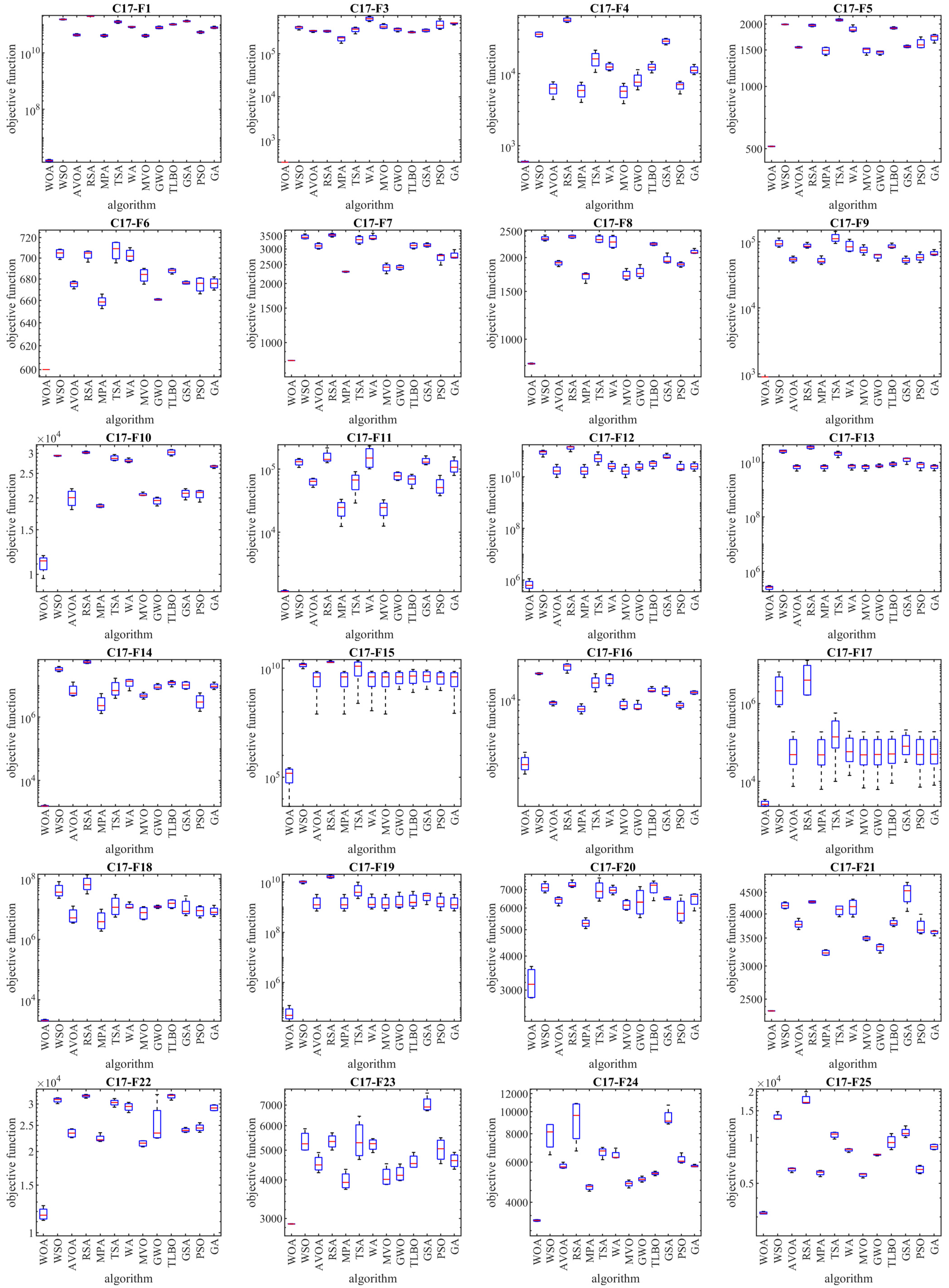
- The capability of WOA in optimization applications has been evaluated in the CEC 2017 test suite for problem dimensions equal to 10, 30, 50, and 100.
- WOA’s ability to tackle optimization tasks in real-world applications has been evaluated on twenty-two constrained optimization problems from the CEC 2011 test suite and four engineering design problems.
- Two well-known metaheuristic algorithms are employed to compare with the performance of WOA.
2. Literature Review
3. Wombat Optimization Algorithm
3.1. Inspiration of WOA
3.2. Algorithm Initialization
3.3. Mathematical Modelling of WOA
3.3.1. Phase 1: Foraging Process (Exploration Phase)
3.3.2. Phase 2: Escape Strategy (Exploitation Phase)
3.4. Repetition Process, Pseudocode, and Flowchart of WOA
| Algorithm 1. Pseudocode of WOA | ||||
| Start WOA. | ||||
| 1. | Input problem information: variables, objective function, and constraints. | |||
| 2. | Set WOA population size (N) and iterations (T). | |||
| 3. | Generate the initial population matrix at random using Equation (2). | |||
| 4. | Evaluate the objective function. | |||
| 5. | For to T | |||
| 6. | For to | |||
| 7. | Phase 1: foraging process (exploration phase) | |||
| 8. | Determine the candidate foraging positions set for the ith wombat using Equation (4). | |||
| 9. | Select the target foraging position for the ith wombat at random. | |||
| 10. | Calculate new position of ith wombat using Equation (5). | |||
| 11. | Update ith wombat using Equation (6). | |||
| 12. | Phase 2: escape strategy (exploitation phase) | |||
| 13. | Calculate new position of ith wombat using Equation (7). | |||
| 14. | Update ith wombat using Equation (8). | |||
| 15. | end | |||
| 16. | Save the best candidate solution so far. | |||
| 17. | end | |||
| 18. | Output the best quasi-optimal solution obtained with the WOA. | |||
| End WOA. | ||||
3.5. Computational Complexity of WOA
4. Simulation Studies and Results
4.1. Performance Comparison
- Mean: represents the average values obtained for the objective function from independent executions.
- Best: indicates the best value obtained for the objective function among the values obtained from independent executions.
- Worst: represents the worst value obtained for the objective function among the values obtained from independent executions.
- std: represents the standard deviation between the values obtained for the objective function from independent runs.
- Median: represents the median index between the values obtained for the objective function from independent executions.
- Rank: indicates the rank of each metaheuristic algorithm in competition with other metaheuristic algorithms in dealing with the corresponding benchmark function. The evaluated values for the mean index have been applied as a ranking criterion for metaheuristic algorithms in handling each of the benchmark functions.
4.2. Evaluation CEC 2017 Test Suite
4.3. Statistical Analysis
5. WOA for Real-World Applications
5.1. Evaluation of CEC 2011 Test Suite
5.2. Pressure Vessel Design Problem
5.3. Speed Reducer Design Problem
5.4. Welded Beam Design
5.5. Tension/Compression Spring Design
5.6. Application and Advantages of WOA for Supply Chain Management
- Risk management and resilience: WOA can help improve the supply chain resilience by identifying and mitigating potential risks such as supply chain disruptions, natural disasters, and demand fluctuations on the snow. By incorporating risks into the optimization process, WOA helps companies create robust supply chain models that can better adapt to unexpected disruptions compared to traditional models.
- Multi-Objective Optimization: WOA can handle multi-objective optimization problems, where conflicting objectives such as cost minimization, lead time minimization, and service level maximization need to be balanced by the exploration–exploitation equilibrium of WOA on its Pareto front in contrast to the feasible search for trade-offs, giving decision makers the best solutions to choose from; traditional systems may struggle to meet many objective optimization problems and manage them effectively, as they often require complex changes or goal accumulations.
- Dynamic and real-time optimization: WOA can be optimized in dynamic and real-time optimization scenarios where supply chain conditions change over time, such as demand fluctuations, disruptions, or capacity constraints. By constantly updating solutions based on the latest information, WOA enables companies to make the right decisions in a timely manner to optimize supply chains. Traditional systems may require a periodic reassessment or manual intervention to accommodate dynamic situations, resulting in suboptimal solutions or increased response times.
- Collaboration and coordination optimization: WOA can optimize collaborative and coordinated decision-making among multiple entities within the supply chain, such as suppliers, manufacturers, distributors, and retailers. By optimizing decisions across the entire supply chain network, WOA helps companies achieve synergies and efficiencies that may not be achievable through localized optimizations. Traditional schemes often focus on optimizing individual components of the supply chain in isolation, leading to a suboptimal overall performance due to the lack of coordination and collaboration.
- Sustainability and green logistics: WOA can incorporate sustainability criteria such as carbon emissions, energy consumption, and the environmental impact into the optimization process, enabling companies to design more sustainable and environmentally friendly supply chain strategies. By optimizing supply chain operations with sustainability objectives in mind, WOA helps companies reduce their ecological footprint and achieve corporate social responsibility goals. Traditional schemes may overlook sustainability considerations or treat them as constraints rather than optimization objectives, resulting in less environmentally sustainable supply chain designs.
6. Conclusions and Future Works
Author Contributions
Funding
Data Availability Statement
Conflicts of Interest
References
- Benmamoun, Z.; Hachimi, H.; Amine, A. Inventory management optimization using lean six-sigma Case of Spare parts Moroccan company. In Proceedings of the International Conference on Industrial Engineering and Operations Management, Rabat, Morocco, 11–13 April 2017; pp. 1722–1730. [Google Scholar]
- Khlie, K.; Abdullah, A. Redesigning the hospital supply chain for enhanced performance using a lean methodology. Int. J. Ind. Eng 2013, 12, 917–927. [Google Scholar] [CrossRef]
- Jebbor, I.; Benmamoun, Z.; Hachimi, H. Optimizing Manufacturing Cycles to Improve Production: Application in the Traditional Shipyard Industry. Processes 2023, 11, 3136. [Google Scholar] [CrossRef]
- Khlie, K.; Abouabdellah, A. Identification of the patient requirements using lean six sigma and data mining. Int. J. Eng. 2017, 30, 691–699. [Google Scholar]
- Mondal, A.; Giri, B.K.; Roy, S.K.; Deveci, M.; Pamucar, D. Sustainable-resilient-responsive supply chain with demand prediction: An interval type-2 robust programming approach. Eng. Appl. Artif. Intell. 2024, 133, 108133. [Google Scholar] [CrossRef]
- Mondal, A.; Giri, B.K.; Roy, S.K. An integrated sustainable bio-fuel and bio-energy supply chain: A novel approach based on DEMATEL and fuzzy-random robust flexible programming with Me measure. Appl. Energy 2023, 343, 121225. [Google Scholar] [CrossRef]
- Mondal, A.; Roy, S.K. Behavioural three-way decision making with Fermatean fuzzy Mahalanobis distance: Application to the supply chain management problems. Appl. Soft Comput. 2024, 151, 111182. [Google Scholar] [CrossRef]
- Mondal, A.; Roy, S.K. Application of Choquet integral in interval type-2 Pythagorean fuzzy sustainable supply chain management under risk. Int. J. Intell. Syst. 2022, 37, 217–263. [Google Scholar] [CrossRef]
- Mondal, A.; Roy, S.K. Multi-objective sustainable opened- and closed-loop supply chain under mixed uncertainty during COVID-19 pandemic situation. Comput. Ind. Eng. 2021, 159, 107453. [Google Scholar] [CrossRef]
- Chopra, S.; Meindl, P. Supply Chain Management: Strategy, Planning, and Operation, 2nd ed.; Prentice Hall: Upper Saddle River, NJ, USA, 2004. [Google Scholar]
- Lee, H.L. The triple-A supply chain. Harv. Bus. Rev. 2004, 82, 102–113. [Google Scholar]
- Raouf, Y.; Benmamoun, Z.; Hachimi, H.; Jebbor, I.; Haqqi, M.; Akikiz, M. Towards a Smart and Sustainable Industry: Cycle Time optimization. In Proceedings of the 2023 3rd International Conference on Innovative Research in Applied Science, Engineering and Technology (IRASET), Mohammedia, Morocco, 18–19 May 2023; pp. 1–7. [Google Scholar]
- BOUAZZA, S.; Benmamoun, Z.; Hachimi, H. Optimization of logistics to support the African’s development. In Proceedings of the 2019 5th International Conference on Optimization and Applications (ICOA), Kenitra, Morocco, 25–26 April 2019; pp. 1–5. [Google Scholar]
- Elkhechafi, M.; Benmamoun, Z.; Hachimi, H.; Amine, A.; Elkettani, Y. Firefly Algorithm for Supply Chain Optimization. Lobachevskii J. Math. 2018, 39, 355–367. [Google Scholar] [CrossRef]
- Zhao, S.; Zhang, T.; Ma, S.; Chen, M. Dandelion Optimizer: A nature-inspired metaheuristic algorithm for engineering applications. Eng. Appl. Artif. Intell. 2022, 114, 105075. [Google Scholar] [CrossRef]
- Sergeyev, Y.D.; Kvasov, D.; Mukhametzhanov, M. On the efficiency of nature-inspired metaheuristics in expensive global optimization with limited budget. Sci. Rep. 2018, 8, 453. [Google Scholar] [CrossRef] [PubMed]
- Liberti, L.; Kucherenko, S. Comparison of deterministic and stochastic approaches to global optimization. Int. Trans. Oper. Res. 2005, 12, 263–285. [Google Scholar] [CrossRef]
- Koc, I.; Atay, Y.; Babaoglu, I. Discrete tree seed algorithm for urban land readjustment. Eng. Appl. Artif. Intell. 2022, 112, 104783. [Google Scholar] [CrossRef]
- Liñán, D.A.; Contreras-Zarazúa, G.; Sánchez-Ramírez, E.; Segovia-Hernández, J.G.; Ricardez-Sandoval, L.A. A hybrid deterministic-stochastic algorithm for the optimal design of process flowsheets with ordered discrete decisions. Comput. Chem. Eng. 2024, 180, 108501. [Google Scholar] [CrossRef]
- de Armas, J.; Lalla-Ruiz, E.; Tilahun, S.L.; Voß, S. Similarity in metaheuristics: A gentle step towards a comparison methodology. Nat. Comput. 2022, 21, 265–287. [Google Scholar] [CrossRef]
- Kumar, G.; Saha, R.; Conti, M.; Devgun, T.; Thomas, R. GREPHRO: Nature-inspired optimization duo for Internet-of-Things. Internet Things 2024, 25, 101067. [Google Scholar] [CrossRef]
- Zhao, W.; Wang, L.; Zhang, Z.; Fan, H.; Zhang, J.; Mirjalili, S.; Khodadadi, N.; Cao, Q. Electric eel foraging optimization: A new bio-inspired optimizer for engineering applications. Expert Syst. Appl. 2024, 238, 122200. [Google Scholar] [CrossRef]
- Wolpert, D.H.; Macready, W.G. No free lunch theorems for optimization. IEEE Trans. Evol. Comput. 1997, 1, 67–82. [Google Scholar] [CrossRef]
- Dorigo, M.; Maniezzo, V.; Colorni, A. Ant system: Optimization by a colony of cooperating agents. IEEE Trans. Syst. Man Cybern. Part B Cybern. 1996, 26, 29–41. [Google Scholar] [CrossRef]
- Kennedy, J.; Eberhart, R. Particle Swarm Optimization. In Proceedings of the ICNN’95—International Conference on Neural Networks, Perth, WA, Australia, 27 November–1 December 1995; Volume 4, pp. 1942–1948. [Google Scholar]
- Yang, X.-S. Firefly algorithm, stochastic test functions and design optimisation. Int. J. Bio-Inspired Comput. 2010, 2, 78–84. [Google Scholar] [CrossRef]
- Karaboga, D.; Basturk, B. Artificial bee colony (ABC) optimization algorithm for solving constrained optimization problems. In Proceedings of the International Fuzzy Systems Association World Congress, Cancun, Mexico, 18–21 June 2007; pp. 789–798. [Google Scholar]
- Benmamoun, Z.; Fethallah, W.; Ahlaqqach, M.; Jebbor, I.; Benmamoun, M.; Elkhechafi, M. Butterfly Algorithm for Sustainable Lot Size Optimization. Sustainability 2023, 15, 11761. [Google Scholar] [CrossRef]
- Abdel-Basset, M.; Mohamed, R.; Zidan, M.; Jameel, M.; Abouhawwash, M. Mantis Search Algorithm: A novel bio-inspired algorithm for global optimization and engineering design problems. Comput. Methods Appl. Mech. Eng. 2023, 415, 116200. [Google Scholar] [CrossRef]
- Hu, G.; Guo, Y.; Wei, G.; Abualigah, L. Genghis Khan shark optimizer: A novel nature-inspired algorithm for engineering optimization. Adv. Eng. Inform. 2023, 58, 102210. [Google Scholar] [CrossRef]
- Agushaka, J.O.; Ezugwu, A.E.; Abualigah, L. Gazelle optimization algorithm: A novel nature-inspired metaheuristic optimizer. Neural Comput. Appl. 2023, 35, 4099–4131. [Google Scholar] [CrossRef]
- Mirjalili, S.; Lewis, A. The whale optimization algorithm. Adv. Eng. Softw. 2016, 95, 51–67. [Google Scholar] [CrossRef]
- Abualigah, L.; Abd Elaziz, M.; Sumari, P.; Geem, Z.W.; Gandomi, A.H. Reptile Search Algorithm (RSA): A nature-inspired meta-heuristic optimizer. Expert Syst. Appl. 2022, 191, 116158. [Google Scholar] [CrossRef]
- Jiang, Y.; Wu, Q.; Zhu, S.; Zhang, L. Orca predation algorithm: A novel bio-inspired algorithm for global optimization problems. Expert Syst. Appl. 2022, 188, 116026. [Google Scholar] [CrossRef]
- Mirjalili, S.; Mirjalili, S.M.; Lewis, A. Grey Wolf Optimizer. Adv. Eng. Softw. 2014, 69, 46–61. [Google Scholar] [CrossRef]
- Kaur, S.; Awasthi, L.K.; Sangal, A.L.; Dhiman, G. Tunicate Swarm Algorithm: A new bio-inspired based metaheuristic paradigm for global optimization. Eng. Appl. Artif. Intell. 2020, 90, 103541. [Google Scholar] [CrossRef]
- Abdollahzadeh, B.; Gharehchopogh, F.S.; Mirjalili, S. African vultures optimization algorithm: A new nature-inspired metaheuristic algorithm for global optimization problems. Comput. Ind. Eng. 2021, 158, 107408. [Google Scholar] [CrossRef]
- Faramarzi, A.; Heidarinejad, M.; Mirjalili, S.; Gandomi, A.H. Marine Predators Algorithm: A nature-inspired metaheuristic. Expert Syst. Appl. 2020, 152, 113377. [Google Scholar] [CrossRef]
- Braik, M.; Hammouri, A.; Atwan, J.; Al-Betar, M.A.; Awadallah, M.A. White Shark Optimizer: A novel bio-inspired meta-heuristic algorithm for global optimization problems. Knowl.-Based Syst. 2022, 243, 108457. [Google Scholar] [CrossRef]
- Goldberg, D.E.; Holland, J.H. Genetic Algorithms and Machine Learning. Mach. Learn. 1988, 3, 95–99. [Google Scholar] [CrossRef]
- Storn, R.; Price, K. Differential evolution–A simple and efficient heuristic for global optimization over continuous spaces. J. Glob. Optim. 1997, 11, 341–359. [Google Scholar] [CrossRef]
- De Castro, L.N.; Timmis, J.I. Artificial immune systems as a novel soft computing paradigm. Soft Comput. 2003, 7, 526–544. [Google Scholar] [CrossRef]
- Reynolds, R.G. An introduction to cultural algorithms. In Proceedings of the Third Annual Conference on Evolutionary Programming, San Diego, CA, USA, 24–26 February 1994; pp. 131–139. [Google Scholar]
- Koza, J.R.; Koza, J.R. Genetic Programming: On the Programming of Computers by Means of Natural Selection; MIT Press: Cambridge, MA, USA, 1992; Volume 1. [Google Scholar]
- Beyer, H.-G.; Schwefel, H.-P. Evolution strategies–a comprehensive introduction. Nat. Comput. 2002, 1, 3–52. [Google Scholar] [CrossRef]
- Kirkpatrick, S.; Gelatt, C.D.; Vecchi, M.P. Optimization by simulated annealing. Science 1983, 220, 671–680. [Google Scholar] [CrossRef] [PubMed]
- Rashedi, E.; Nezamabadi-Pour, H.; Saryazdi, S. GSA: A gravitational search algorithm. Inf. Sci. 2009, 179, 2232–2248. [Google Scholar] [CrossRef]
- Hashim, F.A.; Mostafa, R.R.; Hussien, A.G.; Mirjalili, S.; Sallam, K.M. Fick’s Law Algorithm: A physical law-based algorithm for numerical optimization. Knowl.-Based Syst. 2023, 260, 110146. [Google Scholar] [CrossRef]
- Su, H.; Zhao, D.; Heidari, A.A.; Liu, L.; Zhang, X.; Mafarja, M.; Chen, H. RIME: A physics-based optimization. Neurocomputing 2023, 532, 183–214. [Google Scholar] [CrossRef]
- Kaveh, A.; Dadras, A. A novel meta-heuristic optimization algorithm: Thermal exchange optimization. Adv. Eng. Softw. 2017, 110, 69–84. [Google Scholar] [CrossRef]
- Eskandar, H.; Sadollah, A.; Bahreininejad, A.; Hamdi, M. Water cycle algorithm–A novel metaheuristic optimization method for solving constrained engineering optimization problems. Comput. Struct. 2012, 110, 151–166. [Google Scholar] [CrossRef]
- Wei, Z.; Huang, C.; Wang, X.; Han, T.; Li, Y. Nuclear reaction optimization: A novel and powerful physics-based algorithm for global optimization. IEEE Access 2019, 7, 66084–66109. [Google Scholar] [CrossRef]
- Hashim, F.A.; Houssein, E.H.; Mabrouk, M.S.; Al-Atabany, W.; Mirjalili, S. Henry gas solubility optimization: A novel physics-based algorithm. Future Gener. Comput. Syst. 2019, 101, 646–667. [Google Scholar] [CrossRef]
- Pereira, J.L.J.; Francisco, M.B.; Diniz, C.A.; Oliver, G.A.; Cunha, S.S., Jr.; Gomes, G.F. Lichtenberg algorithm: A novel hybrid physics-based meta-heuristic for global optimization. Expert Syst. Appl. 2021, 170, 114522. [Google Scholar] [CrossRef]
- Mirjalili, S.; Mirjalili, S.M.; Hatamlou, A. Multi-verse optimizer: A nature-inspired algorithm for global optimization. Neural Comput. Appl. 2016, 27, 495–513. [Google Scholar] [CrossRef]
- Cuevas, E.; Oliva, D.; Zaldivar, D.; Pérez-Cisneros, M.; Sossa, H. Circle detection using electro-magnetism optimization. Inf. Sci. 2012, 182, 40–55. [Google Scholar] [CrossRef]
- Hatamlou, A. Black hole: A new heuristic optimization approach for data clustering. Inf. Sci. 2013, 222, 175–184. [Google Scholar] [CrossRef]
- Hashim, F.A.; Hussain, K.; Houssein, E.H.; Mabrouk, M.S.; Al-Atabany, W. Archimedes optimization algorithm: A new metaheuristic algorithm for solving optimization problems. Appl. Intell. 2021, 51, 1531–1551. [Google Scholar] [CrossRef]
- Rao, R.V.; Savsani, V.J.; Vakharia, D. Teaching–learning-based optimization: A novel method for constrained mechanical design optimization problems. Comput.-Aided Des. 2011, 43, 303–315. [Google Scholar] [CrossRef]
- Matoušová, I.; Trojovský, P.; Dehghani, M.; Trojovská, E.; Kostra, J. Mother optimization algorithm: A new human-based metaheuristic approach for solving engineering optimization. Sci. Rep. 2023, 13, 10312. [Google Scholar] [CrossRef] [PubMed]
- Faridmehr, I.; Nehdi, M.L.; Davoudkhani, I.F.; Poolad, A. Mountaineering Team-Based Optimization: A Novel Human-Based Metaheuristic Algorithm. Mathematics 2023, 11, 1273. [Google Scholar] [CrossRef]
- Oladejo, S.O.; Ekwe, S.O.; Akinyemi, L.A.; Mirjalili, S.A. The Deep Sleep Optimiser: A Human-Based Metaheuristic Approach. IEEE Access 2023, 11, 83639–83665. [Google Scholar] [CrossRef]
- Mohamed, A.W.; Hadi, A.A.; Mohamed, A.K. Gaining-sharing knowledge based algorithm for solving optimization problems: A novel nature-inspired algorithm. Int. J. Mach. Learn. Cybern. 2020, 11, 1501–1529. [Google Scholar] [CrossRef]
- Tan, Y.; Zhu, Y. Fireworks algorithm for optimization. In Proceedings of the Advances in Swarm Intelligence: First International Conference, ICSI 2010, Proceedings, Part I 1, Beijing, China, 12–15 June 2010; pp. 355–364. [Google Scholar]
- Ayyarao, T.L.; RamaKrishna, N.; Elavarasam, R.M.; Polumahanthi, N.; Rambabu, M.; Saini, G.; Khan, B.; Alatas, B. War Strategy Optimization Algorithm: A New Effective Metaheuristic Algorithm for Global Optimization. IEEE Access 2022, 10, 25073–25105. [Google Scholar] [CrossRef]
- Al-Betar, M.A.; Alyasseri, Z.A.A.; Awadallah, M.A.; Abu Doush, I. Coronavirus herd immunity optimizer (CHIO). Neural Comput. Appl. 2021, 33, 5011–5042. [Google Scholar] [CrossRef] [PubMed]
- Braik, M.; Ryalat, M.H.; Al-Zoubi, H. A novel meta-heuristic algorithm for solving numerical optimization problems: Ali Baba and the forty thieves. Neural Comput. Appl. 2022, 34, 409–455. [Google Scholar] [CrossRef]
- Moghdani, R.; Salimifard, K. Volleyball premier league algorithm. Appl. Soft Comput. 2018, 64, 161–185. [Google Scholar] [CrossRef]
- Ma, B.; Hu, Y.; Lu, P.; Liu, Y. Running city game optimizer: A game-based metaheuristic optimization algorithm for global optimization. J. Comput. Des. Eng. 2023, 10, 65–107. [Google Scholar] [CrossRef]
- Kosasih, E.E.; Papadakis, E.; Baryannis, G.; Brintrup, A. A review of explainable artificial intelligence in supply chain management using neurosymbolic approaches. Int. J. Prod. Res. 2024, 62, 1510–1540. [Google Scholar] [CrossRef]
- Oliveira, L.S.; Machado, R.L. Application of optimization methods in the closed-loop supply chain: A literature review. J. Comb. Optim. 2021, 41, 357–400. [Google Scholar] [CrossRef]
- Toaza, B.; Esztergár-Kiss, D. A review of metaheuristic algorithms for solving TSP-based scheduling optimization problems. Appl. Soft Comput. 2023, 148, 110908. [Google Scholar] [CrossRef]
- Abualigah, L.; Hanandeh, E.S.; Zitar, R.A.; Thanh, C.-L.; Khatir, S.; Gandomi, A.H. Revolutionizing sustainable supply chain management: A review of metaheuristics. Eng. Appl. Artif. Intell. 2023, 126, 106839. [Google Scholar] [CrossRef]
- Patne, K.; Shukla, N.; Kiridena, S.; Tiwari, M.K. Solving closed-loop supply chain problems using game theoretic particle swarm optimisation. Int. J. Prod. Res. 2018, 56, 5836–5853. [Google Scholar] [CrossRef]
- Hong, J.; Diabat, A.; Panicker, V.V.; Rajagopalan, S. A two-stage supply chain problem with fixed costs: An ant colony optimization approach. Int. J. Prod. Econ. 2018, 204, 214–226. [Google Scholar] [CrossRef]
- Jiang, J.; Wu, D.; Chen, Y.; Yu, D.; Wang, L.; Li, K. Fast artificial bee colony algorithm with complex network and naive bayes classifier for supply chain network management. Soft Comput. 2019, 23, 13321–13337. [Google Scholar] [CrossRef]
- Cheraghalipour, A.; Paydar, M.M.; Hajiaghaei-Keshteli, M. Designing and solving a bi-level model for rice supply chain using the evolutionary algorithms. Comput. Electron. Agric. 2019, 162, 651–668. [Google Scholar] [CrossRef]
- Yu, W.; Hou, G.; Li, J. Supply chain joint inventory management and cost optimization based on ant colony algorithm and fuzzy model. Teh. Vjesn. 2019, 26, 1729–1737. [Google Scholar]
- Xiong, F.; Gong, P.; Jin, P.; Fan, J. Supply chain scheduling optimization based on genetic particle swarm optimization algorithm. Clust. Comput. 2019, 22 (Suppl. 6), 14767–14775. [Google Scholar] [CrossRef]
- Igiri, C.P.; Singh, Y.; Bhargava, D.; Shikaa, S. Improved African buffalo optimisation algorithm for petroleum product supply chain management. Int. J. Grid Util. Comput. 2020, 11, 769–779. [Google Scholar] [CrossRef]
- Sinha, A.K.; Anand, A. Optimizing supply chain network for perishable products using improved bacteria foraging algorithm. Appl. Soft Comput. 2020, 86, 105921. [Google Scholar] [CrossRef]
- Nezamoddini, N.; Gholami, A.; Aqlan, F. A risk-based optimization framework for integrated supply chains using genetic algorithm and artificial neural networks. Int. J. Prod. Econ. 2020, 225, 107569. [Google Scholar] [CrossRef]
- Keshavarz-Ghorbani, F.; Pasandideh, S.H.R. Optimizing a two-level closed-loop supply chain under the vendor managed inventory contract and learning: Fibonacci, GA, IWO, MFO algorithms. Neural Comput. Appl. 2021, 33, 9425–9450. [Google Scholar] [CrossRef]
- Fathollahi-Fard, A.M.; Dulebenets, M.A.; Hajiaghaei–Keshteli, M.; Tavakkoli-Moghaddam, R.; Safaeian, M.; Mirzahosseinian, H. Two hybrid meta-heuristic algorithms for a dual-channel closed-loop supply chain network design problem in the tire industry under uncertainty. Adv. Eng. Inform. 2021, 50, 101418. [Google Scholar] [CrossRef]
- Fathi, M.; Khakifirooz, M.; Diabat, A.; Chen, H. An integrated queuing-stochastic optimization hybrid Genetic Algorithm for a location-inventory supply chain network. Int. J. Prod. Econ. 2021, 237, 108139. [Google Scholar] [CrossRef]
- Ehtesham Rasi, R.; Sohanian, M. A multi-objective optimization model for sustainable supply chain network with using genetic algorithm. J. Model. Manag. 2021, 16, 714–727. [Google Scholar] [CrossRef]
- Seydanlou, P.; Jolai, F.; Tavakkoli-Moghaddam, R.; Fathollahi-Fard, A.M. A multi-objective optimization framework for a sustainable closed-loop supply chain network in the olive industry: Hybrid meta-heuristic algorithms. Expert Syst. Appl. 2022, 203, 117566. [Google Scholar] [CrossRef]
- Karami, D. Supply Chain Network Design Using Particle Swarm Optimization (PSO) Algorithm. Int. J. Ind. Eng. Oper. Res. 2022, 4, 1–8. [Google Scholar]
- Chaharmahali, G.; Ghandalipour, D.; Jasemi, M.; Molla-Alizadeh-Zavardehi, S. Modified metaheuristic algorithms to design a closed-loop supply chain network considering quantity discount and fixed-charge transportation. Expert Syst. Appl. 2022, 202, 117364. [Google Scholar] [CrossRef]
- Chouhan, V.K.; Goodarzian, F.; Esfandiari, M.; Abraham, A. Designing a New Supply Chain Network Considering Transportation Delays Using Meta-heuristics. In Intelligent and Fuzzy Techniques for Emerging Conditions and Digital Transformation, Proceedings of the INFUS 2021 Conference, Istanbul, Turkey, 24–26 August 2021; Kahraman, C., Cebi, S., Cevik Onar, S., Oztaysi, B., Tolga, A.C., Sari, I.U., Eds.; Springer International Publishing: Cham, Switzerland, 2022; pp. 570–579. [Google Scholar]
- Mohammed, A.; Al-shaibani, M.S.; Duffuaa, S.O. A meta-heuristic-based algorithm for designing multi-objective multi-echelon supply chain network. Appl. Soft Comput. 2023, 147, 110774. [Google Scholar] [CrossRef]
- Pérez, C.; Climent, L.; Nicoló, G.; Arbelaez, A.; Salido, M.A. A hybrid metaheuristic with learning for a real supply chain scheduling problem. Eng. Appl. Artif. Intell. 2023, 126, 107188. [Google Scholar] [CrossRef]
- Kuo, R.; Luthfiansyah, M.F.; Masruroh, N.A.; Zulvia, F.E. Application of improved multi-objective particle swarm optimization algorithm to solve disruption for the two-stage vehicle routing problem with time windows. Expert Syst. Appl. 2023, 225, 120009. [Google Scholar] [CrossRef]
- Sadeghi, A.H.; Bani, E.A.; Fallahi, A.; Handfield, R. Grey wolf optimizer and whale optimization algorithm for stochastic inventory management of reusable products in a two-level supply chain. IEEE Access 2023, 11, 40278–40297. [Google Scholar] [CrossRef]
- Golmohammadi, A.-M.; Abedsoltan, H.; Goli, A.; Ali, I. Multi-objective dragonfly algorithm for optimizing a sustainable supply chain under resource sharing conditions. Comput. Ind. Eng. 2024, 187, 109837. [Google Scholar] [CrossRef]
- Hamidian, N.; Paydar, M.M.; Hajiaghaei-Keshteli, M. A hybrid meta-heuristic approach to design a Bi-objective cosmetic tourism supply chain: A case study. Eng. Appl. Artif. Intell. 2024, 127, 107331. [Google Scholar] [CrossRef]
- Pham, V.H.S.; Nguyen, V.N.; Nguyen Dang, N.T. Hybrid whale optimization algorithm for enhanced routing of limited capacity vehicles in supply chain management. Sci. Rep. 2024, 14, 793. [Google Scholar] [CrossRef] [PubMed]
- Finlayson, G.; Shimmin, G.; Taggart, D.; Skinner, J.; Gilmore, A.; Paris, M. Oestrous cycle of captive southern hairy-nosed wombats (Lasiorhinus latifrons) in South Australia, Australia. Anim. Reprod. Sci. 2006, 95, 295–306. [Google Scholar] [CrossRef] [PubMed]
- Triggs, B. Wombats; CSIRO Publishing: Clayton, Australia, 2009; p. 160. [Google Scholar]
- Horsup, A.; Johnson, C. Northern hairy-nosed wombat, Lasiorhinus krefftii. In The Mammals of Australia; Van Dyck, S., Strahan, R., Eds.; New Holland Publishers: Sydney, Australia, 2008; pp. 202–204. [Google Scholar]
- Casey, F.F.; Stannard, H.J.; Old, J.M. A review of wombat diet and nutrition. Aust. Mammal. 2020, 43, 1–9. [Google Scholar] [CrossRef]
- Awad, N.; Ali, M.; Liang, J.; Qu, B.; Suganthan, P.; Definitions, P. Evaluation Criteria for the CEC 2017 Special Session and Competition on Single Objective Real-Parameter Numerical Optimization; Technical Report; Nanyang Technological University: Singapore, 2016; pp. 5–8. [Google Scholar]
- Wilcoxon, F. Individual comparisons by ranking methods. In Breakthroughs in Statistics; Springer: Berlin/Heidelberg, Germany, 1992; pp. 196–202. [Google Scholar]
- Das, S.; Suganthan, P.N. Problem definitions and evaluation criteria for CEC 2011 competition on testing evolutionary algorithms on real world optimization problems. Jadavpur Univ. Nanyang Technol. Univ. Kolkata 2010, 341–359. [Google Scholar]
- Kannan, B.; Kramer, S.N. An augmented Lagrange multiplier based method for mixed integer discrete continuous optimization and its applications to mechanical design. J. Mech. Des. 1994, 116, 405–411. [Google Scholar] [CrossRef]
- Gandomi, A.H.; Yang, X.-S. Benchmark problems in structural optimization. In Computational Optimization, Methods and Algorithms; Springer: Berlin/Heidelberg, Germany, 2011; pp. 259–281. [Google Scholar]
- Mezura-Montes, E.; Coello, C.A.C. Useful infeasible solutions in engineering optimization with evolutionary algorithms. In Proceedings of the Mexican International Conference on Artificial Intelligence, Monterrey, Mexico, 14–18 November 2005; pp. 652–662. [Google Scholar]





















| Reference | Description | Year | |
|---|---|---|---|
| 1 | [14] | This paper conducts a comprehensive comparison study of the Firefly algorithm’s performance using various test functions, emphasizing its application in the lot size optimization within supply chain management. Demonstrating a superior performance over deterministic methods, the Firefly algorithm efficiently addresses the complexities arising from cost minimization and service level maximization conflicts in the supply chain evolution. | 2018 |
| 2 | [74] | This paper introduces a closed-loop supply chain network configuration model addressing research gaps, and employs an innovative metaheuristic algorithm called improved PSO (IPSO) for location-allocation decisions and a gradient descent search method for pricing–inventory decisions. IPSO, integrating mutation and replicator dynamics, demonstrates a superior performance compared to traditional PSO, simulated annealing (SA), and genetic algorithm (GA) methods; this is confirmed through numerical evaluations across various problem scales. | 2018 |
| 3 | [75] | This paper addresses a distribution–allocation problem in a two-stage supply chain, formulating it as an integer–programming model to minimize total supply chain operation costs. Employing an Ant Colony Optimization (ACO), the study demonstrates computational efficiency in obtaining solutions within a reasonable time frame, with an average gap of approximately 10% from optimal solutions. | 2018 |
| 4 | [76] | This paper presents an enhanced artificial bee colony (ABC) optimization algorithm tailored for supply chain network (SCN) management, addressing the challenge of finding multi-objective Pareto optimal solutions (POS) efficiently. By extending the application field of SCN based on complex networks and integrating a naive Bayes classifier to accelerate the search speed, the proposed approach demonstrates its capability in optimizing a three-echelon SCN, achieving a global multi-objective POS while improving the solution-finding speed. | 2019 |
| 5 | [77] | This paper introduces a bi-level optimization model for rice supply chain management, aiming to minimize the total cost while considering the perspectives of two decision-makers. Utilizing meta-heuristic algorithms such as Genetic Algorithm (GA) and Particle Swarm Optimization (PSO), along with hybrid and modified versions, this study demonstrates the effectiveness of the proposed model in optimizing the rice supply chain, with the modified algorithm (GPA) showing promising results. | 2019 |
| 6 | [78] | This paper addresses the evolving role of inventory management in the context of supply chain management, emphasizing the need for new strategies to enhance the supply chain integration and agility. By leveraging the system theory and integration theory, this paper proposes an optimized inventory management model utilizing ant colony algorithm and fuzzy model that aim to improve the supply chain efficiency and market responsiveness. | 2019 |
| 7 | [79] | This paper presents a hybrid algorithm combining a genetic algorithm and particle swarm optimization to optimize supply chain scheduling in a mass customization mode, leveraging the genetic algorithm’s global search capability and the particle swarm optimization’s fast convergence speed. | 2019 |
| 8 | [80] | This paper introduces an enhanced African Buffalo Optimization (ABO) algorithm for petroleum supply chain distribution, leveraging swarm intelligence to optimize product scheduling and distribution costs. By applying standard ABO and its improved variants, such as chaotic ABO and chaotic-Levy ABO, it demonstrates a superior performance compared to existing exact algorithms, offering efficient solutions for complex real-world supply chain networks. | 2020 |
| 9 | [81] | This paper addresses the challenges of perishable product management in supply chains, proposing a holistic model integrated with the improved bacteria-forging algorithm (IBFA) to optimize production, inventory, and distribution processes. Through two case studies, the IBFA demonstrates effectiveness in optimizing perishable supply chain networks, offering valuable insights for decision-makers in managing time-sensitive products efficiently. | 2020 |
| 10 | [82] | This paper presents a risk-based optimization framework for supply chain management, addressing strategic, tactical, and operational decisions to mitigate internal and external risks. Utilizing a new genetic algorithm integrated with an artificial neural network, it effectively minimizes supply–demand mismatches and reduces inventory levels, enhancing the profitability compared to traditional techniques and regular genetic algorithms. | 2020 |
| 11 | [83] | This paper introduces a novel multi-level serial closed-loop supply chain model, incorporating batch deliveries, a quality-dependent return rate, a random defective rate, a rework process, and learning effects, particularly focusing on the impact of learning on inventory control. It employs metaheuristic algorithms such as a genetic algorithm, invasive weed optimization algorithm, and moth flame optimization algorithm to address the complexity of the proposed model, demonstrating the significant influence of the learning effect on the manufacturing/remanufacturing time and system costs in closed-loop supply chain problems. | 2021 |
| 12 | [84] | This paper introduces a novel approach for a dual-channel, multi-product, multi-period, multi-echelon closed-loop supply chain network design (SCND) under uncertainty, specifically tailored for the tire industry. It utilizes a fuzzy approach to handle uncertain parameters and proposes two hybrid meta-heuristic algorithms, integrating red deer and whale optimization algorithms with a genetic algorithm and simulated annealing, respectively; this demonstrates their effectiveness in delivering high-quality solutions within a reasonable computational time. | 2021 |
| 13 | [85] | This paper presents a location-inventory optimization model for supply chain configuration, addressing stochastic customer demand and replenishment lead time. It employs a two-phase approach integrating the queuing theory and stochastic optimization to determine optimal distribution center locations and inventory policies, with a hybrid genetic algorithm designed to handle the NP-hard complexity of the problem; this offers a computationally tractable solution for supply chain optimization. | 2021 |
| 14 | [86] | This paper aims to optimize economic and environmental dimensions in a sustainable supply chain network through a mixed-integer linear programming (MILP) model, integrating sustainable supplier selection and performance optimization. Utilizing multi-objective genetic and particle swarm algorithms, it achieves a balance between cost minimization, time efficiency, and sustainability indexes, offering robust solutions for supply chain managers seeking to enhance their sustainability performance. | 2021 |
| 15 | [87] | This paper introduces a sustainable Closed-Loop Supply Chain Network (CLSCN) design for the olive industry, integrating economic, environmental, and social factors through a multi-objective optimization framework. It proposes novel hybrid optimization algorithms, including the Virus Colony Search (VCS) algorithm with simulated annealing (SA) and Electromagnetism-like Algorithm (EMA) with Genetic Algorithm (GA), demonstrating a superior efficiency in addressing the complex challenges of large-scale networks, which offer valuable insights for supply chain managers in the olive industry. | 2022 |
| 16 | [88] | This paper explores the utilization of the Particle Swarm Optimization (PSO) algorithm for the supply chain network design, and aims to optimize network configurations and improve operational efficiency. By leveraging PSO, the study offers insights into enhancing supply chain network design processes through efficient optimization techniques. | 2022 |
| 17 | [89] | This paper introduces a hybrid MDE_Restart and modified differential evolution (MDE) tailored for designing closed-loop supply chain networks, considering quantity discounts and fixed-charge transportation. By incorporating these algorithms, the algorithms efficiently optimize supply chain network configurations, addressing cost-saving strategies and logistical complexities. | 2022 |
| 18 | [90] | This paper focuses on designing a novel supply chain network by considering transportation delays and employing meta-heuristic techniques. It explores the application of meta-heuristics to optimize the supply chain network design, taking into account transportation delays for enhanced efficiency and performance. | 2022 |
| 19 | [91] | This paper introduces a novel metaheuristic approach tailored for a multi-objective supply chain network design, hybridizing a simulated annealing, tabu search, and variable neighborhood algorithms, along with linear programming. By combining these techniques, the approach aims to leverage the strengths of each algorithm, enhancing the solution quality and efficiency in supply chain network optimization. | 2023 |
| 20 | [92] | This paper presents a hybrid metaheuristic approach combining a greedy randomized adaptive search procedure (GRASP) and genetic algorithm (GA) integrated with a learning component to address a real-world supply chain scheduling problem effectively. By combining metaheuristic techniques with learning mechanisms, it offers a robust solution framework tailored to enhance scheduling efficiency in complex supply chain environments. | 2023 |
| 21 | [93] | This paper applies an improved multi-objective particle swarm optimization algorithm to address disruptions in the two-stage vehicle routing problem with time windows. By leveraging enhanced optimization techniques, it effectively balances multiple objectives, ensuring efficient routing solutions despite disruptions, and thus enhances the overall supply chain performance. | 2023 |
| 22 | [94] | This paper proposes the integration of the Grey Wolf Optimizer and Whale Optimization Algorithm to address stochastic inventory management challenges in a two-level supply chain for reusable products. By combining both algorithms, it enhances inventory control strategies, optimizing stock levels and minimizing costs in dynamic supply chain environments. | 2023 |
| 23 | [95] | This paper introduces a multi-objective dragonfly algorithm tailored for optimizing sustainable supply chains, particularly under resource-sharing conditions. By employing the dragonfly algorithm, it efficiently balances multiple objectives, enhancing sustainability practices in supply chain management through an optimized resource allocation. | 2024 |
| 24 | [96] | This paper presents a hybrid meta-heuristic approach aimed at designing a bi-objective cosmetic tourism supply chain, demonstrating its applicability through a case study. By leveraging meta-heuristic methods, it offers an optimized framework to balance the cost-efficiency and service quality within the cosmetic tourism sector. | 2024 |
| 25 | [97] | This paper proposes a hybrid whale optimization algorithm tailored for optimizing limited capacity vehicle routing in supply chain management. By integrating whale optimization techniques, it enhances routing efficiency, and addresses constraints and complexities inherent in supply chain logistics. | 2024 |
| WOA | WSO | AVOA | RSA | MPA | TSA | WA | MVO | GWO | TLBO | GSA | PSO | GA | ||
|---|---|---|---|---|---|---|---|---|---|---|---|---|---|---|
| C17-F1 | mean | 524.961 | 3.68 × 109 | 11,334,927 | 6.88 × 109 | 35,084,157 | 1.18 × 109 | 15,674,087 | 11,337,403 | 70,711,270 | 1.1 × 108 | 11,332,842 | 11,334,457 | 19,310,478 |
| best | 100.1337 | 3.12 × 109 | 5502.3 | 5.98 × 109 | 11,140.13 | 2.51 × 108 | 3,927,333 | 9510.768 | 22,309.98 | 44,355,673 | 3666.026 | 3831.382 | 7,525,902 | |
| worst | 1643.927 | 4.61 × 109 | 41,171,813 | 8.19 × 109 | 1.27 × 108 | 2.56 × 109 | 44,332,889 | 41,178,924 | 2.57 × 108 | 2.39 × 108 | 41,171,769 | 41,172,250 | 50,095,279 | |
| std | 815.4352 | 7.07 × 108 | 21,743,683 | 1.09 × 109 | 67,320,940 | 1.11 × 109 | 20,897,376 | 21,746,650 | 1.36 × 108 | 95,173,739 | 21,744,868 | 21,743,910 | 22,413,972 | |
| median | 177.8917 | 3.5 × 109 | 2,081,197 | 6.68 × 109 | 6,430,710 | 9.61 × 108 | 7,218,063 | 2,080,588 | 12,960,037 | 79,143,997 | 2,077,968 | 2,080,873 | 9,810,366 | |
| rank | 1 | 12 | 4 | 13 | 8 | 11 | 6 | 5 | 9 | 10 | 2 | 3 | 7 | |
| C17-F3 | mean | 300.0133 | 5557.276 | 656.894 | 6946.686 | 1400.974 | 7992.835 | 1617.886 | 655.6564 | 2519.006 | 942.4917 | 7357.19 | 655.6196 | 10,395.98 |
| best | 300.0059 | 3581.433 | 457.7548 | 4316.696 | 788.3982 | 3686.656 | 697.5888 | 457.7633 | 1284.363 | 572.9928 | 4624.991 | 457.7548 | 3742.932 | |
| worst | 300.0269 | 7096.024 | 1020.343 | 8967.983 | 2521.695 | 10,914.74 | 2497.271 | 1017.701 | 4777.81 | 1370.432 | 9845.627 | 1017.617 | 16,177.44 | |
| std | 0.010542 | 1671.14 | 281.9285 | 2309.198 | 870.3135 | 3337.817 | 985.4242 | 281.1508 | 1754.111 | 380.3548 | 2325.601 | 281.1151 | 7133.237 | |
| median | 300.0103 | 5775.823 | 574.7391 | 7251.033 | 1146.902 | 8684.974 | 1638.342 | 573.5806 | 2006.926 | 913.2708 | 7479.071 | 573.5532 | 10,831.78 | |
| rank | 1 | 9 | 4 | 10 | 6 | 12 | 7 | 3 | 8 | 5 | 11 | 2 | 13 | |
| C17-F4 | mean | 400.0001 | 751.2581 | 405.3619 | 1042.661 | 406.6922 | 520.9873 | 419.1006 | 404.4076 | 410.0676 | 408.3385 | 405.2283 | 415.8432 | 412.0756 |
| best | 400 | 586.876 | 401.9679 | 703.3198 | 402.434 | 453.5618 | 406.6237 | 402.2056 | 404.8878 | 407.2968 | 403.3221 | 400.8574 | 409.9993 | |
| worst | 400.0001 | 900.4412 | 407.4674 | 1375.483 | 411.3215 | 597.1338 | 450.3308 | 406.3686 | 422.7592 | 409.3592 | 407.1639 | 450.4723 | 415.491 | |
| std | 5.78 × 10−5 | 152.6885 | 2.677108 | 312.0505 | 4.771091 | 76.66537 | 22.76622 | 1.921951 | 9.280025 | 1.249711 | 2.269339 | 25.33462 | 2.583055 | |
| median | 400.0001 | 758.8575 | 406.0061 | 1045.92 | 406.5066 | 516.6267 | 409.7239 | 404.528 | 406.3117 | 408.349 | 405.2136 | 406.0215 | 411.406 | |
| rank | 1 | 12 | 4 | 13 | 5 | 11 | 10 | 2 | 7 | 6 | 3 | 9 | 8 | |
| C17-F5 | mean | 501.2465 | 546.0639 | 534.1456 | 553.7107 | 512.9544 | 547.9623 | 532.0536 | 520.3087 | 513.0506 | 527.3509 | 540.8192 | 523.167 | 523.243 |
| best | 500.9952 | 534.7172 | 522.2683 | 542.2803 | 508.392 | 534.761 | 519.3133 | 512.3122 | 508.6237 | 522.2608 | 536.0831 | 510.4081 | 519.8081 | |
| worst | 501.9918 | 552.3599 | 548.102 | 565.0885 | 518.0915 | 568.2777 | 554.9786 | 528.5494 | 519.6668 | 531.4124 | 547.4567 | 540.5667 | 528.8225 | |
| std | 0.54073 | 8.790434 | 14.05316 | 13.95646 | 5.549972 | 16.79014 | 17.81217 | 7.228481 | 5.293944 | 4.521172 | 5.229482 | 15.44505 | 4.31056 | |
| median | 500.9995 | 548.5892 | 533.1059 | 553.737 | 512.6671 | 544.4053 | 526.9612 | 520.1866 | 511.9559 | 527.8652 | 539.8686 | 520.8466 | 522.1708 | |
| rank | 1 | 11 | 9 | 13 | 2 | 12 | 8 | 4 | 3 | 7 | 10 | 5 | 6 | |
| C17-F6 | mean | 600 | 622.427 | 612.2172 | 628.1889 | 601.2043 | 617.3465 | 616.2108 | 601.8572 | 601.1587 | 605.0758 | 612.1393 | 605.4632 | 607.3961 |
| best | 600 | 619.185 | 611.5093 | 625.8807 | 600.7171 | 610.5267 | 605.3716 | 600.5972 | 600.6819 | 603.4816 | 602.2599 | 601.1933 | 604.9474 | |
| worst | 600 | 625.5096 | 613.8456 | 630.9364 | 602.4192 | 627.8731 | 631.1437 | 603.7271 | 601.5874 | 607.7086 | 624.9582 | 613.9345 | 610.6874 | |
| std | 1.07 × 10−5 | 2.916798 | 1.19743 | 2.547556 | 0.883737 | 8.071126 | 11.75541 | 1.530068 | 0.464716 | 2.088418 | 11.51153 | 6.314501 | 2.755938 | |
| median | 600 | 622.5067 | 611.7571 | 627.9693 | 600.8405 | 615.4931 | 614.164 | 601.5523 | 601.1827 | 604.5565 | 610.6696 | 603.3624 | 606.9748 | |
| rank | 1 | 12 | 9 | 13 | 3 | 11 | 10 | 4 | 2 | 5 | 8 | 6 | 7 | |
| C17-F7 | mean | 711.1269 | 773.8425 | 752.7079 | 779.2108 | 724.7594 | 795.6833 | 750.3349 | 729.0217 | 725.6989 | 743.4845 | 719.6236 | 730.2951 | 733.1163 |
| best | 710.6728 | 763.7127 | 739.358 | 771.616 | 720.5128 | 769.7413 | 741.4602 | 719.2818 | 718.4864 | 741.0113 | 717.5532 | 725.009 | 725.6534 | |
| worst | 711.7996 | 781.9515 | 770.3003 | 788.1838 | 729.2209 | 824.3351 | 770.0493 | 743.626 | 739.1095 | 749.3562 | 722.4981 | 738.5156 | 737.3097 | |
| std | 0.557349 | 8.20286 | 15.95527 | 8.430984 | 3.992319 | 25.77542 | 14.4834 | 11.23972 | 10.09514 | 4.278801 | 2.643607 | 6.336684 | 5.80094 | |
| median | 711.0176 | 774.8529 | 750.5867 | 778.5216 | 724.6519 | 794.3284 | 744.915 | 726.5895 | 722.5999 | 741.7853 | 719.2215 | 728.8279 | 734.751 | |
| rank | 1 | 11 | 10 | 12 | 3 | 13 | 9 | 5 | 4 | 8 | 2 | 6 | 7 | |
| C17-F8 | mean | 801.493 | 836.5212 | 825.3888 | 840.8137 | 812.7774 | 837.1173 | 828.9696 | 812.2052 | 814.9513 | 829.8901 | 817.6965 | 819.6812 | 815.5957 |
| best | 800.9951 | 832.909 | 816.7434 | 833.08 | 808.9252 | 825.9835 | 817.4319 | 809.8082 | 810.071 | 825.6459 | 812.9463 | 815.4581 | 813.4852 | |
| worst | 801.9913 | 839.8716 | 836.8082 | 844.1263 | 814.9398 | 849.0655 | 837.2411 | 814.2366 | 818.9738 | 834.1117 | 821.7669 | 824.7868 | 819.6825 | |
| std | 0.625643 | 4.106245 | 9.089877 | 5.640705 | 3.021479 | 11.21621 | 9.411005 | 1.981852 | 4.121949 | 5.248666 | 4.306634 | 5.348324 | 3.024761 | |
| median | 801.4927 | 836.6521 | 824.0018 | 843.0243 | 813.6223 | 836.7101 | 830.6028 | 812.3881 | 815.3803 | 829.9015 | 818.0364 | 819.24 | 814.6075 | |
| rank | 1 | 11 | 8 | 13 | 3 | 12 | 9 | 2 | 4 | 10 | 6 | 7 | 5 | |
| C17-F9 | mean | 900.0001 | 1258.633 | 1098.563 | 1289.325 | 905.2467 | 1230.161 | 1226.46 | 902.2423 | 909.8499 | 909.7766 | 901.6947 | 904.5936 | 905.1876 |
| best | 900 | 1154.645 | 936.8189 | 1222.699 | 900.3306 | 1084.935 | 1020.774 | 900.1655 | 900.4985 | 906.7986 | 900.1068 | 900.7778 | 903.7061 | |
| worst | 900.0002 | 1353.104 | 1424.462 | 1385.924 | 913.4677 | 1425.538 | 1416.941 | 904.3529 | 926.9905 | 914.1982 | 904.3501 | 908.9463 | 906.639 | |
| std | 7.79 × 10−5 | 94.16625 | 245.839 | 75.6181 | 6.435353 | 160.7559 | 181.196 | 2.39487 | 13.43242 | 3.417026 | 2.078648 | 3.688939 | 1.633171 | |
| median | 900 | 1263.392 | 1016.485 | 1274.339 | 903.5942 | 1205.086 | 1234.063 | 902.2255 | 905.9554 | 909.0547 | 901.161 | 904.3251 | 905.2027 | |
| rank | 1 | 12 | 9 | 13 | 6 | 11 | 10 | 3 | 8 | 7 | 2 | 4 | 5 | |
| C17-F10 | mean | 1006.185 | 2048.638 | 1692.933 | 2234.895 | 1516.181 | 1865.468 | 1860.324 | 1694.942 | 1657.459 | 1959.836 | 2031.652 | 1806.718 | 1650.865 |
| best | 1000.291 | 1839.737 | 1453.377 | 2112.631 | 1390.911 | 1703.387 | 1464.124 | 1437.155 | 1490.811 | 1654.871 | 1835.794 | 1505.414 | 1440.627 | |
| worst | 1012.673 | 2158.672 | 2116.927 | 2501.24 | 1591.233 | 2041.845 | 2239.508 | 2057.339 | 1862.253 | 2179.157 | 2126.146 | 2105.82 | 1942.696 | |
| std | 7.243172 | 154.8632 | 323.4461 | 195.0429 | 102.7074 | 193.9076 | 389.1079 | 310.5663 | 166.8985 | 244.947 | 145.7272 | 269.4419 | 230.3456 | |
| median | 1005.888 | 2098.073 | 1600.713 | 2162.856 | 1541.291 | 1858.321 | 1868.831 | 1642.636 | 1638.385 | 2002.658 | 2082.333 | 1807.82 | 1610.069 | |
| rank | 1 | 12 | 5 | 13 | 2 | 9 | 8 | 6 | 4 | 10 | 11 | 7 | 3 | |
| C17-F11 | mean | 1100 | 2683.382 | 1141.513 | 3058.505 | 1127.007 | 4055.888 | 1143.172 | 1127.319 | 1146.088 | 1143.141 | 1135.218 | 1138.149 | 1975.904 |
| best | 1100 | 1839.028 | 1127.583 | 1349.535 | 1113.181 | 3951.528 | 1127.72 | 1110.857 | 1118.875 | 1132.683 | 1128.479 | 1126.371 | 1129.13 | |
| worst | 1100.001 | 3501.686 | 1173.067 | 4740.709 | 1158.696 | 4106.402 | 1156.527 | 1137.324 | 1205.743 | 1153.139 | 1150.954 | 1162.916 | 4405.576 | |
| std | 0.000283 | 815.3282 | 23.12782 | 1661.682 | 23.39048 | 76.74835 | 14.47537 | 12.74923 | 44.16577 | 10.87845 | 11.5536 | 18.17365 | 1763.102 | |
| median | 1100 | 2696.406 | 1132.701 | 3071.889 | 1118.075 | 4082.811 | 1144.22 | 1130.547 | 1129.868 | 1143.371 | 1130.72 | 1131.655 | 1184.456 | |
| rank | 1 | 11 | 6 | 12 | 2 | 13 | 8 | 3 | 9 | 7 | 4 | 5 | 10 | |
| C17-F12 | mean | 1359.825 | 2.4 × 108 | 929,553.9 | 4.78 × 108 | 568,255.9 | 888,267 | 1,779,172 | 881,104.4 | 1,142,893 | 3,608,347 | 875,189.1 | 189,031.5 | 593,640.7 |
| best | 1327.313 | 53,915,999 | 484,966.2 | 1.06 × 108 | 19,884.71 | 371,868.6 | 313,281.2 | 202,852.7 | 37,219 | 1,113,386 | 565,303.2 | 13,728.52 | 362,439 | |
| worst | 1448.931 | 4.19 × 108 | 1,359,296 | 8.36 × 108 | 889,303.6 | 1,107,630 | 2,934,334 | 2,197,536 | 1,788,904 | 6,350,176 | 1,176,097 | 296,681.6 | 920,789.6 | |
| std | 64.77141 | 2.01 × 108 | 496,292.9 | 4.02 × 108 | 416,840.9 | 377,092.8 | 1,261,767 | 976,176 | 840,175.8 | 2,935,492 | 295,957.3 | 134,450.5 | 296,135.4 | |
| median | 1331.529 | 2.43 × 108 | 93,6976.9 | 4.85 × 108 | 681,917.6 | 1,036,785 | 1,934,537 | 562,014.4 | 1,372,724 | 3,484,914 | 879,677.9 | 222,858 | 545,667.2 | |
| rank | 1 | 12 | 8 | 13 | 3 | 7 | 10 | 6 | 9 | 11 | 5 | 2 | 4 | |
| C17-F13 | mean | 1305.374 | 11,655,637 | 14,180.79 | 23,302,984 | 5439.062 | 10,388.91 | 6892.523 | 6316.144 | 8736.138 | 13,092.15 | 8581.79 | 6243.416 | 38,661.03 |
| best | 1303.143 | 972,780.5 | 3993.255 | 1,935,730 | 3723.541 | 7241.321 | 4322.375 | 2751.979 | 5612.16 | 11,906.26 | 4996.23 | 3423.765 | 7889.229 | |
| worst | 1308.551 | 38,684,347 | 22,836.04 | 77,357,428 | 6652.159 | 14,879.49 | 11,845.78 | 10,488.98 | 11,899 | 14,978.26 | 11,762.01 | 13,427.3 | 124,179.4 | |
| std | 2.47525 | 19,652,738 | 10,768.36 | 39,303,453 | 1520.15 | 3548.894 | 3725.073 | 4326.323 | 2821.555 | 1439.779 | 3025.513 | 5229.269 | 62,071.96 | |
| median | 1304.901 | 3,482,711 | 14,946.94 | 6,959,389 | 5690.273 | 9717.419 | 5700.966 | 6011.811 | 8716.695 | 12,742.04 | 8784.46 | 4061.298 | 11,287.73 | |
| rank | 1 | 12 | 10 | 13 | 2 | 8 | 5 | 4 | 7 | 9 | 6 | 3 | 11 | |
| C17-F14 | mean | 1400.753 | 3207.7 | 1996.796 | 4252.9 | 1941.351 | 2922.796 | 1655.636 | 1691.51 | 2217.031 | 1704.358 | 4401.207 | 2657.575 | 9419.632 |
| best | 1400 | 2606.891 | 1642.946 | 3737.137 | 1435.115 | 1476.268 | 1476.898 | 1432.284 | 1460.546 | 1495.409 | 3613.673 | 1433.413 | 2990.105 | |
| worst | 1401.013 | 3876.434 | 2385.618 | 5141.442 | 2906.859 | 4249.915 | 1986.245 | 2289.494 | 4304.612 | 2036.772 | 6062.121 | 5278.611 | 17,992.18 | |
| std | 0.545908 | 565.9558 | 341.6936 | 704.1598 | 751.2384 | 1521.565 | 251.4321 | 442.8159 | 1516.819 | 263.5596 | 1232.247 | 1962.027 | 6855.379 | |
| median | 1400.999 | 3173.738 | 1979.311 | 4066.511 | 1711.715 | 2982.502 | 1579.7 | 1522.132 | 1551.482 | 1642.626 | 3964.516 | 1959.138 | 8348.119 | |
| rank | 1 | 10 | 6 | 11 | 5 | 9 | 2 | 3 | 7 | 4 | 12 | 8 | 13 | |
| C17-F15 | mean | 1500.361 | 8206.493 | 4878.424 | 10,697.31 | 3981.327 | 6034.93 | 5502.834 | 2329.873 | 5228.696 | 2443.426 | 17,486.45 | 7388.224 | 4370.894 |
| best | 1500.042 | 3488.99 | 2446.287 | 3143.54 | 3227.091 | 2862.292 | 2592.865 | 2075.444 | 3462.448 | 2166.282 | 8842.964 | 3174.407 | 2648.946 | |
| worst | 1500.53 | 13,039.77 | 9793.3 | 21,824.41 | 4899.528 | 9552.295 | 10704.09 | 2624.681 | 6095.701 | 2655.137 | 25,606.14 | 11,618.1 | 6725.968 | |
| std | 0.250209 | 4560.742 | 3631.9 | 8934.354 | 755.0654 | 3082.463 | 3882.324 | 246.7207 | 1315.114 | 222.6099 | 8586.324 | 3809.992 | 2135.416 | |
| median | 1500.437 | 8148.604 | 3637.054 | 8910.65 | 3899.345 | 5862.567 | 4357.191 | 2309.684 | 5678.318 | 2476.142 | 17,748.34 | 7380.193 | 4054.331 | |
| rank | 1 | 11 | 6 | 12 | 4 | 9 | 8 | 2 | 7 | 3 | 13 | 10 | 5 | |
| C17-F16 | mean | 1600.761 | 1900.516 | 1769.426 | 1909.745 | 1684.399 | 1930.692 | 1865.015 | 1773.953 | 1714.428 | 1679.426 | 1948.241 | 1846.807 | 1764.529 |
| best | 1600.357 | 1858.353 | 1665.83 | 1785.955 | 1641.831 | 1791.517 | 1738.35 | 1699.341 | 1624.246 | 1662.43 | 1848.973 | 1777.256 | 1717.698 | |
| worst | 1601.121 | 1979.798 | 1834.815 | 2094.593 | 1715.063 | 2054.979 | 1951.499 | 1825.699 | 1790.109 | 1726.151 | 2090.318 | 1959.936 | 1790.358 | |
| std | 0.343607 | 58.85268 | 79.01002 | 142.7659 | 34.28364 | 130.2233 | 108.7908 | 58.22458 | 74.35455 | 33.96555 | 117.4983 | 88.81498 | 35.40944 | |
| median | 1600.783 | 1881.956 | 1788.531 | 1879.216 | 1690.351 | 1938.136 | 1885.106 | 1785.385 | 1721.678 | 1664.561 | 1926.837 | 1825.019 | 1775.03 | |
| rank | 1 | 10 | 6 | 11 | 3 | 12 | 9 | 7 | 4 | 2 | 13 | 8 | 5 | |
| C17-F17 | mean | 1700.1 | 1794.496 | 1746.171 | 1791.903 | 1735.826 | 1780.923 | 1807.866 | 1808.464 | 1758.08 | 1751.196 | 1811.173 | 1747.11 | 1749.567 |
| best | 1700.021 | 1778.527 | 1731.06 | 1789.161 | 1721.966 | 1766.755 | 1757.178 | 1760.989 | 1724.312 | 1739.839 | 1739.63 | 1738.738 | 1743.096 | |
| worst | 1700.332 | 1810.988 | 1771.569 | 1793.685 | 1775.099 | 1793.03 | 1852.752 | 1894.233 | 1840.709 | 1768.62 | 1909.589 | 1761.195 | 1763.32 | |
| std | 0.168756 | 14.47357 | 20.15118 | 2.196325 | 28.50737 | 11.88133 | 43.6283 | 68.30667 | 60.14773 | 14.19162 | 91.70801 | 10.91586 | 10.10979 | |
| median | 1700.023 | 1794.234 | 1741.026 | 1792.383 | 1723.12 | 1781.953 | 1810.766 | 1789.316 | 1733.649 | 1748.162 | 1797.736 | 1744.254 | 1745.926 | |
| rank | 1 | 10 | 3 | 9 | 2 | 8 | 11 | 12 | 7 | 6 | 13 | 4 | 5 | |
| C17-F18 | mean | 1805.472 | 1,937,812 | 11,592.43 | 3,859,328 | 11,046.44 | 11,729.46 | 19,340.8 | 17,743.35 | 17,038.9 | 23,534.35 | 10,141.58 | 18,372.21 | 12,240.5 |
| best | 1800.031 | 104,413.2 | 8000.928 | 195,598.3 | 4158.101 | 9774.936 | 7238.468 | 8762.729 | 5623.329 | 17,578.48 | 7200.72 | 6277.813 | 7047.84 | |
| worst | 1820.536 | 5,610,349 | 15,888.78 | 11,198,386 | 16512.9 | 13,065.45 | 28,477.64 | 28,146.98 | 27,452.73 | 27,845.99 | 12,745.91 | 30,442.87 | 17,841.83 | |
| std | 10.9348 | 2,776,083 | 3713.951 | 5,548,994 | 6115.074 | 1540.453 | 10,707.21 | 9103.721 | 12,055.93 | 5135.676 | 3058.828 | 14,952.74 | 4993.52 | |
| median | 1800.659 | 1,018,243 | 11,240 | 2,021,664 | 11,757.38 | 12,038.73 | 20,823.55 | 17,031.85 | 17,539.77 | 24,356.47 | 10,309.85 | 18,384.07 | 12,036.17 | |
| rank | 1 | 12 | 4 | 13 | 3 | 5 | 10 | 8 | 7 | 11 | 2 | 9 | 6 | |
| C17-F19 | mean | 1900.489 | 264,028.9 | 6348.121 | 478,141.9 | 5596.938 | 86,747.54 | 25,361.63 | 3104.113 | 5451.765 | 4986.742 | 29,163.34 | 18,689.69 | 5992.339 |
| best | 1900.044 | 18,200.91 | 2222.255 | 31,876.91 | 2317.711 | 2226.212 | 6057.374 | 2041.355 | 2139.168 | 2329.755 | 10,083.21 | 2650.034 | 4067.144 | |
| worst | 1901.65 | 553,293.8 | 11,531.75 | 1,024,005 | 9413.121 | 172,704.7 | 45,687.83 | 4337.454 | 11913.97 | 9200.897 | 40,551.08 | 55,068.56 | 9728.734 | |
| std | 0.843567 | 254,409.1 | 4310.376 | 486,854.9 | 3935.834 | 105,192.3 | 17,629.55 | 1270.007 | 4791.592 | 3211.506 | 15,355.66 | 26,810.95 | 2785.874 | |
| median | 1900.132 | 242,310.5 | 5819.24 | 428,342.7 | 5328.461 | 86,029.65 | 24,850.65 | 3018.822 | 3876.958 | 4208.157 | 33,009.53 | 8520.081 | 5086.739 | |
| rank | 1 | 12 | 7 | 13 | 5 | 11 | 9 | 2 | 4 | 3 | 10 | 8 | 6 | |
| C17-F20 | mean | 2000.313 | 2175.272 | 2145.223 | 2180.725 | 2092.282 | 2170.138 | 2169.607 | 2124.244 | 2144.786 | 2078.53 | 2201.482 | 2144.152 | 2063.786 |
| best | 2000.313 | 2138.484 | 2060.859 | 2140.017 | 2072.717 | 2099.604 | 2106.196 | 2060.449 | 2112.075 | 2064.749 | 2153.605 | 2126.705 | 2052.918 | |
| worst | 2000.314 | 2214.292 | 2222.772 | 2228.079 | 2122.777 | 2240.64 | 2218.295 | 2190.924 | 2206.125 | 2090.257 | 2274.333 | 2159.383 | 2073.555 | |
| std | 0.000283 | 33.81929 | 80.32377 | 44.73422 | 23.34473 | 63.8206 | 60.64228 | 58.24183 | 45.69562 | 12.21004 | 63.21432 | 15.68442 | 9.418732 | |
| median | 2000.313 | 2174.157 | 2148.63 | 2177.402 | 2086.817 | 2170.154 | 2176.97 | 2122.802 | 2130.471 | 2079.557 | 2188.996 | 2145.261 | 2064.335 | |
| rank | 1 | 11 | 8 | 12 | 4 | 10 | 9 | 5 | 7 | 3 | 13 | 6 | 2 | |
| C17-F21 | mean | 2200.001 | 2280.477 | 2227.83 | 2263.934 | 2257.213 | 2303.242 | 2292.873 | 2254.468 | 2295.2 | 2285.987 | 2332.458 | 2298.927 | 2284.957 |
| best | 2200.001 | 2249.031 | 2221.539 | 2234.916 | 2254.723 | 2232.628 | 2230.706 | 2217.681 | 2291.546 | 2221.212 | 2319.818 | 2292.665 | 2237.284 | |
| worst | 2200.001 | 2299.235 | 2245.112 | 2279.751 | 2259.75 | 2335.255 | 2321.995 | 2291.123 | 2299.385 | 2311.381 | 2343.962 | 2304.255 | 2307.614 | |
| std | 2.8 × 10−5 | 25.23157 | 12.54734 | 21.8615 | 2.315335 | 52.22696 | 45.57287 | 45.21834 | 3.510268 | 47.25579 | 10.93935 | 6.319345 | 34.98016 | |
| median | 2200.001 | 2286.822 | 2222.334 | 2270.535 | 2257.189 | 2322.543 | 2309.395 | 2254.534 | 2294.934 | 2305.677 | 2333.025 | 2299.395 | 2297.466 | |
| rank | 1 | 6 | 2 | 5 | 4 | 12 | 9 | 3 | 10 | 8 | 13 | 11 | 7 | |
| C17-F22 | mean | 2300.073 | 2571.208 | 2307.705 | 2718.942 | 2305.009 | 2582.069 | 2317.746 | 2291.98 | 2307.446 | 2314.881 | 2301.621 | 2310.61 | 2313.767 |
| best | 2300 | 2490.179 | 2305.984 | 2576.992 | 2300.945 | 2401.37 | 2314.879 | 2252.49 | 2301.163 | 2310.086 | 2300.305 | 2300.737 | 2310.489 | |
| worst | 2300.29 | 2652.786 | 2309.022 | 2824.241 | 2309.371 | 2724.336 | 2321.613 | 2305.396 | 2318.213 | 2324.244 | 2303.027 | 2332.724 | 2316.405 | |
| std | 0.157881 | 78.2743 | 1.374266 | 113.2176 | 3.86487 | 156.7579 | 3.573589 | 28.65228 | 8.222771 | 7.222682 | 1.246748 | 16.19632 | 2.736905 | |
| median | 2300 | 2570.935 | 2307.908 | 2737.267 | 2304.861 | 2601.284 | 2317.246 | 2305.016 | 2305.204 | 2312.598 | 2301.577 | 2304.49 | 2314.087 | |
| rank | 2 | 11 | 6 | 13 | 4 | 12 | 10 | 1 | 5 | 9 | 3 | 7 | 8 | |
| C17-F23 | mean | 2600.92 | 2665.481 | 2633.228 | 2672.943 | 2614.362 | 2688.441 | 2637.739 | 2618.393 | 2613.966 | 2633.55 | 2734.861 | 2634.733 | 2642.783 |
| best | 2600.003 | 2642.314 | 2624.602 | 2652.475 | 2611.916 | 2628.43 | 2626.288 | 2609.954 | 2609.142 | 2627.041 | 2691.153 | 2629.055 | 2630.113 | |
| worst | 2602.87 | 2679.861 | 2646.159 | 2701.372 | 2617.068 | 2718.074 | 2650.653 | 2627.122 | 2619.397 | 2639.076 | 2828.285 | 2642.301 | 2647.923 | |
| std | 1.436886 | 19.03012 | 10.69532 | 24.51551 | 2.657748 | 44.22326 | 14.33956 | 8.128652 | 5.671674 | 6.129323 | 70.40567 | 6.238909 | 9.268331 | |
| median | 2600.403 | 2669.875 | 2631.075 | 2668.961 | 2614.232 | 2703.63 | 2637.008 | 2618.248 | 2613.662 | 2634.042 | 2710.003 | 2633.788 | 2646.549 | |
| rank | 1 | 10 | 5 | 11 | 3 | 12 | 8 | 4 | 2 | 6 | 13 | 7 | 9 | |
| C17-F24 | mean | 2630.488 | 2736.642 | 2723.622 | 2779.479 | 2630.653 | 2656.202 | 2718.873 | 2666.403 | 2710.841 | 2715.63 | 2709.95 | 2722.235 | 2693.422 |
| best | 2516.678 | 2703.685 | 2702.511 | 2761.6 | 2616.912 | 2561.42 | 2696.792 | 2538.642 | 2690.129 | 2703.164 | 2545.013 | 2715.962 | 2569.749 | |
| worst | 2732.318 | 2784.69 | 2737.033 | 2822.656 | 2637.477 | 2755.003 | 2741.205 | 2719.384 | 2722.25 | 2724.215 | 2813.878 | 2737.598 | 2754.381 | |
| std | 126.7869 | 40.6602 | 17.32047 | 31.51329 | 10.15127 | 114.4679 | 19.7997 | 93.14654 | 16.04728 | 10.58233 | 125.6036 | 11.18284 | 91.04191 | |
| median | 2636.477 | 2729.096 | 2727.472 | 2766.829 | 2634.112 | 2654.192 | 2718.748 | 2703.793 | 2715.493 | 2717.571 | 2740.456 | 2717.689 | 2724.778 | |
| rank | 1 | 12 | 11 | 13 | 2 | 3 | 9 | 4 | 7 | 8 | 6 | 10 | 5 | |
| C17-F25 | mean | 2932.639 | 3066.739 | 2914.879 | 3161.296 | 2917.869 | 3064.189 | 2910.844 | 2920.721 | 2931.977 | 2928.472 | 2920.837 | 2921.558 | 2941.165 |
| best | 2898.048 | 3017.402 | 2904.637 | 3116.49 | 2913.655 | 2911.445 | 2812.602 | 2905.152 | 2918.794 | 2915.322 | 2906.249 | 2904.347 | 2931.162 | |
| worst | 2945.793 | 3173.63 | 2940.741 | 3212.379 | 2923.322 | 3419.166 | 2945.908 | 2937.131 | 2938.605 | 2941.319 | 2935.273 | 2938.318 | 2950.055 | |
| std | 25.12849 | 79.20248 | 18.8118 | 43.35503 | 4.454837 | 260.217 | 71.34755 | 18.78415 | 9.723656 | 15.99494 | 16.53881 | 19.6432 | 8.745852 | |
| median | 2943.359 | 3037.962 | 2907.07 | 3158.158 | 2917.25 | 2963.072 | 2942.433 | 2920.3 | 2935.254 | 2928.624 | 2920.912 | 2921.784 | 2941.722 | |
| rank | 9 | 12 | 2 | 13 | 3 | 11 | 1 | 4 | 8 | 7 | 5 | 6 | 10 | |
| C17-F26 | mean | 2900.001 | 3382.176 | 2990.346 | 3517.29 | 3011.931 | 3425.317 | 3128.223 | 2936.255 | 3184.076 | 3144.248 | 3588.783 | 2938.909 | 2934.265 |
| best | 2900 | 3252.231 | 2846.112 | 3388.782 | 2892.096 | 3063.183 | 3005.502 | 2897.578 | 2944.427 | 2917.405 | 2846.112 | 2909.225 | 2766.749 | |
| worst | 2900.005 | 3502.992 | 3201.721 | 3719.105 | 3294.533 | 3840.003 | 3368.513 | 3027.513 | 3710.957 | 3689.633 | 4010.845 | 2971.58 | 3052.759 | |
| std | 0.002495 | 125.409 | 190.2343 | 170.3872 | 205.9921 | 381.348 | 178.6263 | 66.51778 | 385.449 | 397.2118 | 558.1185 | 36.64296 | 135.6199 | |
| median | 2900 | 3386.74 | 2956.775 | 3480.638 | 2930.547 | 3399.042 | 3069.438 | 2909.964 | 3040.459 | 2984.976 | 3749.087 | 2937.416 | 2958.777 | |
| rank | 1 | 10 | 5 | 12 | 6 | 11 | 7 | 3 | 9 | 8 | 13 | 4 | 2 | |
| C17-F27 | mean | 3089.518 | 3176.16 | 3115.12 | 3190.533 | 3104.729 | 3155.518 | 3165.966 | 3095.863 | 3112.479 | 3111.787 | 3187.075 | 3126.028 | 3142.268 |
| best | 3089.518 | 3139.627 | 3096.185 | 3115.983 | 3092.25 | 3101.018 | 3163.933 | 3090.591 | 3093.739 | 3095.769 | 3175.598 | 3095.543 | 3110.642 | |
| worst | 3089.519 | 3229.181 | 3165.894 | 3318.713 | 3133.92 | 3186.781 | 3169.918 | 3103.99 | 3163.082 | 3146.687 | 3197.672 | 3167.57 | 3180.087 | |
| std | 0.000258 | 41.31607 | 36.87161 | 96.41772 | 21.33304 | 42.61764 | 2.941028 | 6.231611 | 36.776 | 26.11514 | 10.3653 | 33.26104 | 31.2902 | |
| median | 3089.518 | 3167.916 | 3099.202 | 3163.719 | 3096.373 | 3167.136 | 3165.006 | 3094.436 | 3096.547 | 3102.347 | 3187.515 | 3120.499 | 3139.172 | |
| rank | 1 | 11 | 6 | 13 | 3 | 9 | 10 | 2 | 5 | 4 | 12 | 7 | 8 | |
| C17-F28 | mean | 3100.001 | 3472.447 | 3230.597 | 3598.736 | 3218.691 | 3467.955 | 3264.961 | 3232.373 | 3304.368 | 3290.91 | 3376.088 | 3277.745 | 3237.54 |
| best | 3100.001 | 3448.59 | 3140.143 | 3544.749 | 3167.015 | 3338.977 | 3180.891 | 3121.73 | 3185.832 | 3223.642 | 3362.853 | 3192.413 | 3152.068 | |
| worst | 3100.002 | 3495.874 | 3318.446 | 3645.846 | 3243.613 | 3611.565 | 3337.289 | 3336.943 | 3357.895 | 3337.106 | 3390.385 | 3327.361 | 3420.354 | |
| std | 0.000467 | 21.14141 | 86.66249 | 46.20507 | 38.58309 | 152.4255 | 81.7028 | 124.7467 | 86.67706 | 54.3051 | 12.33499 | 67.19946 | 134.348 | |
| median | 3100.002 | 3472.663 | 3231.9 | 3602.175 | 3232.067 | 3460.638 | 3270.832 | 3235.409 | 3336.873 | 3301.446 | 3375.557 | 3295.603 | 3188.87 | |
| rank | 1 | 12 | 3 | 13 | 2 | 11 | 6 | 4 | 9 | 8 | 10 | 7 | 5 | |
| C17-F29 | mean | 3132.242 | 3295.9 | 3258.581 | 3320.121 | 3203.311 | 3225.803 | 3302.263 | 3203.027 | 3245.45 | 3209.785 | 3300.22 | 3246.042 | 3226.48 |
| best | 3130.077 | 3269.628 | 3196.236 | 3259.654 | 3166.071 | 3172.458 | 3229.774 | 3150.143 | 3186.591 | 3182.227 | 3223.206 | 3167.381 | 3187.635 | |
| worst | 3134.842 | 3320.122 | 3310.054 | 3371.149 | 3244.88 | 3261.33 | 3396.269 | 3264.241 | 3336.404 | 3238.622 | 3500.764 | 3296.54 | 3248.091 | |
| std | 2.701737 | 22.71632 | 64.10475 | 64.06077 | 37.75313 | 41.05607 | 75.19883 | 51.00489 | 78.42987 | 26.51012 | 145.7147 | 63.85654 | 31.07757 | |
| median | 3132.023 | 3296.925 | 3264.017 | 3324.841 | 3201.146 | 3234.712 | 3291.504 | 3198.863 | 3229.403 | 3209.146 | 3238.454 | 3260.124 | 3235.097 | |
| rank | 1 | 10 | 9 | 13 | 3 | 5 | 12 | 2 | 7 | 4 | 11 | 8 | 6 | |
| C17-F30 | mean | 3423.707 | 1,659,881 | 332,889.1 | 2,617,672 | 413,992.4 | 548,981.2 | 804,162.1 | 338,396.8 | 766,098.9 | 174,698.1 | 662,631.2 | 395,413.9 | 1,165,787 |
| best | 3394.834 | 1,300,276 | 112,282.8 | 734,672.7 | 15,907.74 | 273,256.2 | 142,949 | 10,169.88 | 27,840.67 | 24,936.49 | 582,053.2 | 10,531.89 | 532,136.6 | |
| worst | 3449.444 | 2,183,767 | 675,809.4 | 3,928,496 | 611,011.8 | 883,172.6 | 2,706,390 | 955,766.7 | 1,099,071 | 228,475.1 | 733,085.5 | 715,543.4 | 2,356,340 | |
| std | 31.91655 | 413,046.5 | 262,887.1 | 1,473,594 | 294,132.7 | 283,788.3 | 1,380,451 | 458,510.5 | 550,547.6 | 108,731.4 | 68,368.52 | 385,165.3 | 931,541.8 | |
| median | 3425.275 | 1,577,740 | 271,732.1 | 2,903,759 | 514,525 | 519,748 | 183,654.5 | 193,825.3 | 968,742 | 222,690.3 | 667,693 | 427,790.1 | 887,336.2 | |
| rank | 1 | 12 | 3 | 13 | 6 | 7 | 10 | 4 | 9 | 2 | 8 | 5 | 11 | |
| Sum rank | 38 | 319 | 178 | 351 | 107 | 287 | 240 | 117 | 188 | 191 | 240 | 184 | 199 | |
| Mean rank | 1.310345 | 11 | 6.137931 | 12.10345 | 3.689655 | 9.896552 | 8.275862 | 4.034483 | 6.482759 | 6.586207 | 8.275862 | 6.344828 | 6.862069 | |
| Total rank | 1 | 11 | 4 | 12 | 2 | 10 | 9 | 3 | 6 | 7 | 9 | 5 | 8 | |
| WOA | WSO | AVOA | RSA | MPA | TSA | WA | MVO | GWO | TLBO | GSA | PSO | GA | ||
|---|---|---|---|---|---|---|---|---|---|---|---|---|---|---|
| C17-F1 | mean | 100.321 | 1.77 × 1010 | 10,685.55 | 2.76 × 1010 | 26,598.07 | 1.21 × 1010 | 1.14 × 109 | 370,179.6 | 1.12 × 109 | 4.15 × 109 | 7,073,087 | 9.45 × 108 | 1.2 × 108 |
| best | 100.1471 | 1.52 × 1010 | 4334.555 | 2.47 × 1010 | 12,240.79 | 7.57 × 109 | 9.03 × 108 | 284,867.6 | 1.85 × 108 | 2.62 × 109 | 7494.322 | 6473.386 | 89,553,528 | |
| worst | 100.4886 | 2.21 × 1010 | 14,216.89 | 3.4 × 1010 | 40,439.21 | 1.64 × 1010 | 1.42 × 109 | 471,460.9 | 3.38 × 109 | 6.19 × 109 | 24,666,807 | 3.78 × 109 | 1.65 × 108 | |
| std | 0.179642 | 3.5 × 109 | 4844.679 | 4.69 × 109 | 14,830.93 | 4.5 × 109 | 2.89 × 108 | 100,748.3 | 1.65 × 109 | 1.62 × 109 | 12,897,361 | 2.05 × 109 | 35,735,136 | |
| median | 100.3241 | 1.67 × 1010 | 12,095.38 | 2.6 × 1010 | 26,856.13 | 1.21 × 1010 | 1.13 × 109 | 362,195.1 | 4.63 × 108 | 3.9 × 109 | 1,809,023 | 2,161,490 | 1.12 × 108 | |
| rank | 1 | 12 | 2 | 13 | 3 | 11 | 9 | 4 | 8 | 10 | 5 | 7 | 6 | |
| C17-F3 | mean | 300.0097 | 65,817.27 | 30,416.06 | 49,852.4 | 1097.134 | 32,095.35 | 156,312.3 | 1549.657 | 28,375 | 23,677.99 | 64,815.85 | 21,801.7 | 112,811.6 |
| best | 300.0066 | 60,055.35 | 16,758.56 | 38,605.67 | 847.3858 | 30,389.58 | 129,345 | 1309.708 | 24,870.1 | 20,293.19 | 55,814.11 | 15,738.98 | 85,487.74 | |
| worst | 300.0127 | 72,311.27 | 39,191.48 | 54,205.29 | 1350.318 | 33,835.91 | 179,603.5 | 2032.346 | 31,610.35 | 25,577.04 | 71,261.16 | 27,862.37 | 156,686.7 | |
| std | 0.002977 | 6574.407 | 10,469.64 | 8190.228 | 245.7846 | 1825.463 | 22,754.38 | 358.527 | 3004.585 | 2601.686 | 7609.278 | 6045.363 | 36,800.58 | |
| median | 300.0096 | 65,451.23 | 32,857.1 | 53,299.32 | 1095.416 | 32,077.96 | 158,150.4 | 1428.288 | 28,509.77 | 24,420.87 | 66,094.06 | 21,802.72 | 104,535.9 | |
| rank | 1 | 11 | 7 | 9 | 2 | 8 | 13 | 3 | 6 | 5 | 10 | 4 | 12 | |
| C17-F4 | mean | 458.562 | 4497.82 | 507.4049 | 6769.478 | 492.9231 | 3218.49 | 737.6698 | 495.3664 | 545.8814 | 771.9046 | 561.2869 | 581.0463 | 707.4596 |
| best | 458.5618 | 2595.808 | 489.4793 | 4395.695 | 482.5108 | 864.6459 | 692.8323 | 486.716 | 515.4298 | 631.5341 | 545.044 | 507.0297 | 669.8195 | |
| worst | 458.5622 | 6028.379 | 518.5563 | 9395.177 | 514.5439 | 5241.204 | 788.9501 | 511.4194 | 563.6119 | 1048.057 | 575.9539 | 705.3547 | 728.9632 | |
| std | 0.000194 | 1548.396 | 14.71553 | 2259.035 | 16.0097 | 2010.662 | 45.95634 | 11.93234 | 22.85959 | 203.8477 | 13.76958 | 97.14601 | 28.81583 | |
| median | 458.5619 | 4683.547 | 510.7919 | 6643.519 | 487.3189 | 3384.056 | 734.4484 | 491.665 | 552.242 | 704.0139 | 562.0749 | 555.9004 | 715.5279 | |
| rank | 1 | 12 | 4 | 13 | 2 | 11 | 9 | 3 | 5 | 10 | 6 | 7 | 8 | |
| C17-F5 | mean | 502.4884 | 759.2186 | 678.7108 | 785.6342 | 582.8792 | 724.9132 | 744.6379 | 607.2809 | 608.9598 | 709.0273 | 676.9627 | 616.1536 | 663.1888 |
| best | 500.9962 | 743.9431 | 652.0313 | 766.2516 | 560.4361 | 703.8315 | 717.82 | 599.627 | 589.0987 | 686.5317 | 665.416 | 597.8302 | 637.5721 | |
| worst | 503.9807 | 768.9604 | 725.745 | 802.0721 | 605.8082 | 740.3558 | 761.3818 | 623.7057 | 629.428 | 734.2369 | 692.8394 | 647.6527 | 707.261 | |
| std | 1.397794 | 12.27923 | 35.68684 | 20.43924 | 20.69349 | 18.39896 | 20.39776 | 12.13838 | 21.08365 | 22.59552 | 12.54084 | 23.73591 | 33.09432 | |
| median | 502.4883 | 761.9856 | 668.5334 | 787.1066 | 582.6362 | 727.7327 | 749.6749 | 602.8954 | 608.6563 | 707.6703 | 674.7977 | 609.5657 | 653.961 | |
| rank | 1 | 12 | 8 | 13 | 2 | 10 | 11 | 3 | 4 | 9 | 7 | 5 | 6 | |
| C17-F6 | mean | 600 | 654.6673 | 632.4048 | 656.7921 | 603.2431 | 652.7484 | 652.2338 | 617.4266 | 609.0318 | 630.1329 | 638.9866 | 632.5584 | 621.3114 |
| best | 600 | 653.9089 | 630.8969 | 652.8186 | 601.9816 | 642.2756 | 645.0398 | 609.885 | 604.0154 | 624.9456 | 638.0784 | 623.9718 | 616.4128 | |
| worst | 600.0001 | 656.0022 | 634.622 | 661.0946 | 604.636 | 658.9347 | 655.7002 | 625.5434 | 613.3883 | 637.7483 | 640.1017 | 639.599 | 624.5343 | |
| std | 1.52 × 10−5 | 0.998103 | 1.821507 | 4.163943 | 1.25521 | 8.359827 | 5.402937 | 8.205328 | 4.240661 | 5.980629 | 0.909554 | 7.604179 | 3.935982 | |
| median | 600 | 654.3791 | 632.0501 | 656.6276 | 603.1775 | 654.8916 | 654.0976 | 617.139 | 609.3618 | 628.919 | 638.8832 | 633.3314 | 622.1492 | |
| rank | 1 | 12 | 7 | 13 | 2 | 11 | 10 | 4 | 3 | 6 | 9 | 8 | 5 | |
| C17-F7 | mean | 733.4794 | 1149.718 | 1047.868 | 1177.137 | 846.3755 | 1099.994 | 1155.758 | 851.3168 | 872.5922 | 1000.192 | 930.0361 | 867.6688 | 927.5223 |
| best | 732.8198 | 1112.149 | 987.1501 | 1159.234 | 819.4609 | 996.6506 | 1125.986 | 806.6683 | 819.8287 | 954.6034 | 902.5773 | 844.6827 | 892.1004 | |
| worst | 734.5219 | 1179.25 | 1148.194 | 1210.139 | 899.933 | 1197.918 | 1201.539 | 895.7276 | 898.4205 | 1048.75 | 972.079 | 880.6517 | 981.6722 | |
| std | 0.821002 | 34.04323 | 80.55568 | 24.77527 | 39.60517 | 99.38956 | 35.21412 | 43.22535 | 39.05309 | 55.27444 | 32.84374 | 17.78993 | 41.52581 | |
| median | 733.2879 | 1153.737 | 1028.063 | 1169.588 | 833.054 | 1102.703 | 1147.754 | 851.4358 | 886.0599 | 998.7069 | 922.744 | 872.6705 | 918.1583 | |
| rank | 1 | 11 | 9 | 13 | 2 | 10 | 12 | 3 | 5 | 8 | 7 | 4 | 6 | |
| C17-F8 | mean | 803.3309 | 1021.091 | 930.2196 | 1046.227 | 890.5574 | 1003.64 | 984.4257 | 892.4033 | 891.5049 | 979.1958 | 938.1944 | 912.7277 | 954.795 |
| best | 801.2034 | 1011.594 | 912.4427 | 1032.472 | 883.8529 | 976.3113 | 944.1651 | 871.6459 | 886.7197 | 966.3352 | 924.3735 | 904.7129 | 941.7634 | |
| worst | 804.1585 | 1034.679 | 944.4631 | 1064.184 | 898.683 | 1073.681 | 1015.226 | 910.3595 | 896.6279 | 1004.115 | 954.112 | 923.136 | 968.5517 | |
| std | 1.546284 | 11.69464 | 16.26743 | 16.48438 | 6.663041 | 51.0861 | 32.80419 | 19.18577 | 4.439787 | 18.41799 | 14.71108 | 8.383976 | 13.55689 | |
| median | 803.9808 | 1019.045 | 931.9863 | 1044.126 | 889.8469 | 982.2843 | 989.1557 | 893.8039 | 891.336 | 973.1666 | 937.146 | 911.5309 | 954.4324 | |
| rank | 1 | 12 | 6 | 13 | 2 | 11 | 10 | 4 | 3 | 9 | 7 | 5 | 8 | |
| C17-F9 | mean | 900.0022 | 7729.349 | 3598.754 | 7501.126 | 1083.68 | 8081.899 | 7771.083 | 4022.987 | 1751.6 | 4236.939 | 3098.017 | 2740.35 | 1223.889 |
| best | 900.0004 | 6605.951 | 2725.803 | 7351.551 | 929.6087 | 5012.326 | 5997.402 | 3226.378 | 1415.743 | 3109.149 | 2785.48 | 1804.64 | 1093.835 | |
| worst | 900.0041 | 8766.843 | 4100.425 | 7639.374 | 1235.592 | 10819.73 | 9225.736 | 5938.477 | 2231.569 | 6265.575 | 3681.672 | 3942.438 | 1392.341 | |
| std | 0.001864 | 984.4253 | 663.0424 | 128.2036 | 153.9209 | 2607.127 | 1782.945 | 1396.078 | 423.1381 | 1550.553 | 449.7933 | 994.7306 | 150.2506 | |
| median | 900.0022 | 7772.301 | 3784.395 | 7506.789 | 1084.761 | 8247.768 | 7930.596 | 3463.546 | 1679.544 | 3786.515 | 2962.458 | 2607.161 | 1204.69 | |
| rank | 1 | 11 | 7 | 10 | 2 | 13 | 12 | 8 | 4 | 9 | 6 | 5 | 3 | |
| C17-F10 | mean | 2293.287 | 6161.473 | 4970.392 | 6622.948 | 3984.589 | 5717.134 | 5674.292 | 4429.204 | 4522.973 | 6636.188 | 4562.963 | 4692.383 | 5436.048 |
| best | 1851.787 | 5913.34 | 4392.466 | 6187.534 | 3628.026 | 4920.649 | 5125.305 | 4124.072 | 4226.684 | 6274.225 | 4281.89 | 4528.713 | 5127.049 | |
| worst | 2525.041 | 6425.839 | 5438.008 | 7098.43 | 4431.083 | 6171.876 | 6716.889 | 4608.699 | 4889.435 | 6841.112 | 4892.324 | 4922.59 | 5962.139 | |
| std | 326.89 | 228.4198 | 488.6168 | 410.0172 | 403.212 | 596.2858 | 796.7545 | 244.2174 | 302.233 | 282.4372 | 272.9881 | 194.1375 | 422.2879 | |
| median | 2398.16 | 6153.356 | 5025.548 | 6602.914 | 3939.624 | 5888.006 | 5427.487 | 4492.023 | 4487.887 | 6714.707 | 4538.82 | 4659.114 | 5327.501 | |
| rank | 1 | 11 | 7 | 12 | 2 | 10 | 9 | 3 | 4 | 13 | 5 | 6 | 8 | |
| C17-F11 | mean | 1102.987 | 5439.926 | 1229.088 | 6315.685 | 1169.603 | 3839.968 | 5650.465 | 1267.103 | 1860.916 | 1721.151 | 2335.093 | 1223.375 | 6563.117 |
| best | 1100.996 | 4528.502 | 1194.603 | 5196.955 | 1122.164 | 2846.381 | 4178.43 | 1222.495 | 1316.98 | 1463.139 | 1877.74 | 1202.507 | 2653.878 | |
| worst | 1105.978 | 6181.07 | 1257.057 | 7071.274 | 1203.082 | 5608.655 | 8180.955 | 1305.658 | 3315.691 | 2216.072 | 2798.627 | 1247.863 | 11,992.73 | |
| std | 2.342682 | 788.3692 | 28.52432 | 933.6639 | 38.06213 | 1355.985 | 1902.04 | 46.13961 | 1056.634 | 366.1953 | 470.4549 | 20.28718 | 4354.439 | |
| median | 1102.488 | 5525.066 | 1232.346 | 6497.256 | 1176.583 | 3452.417 | 5121.237 | 1270.129 | 1405.496 | 1602.697 | 2332.003 | 1221.566 | 5802.928 | |
| rank | 1 | 10 | 4 | 12 | 2 | 9 | 11 | 5 | 7 | 6 | 8 | 3 | 13 | |
| C17-F12 | mean | 1744.793 | 4.74 × 109 | 14,077,924 | 7.36 × 109 | 21,567.55 | 3.42 × 109 | 1.67 × 108 | 7,582,675 | 35,462,664 | 2.04 × 108 | 1.34 × 108 | 1,736,496 | 5,192,897 |
| best | 1722.03 | 3.92 × 109 | 1,986,436 | 6.56 × 109 | 15,405.16 | 1.76 × 109 | 42741714 | 3,524,230 | 3,450,345 | 1.3 × 108 | 25,975,685 | 194,511.4 | 3,598,379 | |
| worst | 1765.102 | 6.02 × 109 | 34,372,937 | 9.27 × 109 | 27,519.43 | 4.47 × 109 | 3.34 × 108 | 18,338,244 | 74,357,427 | 3.54 × 108 | 4.29 × 108 | 3,445,088 | 6,796,896 | |
| std | 21.92568 | 9.78 × 108 | 15,515,092 | 1.4 × 109 | 5617.799 | 1.28 × 109 | 1.46 × 108 | 7,815,448 | 33,643,265 | 1.1 × 108 | 2.14 × 108 | 1,525,452 | 1,578,420 | |
| median | 1746.021 | 4.51 × 109 | 9,976,162 | 6.81 × 109 | 21,672.81 | 3.72 × 109 | 1.46 × 108 | 4,234,113 | 32,021,441 | 1.66 × 108 | 41,173,549 | 1,653,192 | 5,188,156 | |
| rank | 1 | 12 | 6 | 13 | 2 | 11 | 9 | 5 | 7 | 10 | 8 | 3 | 4 | |
| C17-F13 | mean | 1315.798 | 3.85 × 109 | 101,532.1 | 7.12 × 109 | 1887.503 | 9.87 × 108 | 610,702.2 | 61,970.73 | 509,838.4 | 59,480,600 | 25,222.23 | 22,449.95 | 8,037,399 |
| best | 1314.59 | 1.88 × 109 | 56,657.5 | 3.73 × 109 | 1613.809 | 13308283 | 288,394.3 | 25,154.7 | 62,267.1 | 41,306,521 | 20,486.39 | 9619.251 | 2,181,265 | |
| worst | 1318.65 | 5.4 × 109 | 160,172.5 | 8.74 × 109 | 2423.737 | 3.43 × 109 | 902,630.9 | 123,812.2 | 1,580,771 | 87,708,503 | 36,797.09 | 50,129.18 | 17,287,717 | |
| std | 2.105422 | 1.59 × 109 | 46,800.18 | 2.49 × 109 | 398.4184 | 1.78 × 109 | 348,460.4 | 50,365.05 | 787,069.2 | 21,850,050 | 8488.768 | 20,311.38 | 7,045,508 | |
| median | 1314.976 | 4.07 × 109 | 94,649.2 | 8 × 109 | 1756.233 | 2.54 × 108 | 625,891.7 | 49,457.99 | 198,157.7 | 54,453,689 | 21,802.71 | 15,025.68 | 6,340,306 | |
| rank | 1 | 12 | 6 | 13 | 2 | 11 | 8 | 5 | 7 | 10 | 4 | 3 | 9 | |
| C17-F14 | mean | 1423.017 | 1,277,259 | 183,187.8 | 1,480,089 | 1440.332 | 791,751.8 | 1,498,444 | 14,169.61 | 359,607.7 | 94,702.5 | 771,020 | 13,109.59 | 1,352,841 |
| best | 1422.014 | 787,819.4 | 26,021.81 | 744,142.8 | 1436.987 | 566,674.5 | 24,657.71 | 3833.51 | 23,619.68 | 55,233.67 | 500,470.5 | 2607.809 | 224,311.9 | |
| worst | 1423.993 | 1,616,727 | 423,495.8 | 2,203,774 | 1445.092 | 1,118,344 | 4,576,709 | 23,795.94 | 770,200.4 | 108,892.3 | 1,163,897 | 23,553.04 | 2,280,465 | |
| std | 0.879535 | 422,235.6 | 190,861.1 | 764,154.8 | 4.048836 | 275,535.4 | 2,274,956 | 9358.04 | 412,483.5 | 28,647.14 | 339,781.1 | 9957.207 | 1,032,057 | |
| median | 1423.031 | 1,352,245 | 141,616.7 | 1,486,220 | 1439.623 | 740,994.6 | 696,204.1 | 14,524.49 | 322,305.3 | 107,342 | 709,856 | 13,138.76 | 1,453,294 | |
| rank | 1 | 10 | 6 | 12 | 2 | 9 | 13 | 4 | 7 | 5 | 8 | 3 | 11 | |
| C17-F15 | mean | 1503.13 | 2.05 × 108 | 25,743.45 | 4.02 × 108 | 1618.316 | 9,678,759 | 3,396,917 | 29,333.47 | 10,656,380 | 3,457,075 | 11,347.81 | 3746.102 | 643,946.8 |
| best | 1502.463 | 1.77 × 108 | 7875.273 | 3.47 × 108 | 1580.989 | 3,813,143 | 156,980.8 | 17,207.13 | 66,683.28 | 785,367 | 8201.244 | 1804.924 | 118,632.2 | |
| worst | 1504.267 | 2.27 × 108 | 41,482.5 | 4.44 × 108 | 1635.05 | 22,514,054 | 11,028,248 | 48,172.5 | 39,897,745 | 6,507,175 | 15,205.02 | 6514.516 | 1,442,109 | |
| std | 0.93123 | 26,757,116 | 15,445.93 | 51,771,108 | 27.29623 | 9,394,647 | 5,612,367 | 14,605.73 | 21,226,082 | 2,553,297 | 3185.324 | 2268.093 | 659,103.4 | |
| median | 1502.895 | 2.08 × 108 | 26,808 | 4.09 × 108 | 1628.612 | 6,193,920 | 1,201,219 | 25,977.13 | 1,330,545 | 3,267,879 | 10,992.5 | 3332.485 | 507,522.8 | |
| rank | 1 | 12 | 5 | 13 | 2 | 10 | 8 | 6 | 11 | 9 | 4 | 3 | 7 | |
| C17-F16 | mean | 1663.474 | 3568.439 | 2681.411 | 4011.115 | 2025.858 | 2863.893 | 3518.566 | 2403.561 | 2373.8 | 2993.528 | 3129.43 | 2634.281 | 2647.031 |
| best | 1614.728 | 3307.657 | 2463.193 | 3449.388 | 1732.302 | 2484.554 | 3053.124 | 2208.194 | 2178.559 | 2769.271 | 2909.499 | 2432.865 | 2320.343 | |
| worst | 1744.12 | 3799.785 | 3079.244 | 4528.846 | 2279.902 | 3082.457 | 4174.815 | 2533.493 | 2538.963 | 3234.539 | 3233.052 | 2868.664 | 2965.881 | |
| std | 67.44314 | 219.693 | 298.9312 | 563.965 | 268.2093 | 284.3054 | 518.5014 | 157.2443 | 187.9758 | 224.2454 | 162.5764 | 197.8732 | 334.0578 | |
| median | 1647.523 | 3583.156 | 2591.603 | 4033.113 | 2045.613 | 2944.28 | 3423.162 | 2436.28 | 2388.839 | 2985.152 | 3187.584 | 2617.798 | 2650.95 | |
| rank | 1 | 12 | 7 | 13 | 2 | 8 | 11 | 4 | 3 | 9 | 10 | 5 | 6 | |
| C17-F17 | mean | 1728.1 | 2906.339 | 2276.907 | 3111.512 | 1864.483 | 2815.605 | 2529.508 | 2011.992 | 1912.264 | 2088.643 | 2310.644 | 2183.728 | 2062.855 |
| best | 1718.761 | 2505.616 | 2188.535 | 2859.858 | 1754.049 | 2111.488 | 2211.204 | 1942.285 | 1789.284 | 1944.841 | 2207.173 | 2033.956 | 2002.551 | |
| worst | 1733.661 | 3373.82 | 2323.812 | 3576.698 | 1926.041 | 4638.687 | 2713.882 | 2123.907 | 2032.748 | 2253.828 | 2422.94 | 2469.859 | 2120.463 | |
| std | 7.3012 | 400.4036 | 68.35209 | 363.2455 | 82.57814 | 1324.987 | 240.9524 | 85.26455 | 119.8597 | 140.5146 | 108.6653 | 214.9267 | 53.74566 | |
| median | 1729.989 | 2872.96 | 2297.64 | 3004.747 | 1888.92 | 2256.123 | 2596.472 | 1990.888 | 1913.512 | 2077.951 | 2306.232 | 2115.549 | 2064.203 | |
| rank | 1 | 12 | 8 | 13 | 2 | 11 | 10 | 4 | 3 | 6 | 9 | 7 | 5 | |
| C17-F18 | mean | 1825.697 | 19,134,446 | 1,784,006 | 22,000,517 | 1896.582 | 24,464,933 | 3,973,536 | 431,441.6 | 283,040.9 | 1,122,150 | 347,272.9 | 92,986.63 | 2,454,920 |
| best | 1822.525 | 5,512,424 | 190,522.6 | 7,113,201 | 1873.99 | 897,701.2 | 1,339,457 | 109,027.9 | 53,417.9 | 521,268.4 | 194,965.1 | 66,344.71 | 1,916,677 | |
| worst | 1828.42 | 37,159,552 | 3,558,889 | 43,221,783 | 1909.634 | 46,361,733 | 8,200,701 | 1,166,914 | 726,273.5 | 1,410,592 | 675,556.9 | 110,216.2 | 3,598,176 | |
| std | 2.940364 | 15,225,802 | 1,718,031 | 16,663,827 | 17.43949 | 27,476,116 | 3,208,798 | 537,005.1 | 344,619.5 | 444,998.7 | 241,287.1 | 20,875.12 | 838,994.8 | |
| median | 1825.921 | 16,932,904 | 1,693,307 | 18,833,543 | 1901.352 | 25,300,149 | 3,176,993 | 224,912.2 | 176,236.1 | 1,278,369 | 259,284.8 | 97,692.8 | 2,152,413 | |
| rank | 1 | 11 | 8 | 12 | 2 | 13 | 10 | 6 | 4 | 7 | 5 | 3 | 9 | |
| C17-F19 | mean | 1910.989 | 3.91 × 108 | 46,201.22 | 6.59 × 108 | 1923.783 | 1.98 × 108 | 9,646,131 | 633,054.8 | 2,715,875 | 3,872,544 | 55,673.87 | 30,583.08 | 1,091,994 |
| best | 1908.841 | 2.92 × 108 | 10,342.48 | 4.76 × 108 | 1921.202 | 2462344 | 1,255,746 | 16,582.08 | 48,298.05 | 2,010,392 | 30,482.7 | 6525.453 | 431,854.3 | |
| worst | 1913.095 | 5.09 × 108 | 102,145.5 | 9.99 × 108 | 1928.709 | 5.49 × 108 | 16,655,746 | 1,422,547 | 8,756,365 | 5,504,512 | 74,705.12 | 90,345.84 | 1,939,444 | |
| std | 2.102558 | 1.18 × 108 | 43,520.53 | 2.52 × 108 | 3.66218 | 2.75 × 108 | 7,642,858 | 744,628.8 | 4,412,469 | 1,870,463 | 20,035.8 | 43,510.04 | 691,979.8 | |
| median | 1911.01 | 3.81 × 108 | 36,158.43 | 5.81 × 108 | 1922.611 | 1.21 × 108 | 10,336,517 | 546,545.1 | 1,029,419 | 3,987,636 | 58,753.83 | 12,730.52 | 998,338 | |
| rank | 1 | 12 | 4 | 13 | 2 | 11 | 10 | 6 | 8 | 9 | 5 | 3 | 7 | |
| C17-F20 | mean | 2065.788 | 2666.708 | 2488.247 | 2703.24 | 2176.891 | 2633.528 | 2625.151 | 2467.592 | 2311.588 | 2598.428 | 2741.657 | 2428.342 | 2379.616 |
| best | 2029.523 | 2605.081 | 2389.124 | 2582.79 | 2061.08 | 2544.675 | 2514.937 | 2273.525 | 2156.315 | 2559.647 | 2496.684 | 2366.306 | 2309.465 | |
| worst | 2161.127 | 2707.276 | 2610.711 | 2770.116 | 2265.33 | 2699.37 | 2756.968 | 2771.258 | 2427.864 | 2682.556 | 3094.92 | 2526.675 | 2429.376 | |
| std | 69.26648 | 47.36501 | 101.173 | 90.30704 | 93.03145 | 70.35704 | 109.9008 | 232.2741 | 123.5691 | 62.23832 | 275.3768 | 76.14184 | 55.62911 | |
| median | 2036.251 | 2677.238 | 2476.577 | 2730.026 | 2190.577 | 2645.033 | 2614.349 | 2412.791 | 2331.087 | 2575.755 | 2687.512 | 2410.193 | 2389.813 | |
| rank | 1 | 11 | 7 | 12 | 2 | 10 | 9 | 6 | 3 | 8 | 13 | 5 | 4 | |
| C17-F21 | mean | 2308.457 | 2540.531 | 2417.334 | 2579.458 | 2366.656 | 2481.146 | 2532.292 | 2393.024 | 2382.704 | 2454.294 | 2505.054 | 2412.967 | 2452.339 |
| best | 2304.034 | 2473.562 | 2270.813 | 2523.092 | 2356.969 | 2323.993 | 2485.02 | 2366.912 | 2363.935 | 2442.938 | 2490.751 | 2398.042 | 2428.045 | |
| worst | 2312.988 | 2583.263 | 2523.659 | 2647.808 | 2382.758 | 2571.81 | 2574.088 | 2410.418 | 2392.152 | 2465.164 | 2529.138 | 2427.061 | 2491.924 | |
| std | 4.85283 | 57.52589 | 115.3898 | 58.98792 | 12.3411 | 120.1462 | 49.41104 | 20.0951 | 14.3016 | 11.45574 | 18.53136 | 13.92777 | 29.96371 | |
| median | 2308.402 | 2552.65 | 2437.431 | 2573.466 | 2363.449 | 2514.39 | 2535.03 | 2397.382 | 2387.364 | 2454.536 | 2500.163 | 2413.382 | 2444.694 | |
| rank | 1 | 12 | 6 | 13 | 2 | 9 | 11 | 4 | 3 | 8 | 10 | 5 | 7 | |
| C17-F22 | mean | 2300 | 6159.173 | 4657.782 | 5994.363 | 2302.935 | 6695.427 | 5766.815 | 3423.993 | 2575.187 | 4598.67 | 5034.764 | 4055.344 | 2573.944 |
| best | 2300 | 5928.784 | 2302.786 | 5294.995 | 2301.914 | 6538.31 | 5117.091 | 2305.37 | 2487.172 | 2588.565 | 3455.537 | 2407.683 | 2523.642 | |
| worst | 2300 | 6518.352 | 5567.576 | 6696.946 | 2304.658 | 6769.164 | 6346.252 | 4812.837 | 2755.307 | 6827.122 | 5728.707 | 5649.372 | 2612.918 | |
| std | 1.62 × 10−5 | 274.163 | 1711.374 | 655.6563 | 1.339246 | 118.2848 | 555.9797 | 1425.549 | 133.29 | 2511.471 | 1153.281 | 1622.328 | 48.22624 | |
| median | 2300 | 6094.778 | 5380.383 | 5992.757 | 2302.583 | 6737.117 | 5801.959 | 3288.882 | 2529.133 | 4489.496 | 5477.406 | 4082.16 | 2579.608 | |
| rank | 1 | 12 | 8 | 11 | 2 | 13 | 10 | 5 | 4 | 7 | 9 | 6 | 3 | |
| C17-F23 | mean | 2655.08 | 3018.554 | 2837.832 | 3056.017 | 2645.995 | 3021.88 | 2919.91 | 2708.483 | 2717.86 | 2822.111 | 3411.74 | 2819.805 | 2870.907 |
| best | 2653.742 | 2981.599 | 2706.483 | 3034.102 | 2470.219 | 2961.012 | 2820.609 | 2671.598 | 2656.103 | 2751.266 | 3359.518 | 2740.294 | 2794.193 | |
| worst | 2657.377 | 3094.294 | 2977.502 | 3079.451 | 2713.035 | 3176.547 | 3008.021 | 2732.925 | 2747.202 | 2876.312 | 3492.82 | 2876.436 | 2935.906 | |
| std | 1.799914 | 55.76503 | 121.7223 | 20.26983 | 127.8613 | 112.9976 | 85.5247 | 31.9586 | 46.1351 | 56.99409 | 67.68839 | 63.58293 | 63.44241 | |
| median | 2654.601 | 2999.163 | 2833.671 | 3055.257 | 2700.363 | 2974.98 | 2925.506 | 2714.705 | 2734.068 | 2830.434 | 3397.31 | 2831.244 | 2876.765 | |
| rank | 2 | 10 | 7 | 12 | 1 | 11 | 9 | 3 | 4 | 6 | 13 | 5 | 8 | |
| C17-F24 | mean | 2831.41 | 3179.108 | 3080.486 | 3247.481 | 2884.089 | 3155.71 | 3043.27 | 2899.284 | 2909.649 | 2992.612 | 3212.592 | 3053.298 | 3118.4 |
| best | 2829.993 | 3148.056 | 2987.524 | 3181.273 | 2868.279 | 3081.824 | 3001.568 | 2868.587 | 2903.318 | 2971.289 | 3182.137 | 2996.218 | 3054.623 | |
| worst | 2832.367 | 3235.118 | 3181.558 | 3355.926 | 2891.028 | 3192.796 | 3062.056 | 2910.707 | 2916.474 | 3019.755 | 3239.389 | 3132.246 | 3167.446 | |
| std | 1.246615 | 41.75542 | 93.32452 | 86.33596 | 11.62732 | 56.14136 | 30.91586 | 22.30369 | 7.143926 | 21.84854 | 27.18451 | 62.55752 | 57.99264 | |
| median | 2831.64 | 3166.629 | 3076.431 | 3226.362 | 2888.524 | 3174.11 | 3054.728 | 2908.921 | 2909.401 | 2989.701 | 3214.421 | 3042.364 | 3125.765 | |
| rank | 1 | 11 | 8 | 13 | 2 | 10 | 6 | 3 | 4 | 5 | 12 | 7 | 9 | |
| C17-F25 | mean | 2886.699 | 3607.338 | 2903.209 | 4034.452 | 2891.322 | 3286.095 | 3021.418 | 2903.769 | 2960.975 | 3016.538 | 2962.433 | 2893.83 | 3039.035 |
| best | 2886.691 | 3351.181 | 2891.293 | 3622.768 | 2884.514 | 3025.628 | 2994.287 | 2887.918 | 2932.78 | 2935.079 | 2952.332 | 2886.612 | 3026.66 | |
| worst | 2886.707 | 3797.754 | 2929.039 | 4582.416 | 2897.572 | 3553.351 | 3035.361 | 2945.401 | 3010.463 | 3108.206 | 2973.024 | 2907.626 | 3049.263 | |
| std | 0.008281 | 203.0261 | 18.91256 | 434.8985 | 6.422317 | 280.701 | 20.65282 | 30.30356 | 38.97607 | 91.19975 | 9.395447 | 10.248 | 10.24702 | |
| median | 2886.698 | 3640.208 | 2896.252 | 3966.311 | 2891.6 | 3282.7 | 3028.012 | 2890.879 | 2950.329 | 3011.433 | 2962.188 | 2890.541 | 3040.108 | |
| rank | 1 | 12 | 4 | 13 | 2 | 11 | 9 | 5 | 6 | 8 | 7 | 3 | 10 | |
| C17-F26 | mean | 3578.642 | 7191.58 | 5930.556 | 7592.481 | 2946.315 | 6888.12 | 6644.515 | 4198.092 | 4046.729 | 4972.932 | 6029.691 | 4239.941 | 3930.149 |
| best | 3559.834 | 6900.181 | 5052.814 | 7020.282 | 2944.882 | 6436.43 | 6142.829 | 3961.442 | 3776.856 | 4029.515 | 5311.602 | 3351.804 | 3667.33 | |
| worst | 3607.678 | 7714.518 | 6446.821 | 8605.164 | 2948.392 | 7173.169 | 7227.66 | 4629.422 | 4464.713 | 5868.921 | 6403.494 | 5296.398 | 4251.832 | |
| std | 24.78747 | 413.0478 | 667.2934 | 809.7776 | 1.837083 | 343.8081 | 484.8852 | 337.687 | 319.4722 | 917.6972 | 554.0416 | 988.2099 | 266.8256 | |
| median | 3573.529 | 7075.81 | 6111.295 | 7372.239 | 2945.993 | 6971.44 | 6603.786 | 4100.752 | 3972.672 | 4996.647 | 6201.834 | 4155.781 | 3900.718 | |
| rank | 2 | 12 | 8 | 13 | 1 | 11 | 10 | 5 | 4 | 7 | 9 | 6 | 3 | |
| C17-F27 | mean | 3207.019 | 3485.171 | 3310.871 | 3591.283 | 3214.68 | 3391.644 | 3360.18 | 3226.155 | 3238.747 | 3285.286 | 4415.11 | 3258.442 | 3382.154 |
| best | 3200.749 | 3440.015 | 3247.081 | 3395.86 | 3200.487 | 3306.869 | 3245.524 | 3214.623 | 3233.545 | 3239.157 | 4102.348 | 3228.323 | 3330.64 | |
| worst | 3210.656 | 3560.736 | 3366.02 | 3794.608 | 3235.278 | 3558.765 | 3442.945 | 3240.714 | 3244.368 | 3336.16 | 4646.306 | 3288.853 | 3408.592 | |
| std | 5.058023 | 58.64719 | 65.96591 | 186.4574 | 17.31647 | 124.2857 | 91.58785 | 12.91307 | 4.872405 | 43.73311 | 288.9247 | 27.10588 | 38.09436 | |
| median | 3208.335 | 3469.966 | 3315.191 | 3587.332 | 3211.478 | 3350.472 | 3376.125 | 3224.641 | 3238.538 | 3282.914 | 4455.893 | 3258.296 | 3394.692 | |
| rank | 1 | 11 | 7 | 12 | 2 | 10 | 8 | 3 | 4 | 6 | 13 | 5 | 9 | |
| C17-F28 | mean | 3100.001 | 4285.25 | 3250.432 | 4906.953 | 3214.97 | 3860.244 | 3368.505 | 3244.141 | 3476.948 | 3526.458 | 3425.149 | 3293.725 | 3467.208 |
| best | 3100.001 | 4120.25 | 3223.868 | 4691.505 | 3198.214 | 3477.346 | 3325.773 | 3218.444 | 3339.576 | 3422.609 | 3375.396 | 3200.642 | 3426.086 | |
| worst | 3100.002 | 4470.17 | 3282.301 | 5138.813 | 3245.539 | 4244.468 | 3402.752 | 3263.228 | 3804.826 | 3756.546 | 3524.057 | 3444.734 | 3515.851 | |
| std | 0.000279 | 162.3279 | 26.25194 | 231.8527 | 23.01676 | 389.897 | 39.78086 | 22.17692 | 240.0732 | 169.8819 | 73.55874 | 123.6083 | 45.20616 | |
| median | 3100.001 | 4275.291 | 3247.779 | 4898.747 | 3208.065 | 3859.581 | 3372.747 | 3247.447 | 3381.696 | 3463.339 | 3400.573 | 3264.762 | 3463.448 | |
| rank | 1 | 12 | 4 | 13 | 2 | 11 | 6 | 3 | 9 | 10 | 7 | 5 | 8 | |
| C17-F29 | mean | 3353.754 | 4851.084 | 4121.031 | 5001.458 | 3660.494 | 4742.849 | 4637.501 | 3787.273 | 3751.439 | 4243.614 | 4621.073 | 4009.663 | 4090.916 |
| best | 3325.389 | 4563.675 | 3862.67 | 4546.162 | 3505.413 | 4354.465 | 4402.309 | 3683.409 | 3644.544 | 4001.869 | 4383.912 | 3918.357 | 3812.083 | |
| worst | 3370.802 | 5223.509 | 4289.381 | 5578.57 | 3800.919 | 5394.339 | 4800.5 | 3857.366 | 3817.267 | 4596.087 | 4819.164 | 4198.991 | 4285.209 | |
| std | 21.42802 | 354.7397 | 214.9723 | 559.2864 | 141.8741 | 517.0823 | 184.0793 | 81.46193 | 81.81261 | 284.1425 | 223.7357 | 140.0438 | 243.4827 | |
| median | 3359.413 | 4808.575 | 4166.036 | 4940.55 | 3667.822 | 4611.296 | 4673.597 | 3804.159 | 3771.972 | 4188.251 | 4640.607 | 3960.652 | 4133.187 | |
| rank | 1 | 12 | 7 | 13 | 2 | 11 | 10 | 4 | 3 | 8 | 9 | 5 | 6 | |
| C17-F30 | mean | 5007.886 | 9.69 × 108 | 967,976.9 | 1.91 × 109 | 7685.968 | 26,018,831 | 26,550,655 | 2,096,592 | 4,320,872 | 25,632,186 | 1,534,343 | 186,989.6 | 477,732.2 |
| best | 4955.467 | 7.14 × 108 | 342,528.9 | 1.37 × 109 | 6376.112 | 8,896,654 | 5,296,448 | 379,268.5 | 965,771.3 | 13,721,797 | 1,339,279 | 7199.128 | 133,974.4 | |
| worst | 5086.458 | 1.07 × 109 | 1,712,217 | 2.11 × 109 | 10243.41 | 60,792,294 | 42,544,236 | 3,000,293 | 11,663,420 | 53,762,742 | 1,846,430 | 700,983.7 | 912,455.9 | |
| std | 64.19995 | 1.86 × 108 | 623,282.9 | 3.91 × 108 | 1971.76 | 25,636,640 | 16,897,513 | 1,272,216 | 5,376,945 | 20,524,746 | 237,645.7 | 373,095 | 412,438 | |
| median | 4994.809 | 1.05 × 109 | 908,581.1 | 2.08 × 109 | 7062.174 | 17,193,188 | 29,180,967 | 2,503,403 | 2,327,149 | 17,522,103 | 1,475,832 | 19,887.82 | 432,249.3 | |
| rank | 1 | 12 | 5 | 13 | 2 | 10 | 11 | 7 | 8 | 9 | 6 | 3 | 4 | |
| Sum rank | 31 | 334 | 182 | 361 | 57 | 305 | 284 | 128 | 151 | 232 | 231 | 139 | 204 | |
| Mean rank | 1.068966 | 11.51724 | 6.275862 | 12.44828 | 1.965517 | 10.51724 | 9.793103 | 4.413793 | 5.206897 | 8 | 7.965517 | 4.793103 | 7.034483 | |
| Total rank | 1 | 12 | 6 | 13 | 2 | 11 | 10 | 3 | 5 | 9 | 8 | 4 | 7 | |
| WOA | WSO | AVOA | RSA | MPA | TSA | WA | MVO | GWO | TLBO | GSA | PSO | GA | ||
|---|---|---|---|---|---|---|---|---|---|---|---|---|---|---|
| C17-F1 | mean | 167.6264 | 4.01 × 1010 | 8,007,497 | 6.29 × 1010 | 5,583,217 | 2.56 × 1010 | 5.17 × 109 | 4,531,953 | 6.28 × 109 | 1.39 × 1010 | 1.15 × 1010 | 1.7 × 109 | 6.98 × 109 |
| best | 126.0994 | 3.58 × 1010 | 1,491,085 | 5.5 × 1010 | 2,154,824 | 2.35 × 1010 | 3.05 × 109 | 2,705,326 | 4.53 × 109 | 9.46 × 109 | 9.18 × 109 | 6.98 × 108 | 6.65 × 109 | |
| worst | 271.4742 | 4.3 × 1010 | 17,609,984 | 6.87 × 1010 | 14,156,721 | 2.75 × 1010 | 7.74 × 109 | 7,406,938 | 8.6 × 109 | 1.88 × 1010 | 1.38 × 1010 | 2.27 × 109 | 7.52 × 109 | |
| std | 75.88761 | 3.42 × 109 | 7,567,671 | 6.52 × 109 | 6,265,152 | 1.79 × 109 | 2.41 × 109 | 2,191,601 | 1.85 × 109 | 4.92 × 109 | 2.04 × 109 | 7.51 × 108 | 4.46 × 108 | |
| median | 136.4659 | 4.09 × 1010 | 6,464,460 | 6.39 × 1010 | 3,010,662 | 2.56 × 1010 | 4.94 × 109 | 4,007,774 | 6 × 109 | 1.37 × 1010 | 1.15 × 1010 | 1.92 × 109 | 6.88 × 109 | |
| rank | 1 | 12 | 4 | 13 | 3 | 11 | 6 | 2 | 7 | 10 | 9 | 5 | 8 | |
| C17-F3 | mean | 300.2116 | 112,004.4 | 104,024.9 | 111,611 | 17,766.86 | 78,909.34 | 162,630.4 | 36,755.62 | 92,889.39 | 71,655.61 | 125,081.8 | 102,805.1 | 182,386.1 |
| best | 300.1823 | 97,129.76 | 80,477.71 | 102,028.7 | 15,348.2 | 70,273.23 | 123,563.9 | 30,579.6 | 82,551.01 | 55,088.66 | 113,761.2 | 77,910.13 | 152,472.6 | |
| worst | 300.2503 | 128,985.2 | 124,821.2 | 120,366 | 20,968.46 | 84,785.32 | 246,104.1 | 45,348.9 | 104,599.5 | 80,168.88 | 139,795.6 | 131,722 | 208,965 | |
| std | 0.033257 | 14,597.57 | 21,674.61 | 8694.823 | 2745.606 | 7008.744 | 62,662.51 | 6803.146 | 9837.971 | 12,691.57 | 14,166.48 | 25,403.04 | 25,191.69 | |
| median | 300.2068 | 110,951.3 | 105,400.4 | 112,024.6 | 17,375.39 | 80,289.4 | 140,426.8 | 35,546.99 | 92,203.53 | 75,682.45 | 123,385.3 | 100,794.1 | 184,053.3 | |
| rank | 1 | 10 | 8 | 9 | 2 | 5 | 12 | 3 | 6 | 4 | 11 | 7 | 13 | |
| C17-F4 | mean | 470.3686 | 10,071.59 | 642.1439 | 16,104.43 | 530.5117 | 5747.804 | 1475.15 | 551.9914 | 1137.245 | 2048.337 | 2228.839 | 855.6596 | 1197.148 |
| best | 428.5135 | 7865.26 | 623.1879 | 10,691.43 | 495.3216 | 4628.795 | 1013.992 | 517.5974 | 880.9504 | 1224.21 | 1880.598 | 623.2301 | 1048.451 | |
| worst | 525.7259 | 11,459.94 | 660.4907 | 19,217.95 | 582.6329 | 7377.38 | 1723.722 | 593.1173 | 1342.65 | 3386.974 | 2369.606 | 1380.74 | 1285.019 | |
| std | 53.94877 | 1745.048 | 17.65661 | 4230.075 | 44.44626 | 1262.625 | 345.3018 | 33.84099 | 230.0578 | 1034.815 | 253.8902 | 383.5973 | 112.1706 | |
| median | 463.6175 | 10,480.57 | 642.4484 | 17,254.17 | 522.0461 | 5492.52 | 1581.443 | 548.6255 | 1162.689 | 1791.083 | 2332.577 | 709.334 | 1227.56 | |
| rank | 1 | 12 | 4 | 13 | 2 | 11 | 8 | 3 | 6 | 9 | 10 | 5 | 7 | |
| C17-F5 | mean | 504.7288 | 976.9834 | 814.9919 | 996.5644 | 733.4819 | 1008.531 | 880.709 | 735.2051 | 726.2984 | 909.4273 | 780.3419 | 768.9047 | 837.7757 |
| best | 503.9816 | 954.1396 | 768.5579 | 979.2845 | 652.789 | 912.1348 | 853.5763 | 659.9295 | 681.9306 | 855.3089 | 719.0789 | 706.3429 | 791.6068 | |
| worst | 505.9733 | 995.7666 | 863.1035 | 1004.302 | 796.7098 | 1078.585 | 912.485 | 831.2809 | 765.683 | 934.5178 | 821.5439 | 818.6237 | 870.407 | |
| std | 1.037272 | 18.69201 | 42.99374 | 12.66144 | 65.70971 | 82.6346 | 30.91893 | 80.31735 | 41.20787 | 39.72203 | 48.73799 | 51.09316 | 36.48948 | |
| median | 504.4802 | 979.0137 | 814.1531 | 1001.335 | 742.2144 | 1021.703 | 878.3874 | 724.8049 | 728.79 | 923.9413 | 790.3724 | 775.326 | 844.5445 | |
| rank | 1 | 11 | 7 | 12 | 3 | 13 | 9 | 4 | 2 | 10 | 6 | 5 | 8 | |
| C17-F6 | mean | 600.0001 | 667.1328 | 643.7797 | 668.516 | 611.1885 | 663.6183 | 668.9465 | 628.7456 | 618.8348 | 646.474 | 642.2786 | 639.3753 | 636.0119 |
| best | 600.0001 | 665.0235 | 641.7376 | 666.1094 | 608.4438 | 650.1405 | 664.4751 | 621.5264 | 615.1583 | 637.5851 | 638.1159 | 637.3589 | 628.5636 | |
| worst | 600.0002 | 671.6192 | 647.0243 | 670.5864 | 614.8163 | 675.9291 | 674.55 | 644.8989 | 624.5364 | 653.4284 | 645.3967 | 641.8655 | 643.5578 | |
| std | 3.6 × 10−5 | 3.347275 | 2.720798 | 2.51233 | 2.970403 | 12.24043 | 4.534764 | 11.84805 | 4.380584 | 7.167769 | 3.362949 | 2.518508 | 6.936408 | |
| median | 600.0001 | 665.9441 | 643.1784 | 668.684 | 610.747 | 664.2017 | 668.3804 | 624.2785 | 617.8223 | 647.4412 | 642.8008 | 639.1384 | 635.9631 | |
| rank | 1 | 11 | 8 | 12 | 2 | 10 | 13 | 4 | 3 | 9 | 7 | 6 | 5 | |
| C17-F7 | mean | 756.7331 | 1535.785 | 1451.18 | 1602.464 | 1025.281 | 1462.324 | 1479.277 | 1042.06 | 1049.958 | 1325.932 | 1280.7 | 1139.351 | 1211.321 |
| best | 754.7569 | 1526.437 | 1415.509 | 1559.985 | 969.1676 | 1372.439 | 1449.139 | 1007.534 | 1016.325 | 1231.712 | 1149.903 | 1044.527 | 1174.18 | |
| worst | 758.355 | 1543.363 | 1510.942 | 1683.606 | 1072.794 | 1544.286 | 1528.089 | 1077.788 | 1077.995 | 1363.107 | 1382.466 | 1276.858 | 1227.522 | |
| std | 1.690713 | 7.874028 | 45.66337 | 62.50891 | 54.65011 | 97.47111 | 37.76279 | 32.42597 | 32.00245 | 68.66304 | 108.7352 | 112.7872 | 27.14247 | |
| median | 756.9102 | 1536.669 | 1439.134 | 1583.132 | 1029.581 | 1466.286 | 1469.939 | 1041.458 | 1052.756 | 1354.456 | 1295.217 | 1118.009 | 1221.79 | |
| rank | 1 | 12 | 9 | 13 | 2 | 10 | 11 | 3 | 4 | 8 | 7 | 5 | 6 | |
| C17-F8 | mean | 805.7235 | 1281.736 | 1084.086 | 1300.207 | 1008.015 | 1293.369 | 1218.107 | 1015.645 | 1023.669 | 1216.397 | 1094.768 | 1038.767 | 1173.316 |
| best | 802.987 | 1253.643 | 1043.275 | 1289.143 | 977.598 | 1217.081 | 1138.848 | 995.7582 | 990.7447 | 1170.67 | 1081.05 | 1000.462 | 1152.877 | |
| worst | 810.9472 | 1308.327 | 1124.019 | 1310.883 | 1039.324 | 1375.293 | 1299.282 | 1055.217 | 1059.548 | 1261.467 | 1112.127 | 1093.102 | 1189.707 | |
| std | 3.891779 | 30.44582 | 49.90051 | 10.54183 | 34.90235 | 72.49341 | 71.36606 | 30.29916 | 34.74648 | 40.4744 | 17.51668 | 43.41583 | 17.36832 | |
| median | 804.4798 | 1282.487 | 1084.526 | 1300.402 | 1007.569 | 1290.551 | 1217.148 | 1005.803 | 1022.192 | 1216.726 | 1092.947 | 1030.752 | 1175.341 | |
| rank | 1 | 11 | 6 | 13 | 2 | 12 | 10 | 3 | 4 | 9 | 7 | 5 | 8 | |
| C17-F9 | mean | 900.0289 | 25,201 | 9936.355 | 25,329.64 | 3290.004 | 26,383.12 | 23,106.2 | 14196.65 | 5658.015 | 17,118.01 | 8191.838 | 7937.962 | 9610.758 |
| best | 900.014 | 24,168.61 | 9519.686 | 23,784.42 | 2056.94 | 24,003.81 | 21,578.85 | 8569.512 | 4660.123 | 13,030.35 | 7558.024 | 7190.92 | 8018.21 | |
| worst | 900.0468 | 27,900.64 | 10,437.08 | 27,003.04 | 4765.598 | 29,781.7 | 27,323.03 | 18431.63 | 6601.21 | 19,875.64 | 9237.851 | 8875.758 | 11349.46 | |
| std | 0.01475 | 1962.375 | 493.1408 | 1516.334 | 1217.749 | 2675.839 | 3063.247 | 5116.457 | 984.3236 | 3166.783 | 824.6416 | 760.402 | 1918.351 | |
| median | 900.0275 | 24,367.38 | 9894.327 | 25,265.56 | 3168.739 | 25,873.49 | 21,761.46 | 14892.73 | 5685.363 | 17,783.04 | 7985.74 | 7842.586 | 9537.68 | |
| rank | 1 | 11 | 7 | 12 | 2 | 13 | 10 | 8 | 3 | 9 | 5 | 4 | 6 | |
| C17-F10 | mean | 4347.184 | 10,843.9 | 7721.58 | 11,659.42 | 6524.229 | 10026.29 | 10,031.48 | 7276.712 | 7948.804 | 11,517.56 | 7904.065 | 7363.204 | 9978.914 |
| best | 3555.175 | 10,423.1 | 7263.151 | 11,420.12 | 5635.227 | 9273.366 | 9378.091 | 6582.977 | 6280.484 | 11,226.63 | 7234.616 | 6969.158 | 9310.296 | |
| worst | 5099.82 | 11,538.38 | 8268.684 | 12,116.67 | 7132.467 | 10936.95 | 10,994.81 | 7717.154 | 11,328.31 | 11,809.74 | 8836.616 | 7622.011 | 10,364.5 | |
| std | 701.6805 | 524.6606 | 470.4982 | 351.1623 | 792.9569 | 745.8822 | 769.787 | 535.6862 | 2498.75 | 271.406 | 780.2277 | 302.3093 | 516.2341 | |
| median | 4366.87 | 10,707.05 | 7677.242 | 11,550.45 | 6664.611 | 9947.433 | 9876.513 | 7403.358 | 7093.211 | 11,516.95 | 7772.514 | 7430.824 | 10,120.43 | |
| rank | 1 | 11 | 5 | 13 | 2 | 9 | 10 | 3 | 7 | 12 | 6 | 4 | 8 | |
| C17-F11 | mean | 1128.436 | 10,727.34 | 1488.956 | 14,476.8 | 1254.002 | 9077.844 | 3827.922 | 1464.276 | 4520.409 | 3838.572 | 9927.132 | 1533.288 | 16,503.58 |
| best | 1121.251 | 9914.495 | 1407.395 | 12,921.91 | 1206.11 | 7869.994 | 3428.789 | 1369.366 | 2877.275 | 3623.898 | 9320.694 | 1360.509 | 9815.447 | |
| worst | 1133.134 | 11,227.32 | 1576.143 | 15,662.22 | 1284.76 | 10,800.72 | 4697.146 | 1551.43 | 7556.229 | 4236.206 | 11,195.74 | 1736.516 | 21,977.06 | |
| std | 5.923824 | 635.5737 | 84.6736 | 1246.464 | 38.0633 | 1374.633 | 638.5052 | 89.62537 | 2355.628 | 310.4132 | 932.1324 | 176.9033 | 5475.211 | |
| median | 1129.68 | 10,883.77 | 1486.142 | 14,661.53 | 1262.57 | 8820.332 | 3592.877 | 1468.153 | 3824.066 | 3747.092 | 9596.049 | 1518.063 | 17,110.9 | |
| rank | 1 | 11 | 4 | 12 | 2 | 9 | 6 | 3 | 8 | 7 | 10 | 5 | 13 | |
| C17-F12 | mean | 3078.008 | 2.93 × 1010 | 53,871,294 | 4.78 × 1010 | 14,277,715 | 1.74 × 1010 | 8.91 × 108 | 57,787,339 | 6.47 × 108 | 3.4 × 109 | 1.46 × 109 | 1.08 × 109 | 1.42 × 108 |
| best | 2706.091 | 2.46 × 1010 | 25,209,560 | 3.48 × 1010 | 13,449,352 | 7.33 × 109 | 7.37 × 108 | 33,148,852 | 1.05 × 108 | 1.92 × 109 | 4.84 × 108 | 13,290,816 | 47,805,759 | |
| worst | 3331.239 | 3.51 × 1010 | 80,624,222 | 6.55 × 1010 | 14,947,205 | 2.92 × 1010 | 1.21 × 109 | 89,443,451 | 1.2 × 109 | 6.68 × 109 | 2.62 × 109 | 3.12 × 109 | 1.94 × 108 | |
| std | 292.7712 | 5.17 × 109 | 32,291,028 | 1.54 × 1010 | 760,963.4 | 9.85 × 109 | 2.38 × 108 | 25,727,978 | 5.94 × 108 | 2.43 × 109 | 9.62 × 108 | 1.57 × 109 | 70,138,147 | |
| median | 3137.35 | 2.87 × 1010 | 54,825,697 | 4.54 × 1010 | 14,357,152 | 1.65 × 1010 | 8.08 × 108 | 54,278,526 | 6.43 × 108 | 2.5 × 109 | 1.37 × 109 | 5.98 × 108 | 1.63 × 108 | |
| rank | 1 | 12 | 3 | 13 | 2 | 11 | 7 | 4 | 6 | 10 | 9 | 8 | 5 | |
| C17-F13 | mean | 1340.28 | 1.65 × 1010 | 105,293.6 | 2.89 × 1010 | 16,204.5 | 6.77 × 109 | 63,729,289 | 167,199.9 | 2.4 × 108 | 3.93 × 108 | 12,446,144 | 3.2 × 108 | 27,879,335 |
| best | 1333.996 | 9.52 × 109 | 29,172.41 | 1.46 × 1010 | 8578.998 | 3.6 × 109 | 47,914,168 | 107,057.6 | 1.09 × 108 | 3.2 × 108 | 26,968.58 | 40,209.71 | 18,175,689 | |
| worst | 1343.224 | 2.25 × 1010 | 223,251.6 | 4.16 × 1010 | 19,074.17 | 1.05 × 1010 | 72,366,520 | 255,509.5 | 6.03 × 108 | 5.37 × 108 | 41,938,948 | 8.09 × 108 | 37,257,697 | |
| std | 4.646652 | 6.21 × 109 | 90,174.33 | 1.23 × 1010 | 5538.318 | 3.2 × 109 | 11,767,927 | 68,584.33 | 2.64 × 108 | 1.06 × 108 | 21,765,316 | 4.29 × 108 | 9,274,410 | |
| median | 1341.95 | 1.7 × 1010 | 84,375.25 | 2.98 × 1010 | 18,582.42 | 6.47 × 109 | 67,318,233 | 153,116.2 | 1.24 × 108 | 3.57 × 108 | 3,909,329 | 2.36 × 108 | 28,041,976 | |
| rank | 1 | 12 | 3 | 13 | 2 | 11 | 7 | 4 | 8 | 10 | 5 | 9 | 6 | |
| C17-F14 | mean | 1429.46 | 17,441,082 | 822,120.1 | 32,517,129 | 1561.83 | 1,805,814 | 3,203,867 | 128,744.8 | 774,214.6 | 581,995.3 | 10,178,081 | 386,111.7 | 7,532,667 |
| best | 1425.996 | 5,697,256 | 254,996.6 | 9,973,419 | 1548.751 | 477,397.5 | 2,836,637 | 81,748.39 | 60,752.32 | 479,983.5 | 2,308,023 | 139,031.1 | 3,706,936 | |
| worst | 1431.941 | 34,142,896 | 1,957,448 | 65,836,531 | 1586.155 | 2,863,875 | 3,807,204 | 249,421.1 | 1,493,528 | 671,406.1 | 16,711,153 | 618,100.9 | 12,964,035 | |
| std | 2.852912 | 13,064,360 | 842,196.9 | 25,860,705 | 18.65168 | 1,076,896 | 456,136.3 | 87,853.5 | 636,598.3 | 108,666.5 | 7,106,301 | 213,379 | 4,253,542 | |
| median | 1429.951 | 14,962,089 | 538,017.7 | 27,129,284 | 1556.208 | 1,940,992 | 3,085,814 | 91,904.86 | 771,289 | 588,295.8 | 10,846,575 | 393,657.3 | 6,729,849 | |
| rank | 1 | 12 | 7 | 13 | 2 | 8 | 9 | 3 | 6 | 5 | 11 | 4 | 10 | |
| C17-F15 | mean | 1530.669 | 1.75 × 109 | 26,266.61 | 2.81 × 109 | 2255.297 | 1.15 × 109 | 6,667,483 | 82,292.93 | 3,998,260 | 47,416,347 | 1.33 × 108 | 8029.767 | 5,763,300 |
| best | 1526.369 | 1.24 × 109 | 16,530.74 | 2.2 × 109 | 2123.062 | 3.94 × 108 | 615,181.2 | 34,547.42 | 29,138.76 | 27,804,041 | 13,562.88 | 2648.243 | 1,958,974 | |
| worst | 1532.963 | 2.29 × 109 | 47,711.7 | 3.33 × 109 | 2401.548 | 2.49 × 109 | 12,448,843 | 122,345.1 | 10,529,706 | 61,720,972 | 5.15 × 108 | 15,030.42 | 12,507,241 | |
| std | 3.19211 | 5.4 × 108 | 15,739.97 | 5.48 × 108 | 160.4214 | 1.06 × 109 | 5,660,871 | 42,491.58 | 4,986,475 | 15,436,400 | 2.77 × 108 | 6009.479 | 5076,922 | |
| median | 1531.672 | 1.74 × 109 | 20,412 | 2.86 × 109 | 2248.29 | 8.48 × 108 | 6,802,954 | 86,139.62 | 2,717,098 | 50,070,187 | 8,024,911 | 7220.201 | 4,293,493 | |
| rank | 1 | 12 | 4 | 13 | 2 | 11 | 8 | 5 | 6 | 9 | 10 | 3 | 7 | |
| C17-F16 | mean | 2062.899 | 5121.056 | 3824.554 | 5995.639 | 2748.242 | 4017.813 | 4589.463 | 3134.537 | 3132.586 | 3952.043 | 3556.756 | 3143.54 | 3528.57 |
| best | 1728.611 | 4523.679 | 3559.4 | 4722.823 | 2587.266 | 3595.314 | 4006.777 | 2986.486 | 2810.824 | 3683.669 | 3335.878 | 2810.153 | 3071.889 | |
| worst | 2242.667 | 6384.314 | 4114.639 | 8610.895 | 3016.507 | 4258.369 | 5046.269 | 3245.454 | 3535.893 | 4112.649 | 3777.515 | 3534.84 | 3830.919 | |
| std | 253.4768 | 943.9009 | 255.9887 | 1949.356 | 216.8432 | 320.5015 | 492.5712 | 121.2415 | 346.1602 | 207.5341 | 276.0826 | 381.2236 | 361.9129 | |
| median | 2140.159 | 4788.116 | 3812.089 | 5324.42 | 2694.598 | 4108.784 | 4652.403 | 3153.104 | 3091.813 | 4005.928 | 3556.816 | 3114.583 | 3605.736 | |
| rank | 1 | 12 | 8 | 13 | 2 | 10 | 11 | 4 | 3 | 9 | 7 | 5 | 6 | |
| C17-F17 | mean | 2021.158 | 5956.996 | 3226.767 | 8264.058 | 2554.858 | 3494.992 | 3882.346 | 2898.832 | 2830.145 | 3623.719 | 3402.804 | 3087.376 | 3244.424 |
| best | 1900.437 | 4709.275 | 2905.357 | 6233.664 | 2485.465 | 2945.246 | 3544.347 | 2506.005 | 2730.899 | 3172.458 | 3095.79 | 2934.416 | 3086.565 | |
| worst | 2138.273 | 7115.822 | 3588.397 | 10488.47 | 2608.789 | 3820.341 | 4049.34 | 3231.852 | 3031.293 | 3886.678 | 3615.218 | 3328.279 | 3390.05 | |
| std | 146.0793 | 1080.149 | 346.3384 | 1906.807 | 56.72245 | 414.3017 | 254.7996 | 327.6241 | 149.4111 | 346.4202 | 241.5617 | 205.5091 | 154.8192 | |
| median | 2022.961 | 6001.443 | 3206.657 | 8167.048 | 2562.59 | 3607.189 | 3967.848 | 2928.736 | 2779.194 | 3717.871 | 3450.104 | 3043.404 | 3250.542 | |
| rank | 1 | 12 | 6 | 13 | 2 | 9 | 11 | 4 | 3 | 10 | 8 | 5 | 7 | |
| C17-F18 | mean | 1830.914 | 50,910,288 | 1,629,703 | 75,518,961 | 26,076.32 | 23,578,215 | 30,386,714 | 1,783,979 | 3,857,322 | 5,522,929 | 5,663,162 | 562,637.9 | 6,377,248 |
| best | 1822.262 | 40,744,777 | 220,232.4 | 33,960,504 | 3729.858 | 2,119,833 | 8,228,326 | 1,047,278 | 746,437.6 | 3,793,764 | 2,674,842 | 237,427.6 | 2,291,774 | |
| worst | 1842.122 | 60,032,637 | 2,982,184 | 1.05 × 108 | 38,990.49 | 67,348,823 | 54,999,657 | 2,773,664 | 7,687,381 | 7,675,586 | 10,577,631 | 918,505.6 | 15,323,252 | |
| std | 9.036632 | 9,065,965 | 1,520,288 | 37,884,753 | 16,764.33 | 32,622,247 | 25,173,665 | 897,576.1 | 3,945,036 | 1,786,705 | 3,919,143 | 339,318.2 | 6,551,592 | |
| median | 1829.635 | 51,431,869 | 1,658,198 | 81,660,379 | 30,792.46 | 12,422,102 | 29,159,436 | 1,657,486 | 3,497,734 | 5,311,183 | 4,700,086 | 547,309.1 | 3,946,983 | |
| rank | 1 | 12 | 4 | 13 | 2 | 10 | 11 | 5 | 6 | 7 | 8 | 3 | 9 | |
| C17-F19 | mean | 1925.187 | 1.83 × 109 | 175,319.7 | 2.58 × 109 | 2080.868 | 1.8 × 109 | 4,601,206 | 3,446,693 | 782,677.2 | 34,089,610 | 304,610.5 | 265,357.5 | 667,542.3 |
| best | 1924.439 | 8.73 × 108 | 61,984.29 | 1.74 × 109 | 2019.962 | 6,575,871 | 692,607 | 2,623,760 | 383,448.8 | 28,940,951 | 175,433.2 | 2610.44 | 522,323.7 | |
| worst | 1926.122 | 3.06 × 109 | 360,841.9 | 3.19 × 109 | 2110.964 | 5.25 × 109 | 10,843,830 | 4,274,312 | 1,203,045 | 43,289,205 | 666,715 | 661,774.8 | 904,038.4 | |
| std | 0.860715 | 1 × 109 | 141,150.6 | 7.02 × 108 | 45.24112 | 2.55 × 109 | 4,747,367 | 733,387.1 | 372,925.2 | 6,951,139 | 262,814.8 | 342,049.9 | 196,041 | |
| median | 1925.093 | 1.7 × 109 | 139,226.4 | 2.7 × 109 | 2096.272 | 9.66 × 108 | 3,434,194 | 3,444,350 | 772,107.7 | 32,064,142 | 188,146.8 | 198,522.3 | 621,903.5 | |
| rank | 1 | 12 | 3 | 13 | 2 | 11 | 9 | 8 | 7 | 10 | 5 | 4 | 6 | |
| C17-F20 | mean | 2160.178 | 3442.542 | 3063.524 | 3622.694 | 2655.984 | 3177.474 | 3389.766 | 3072.911 | 2631.922 | 3406.875 | 3585.842 | 3079.083 | 2997.597 |
| best | 2104.428 | 3124.74 | 2684.261 | 3342.27 | 2374.521 | 2780.33 | 3097.53 | 2855.502 | 2404.817 | 3342.69 | 3415.061 | 2895.567 | 2861.424 | |
| worst | 2323.896 | 3557.618 | 3400.293 | 3766.414 | 2938.174 | 3343.03 | 3761.81 | 3479.89 | 2831.881 | 3439.221 | 3865.962 | 3175.281 | 3060.95 | |
| std | 118.7923 | 230.6985 | 320.1173 | 215.7375 | 258.4841 | 291.0508 | 300.2597 | 311.588 | 231.9714 | 48.05564 | 212.2806 | 141.0455 | 102.1433 | |
| median | 2106.193 | 3543.906 | 3084.771 | 3691.046 | 2655.62 | 3293.268 | 3349.863 | 2978.127 | 2645.496 | 3422.795 | 3531.172 | 3122.742 | 3034.007 | |
| rank | 1 | 11 | 5 | 13 | 3 | 8 | 9 | 6 | 2 | 10 | 12 | 7 | 4 | |
| C17-F21 | mean | 2314.897 | 2815.369 | 2655.367 | 2841.386 | 2448.553 | 2791.812 | 2785.666 | 2532.422 | 2497.099 | 2700.2 | 2713.84 | 2589.969 | 2651.518 |
| best | 2309.047 | 2792.814 | 2567.11 | 2764.471 | 2428.126 | 2724.519 | 2702.324 | 2505.307 | 2454.213 | 2676.686 | 2670.536 | 2535.381 | 2629.592 | |
| worst | 2329.685 | 2840.618 | 2775.6 | 2907.834 | 2473.091 | 2900.378 | 2855.04 | 2562.591 | 2530.805 | 2738.246 | 2748.307 | 2655.528 | 2672.443 | |
| std | 10.75944 | 26.85998 | 96.14359 | 70.10397 | 24.92191 | 82.33755 | 69.45541 | 28.46343 | 36.99248 | 31.21705 | 35.87157 | 55.85716 | 19.30608 | |
| median | 2310.427 | 2814.023 | 2639.379 | 2846.618 | 2446.497 | 2771.175 | 2792.65 | 2530.896 | 2501.69 | 2692.934 | 2718.259 | 2584.483 | 2652.018 | |
| rank | 1 | 12 | 7 | 13 | 2 | 11 | 10 | 4 | 3 | 8 | 9 | 5 | 6 | |
| C17-F22 | mean | 3095.197 | 11,840.37 | 9249.944 | 12,696.53 | 5345.01 | 11,003.98 | 10,954.55 | 7801.322 | 7717.179 | 12,324.35 | 9446.36 | 8313.732 | 7690.125 |
| best | 2300 | 10,975.8 | 7776.947 | 11,596.14 | 2320.141 | 10,078.43 | 10,143.6 | 5540.057 | 7020.447 | 11,020.41 | 8401.309 | 6787.63 | 3472.311 | |
| worst | 5480.642 | 12,857.63 | 11,440.49 | 13,850.78 | 8518.314 | 11,754.03 | 12,053.19 | 9542.076 | 8719.371 | 13,582.63 | 10510.72 | 9523.203 | 11754.54 | |
| std | 1730.723 | 1070.614 | 1718.974 | 1196.586 | 3672.687 | 947.0155 | 1013.265 | 1977.833 | 882.5331 | 1580.879 | 1106.249 | 1437.482 | 4065.796 | |
| median | 2300.072 | 11,764.03 | 8891.173 | 12,669.61 | 5270.792 | 11,091.74 | 10,810.71 | 8061.576 | 7564.448 | 12,347.19 | 9436.704 | 8472.049 | 7766.826 | |
| rank | 1 | 11 | 7 | 13 | 2 | 10 | 9 | 5 | 4 | 12 | 8 | 6 | 3 | |
| C17-F23 | mean | 2743.356 | 3522.458 | 3163.124 | 3574.045 | 2890.254 | 3470.182 | 3471.906 | 2957.6 | 2978.637 | 3156.257 | 4157.751 | 3221.163 | 3211.292 |
| best | 2729.99 | 3468.745 | 3103.497 | 3536.953 | 2876.706 | 3327.088 | 3347.389 | 2928.115 | 2921.935 | 3102.22 | 4022.999 | 3175.524 | 3122.573 | |
| worst | 2752.658 | 3584.607 | 3224.911 | 3602.28 | 2910.242 | 3696.189 | 3536.369 | 3007.989 | 3069.34 | 3201.246 | 4270.164 | 3258.832 | 3312.274 | |
| std | 10.90086 | 54.02718 | 60.61126 | 30.90234 | 15.64305 | 189.7784 | 94.17823 | 39.29736 | 68.89713 | 44.52035 | 110.9169 | 45.81438 | 84.90131 | |
| median | 2745.389 | 3518.24 | 3162.044 | 3578.472 | 2887.034 | 3428.726 | 3501.933 | 2947.148 | 2961.636 | 3160.781 | 4168.92 | 3225.148 | 3205.16 | |
| rank | 1 | 11 | 6 | 12 | 2 | 9 | 10 | 3 | 4 | 5 | 13 | 8 | 7 | |
| C17-F24 | mean | 2919.045 | 3847.144 | 3371.663 | 4035.006 | 3066.455 | 3707.052 | 3587.628 | 3114.077 | 3157.447 | 3327.43 | 3964.13 | 3337.517 | 3474.692 |
| best | 2909.048 | 3676.633 | 3286.074 | 3705.929 | 3036.433 | 3653.584 | 3501.846 | 3099.923 | 3102.28 | 3264.618 | 3930.479 | 3218.163 | 3437.316 | |
| worst | 2924.414 | 4249.168 | 3510.814 | 4862.616 | 3104.766 | 3796.277 | 3627.87 | 3128.441 | 3249.73 | 3380.066 | 4004.08 | 3438.186 | 3554.507 | |
| std | 7.426455 | 293.3714 | 105.578 | 605.7561 | 33.51764 | 71.98341 | 62.89371 | 17.60413 | 69.95648 | 54.41671 | 33.20185 | 105.599 | 58.59073 | |
| median | 2921.359 | 3731.388 | 3344.882 | 3785.739 | 3062.311 | 3689.174 | 3610.399 | 3113.971 | 3138.889 | 3332.518 | 3960.981 | 3346.859 | 3453.474 | |
| rank | 1 | 11 | 7 | 13 | 2 | 10 | 9 | 3 | 4 | 5 | 12 | 6 | 8 | |
| C17-F25 | mean | 2983.146 | 6829.727 | 3143.338 | 9097.362 | 3068.428 | 5065.94 | 3806.319 | 3059.523 | 3724.506 | 3955.333 | 3889.831 | 3104.751 | 3734.483 |
| best | 2980.236 | 5803.049 | 3130.278 | 7503.99 | 3047.782 | 4307.608 | 3529.563 | 3042.159 | 3589.955 | 3618.063 | 3650.817 | 3075.541 | 3654.743 | |
| worst | 2991.832 | 7484.653 | 3168.235 | 10,080.95 | 3087.127 | 5794.215 | 4009.619 | 3074.003 | 3864.58 | 4364.674 | 4340.166 | 3144.476 | 3819.331 | |
| std | 6.301683 | 809.5386 | 18.46922 | 1315.955 | 17.70878 | 696.2403 | 222.5587 | 14.42115 | 158.7741 | 407.2211 | 351.8383 | 36.3899 | 73.3475 | |
| median | 2980.258 | 7015.603 | 3137.419 | 9402.253 | 3069.401 | 5080.969 | 3843.047 | 3060.966 | 3721.744 | 3919.297 | 3784.171 | 3099.493 | 3731.929 | |
| rank | 1 | 12 | 5 | 13 | 3 | 11 | 8 | 2 | 6 | 10 | 9 | 4 | 7 | |
| C17-F26 | mean | 3776.426 | 10,652.91 | 8534.427 | 11,323.3 | 3325.099 | 9657.961 | 10,469.34 | 5002.569 | 5496.103 | 7681.45 | 8923.373 | 6591.812 | 7180.913 |
| best | 3748.802 | 10,443.43 | 8119.655 | 10,835.26 | 3121.405 | 8167.252 | 9930.223 | 4602.366 | 5163.312 | 7082.217 | 8703.873 | 6292.621 | 5924.898 | |
| worst | 3793.641 | 10,877.13 | 8836.358 | 11,924.37 | 3616.373 | 10,615.63 | 11,579.66 | 5158.965 | 5766.863 | 8289.045 | 9132.306 | 6928.002 | 8926.379 | |
| std | 21.16802 | 194.836 | 326.5236 | 505.9885 | 244.4607 | 1142.821 | 816.3939 | 291.0878 | 296.3572 | 540.8842 | 191.6014 | 306.9423 | 1552.268 | |
| median | 3781.631 | 10,645.54 | 8590.849 | 11,266.78 | 3281.309 | 9924.48 | 10,183.75 | 5124.472 | 5527.119 | 7677.269 | 8928.657 | 6573.312 | 6936.186 | |
| rank | 2 | 12 | 8 | 13 | 1 | 10 | 11 | 3 | 4 | 7 | 9 | 5 | 6 | |
| C17-F27 | mean | 3251.261 | 4348.03 | 3702.277 | 4476.939 | 3384.497 | 4286.968 | 4117.349 | 3369.912 | 3559.135 | 3688.956 | 6588.379 | 3562.867 | 4106.793 |
| best | 3227.704 | 4129.783 | 3644.608 | 4219.639 | 3275.973 | 3765.898 | 3724.24 | 3341.168 | 3526.837 | 3590.577 | 6432.25 | 3381.815 | 4029.947 | |
| worst | 3313.632 | 4498.215 | 3779.963 | 4662.284 | 3486.386 | 4627.164 | 4543.237 | 3400.365 | 3626.446 | 3806.875 | 6832.622 | 3731.943 | 4239.398 | |
| std | 45.3921 | 187.0499 | 64.78135 | 216.8054 | 93.81539 | 414.8289 | 407.9824 | 29.25056 | 49.90718 | 114.969 | 204.9979 | 161.818 | 104.6721 | |
| median | 3231.855 | 4382.06 | 3692.267 | 4512.915 | 3387.814 | 4377.406 | 4100.96 | 3369.058 | 3541.628 | 3679.186 | 6544.321 | 3568.855 | 4078.914 | |
| rank | 1 | 11 | 7 | 12 | 3 | 10 | 9 | 2 | 4 | 6 | 13 | 5 | 8 | |
| C17-F28 | mean | 3258.85 | 7012.212 | 3517 | 8677.989 | 3352.894 | 6008.631 | 4353.142 | 3307.718 | 4068.218 | 4644.052 | 4515.449 | 3706.903 | 4502.021 |
| best | 3258.849 | 6426.532 | 3448.857 | 7793.552 | 3315.88 | 5059.151 | 3926.172 | 3300.093 | 3871.664 | 4210.448 | 4463.991 | 3479.946 | 4336.583 | |
| worst | 3258.85 | 8489.764 | 3585.606 | 11,002.56 | 3398.346 | 6982.711 | 4526.662 | 3314.243 | 4314.975 | 5031.442 | 4585.251 | 4065.912 | 4619.871 | |
| std | 0.000533 | 1079.786 | 76.37052 | 1689.597 | 44.0203 | 1051.027 | 310.8789 | 6.66045 | 218.9069 | 366.2977 | 56.36689 | 273.6725 | 146.5477 | |
| median | 3258.85 | 6566.276 | 3516.769 | 7957.92 | 3348.674 | 5996.33 | 4479.867 | 3308.267 | 4043.116 | 4667.159 | 4506.277 | 3640.876 | 4525.815 | |
| rank | 1 | 12 | 4 | 13 | 3 | 11 | 7 | 2 | 6 | 10 | 9 | 5 | 8 | |
| C17-F29 | mean | 3263.048 | 10,588.92 | 5059.259 | 14583.27 | 4100.139 | 6011.158 | 7469.708 | 4606.515 | 4632.07 | 5762.626 | 6880.677 | 4608.764 | 5499.832 |
| best | 3247.145 | 7486.596 | 5016.757 | 8384.624 | 3741.342 | 5762.752 | 5345.065 | 4358.302 | 4408.46 | 5030.464 | 5877.658 | 4335.869 | 5181.465 | |
| worst | 3278.796 | 13,936.26 | 5136.191 | 22186.49 | 4346.972 | 6349.622 | 9360.184 | 5095.699 | 4893.259 | 6417.663 | 8694.154 | 4747.897 | 5993.378 | |
| std | 18.99864 | 3226.438 | 57.3369 | 6681.957 | 297.9412 | 270.9063 | 1802.677 | 361.0841 | 219.7824 | 708.8003 | 1403.934 | 204.2896 | 398.6318 | |
| median | 3263.125 | 10,466.42 | 5042.044 | 13880.98 | 4156.121 | 5966.129 | 7586.791 | 4486.03 | 4613.28 | 5801.188 | 6475.448 | 4675.645 | 5412.243 | |
| rank | 1 | 12 | 6 | 13 | 2 | 9 | 11 | 3 | 5 | 8 | 10 | 4 | 7 | |
| C17-F30 | mean | 623,587.7 | 2.2 × 109 | 15,251,890 | 3.7 × 109 | 1,652,759 | 1.12 × 109 | 1.07 × 108 | 47,981,163 | 94,371,290 | 2.03 × 108 | 1.25 × 108 | 3,775,782 | 39,873,421 |
| best | 582,420 | 1.7 × 109 | 9,443,607 | 2.27 × 109 | 1,250,370 | 1.37 × 108 | 72,559,067 | 43,747,505 | 45,867,478 | 1.41 × 108 | 96,019,075 | 2,769,992 | 32,144,348 | |
| worst | 655,644.6 | 2.99 × 109 | 20,575,454 | 5.8 × 109 | 2,692,256 | 2.26 × 109 | 1.48 × 108 | 55,029,646 | 1.4 × 108 | 2.57 × 108 | 1.63 × 108 | 4,958,921 | 55,632,636 | |
| std | 35,548.22 | 6.13 × 108 | 6,080,569 | 1.66 × 109 | 757,580.8 | 1.19 × 109 | 41,126,849 | 5,402,394 | 51,729,113 | 52,698,117 | 30,723,168 | 1,095,078 | 11,797,567 | |
| median | 628,143.1 | 2.06 × 109 | 15,494,250 | 3.36 × 109 | 1,334,205 | 1.03 × 109 | 1.04 × 108 | 46,573,751 | 95,686,827 | 2.06 × 108 | 1.2 × 108 | 3,687,107 | 35,858,349 | |
| rank | 1 | 12 | 4 | 13 | 2 | 11 | 8 | 6 | 7 | 10 | 9 | 3 | 5 | |
| Sum rank | 30 | 335 | 166 | 367 | 63 | 294 | 269 | 112 | 144 | 248 | 254 | 150 | 207 | |
| Mean rank | 1.034483 | 11.55172 | 5.724138 | 12.65517 | 2.172414 | 10.13793 | 9.275862 | 3.862069 | 4.965517 | 8.551724 | 8.758621 | 5.172414 | 7.137931 | |
| Total rank | 1 | 12 | 6 | 13 | 2 | 11 | 10 | 3 | 4 | 8 | 9 | 5 | 7 | |
| WOA | WSO | AVOA | RSA | MPA | TSA | WA | MVO | GWO | TLBO | GSA | PSO | GA | ||
|---|---|---|---|---|---|---|---|---|---|---|---|---|---|---|
| C17-F1 | mean | 1,516,167 | 1.53 × 1011 | 4.3 × 1010 | 1.97 × 1011 | 4.08 × 1010 | 1.25 × 1011 | 8.26 × 1010 | 4.05 × 1010 | 7.88 × 1010 | 1.02 × 1011 | 1.32 × 1011 | 5.39 × 1010 | 7.81 × 1010 |
| best | 1,335,206 | 1.45 × 1011 | 3.93 × 1010 | 1.94 × 1011 | 3.6 × 1010 | 1.1 × 1011 | 7.62 × 1010 | 3.57 × 1010 | 7.1 × 1010 | 9.61 × 1010 | 1.24 × 1011 | 4.87 × 1010 | 7.22 × 1010 | |
| worst | 1,695,059 | 1.6 × 1011 | 4.78 × 1010 | 2.02 × 1011 | 4.56 × 1010 | 1.4 × 1011 | 8.68 × 1010 | 4.52 × 1010 | 8.87 × 1010 | 1.09 × 1011 | 1.43 × 1011 | 5.96 × 1010 | 8.78 × 1010 | |
| std | 162,257 | 6.82 × 109 | 4.1 × 109 | 4.61 × 109 | 4.31 × 109 | 1.34 × 1010 | 5.05 × 109 | 4.32 × 109 | 9.06 × 109 | 6.16 × 109 | 8.79 × 109 | 4.9 × 109 | 7.37 × 109 | |
| median | 1,517,202 | 1.53 × 1011 | 4.24 × 1010 | 1.96 × 1011 | 4.07 × 1010 | 1.25 × 1011 | 8.37 × 1010 | 4.05 × 1010 | 7.78 × 1010 | 1.01 × 1011 | 1.31 × 1011 | 5.37 × 1010 | 7.63 × 1010 | |
| rank | 1 | 12 | 4 | 13 | 3 | 10 | 8 | 2 | 7 | 9 | 11 | 5 | 6 | |
| C17-F3 | mean | 304.3666 | 404,220.1 | 335,856.2 | 333,279.5 | 222,594.4 | 360,796.8 | 646,706.9 | 429,658.5 | 363,907.9 | 315,501.5 | 347,236.8 | 479,900.6 | 504,380.7 |
| best | 303.4984 | 355,538 | 311,476.3 | 314,638.8 | 174,570.9 | 289,123.5 | 557,408 | 383,428.5 | 320,724.9 | 303,915.9 | 320,413.9 | 368,656.4 | 465,316.6 | |
| worst | 304.9872 | 433,336 | 347,280.5 | 348,819.3 | 248,814.9 | 412,038.3 | 730,946 | 497,551.4 | 393,597 | 332,473.2 | 375,203.8 | 643,174.9 | 517,599.7 | |
| std | 0.685925 | 36,832.02 | 17,890.95 | 17,179.27 | 37,212.91 | 56,628.81 | 80,870.54 | 57,209.63 | 34,905.84 | 13,485.17 | 28,261.48 | 132,232.9 | 28,332.22 | |
| median | 304.4903 | 414,003.2 | 342,334 | 334,829.9 | 233,495.9 | 371,012.7 | 649,236.8 | 418,827 | 370,654.9 | 312,808.4 | 346,664.7 | 453,885.5 | 517,303.2 | |
| rank | 1 | 9 | 5 | 4 | 2 | 7 | 13 | 10 | 8 | 3 | 6 | 11 | 12 | |
| C17-F4 | mean | 602.3573 | 35,048.41 | 6177.611 | 55,574.52 | 5817.781 | 15,883.28 | 12,480.82 | 5644.298 | 8133.492 | 12,346.82 | 28,039.38 | 6794.114 | 11,315.35 |
| best | 592.1863 | 32,231.84 | 4385.111 | 51,161.87 | 3994.814 | 10,394.76 | 10,939.38 | 3834.588 | 5963.792 | 10,235.7 | 25,037.75 | 5230.308 | 9715.221 | |
| worst | 612.5252 | 37,708.02 | 7700.378 | 61,112 | 7586.922 | 21,117.42 | 14,308.66 | 7325.128 | 11,333.46 | 14,624.21 | 30,780.79 | 7827.886 | 13,392.26 | |
| std | 12.74023 | 3097.53 | 1499.009 | 4592.548 | 1621.898 | 4820.493 | 1610.579 | 1567.93 | 2473.563 | 1952.352 | 2740.741 | 1201.699 | 1685.327 | |
| median | 602.3589 | 35,126.89 | 6312.477 | 55,012.11 | 5844.694 | 16,010.48 | 12,337.62 | 5708.738 | 7618.358 | 12,263.68 | 28,169.48 | 7059.131 | 11,076.96 | |
| rank | 1 | 12 | 4 | 13 | 3 | 10 | 9 | 2 | 6 | 8 | 11 | 5 | 7 | |
| C17-F5 | mean | 512.9536 | 1991.191 | 1543.592 | 1970.979 | 1484.777 | 2092.568 | 1889.655 | 1491.709 | 1456.78 | 1912.733 | 1558.131 | 1609.451 | 1720.727 |
| best | 510.9635 | 1982.272 | 1530.613 | 1939.522 | 1409.772 | 2067.901 | 1834.609 | 1414.382 | 1414.156 | 1889.659 | 1536.821 | 1535.314 | 1618.619 | |
| worst | 514.9436 | 2001.98 | 1559.029 | 1997.362 | 1545.338 | 2121.256 | 1982.255 | 1530.253 | 1481.497 | 1941.475 | 1582.696 | 1733.143 | 1782.729 | |
| std | 1.976171 | 9.414798 | 13.4072 | 29.31266 | 71.1504 | 26.73081 | 70.35415 | 59.11108 | 34.69417 | 23.79624 | 22.94323 | 100.6244 | 78.18375 | |
| median | 512.9536 | 1990.256 | 1542.363 | 1973.516 | 1492 | 2090.558 | 1870.877 | 1511.101 | 1465.734 | 1909.9 | 1556.504 | 1584.673 | 1740.78 | |
| rank | 1 | 12 | 5 | 11 | 3 | 13 | 9 | 4 | 2 | 10 | 6 | 7 | 8 | |
| C17-F6 | mean | 600.0013 | 704.1609 | 675.0138 | 703.0254 | 658.9907 | 707.1478 | 702.5191 | 683.3602 | 660.866 | 687.6997 | 676.402 | 674.7254 | 675.7973 |
| best | 600.0012 | 698.5307 | 670.7235 | 695.9336 | 652.6971 | 695.2064 | 696.7071 | 675.0774 | 660.2419 | 684.5793 | 675.1257 | 666.1367 | 669.5922 | |
| worst | 600.0014 | 708.4778 | 677.9762 | 706.6793 | 665.8922 | 715.3754 | 710.0099 | 689.9493 | 661.7202 | 689.887 | 678.0049 | 681.0534 | 681.9123 | |
| std | 0.000128 | 5.084045 | 3.413167 | 5.324081 | 5.877588 | 10.58996 | 6.60503 | 7.320229 | 0.762225 | 2.542322 | 1.535974 | 7.840827 | 5.815911 | |
| median | 600.0013 | 704.8175 | 675.6778 | 704.7443 | 658.6868 | 709.0048 | 701.6798 | 684.2071 | 660.7509 | 688.1661 | 676.2386 | 675.8557 | 675.8424 | |
| rank | 1 | 12 | 5 | 11 | 2 | 13 | 10 | 8 | 3 | 9 | 7 | 4 | 6 | |
| C17-F7 | mean | 811.4227 | 3457.223 | 3109.954 | 3533.302 | 2299.591 | 3343.039 | 3438.302 | 2407.454 | 2417.591 | 3120.778 | 3137.408 | 2714.359 | 2778.54 |
| best | 810.0491 | 3375.576 | 2994.927 | 3449.146 | 2279.916 | 3169.02 | 3352.697 | 2244.344 | 2346.107 | 3001.314 | 3068.81 | 2482.492 | 2694.302 | |
| worst | 813.2053 | 3577.581 | 3225.432 | 3607.817 | 2314.143 | 3507.437 | 3607.208 | 2541.564 | 2485.314 | 3226.357 | 3223.866 | 2819.661 | 2976.299 | |
| std | 1.590756 | 100.0488 | 112.2285 | 71.29051 | 16.22815 | 166.2251 | 124.9158 | 134.7031 | 68.87138 | 113.7655 | 73.01565 | 169.7354 | 144.9954 | |
| median | 811.2181 | 3437.867 | 3109.729 | 3538.122 | 2302.152 | 3347.849 | 3396.651 | 2421.954 | 2419.471 | 3127.72 | 3128.478 | 2777.641 | 2721.78 | |
| rank | 1 | 12 | 7 | 13 | 2 | 10 | 11 | 3 | 4 | 8 | 9 | 5 | 6 | |
| C17-F8 | mean | 812.4555 | 2352.625 | 1907.109 | 2388.387 | 1707.37 | 2337.773 | 2285.496 | 1722.842 | 1762.975 | 2242.908 | 1964.73 | 1886.548 | 2098.938 |
| best | 808.9723 | 2301.434 | 1852.513 | 2354.271 | 1606.764 | 2271.676 | 2165.488 | 1650.271 | 1675.758 | 2212.837 | 1909.207 | 1841.257 | 2070.596 | |
| worst | 816.9321 | 2419.687 | 1949.623 | 2420.097 | 1755.839 | 2422.639 | 2414.234 | 1821.131 | 1882.416 | 2271.299 | 2077.863 | 1927.735 | 2160.298 | |
| std | 3.696911 | 53.69952 | 44.50814 | 34.56564 | 73.91288 | 79.19452 | 133.3679 | 80.45573 | 95.27606 | 29.55326 | 84.03673 | 39.03489 | 45.18471 | |
| median | 811.9587 | 2344.689 | 1913.151 | 2389.59 | 1733.438 | 2328.389 | 2281.131 | 1709.984 | 1746.864 | 2243.749 | 1935.925 | 1888.6 | 2082.429 | |
| rank | 1 | 12 | 6 | 13 | 2 | 11 | 10 | 3 | 4 | 9 | 7 | 5 | 8 | |
| C17-F9 | mean | 901.3877 | 95,778.14 | 54,485.84 | 87,431.46 | 51,854.85 | 115,464.2 | 87,115.74 | 75,728.14 | 60,626.52 | 85,597.32 | 52,591.35 | 58,625.37 | 67,134.68 |
| best | 901.1356 | 82,780.35 | 48,201.51 | 80,334.99 | 45,413.99 | 94,652.93 | 71,084.88 | 62,978.75 | 51,207.81 | 79,960.75 | 46,111.03 | 48,608.69 | 62,335.69 | |
| worst | 901.7337 | 114,084.9 | 60,830.25 | 98,027.24 | 61,351.93 | 144,028 | 109,314.3 | 90,235.55 | 64,552.32 | 95,693.13 | 60,758.1 | 70,280.44 | 76,296.1 | |
| std | 0.273174 | 14,462.67 | 5611.921 | 8168.747 | 7334.162 | 22,552.8 | 19,542.06 | 12,157.21 | 6923.12 | 7533.46 | 6596.97 | 9684.641 | 6812.769 | |
| median | 901.3407 | 93,123.66 | 54,455.81 | 85,681.81 | 50,326.74 | 111,588 | 84,031.88 | 74,849.13 | 63,372.98 | 83,367.71 | 51,748.13 | 57,806.17 | 64,953.45 | |
| rank | 1 | 12 | 4 | 11 | 2 | 13 | 10 | 8 | 6 | 9 | 3 | 5 | 7 | |
| C17-F10 | mean | 11,023.25 | 29,357.21 | 19,975.73 | 30,225.95 | 18,608.25 | 28,761.31 | 28,079.24 | 20,644.56 | 19,465.96 | 30,232.27 | 20,797.7 | 20,697.94 | 26,618.16 |
| best | 9625.835 | 29,164.51 | 18,005.85 | 29,931.72 | 18,332.5 | 28,051.2 | 27,572.57 | 20,441.47 | 18,605.78 | 29,288.6 | 19,663.97 | 19,271.02 | 26,156.05 | |
| worst | 11,859 | 29,484.77 | 21,765.39 | 30,561.54 | 18,929.71 | 29,670.88 | 28,769.44 | 21,101.1 | 20,145.67 | 31,001.67 | 21,762.55 | 21426.35 | 26,880.79 | |
| std | 1054.006 | 159.5784 | 1781.614 | 295.033 | 298.1571 | 778.3132 | 544.9852 | 333.4346 | 731.7527 | 852.0359 | 957.8658 | 1068.043 | 346.429 | |
| median | 11,304.08 | 29,389.79 | 20,065.84 | 30,205.26 | 18,585.4 | 28,661.58 | 27,987.48 | 20,517.84 | 19,556.2 | 30,319.41 | 20,882.13 | 21,047.19 | 26,717.91 | |
| rank | 1 | 11 | 4 | 12 | 2 | 10 | 9 | 5 | 3 | 13 | 7 | 6 | 8 | |
| C17-F11 | mean | 1163.085 | 128,944 | 62,804.62 | 156,576 | 23,728.35 | 63,625.08 | 157,842.4 | 23,595.09 | 77,997.79 | 67,841.35 | 134,368.6 | 54,853.93 | 11,2319.2 |
| best | 1140.345 | 106,463.3 | 51,483.53 | 126,405 | 12,360.39 | 29,004.28 | 100,990 | 12,495.8 | 66,001.38 | 49,256.24 | 117,182.2 | 37,943.29 | 79,398.03 | |
| worst | 1221.75 | 147,250 | 71,587.79 | 214,915.1 | 33,195.32 | 91,022.76 | 230,731.5 | 32,624.91 | 90,103.86 | 82,629.14 | 162,186.3 | 79,482.6 | 155,925.4 | |
| std | 42.68713 | 18,797.15 | 9668.458 | 43,108.25 | 9378.95 | 27,967.46 | 67,208.3 | 9039.573 | 12,793.34 | 15,346.66 | 21,236.22 | 19,717.07 | 35,141.57 | |
| median | 1145.123 | 131,031.3 | 64,073.59 | 142,492 | 24,678.85 | 67,236.65 | 149,824 | 24,629.84 | 77,942.96 | 69,740.02 | 129,053 | 50,994.92 | 106,976.7 | |
| rank | 1 | 10 | 5 | 12 | 3 | 6 | 13 | 2 | 8 | 7 | 11 | 4 | 9 | |
| C17-F12 | mean | 676,048.3 | 8.74 × 1010 | 1.83 × 1010 | 1.31 × 1011 | 1.8 × 1010 | 5.53 × 1010 | 2.66 × 1010 | 1.81 × 1010 | 2.54 × 1010 | 3.23 × 1010 | 6.19 × 1010 | 2.45 × 1010 | 2.6 × 1010 |
| best | 349,148.1 | 5.86 × 1010 | 9.51 × 109 | 9.36 × 1010 | 9.36 × 109 | 2.84 × 1010 | 1.62 × 1010 | 9.31 × 109 | 1.7 × 1010 | 2.05 × 1010 | 5.21 × 1010 | 1.77 × 1010 | 1.66 × 1010 | |
| worst | 1,118,035 | 1.05 × 1011 | 3.01 × 1010 | 1.47 × 1011 | 2.98 × 1010 | 9.18 × 1010 | 3.96 × 1010 | 2.99 × 1010 | 3.86 × 1010 | 4.15 × 1010 | 8.14 × 1010 | 3.91 × 1010 | 3.75 × 1010 | |
| std | 349,383.1 | 2.17 × 1010 | 9.37 × 109 | 2.74 × 1010 | 9.31 × 109 | 2.88 × 1010 | 1.05 × 1010 | 9.33 × 109 | 1.01 × 1010 | 9.87 × 109 | 1.46 × 1010 | 1.07 × 1010 | 9.45 × 109 | |
| median | 618,505.2 | 9.31 × 1010 | 1.68 × 1010 | 1.41 × 1011 | 1.65 × 1010 | 5.06 × 1010 | 2.52 × 1010 | 1.66 × 1010 | 2.3 × 1010 | 3.36 × 1010 | 5.7 × 1010 | 2.07 × 1010 | 2.5 × 1010 | |
| rank | 1 | 12 | 4 | 13 | 2 | 10 | 8 | 3 | 6 | 9 | 11 | 5 | 7 | |
| C17-F13 | mean | 253,424 | 2.51 × 1010 | 6.72 × 109 | 3.49 × 1010 | 6.72 × 109 | 2.08 × 1010 | 7.07 × 109 | 6.72 × 109 | 7.34 × 109 | 8.58 × 109 | 1.25 × 1010 | 7.88 × 109 | 6.84 × 109 |
| best | 180,323.1 | 2.16 × 1010 | 4.77 × 109 | 2.98 × 1010 | 4.77 × 109 | 1.48 × 1010 | 5.19 × 109 | 4.77 × 109 | 6.42 × 109 | 6.92 × 109 | 8.31 × 109 | 4.9 × 109 | 4.87 × 109 | |
| worst | 303,130.6 | 2.74 × 1010 | 8.05 × 109 | 3.88 × 1010 | 8.05 × 109 | 2.49 × 1010 | 8.29 × 109 | 8.05 × 109 | 8.71 × 109 | 1.03 × 1010 | 1.44 × 1010 | 9.91 × 109 | 8.14 × 109 | |
| std | 56,539.46 | 3.05 × 109 | 1.51 × 109 | 4.93 × 109 | 1.51 × 109 | 4.67 × 109 | 1.45 × 109 | 1.51 × 109 | 1.06 × 109 | 1.5 × 109 | 3.06 × 109 | 2.39 × 109 | 1.51 × 109 | |
| median | 265,121.2 | 2.57 × 1010 | 7.03 × 109 | 3.54 × 1010 | 7.03 × 109 | 2.18 × 1010 | 7.39 × 109 | 7.03 × 109 | 7.12 × 109 | 8.55 × 109 | 1.36 × 1010 | 8.36 × 109 | 7.17 × 109 | |
| rank | 1 | 12 | 3 | 13 | 2 | 11 | 6 | 4 | 7 | 9 | 10 | 8 | 5 | |
| C17-F14 | mean | 1572.614 | 32,796,858 | 7,211,091 | 55,421,181 | 2,863,311 | 8,678,759 | 12,413,197 | 4,807,125 | 9,155,851 | 11,989,909 | 10,397,492 | 3,341,629 | 9,740,522 |
| best | 1516.484 | 27,175,468 | 4,650,636 | 49,263,581 | 1,303,261 | 3,942,082 | 6,805,263 | 3,723,206 | 7,553,150 | 9,080,631 | 7,617,039 | 1,529,156 | 7,487,023 | |
| worst | 1663.892 | 39,732,530 | 12,786,669 | 63,069,551 | 5,534,993 | 16,933,191 | 15,588,982 | 6,074,250 | 11,475,961 | 14,257,407 | 13,341,815 | 5,826,270 | 12,737,203 | |
| std | 69.91953 | 5,768,013 | 4,104,978 | 6,645,773 | 2,027,270 | 6,227,013 | 4,385,549 | 1,050,496 | 1,901,201 | 2,334,225 | 3,075,337 | 2,033,148 | 2,378,073 | |
| median | 1555.041 | 32,139,716 | 5,703,530 | 54,675,796 | 2,307,496 | 6,919,881 | 13,629,271 | 4,715,522 | 8,797,148 | 12,310,798 | 10,315,558 | 3,005,545 | 9,368,931 | |
| rank | 1 | 12 | 5 | 13 | 2 | 6 | 11 | 4 | 7 | 10 | 9 | 3 | 8 | |
| C17-F15 | mean | 144,150.8 | 1.4 × 1010 | 3.8 × 109 | 1.93 × 1010 | 3.8 × 109 | 1.18 × 1010 | 3.85 × 109 | 3.8 × 109 | 4.13 × 109 | 4.59 × 109 | 4.62 × 109 | 4.02 × 109 | 3.81 × 109 |
| best | 4562.241 | 9.47 × 109 | 78967366 | 1.82 × 1010 | 78957867 | 2.44 × 108 | 1.12 × 108 | 79043502 | 1.07 × 109 | 7.77 × 108 | 1.08 × 109 | 9.49 × 108 | 85192625 | |
| worst | 268,664.2 | 1.72 × 1010 | 7.12 × 109 | 2.21 × 1010 | 7.12 × 109 | 2.2 × 1010 | 7.21 × 109 | 7.12 × 109 | 7.35 × 109 | 8.8 × 109 | 8.17 × 109 | 7.13 × 109 | 7.13 × 109 | |
| std | 124,679.9 | 3.53 × 109 | 3.32 × 109 | 2.04 × 109 | 3.32 × 109 | 1.03 × 1010 | 3.34 × 109 | 3.32 × 109 | 2.99 × 109 | 3.71 × 109 | 3.26 × 109 | 2.95 × 109 | 3.32 × 109 | |
| median | 151,688.4 | 1.46 × 1010 | 4 × 109 | 1.85 × 1010 | 4 × 109 | 1.24 × 1010 | 4.03 × 109 | 4 × 109 | 4.05 × 109 | 4.39 × 109 | 4.62 × 109 | 4.01 × 109 | 4.01 × 109 | |
| rank | 1 | 12 | 3 | 13 | 2 | 11 | 6 | 4 | 8 | 9 | 10 | 7 | 5 | |
| C17-F16 | mean | 2711.935 | 17,174.88 | 9375.173 | 19,623.56 | 8311.666 | 14,284.4 | 15,388.92 | 9020.2 | 8693.29 | 12,256.45 | 11,966.85 | 8946.221 | 11,627.33 |
| best | 2171.807 | 16768 | 8840.315 | 17,307.92 | 7484.04 | 11,795.09 | 13,404.39 | 8181.357 | 8183.509 | 11,795.62 | 10,870.01 | 8301.795 | 11,189.96 | |
| worst | 3397.492 | 17,477.21 | 9750.725 | 21,005.77 | 9216.336 | 17,104.19 | 17,091.2 | 10,130.72 | 9887.515 | 13,130.6 | 13,242.33 | 9658.277 | 12,050.38 | |
| std | 554.7989 | 322.4398 | 417.7672 | 1803.457 | 771.0536 | 2373.199 | 1831.816 | 937.1179 | 870.3778 | 658.3726 | 1132.17 | 606.7179 | 422.8393 | |
| median | 2639.22 | 17,227.16 | 9454.826 | 20,090.28 | 8273.144 | 14,119.16 | 15,530.05 | 8884.361 | 8351.069 | 12,049.8 | 11,877.53 | 8912.406 | 11,634.49 | |
| rank | 1 | 12 | 6 | 13 | 2 | 10 | 11 | 5 | 3 | 9 | 8 | 4 | 7 | |
| C17-F17 | mean | 2719.119 | 2,859,157 | 72,922.96 | 5,557,980 | 72,131.87 | 213,674.1 | 80,324.18 | 72,343.81 | 72,698.6 | 74,840.53 | 99,748.34 | 73,090.37 | 73,790.17 |
| best | 2281.869 | 820,982.1 | 7450.644 | 1,630,264 | 6251.242 | 10,021.8 | 14,217.56 | 6789.644 | 6205.114 | 8979.266 | 30,935.83 | 7128.748 | 7986.58 | |
| worst | 3430.818 | 6,394,172 | 187,120 | 12,676,416 | 186,320.4 | 567,637.8 | 191,528.7 | 186,543 | 186,583.2 | 189,235.9 | 208,491.4 | 187,594.3 | 188,157.9 | |
| std | 558.0556 | 2,812,131 | 85,474.06 | 5,676,889 | 85,545.59 | 265,068.4 | 83,954.93 | 85,493.88 | 85,479.75 | 85,675.52 | 83,607.67 | 85,762.04 | 85,643.93 | |
| median | 2581.895 | 2,110,737 | 48,560.6 | 3,962,620 | 47,977.92 | 138,518.4 | 57,775.23 | 48,021.31 | 49,003.05 | 50,573.48 | 79,783.06 | 48,819.23 | 49,508.09 | |
| rank | 1 | 12 | 5 | 13 | 2 | 11 | 9 | 3 | 4 | 8 | 10 | 6 | 7 | |
| C17-F18 | mean | 2080.041 | 43,320,838 | 6,564,402 | 72,852,157 | 4,855,312 | 14,556,523 | 12,639,015 | 7,947,771 | 11,949,564 | 15,417,798 | 12,476,212 | 8,958,554 | 8,694,657 |
| best | 1960.054 | 22,408,897 | 3,451,247 | 31,364,844 | 1,868,141 | 5,452,327 | 10,816,785 | 4,455,339 | 10,497,296 | 10,421,393 | 6,109,246 | 5,153,947 | 5,726,531 | |
| worst | 2280.201 | 79,446,911 | 12,552,937 | 1.34 × 108 | 9,884,703 | 29,746,027 | 17,059,651 | 12,011,997 | 13,473,301 | 20,060,107 | 26,891,473 | 12,804,802 | 13,328,202 | |
| std | 161.2402 | 27,321,562 | 4,534,181 | 47,821,021 | 3,931,731 | 11,908,143 | 3,221,100 | 4,142,439 | 1,322,654 | 5,344,174 | 10,528,302 | 3,879,765 | 3,545,898 | |
| median | 2039.954 | 35,713,773 | 5,126,713 | 62,910,719 | 3,834,201 | 11,513,869 | 11,339,812 | 7,661,875 | 11,913,831 | 15,594,846 | 8,452,065 | 8,937,734 | 7,861,948 | |
| rank | 1 | 12 | 3 | 13 | 2 | 10 | 9 | 4 | 7 | 11 | 8 | 6 | 5 | |
| C17-F19 | mean | 61,748.67 | 1 × 1010 | 1.6 × 109 | 1.64 × 1010 | 1.59 × 109 | 4.93 × 109 | 1.68 × 109 | 1.61 × 109 | 1.83 × 109 | 2.04 × 109 | 2.64 × 109 | 1.77 × 109 | 1.6 × 109 |
| best | 28,457.22 | 8.4 × 109 | 7.08 × 108 | 1.4 × 1010 | 7.06 × 108 | 2.19 × 109 | 8.55 × 108 | 7.2 × 108 | 9.25 × 108 | 8.98 × 108 | 1.28 × 109 | 7.36 × 108 | 7.15 × 108 | |
| worst | 120,720.4 | 1.1 × 1010 | 3.17 × 109 | 1.95 × 1010 | 3.17 × 109 | 9.8 × 109 | 3.28 × 109 | 3.18 × 109 | 3.88 × 109 | 4.18 × 109 | 3.55 × 109 | 3.55 × 109 | 3.17 × 109 | |
| std | 44,376.67 | 1.24 × 109 | 1.18 × 109 | 2.62 × 109 | 1.18 × 109 | 3.66 × 109 | 1.19 × 109 | 1.19 × 109 | 1.5 × 109 | 1.6 × 109 | 1.15 × 109 | 1.34 × 109 | 1.18 × 109 | |
| median | 48,908.51 | 1.03 × 1010 | 1.25 × 109 | 1.6 × 1010 | 1.25 × 109 | 3.88 × 109 | 1.3 × 109 | 1.26 × 109 | 1.26 × 109 | 1.53 × 109 | 2.87 × 109 | 1.4 × 109 | 1.26 × 109 | |
| rank | 1 | 12 | 3 | 13 | 2 | 11 | 6 | 5 | 8 | 9 | 10 | 7 | 4 | |
| C17-F20 | mean | 3192.086 | 7130.906 | 6393.398 | 7299.105 | 5276.316 | 6959.367 | 6967.721 | 6151.266 | 6325.791 | 7103.617 | 6489.606 | 5859.28 | 6457.287 |
| best | 2806.809 | 6808.312 | 6109.925 | 7129.09 | 5045.377 | 6348.678 | 6695.818 | 5888.305 | 5531.282 | 6370.5 | 6421.941 | 5285.222 | 5855.375 | |
| worst | 3662.17 | 7490.974 | 6574.384 | 7590.303 | 5525.349 | 7714.511 | 7259.143 | 6429.487 | 7172.125 | 7522.64 | 6582.129 | 6676.82 | 6750.557 | |
| std | 477.9763 | 314.8365 | 222.1951 | 218.8722 | 215.1906 | 638.3543 | 254.492 | 284.0463 | 817.6685 | 548.4264 | 86.85834 | 679.1682 | 448.8849 | |
| median | 3149.682 | 7112.17 | 6444.642 | 7238.512 | 5267.269 | 6887.139 | 6957.962 | 6143.636 | 6299.877 | 7260.663 | 6477.178 | 5737.539 | 6611.607 | |
| rank | 1 | 12 | 6 | 13 | 2 | 9 | 10 | 4 | 5 | 11 | 8 | 3 | 7 | |
| C17-F21 | mean | 2342.176 | 4188.739 | 3779.132 | 4270.657 | 3227.956 | 4079.587 | 4147.674 | 3495.198 | 3322.433 | 3806.318 | 4471.37 | 3723.178 | 3614.558 |
| best | 2338.709 | 4114.013 | 3669.137 | 4244.832 | 3181.924 | 3937.603 | 3931.265 | 3449.182 | 3221.864 | 3729.714 | 4055.845 | 3583.959 | 3544.929 | |
| worst | 2346.037 | 4266.859 | 3902.14 | 4295.032 | 3282.258 | 4175.805 | 4333.397 | 3536.524 | 3389.484 | 3912.206 | 4752.5 | 3990.996 | 3648.176 | |
| std | 3.665624 | 79.16902 | 103.8808 | 29.06097 | 53.37993 | 127.4037 | 205.1013 | 41.8701 | 80.45601 | 83.27279 | 323.4225 | 199.7949 | 51.13789 | |
| median | 2341.98 | 4187.042 | 3772.625 | 4271.381 | 3223.821 | 4102.471 | 4163.017 | 3497.543 | 3339.192 | 3791.675 | 4538.567 | 3658.878 | 3632.564 | |
| rank | 1 | 11 | 7 | 12 | 2 | 9 | 10 | 4 | 3 | 8 | 13 | 6 | 5 | |
| C17-F22 | mean | 11,739.23 | 30,994.01 | 23,384.21 | 32,095.1 | 22,352.12 | 30,326.85 | 29,242.02 | 21,417.37 | 25,422.62 | 32,013.72 | 23,983.29 | 24,489.45 | 29,017.48 |
| best | 11,119.3 | 30,075.84 | 22,490.17 | 31,500.23 | 21,787.95 | 29,175.81 | 27,864.92 | 20,809.38 | 22,402.63 | 30,983.09 | 23,517.19 | 23,565.24 | 28,318.76 | |
| worst | 12,601.83 | 31,600.08 | 24,267.14 | 32,537.09 | 23,468.11 | 31,407.58 | 30,393.46 | 21,919.53 | 32,490.6 | 32,540.98 | 24,547.06 | 25,549.11 | 29,790.33 | |
| std | 710.0898 | 724.585 | 954.1855 | 471.0018 | 822.8792 | 993.6619 | 1177.489 | 614.6335 | 5203.31 | 767.0319 | 480.0112 | 892.852 | 846.0033 | |
| median | 11,617.89 | 31,150.06 | 23,389.75 | 32,171.53 | 22,076.2 | 30,362.01 | 29,354.86 | 21,470.28 | 23,398.62 | 32,265.4 | 23,934.46 | 24,421.73 | 28,980.41 | |
| rank | 1 | 11 | 4 | 13 | 3 | 10 | 9 | 2 | 7 | 12 | 5 | 6 | 8 | |
| C17-F23 | mean | 2877.727 | 5335.872 | 4519.972 | 5337.317 | 3977.314 | 5416.469 | 5211.363 | 4102.366 | 4191.726 | 4587.384 | 7041.698 | 5024.99 | 4622.327 |
| best | 2872.132 | 4997.802 | 4221.97 | 5000.581 | 3728.194 | 4661.79 | 4908.279 | 3863.827 | 3978.938 | 4394.935 | 6710.592 | 4517.884 | 4333.783 | |
| worst | 2884.046 | 5864.65 | 4907.744 | 5687.42 | 4328.774 | 6439.532 | 5445.403 | 4512.721 | 4505.866 | 4913.43 | 7655.644 | 5482.702 | 4914.352 | |
| std | 5.680984 | 452.1518 | 317.9708 | 316.7113 | 291.3638 | 865.3568 | 256.43 | 329.4372 | 267.7258 | 268.7275 | 463.7404 | 476.1133 | 276.0704 | |
| median | 2877.366 | 5240.518 | 4475.086 | 5330.634 | 3926.144 | 5282.276 | 5245.886 | 4016.458 | 4141.051 | 4520.585 | 6900.278 | 5049.687 | 4620.587 | |
| rank | 1 | 10 | 5 | 11 | 2 | 12 | 9 | 3 | 4 | 6 | 13 | 8 | 7 | |
| C17-F24 | mean | 3327.447 | 7886.427 | 5769.584 | 9210.235 | 4658.192 | 6640.867 | 6445.247 | 4827.658 | 5046.403 | 5353.607 | 9421.163 | 6164.117 | 5771.57 |
| best | 3295.552 | 6464.283 | 5637.382 | 6718.893 | 4473.416 | 6152.522 | 6265.655 | 4623.676 | 4901.073 | 5232.309 | 8823.528 | 5947.672 | 5725.84 | |
| worst | 3358.031 | 8782.206 | 5997.682 | 10,868.67 | 4778.794 | 6965.134 | 6914.643 | 5007.57 | 5208.561 | 5474.359 | 10,683.4 | 6591.619 | 5869.716 | |
| std | 32.22484 | 1216.41 | 174.9711 | 2158.227 | 148.0329 | 376.426 | 340.9264 | 171.9483 | 137.0123 | 107.5114 | 925.7061 | 316.4479 | 73.28173 | |
| median | 3328.102 | 8149.61 | 5721.635 | 9626.686 | 4690.279 | 6722.905 | 6300.346 | 4839.693 | 5037.989 | 5353.881 | 9088.86 | 6058.588 | 5745.361 | |
| rank | 1 | 11 | 6 | 12 | 2 | 10 | 9 | 3 | 4 | 5 | 13 | 8 | 7 | |
| C17-F25 | mean | 3185.319 | 13,621.26 | 6158.626 | 17,685.42 | 5854.182 | 10,407.81 | 8281.036 | 5668.024 | 7696.225 | 9357.009 | 10,782.02 | 6159.339 | 8673.186 |
| best | 3137.451 | 13,175.62 | 5874.24 | 16,774.98 | 5525.795 | 9757.495 | 7967.185 | 5414.785 | 7568.199 | 8317.647 | 9996.874 | 5775.093 | 8297.837 | |
| worst | 3261.663 | 14,777.9 | 6306.101 | 19,985.54 | 6071.564 | 10,823.99 | 8445.885 | 5787.387 | 7759.344 | 10,598.91 | 11,914.95 | 6553.009 | 9020.787 | |
| std | 65.17418 | 841.0861 | 212.8684 | 1678.96 | 258.6572 | 528.3488 | 233.3135 | 190.7562 | 94.35572 | 1075.754 | 879.8981 | 391.0103 | 400.1571 | |
| median | 3171.081 | 13,265.76 | 6227.082 | 16,990.57 | 5909.685 | 10,524.88 | 8355.538 | 5734.962 | 7728.679 | 9255.739 | 10,608.12 | 6154.627 | 8687.061 | |
| rank | 1 | 12 | 4 | 13 | 3 | 10 | 7 | 2 | 6 | 9 | 11 | 5 | 8 | |
| C17-F26 | mean | 5757.952 | 37,193.55 | 27,227.65 | 41,177.42 | 18,510.85 | 33,041.44 | 33,462.01 | 18,650.87 | 22,019.9 | 26,712.68 | 33,396.34 | 24,595.13 | 26,133.1 |
| best | 5646.247 | 36,733.23 | 25,412.47 | 39,715.86 | 18,068.12 | 31,789.29 | 31,148.83 | 17,807.37 | 20,853.1 | 23,898.52 | 32,052.6 | 23,399.85 | 25,081.9 | |
| worst | 5844.973 | 37,635.59 | 29,237.01 | 42,336.9 | 18,942.44 | 33,830.05 | 35,359.83 | 20,364.71 | 23,138.15 | 30,674.2 | 34,728.87 | 26,044.33 | 26,978.04 | |
| std | 91.28724 | 415.7299 | 1720.476 | 1453.452 | 397.9235 | 955.4753 | 2252.226 | 1276.208 | 1016.806 | 3118.981 | 1212.525 | 1190.45 | 862.7783 | |
| median | 5770.294 | 37,202.68 | 27,130.55 | 41,328.47 | 18,516.41 | 33,273.21 | 33,669.69 | 18,215.69 | 22,044.18 | 26,139.01 | 33,401.95 | 24,468.18 | 26,236.23 | |
| rank | 1 | 12 | 8 | 13 | 2 | 9 | 11 | 3 | 4 | 7 | 10 | 5 | 6 | |
| C17-F27 | mean | 3309.533 | 8413.641 | 4941.936 | 10,403.75 | 4518.881 | 6584.147 | 6182.604 | 4579.257 | 4887.567 | 5053.728 | 11,592.43 | 4882.433 | 5832.661 |
| best | 3278.054 | 7319.58 | 4778.345 | 8225.096 | 4394.241 | 6282.218 | 5747.394 | 4470.018 | 4725.611 | 4830.724 | 11,482.1 | 4710.85 | 5678.883 | |
| worst | 3344.536 | 9440.875 | 5158.581 | 12,589.14 | 4644.012 | 6958.631 | 6611.83 | 4766.147 | 4990.301 | 5317.197 | 11,679.04 | 5142.374 | 6221.073 | |
| std | 30.85406 | 1273.237 | 196.9127 | 2577.408 | 112.8625 | 318.6922 | 497.2107 | 143.7892 | 127.6033 | 252.7201 | 102.8588 | 209.1422 | 282.3403 | |
| median | 3307.771 | 8447.055 | 4915.409 | 10400.39 | 4518.636 | 6547.869 | 6185.595 | 4540.431 | 4917.178 | 5033.496 | 11604.28 | 4838.254 | 5715.343 | |
| rank | 1 | 11 | 6 | 12 | 2 | 10 | 9 | 3 | 5 | 7 | 13 | 4 | 8 | |
| C17-F28 | mean | 3322.391 | 19,124.17 | 8228.098 | 24,056.9 | 7598.395 | 15,624.76 | 12,041.44 | 7388.135 | 11,298.65 | 12,578.59 | 17,710.22 | 10,204.86 | 12,789.79 |
| best | 3318.875 | 17,065.35 | 7197.902 | 22,331.46 | 6570.65 | 12,257.6 | 11,111.72 | 6294.01 | 9252.347 | 9838.745 | 16,660.03 | 9234.102 | 11,046.66 | |
| worst | 3327.996 | 21,746.03 | 9068.445 | 27,362.32 | 8439.783 | 18,176.46 | 13,059.65 | 8155.359 | 13,490.62 | 14,852.93 | 18,903.68 | 11,933.8 | 14,382.35 | |
| std | 4.773791 | 2116.867 | 960.0067 | 2485.287 | 953.9716 | 3086.372 | 903.5436 | 974.9369 | 1931.088 | 2567.625 | 1034.585 | 1295.006 | 1824.745 | |
| median | 3321.347 | 18,842.64 | 8323.022 | 23,266.91 | 7691.572 | 16,032.5 | 11,997.19 | 7551.585 | 11,225.82 | 12,811.35 | 17,638.59 | 9825.769 | 12,865.07 | |
| rank | 1 | 12 | 4 | 13 | 3 | 10 | 7 | 2 | 6 | 8 | 11 | 5 | 9 | |
| C17-F29 | mean | 4450.864 | 129,137.8 | 12,401.25 | 240,458.7 | 10,561.93 | 18,327.61 | 17,050.81 | 11,770 | 11,516.29 | 14,283.47 | 22,687.26 | 11,745.72 | 13,885.43 |
| best | 4169.308 | 77,696.06 | 11,141.29 | 133,351.7 | 9227.36 | 14,046.88 | 14,833.47 | 9752.072 | 10,037.44 | 12,895.33 | 19,928.78 | 9989.551 | 12,433.35 | |
| worst | 4829.632 | 172,665.1 | 13,122.9 | 330,129.5 | 12,124.78 | 23,225.48 | 20,262.89 | 13,789.26 | 13,308.87 | 16,034.41 | 27,552.97 | 12,884.31 | 15,331.96 | |
| std | 307.1237 | 44,029.41 | 949.0543 | 91,266.81 | 1480.877 | 4162.944 | 2513.505 | 1797.003 | 1495.106 | 1567.513 | 3635.824 | 1344.408 | 1358 | |
| median | 4402.258 | 133,095 | 12,670.4 | 249,176.9 | 10,447.79 | 18,019.05 | 16,553.44 | 11,769.34 | 11,359.43 | 14,102.08 | 21,633.65 | 12,054.51 | 13,888.2 | |
| rank | 1 | 12 | 6 | 13 | 2 | 10 | 9 | 5 | 3 | 8 | 11 | 4 | 7 | |
| C17-F30 | mean | 165,913.2 | 1.98 × 1010 | 4.3 × 109 | 2.95 × 1010 | 4.28 × 109 | 1.33 × 1010 | 5.29 × 109 | 4.35 × 109 | 5.51 × 109 | 6.82 × 109 | 9.2 × 109 | 4.69 × 109 | 4.73 × 109 |
| best | 103,285.2 | 1.62 × 1010 | 2.64 × 109 | 2.62 × 1010 | 2.61 × 109 | 8.07 × 109 | 3.49 × 109 | 2.69 × 109 | 4.22 × 109 | 3.56 × 109 | 7.87 × 109 | 2.71 × 109 | 3.08 × 109 | |
| worst | 204,149.6 | 2.17 × 1010 | 5.31 × 109 | 3.22 × 1010 | 5.3 × 109 | 1.64 × 1010 | 6.66 × 109 | 5.38 × 109 | 6.64 × 109 | 9.56 × 109 | 1.06 × 1010 | 6.56 × 109 | 5.77 × 109 | |
| std | 48,066.28 | 2.7 × 109 | 1.27 × 109 | 2.69 × 109 | 1.29 × 109 | 3.98 × 109 | 1.44 × 109 | 1.28 × 109 | 1.1 × 109 | 3.1 × 109 | 1.33 × 109 | 1.72 × 109 | 1.28 × 109 | |
| median | 178,108.9 | 2.06 × 1010 | 4.62 × 109 | 2.99 × 1010 | 4.61 × 109 | 1.43 × 1010 | 5.49 × 109 | 4.66 × 109 | 5.6 × 109 | 7.07 × 109 | 9.17 × 109 | 4.74 × 109 | 5.02 × 109 | |
| rank | 1 | 12 | 3 | 13 | 2 | 11 | 7 | 4 | 8 | 9 | 10 | 5 | 6 | |
| Sum rank | 29 | 336 | 140 | 355 | 65 | 293 | 265 | 114 | 156 | 249 | 272 | 162 | 203 | |
| Mean rank | 1 | 11.58621 | 4.827586 | 12.24138 | 2.241379 | 10.10345 | 9.137931 | 3.931034 | 5.37931 | 8.586207 | 9.37931 | 5.586207 | 7 | |
| Total rank | 1 | 12 | 4 | 13 | 2 | 11 | 9 | 3 | 5 | 8 | 10 | 6 | 7 | |
| Compared Algorithm | Objective Function Type | |||
|---|---|---|---|---|
| CEC 2017 | ||||
| D = 10 | D = 30 | D = 50 | D = 100 | |
| WOA vs. WSO | 2.34 × 10−23 | 2.34 × 10−23 | 2.34 × 10−23 | 2.34 × 10−23 |
| WOA vs. AVOA | 4.51 × 10−21 | 3.63 × 10−23 | 2.34 × 10−23 | 2.34 × 10−23 |
| WOA vs. RSA | 2.34 × 10−23 | 2.34 × 10−23 | 2.34 × 10−23 | 2.34 × 10−23 |
| WOA vs. MPA | 2.39 × 10−20 | 1.86 × 10−18 | 7.93 × 10−20 | 2.34 × 10−23 |
| WOA vs. TSA | 1.13 × 10−22 | 2.34 × 10−23 | 2.34 × 10−23 | 2.34 × 10−23 |
| WOA vs. WA | 1.13 × 10−22 | 2.34 × 10−23 | 2.34 × 10−23 | 2.34 × 10−23 |
| WOA vs. MVO | 1.08 × 10−20 | 2.54 × 10−23 | 2.34 × 10−23 | 2.34 × 10−23 |
| WOA vs. GWO | 6.23 × 10−23 | 2.34 × 10−23 | 2.34 × 10−23 | 2.34 × 10−23 |
| WOA vs. TLBO | 4.40 × 10−23 | 2.34 × 10−23 | 2.34 × 10−23 | 2.34 × 10−23 |
| WOA vs. GSA | 1.92 × 10−20 | 2.41 × 10−23 | 2.34 × 10−23 | 2.34 × 10−23 |
| WOA vs. PSO | 1.85 × 10−21 | 2.81 × 10−23 | 2.34 × 10−23 | 2.34 × 10−23 |
| WOA vs. GA | 3.21 × 10−21 | 2.34 × 10−23 | 2.34 × 10−23 | 2.34 × 10−23 |
| WOA | WSO | AVOA | RSA | MPA | TSA | WA | MVO | GWO | TLBO | GSA | PSO | GA | ||
|---|---|---|---|---|---|---|---|---|---|---|---|---|---|---|
| C11-F1 | mean | 5.920262 | 18.52663 | 15.16499 | 21.56805 | 11.33142 | 19.04654 | 15.37237 | 15.90785 | 13.67427 | 19.06925 | 21.36973 | 18.71864 | 22.57361 |
| best | 0.000222 | 17.09155 | 12.21476 | 20.346 | 6.522873 | 18.14175 | 12.09345 | 14.46938 | 7.050046 | 17.57006 | 20.17668 | 13.35202 | 21.73935 | |
| worst | 12.30613 | 20.76811 | 18.18784 | 23.58074 | 14.46037 | 20.30098 | 18.50624 | 17.30895 | 18.27028 | 20.08999 | 22.71724 | 22.70728 | 23.63095 | |
| std | 7.47645 | 1.924815 | 3.321668 | 1.624078 | 4.151913 | 1.085949 | 3.129896 | 1.424224 | 5.170443 | 1.164633 | 1.161529 | 4.826403 | 0.856825 | |
| median | 5.687347 | 18.12343 | 15.12867 | 21.17272 | 12.17123 | 18.87171 | 15.4449 | 15.92653 | 14.68838 | 19.30847 | 21.29249 | 19.40762 | 22.46208 | |
| rank | 1 | 7 | 4 | 12 | 2 | 9 | 5 | 6 | 3 | 10 | 11 | 8 | 13 | |
| C11-F2 | mean | −26.3177 | −12.8865 | −17.5678 | −10.9051 | −20.4131 | −10.7076 | −15.8648 | −8.95953 | −18.6879 | −10.4312 | −13.6981 | −18.7223 | −11.861 |
| best | −27.0674 | −15.1073 | −19.0665 | −11.9228 | −21.772 | −14.6118 | −19.5431 | −9.68292 | −21.4408 | −10.9708 | −16.5241 | −20.3832 | −14.776 | |
| worst | −25.4327 | −11.2966 | −16.3181 | −9.8404 | −19.6827 | −8.42276 | −12.3284 | −8.07994 | −16.363 | −9.76332 | −11.0327 | −16.3227 | −9.94689 | |
| std | 0.767656 | 2.014547 | 1.251378 | 1.022455 | 1.012268 | 3.197516 | 3.892676 | 0.899112 | 2.3012 | 0.5459 | 3.318668 | 1.875111 | 2.256416 | |
| median | −26.3854 | −12.5709 | −17.4432 | −10.9286 | −20.0989 | −9.89801 | −15.7938 | −9.03763 | −18.4739 | −10.4953 | −13.6178 | −19.0916 | −11.3606 | |
| rank | 1 | 8 | 5 | 10 | 2 | 11 | 6 | 13 | 4 | 12 | 7 | 3 | 9 | |
| C11-F4 | mean | 1.15 × 10−5 | 1.15 × 10−5 | 1.15 × 10−5 | 1.15 × 10−5 | 1.15 × 10−5 | 1.15 × 10−5 | 1.15 × 10−5 | 1.15 × 10−5 | 1.15 × 10−5 | 1.15 × 10−5 | 1.15 × 10−5 | 1.15 × 10−5 | 1.15 × 10−5 |
| best | 1.15 × 10−5 | 1.15 × 10−5 | 1.15 × 10−5 | 1.15 × 10−5 | 1.15 × 10−5 | 1.15 × 10−5 | 1.15 × 10−5 | 1.15 × 10−5 | 1.15 × 10−5 | 1.15 × 10−5 | 1.15 × 10−5 | 1.15 × 10−5 | 1.15 × 10−5 | |
| worst | 1.15 × 10−5 | 1.15 × 10−5 | 1.15 × 10−5 | 1.15 × 10−5 | 1.15 × 10−5 | 1.15 × 10−5 | 1.15 × 10−5 | 1.15 × 10−5 | 1.15 × 10−5 | 1.15 × 10−5 | 1.15 × 10−5 | 1.15 × 10−5 | 1.15 × 10−5 | |
| std | 5.11 × 10−19 | 1.6 × 10−11 | 1.84 × 10−9 | 3.6 × 10−11 | 7.5 × 10−15 | 2.54 × 10−14 | 8.21 × 10−15 | 7.14 × 10−13 | 6.23 × 10−15 | 5.35 × 10−14 | 8.21 × 10−15 | 8.21 × 10−15 | 8.21 × 10−15 | |
| median | 1.15 × 10−5 | 1.15 × 10−5 | 1.15 × 10−5 | 1.15 × 10−5 | 1.15 × 10−5 | 1.15 × 10−5 | 1.15 × 10−5 | 1.15 × 10−5 | 1.15 × 10−5 | 1.15 × 10−5 | 1.15 × 10−5 | 1.15 × 10−5 | 1.15 × 10−5 | |
| rank | 1 | 11 | 13 | 12 | 6 | 8 | 4 | 10 | 7 | 9 | 3 | 2 | 5 | |
| C11-F4 | mean | 0 | 0 | 0 | 0 | 0 | 0 | 0 | 0 | 0 | 0 | 0 | 0 | 0 |
| best | 0 | 0 | 0 | 0 | 0 | 0 | 0 | 0 | 0 | 0 | 0 | 0 | 0 | |
| worst | 0 | 0 | 0 | 0 | 0 | 0 | 0 | 0 | 0 | 0 | 0 | 0 | 0 | |
| std | 0 | 0 | 0 | 0 | 0 | 0 | 0 | 0 | 0 | 0 | 0 | 0 | 0 | |
| median | 0 | 0 | 0 | 0 | 0 | 0 | 0 | 0 | 0 | 0 | 0 | 0 | 0 | |
| rank | 1 | 1 | 1 | 1 | 1 | 1 | 1 | 1 | 1 | 1 | 1 | 1 | 1 | |
| C11-F5 | mean | −34.1274 | −25.3054 | −27.6103 | −21.9186 | −31.2097 | −26.9288 | −27.277 | −26.8311 | −30.0246 | −15.4951 | −27.0801 | −13.982 | −14.5831 |
| best | −34.7492 | −26.9675 | −28.7894 | −23.6021 | −32.9597 | −31.4995 | −28.4862 | −30.2509 | −33.3254 | −18.4743 | −30.112 | −16.5844 | −15.7199 | |
| worst | −33.3862 | −23.1915 | −26.5679 | −20.3882 | −29.8239 | −21.4147 | −25.5644 | −25.0695 | −27.3302 | −12.563 | −25.7886 | −10.9928 | −11.6236 | |
| std | 0.612897 | 1.83648 | 1.001872 | 1.468926 | 1.522608 | 4.536216 | 1.341271 | 2.59256 | 2.883084 | 2.646096 | 2.222197 | 2.725695 | 2.165669 | |
| median | −34.187 | −25.5314 | −27.5421 | −21.8421 | −31.0276 | −27.4004 | −27.5287 | −26.002 | −29.7214 | −15.4715 | −26.2099 | −14.1755 | −15.4944 | |
| rank | 1 | 9 | 4 | 10 | 2 | 7 | 5 | 8 | 3 | 11 | 6 | 13 | 12 | |
| C11-F6 | mean | −24.1117 | −11.5689 | −15.0589 | −10.8741 | −17.558 | −7.04179 | −15.7029 | −8.41901 | −15.4776 | −3.38045 | −17.0515 | −3.98565 | −4.61934 |
| best | −27.4295 | −14.9999 | −17.6727 | −13.1917 | −19.688 | −16.3449 | −16.76 | −15.8571 | −17.3553 | −6.33468 | −19.2839 | −6.33468 | −7.20694 | |
| worst | −23.0057 | −10.3548 | −12.7552 | −9.82115 | −15.6047 | −3.70338 | −13.844 | −2.2514 | −13.272 | −2.2514 | −13.2814 | −2.2514 | −2.2514 | |
| std | 2.415411 | 2.499014 | 2.209968 | 1.701466 | 2.190167 | 6.782714 | 1.495767 | 7.622797 | 1.984471 | 2.162231 | 2.99605 | 2.254466 | 2.747428 | |
| median | −23.0058 | −10.4603 | −14.9038 | −10.2419 | −17.4696 | −4.05944 | −16.1038 | −7.78378 | −15.6416 | −2.46787 | −17.8204 | −3.67826 | −4.5095 | |
| rank | 1 | 7 | 6 | 8 | 2 | 10 | 4 | 9 | 5 | 13 | 3 | 12 | 11 | |
| C11-F7 | mean | 0.860704 | 1.524206 | 1.300685 | 1.742041 | 1.05467 | 1.31307 | 1.61969 | 1.020956 | 1.150376 | 1.602382 | 1.158741 | 1.18923 | 1.617492 |
| best | 0.582273 | 1.431499 | 1.164474 | 1.691573 | 0.884743 | 1.142584 | 1.502413 | 0.954741 | 0.944097 | 1.533211 | 0.972963 | 1.033932 | 1.295765 | |
| worst | 1.02503 | 1.63923 | 1.516461 | 1.840269 | 1.228983 | 1.683647 | 1.709441 | 1.094387 | 1.270791 | 1.67048 | 1.339876 | 1.320852 | 1.87706 | |
| std | 0.219736 | 0.106572 | 0.185293 | 0.072846 | 0.153806 | 0.272484 | 0.114798 | 0.064616 | 0.16602 | 0.062818 | 0.18654 | 0.15491 | 0.264865 | |
| median | 0.917757 | 1.513047 | 1.260902 | 1.718161 | 1.052477 | 1.213025 | 1.633453 | 1.017348 | 1.193308 | 1.602919 | 1.161063 | 1.201069 | 1.648571 | |
| rank | 1 | 9 | 7 | 13 | 3 | 8 | 12 | 2 | 4 | 10 | 5 | 6 | 11 | |
| C11-F8 | mean | 220.0005 | 277.6632 | 246.6622 | 305.8148 | 234.1027 | 258.3854 | 264.4916 | 235.2387 | 237.5108 | 235.2387 | 250.7556 | 406.231 | 234.1343 |
| best | 220 | 251.6885 | 227.4027 | 269.7514 | 220 | 220 | 237.6085 | 220 | 220 | 220 | 220 | 244.4432 | 220 | |
| worst | 220.0017 | 334.1912 | 290.719 | 339.1266 | 268.1246 | 358.4392 | 328.9023 | 264.7165 | 274.9408 | 276.0768 | 315.8379 | 508.5788 | 264.7165 | |
| std | 0.000887 | 42.01262 | 32.4559 | 34.61493 | 25.133 | 73.2542 | 47.12799 | 22.05357 | 28.33688 | 29.83652 | 49.40421 | 126.0563 | 23.08083 | |
| median | 220.0001 | 262.3866 | 234.2635 | 307.1905 | 224.1431 | 227.5512 | 245.7277 | 228.1192 | 227.5512 | 222.4391 | 233.5923 | 435.9509 | 225.9103 | |
| rank | 1 | 11 | 7 | 12 | 2 | 9 | 10 | 5 | 6 | 4 | 8 | 13 | 3 | |
| C11-F9 | mean | 8790.002 | 410,333.3 | 285,603.8 | 762,286.5 | 35,854.99 | 67,949.88 | 283,047.3 | 114,772.9 | 51,768.13 | 306,726.2 | 595,870.4 | 776,555.6 | 1,376,387 |
| best | 5458.199 | 283,319.9 | 248,962.7 | 507,159.8 | 27,825.15 | 48,803.45 | 164,739 | 80,402.87 | 32,993.23 | 263,471.3 | 514,867.4 | 625,999.7 | 1,316,025 | |
| worst | 14,043.01 | 471,682 | 304,142.5 | 884,417.5 | 40,457.49 | 86,352.61 | 470,358 | 164,409 | 68,076.97 | 389,185.7 | 638,175 | 948,077.3 | 1,461,666 | |
| std | 4040.653 | 95,135.33 | 28,249.6 | 188,460.6 | 6266.359 | 17,450.66 | 151,014.4 | 38,686.66 | 15,788.04 | 62,887.79 | 60,538.4 | 183,780.7 | 76,656.13 | |
| median | 7829.4 | 443,165.6 | 294,654.9 | 828,784.3 | 37,568.66 | 68,321.73 | 248,546.1 | 107,140 | 53,001.16 | 287,123.9 | 615,219.7 | 766,072.7 | 1,363,928 | |
| rank | 1 | 9 | 7 | 11 | 2 | 4 | 6 | 5 | 3 | 8 | 10 | 12 | 13 | |
| C11-F10 | mean | −21.4888 | −13.895 | −15.95 | −12.7165 | −17.4163 | −14.1871 | −13.1306 | −14.4043 | −13.988 | −12.0259 | −13.3259 | −12.0953 | −11.8895 |
| best | −21.8298 | −16.2174 | −17.4476 | −14.2163 | −18.6948 | −18.78 | −14.5671 | −18.3793 | −14.6603 | −13.4858 | −14.2649 | −13.5768 | −13.3855 | |
| worst | −20.7878 | −12.7937 | −15.2701 | −11.9908 | −16.8936 | −11.7495 | −12.25 | −12.5215 | −13.533 | −11.2532 | −12.8896 | −11.2964 | −11.1289 | |
| std | 0.51802 | 1.737931 | 1.099165 | 1.112377 | 0.934674 | 3.454422 | 1.213161 | 2.935488 | 0.529854 | 1.091506 | 0.693359 | 1.11322 | 1.117415 | |
| median | −21.6689 | −13.2844 | −15.5412 | −12.3295 | −17.0384 | −13.1095 | −12.8527 | −13.3582 | −13.8794 | −11.6822 | −13.0746 | −11.7541 | −11.5218 | |
| rank | 1 | 7 | 3 | 10 | 2 | 5 | 9 | 4 | 6 | 12 | 8 | 11 | 13 | |
| C11-F11 | mean | 571,779.3 | 5,999,874 | 2,648,971 | 8,128,942 | 3,114,159 | 6,099,038 | 2,805,219 | 2,869,907 | 4,628,352 | 5,587,178 | 2,941,547 | 5,594,892 | 6,222,972 |
| best | 260,907.2 | 5,483,070 | 2,284,468 | 7,837,324 | 2,705,685 | 5,076,329 | 2,399,476 | 2,560,562 | 4,165,084 | 5,253,401 | 2,510,786 | 5,253,401 | 5,944,075 | |
| worst | 828,623.2 | 6,665,190 | 3,120,138 | 8,574,787 | 3,570,106 | 7,373,167 | 3,210,022 | 3,533,015 | 4,998,465 | 6,004,643 | 3,473,410 | 6,020,072 | 6,613,747 | |
| std | 271,081 | 542,972.8 | 396,212.7 | 371,819.1 | 391,498.2 | 1,036,183 | 365,879.7 | 495,888.1 | 405,687.3 | 339,178.4 | 433,897.4 | 345,852.3 | 306,823 | |
| median | 598,793.4 | 5,925,619 | 2,595,638 | 8,051,828 | 3,090,424 | 5,973,327 | 2,805,688 | 2,693,025 | 4,674,930 | 5,545,334 | 2,890,996 | 5,553,048 | 6,167,032 | |
| rank | 1 | 10 | 2 | 13 | 6 | 11 | 3 | 4 | 7 | 8 | 5 | 9 | 12 | |
| C11-F12 | mean | 1,199,853 | 7,479,512 | 3,987,123 | 10,853,249 | 2,524,194 | 5,138,886 | 5,685,715 | 2,561,020 | 2,628,290 | 11,614,335 | 5,668,192 | 3,247,870 | 11,726,387 |
| best | 1,155,987 | 7,286,677 | 3,943,464 | 10,245,989 | 2,488,397 | 4,860,267 | 5,392,176 | 2,453,329 | 2,562,613 | 10,937,396 | 5,464,611 | 3,038,451 | 11,638,161 | |
| worst | 1,249,397 | 7,602,988 | 4,032,975 | 11,339,100 | 2,546,660 | 5,287,471 | 5,879,621 | 2,705,870 | 2,667,686 | 12,117,293 | 5,861,509 | 3,437,648 | 11,815,640 | |
| std | 48,990.45 | 157,213.9 | 46,095.01 | 493,305.2 | 28,942.93 | 216,610.9 | 248,987.5 | 129,431.7 | 50,150.42 | 545,223.2 | 202,462 | 179,948.4 | 88,261.18 | |
| median | 1,197,013 | 7,514,192 | 3,986,026 | 10,913,953 | 2,530,859 | 5,203,902 | 5,735,532 | 2,542,441 | 2,641,430 | 11,701,325 | 5,673,323 | 3,257,691 | 11,725,874 | |
| rank | 1 | 10 | 6 | 11 | 2 | 7 | 9 | 3 | 4 | 12 | 8 | 5 | 13 | |
| C11-F13 | mean | 15,444.2 | 15,747.56 | 15,462.13 | 16,062.99 | 15,472.71 | 15,491.53 | 15,523.08 | 15,503.87 | 15,499.14 | 15,800.2 | 94,122.04 | 15,491.98 | 25,603.61 |
| best | 15,444.19 | 15,615.02 | 15,458.99 | 15,775.05 | 15,467.8 | 15,481.32 | 15,489.71 | 15,486.85 | 15,491.02 | 15,583.92 | 69,341.16 | 15,476.68 | 15,472.85 | |
| worst | 15,444.21 | 16,057.77 | 15,465.63 | 16,780.46 | 15,476.73 | 15,504.51 | 15,566.16 | 15,532.73 | 15,504.56 | 16,196.76 | 127,726.1 | 15,514.5 | 55,761.14 | |
| std | 0.009492 | 228.4789 | 3.631027 | 526.9678 | 4.052593 | 12.51904 | 39.70056 | 21.89707 | 6.60613 | 302.8927 | 28,704.65 | 17.50225 | 21,955.18 | |
| median | 15,444.2 | 15,658.73 | 15,461.95 | 15,848.21 | 15,473.15 | 15,490.15 | 15,518.23 | 15,497.95 | 15,500.49 | 15,710.07 | 89,710.42 | 15,488.37 | 15,590.23 | |
| rank | 1 | 9 | 2 | 11 | 3 | 4 | 8 | 7 | 6 | 10 | 13 | 5 | 12 | |
| C11-F14 | mean | 18,295.37 | 84,347.02 | 18,862.44 | 165,621.7 | 18,924.06 | 19,567.68 | 19,354.71 | 19,489.67 | 19,359.55 | 222,569.2 | 19,262.01 | 19,284.7 | 19,275.81 |
| best | 18,241.6 | 65,506.07 | 18,781.45 | 123,456.2 | 18,819.82 | 19,303.23 | 19,202.1 | 19,373.79 | 19,212.11 | 26,986.31 | 189,75.04 | 19,085 | 18,992.03 | |
| worst | 18,388.09 | 115,558.2 | 18,965.39 | 236,014.5 | 19,128.24 | 20,133.47 | 19,621.83 | 19,729.76 | 19,672.11 | 424,243.1 | 194,25.74 | 19,478.09 | 19,667.87 | |
| std | 74.3835 | 24,392 | 86.50791 | 55,001.51 | 157.737 | 416.1025 | 208.3449 | 178.9331 | 236.1096 | 208,242.4 | 218.2802 | 180.0378 | 308.9479 | |
| median | 18,275.89 | 78,161.91 | 18,851.47 | 151,508.1 | 18,874.1 | 19,417.01 | 19,297.46 | 19,427.57 | 19,276.99 | 219,523.7 | 193,23.63 | 19,287.86 | 19,221.67 | |
| rank | 1 | 11 | 2 | 12 | 3 | 10 | 7 | 9 | 8 | 13 | 4 | 6 | 5 | |
| C11-F15 | mean | 32,883.86 | 650,468.8 | 92,369.12 | 1,352,560 | 40,138.91 | 55,205.78 | 169,619.1 | 40,244.67 | 40,229.24 | 10,771,451 | 226,222 | 40,375.8 | 5,551,934 |
| best | 32,782.17 | 271,127.2 | 40,110.6 | 568,557.3 | 32,995.64 | 33,050.45 | 33,115.17 | 33,080.06 | 33,083.28 | 2,263,411 | 195,120.8 | 33,226.12 | 2,529,334 | |
| worst | 32,956.46 | 1,602,488 | 151,796.6 | 3,495,893 | 61,511.95 | 121,372.5 | 256,751.7 | 61,641.05 | 61,576.55 | 16,075,634 | 241,709.5 | 61,741.75 | 9,524,069 | |
| std | 80.05006 | 697,002.6 | 65,178.35 | 1,563,707 | 15,559.87 | 48,170.45 | 104,809.1 | 15,576.87 | 15,541.15 | 6,852,966 | 230,23.66 | 15,554.75 | 3,500,886 | |
| median | 32,898.39 | 364,129.9 | 88,784.62 | 672,895.2 | 33,024.03 | 33,200.08 | 194,304.8 | 33,128.79 | 33,128.56 | 12,373,379 | 234,028.9 | 33,267.67 | 5,077,167 | |
| rank | 1 | 10 | 7 | 11 | 2 | 6 | 8 | 4 | 3 | 13 | 9 | 5 | 12 | |
| C11-F16 | mean | 133,550.1 | 703,415 | 138,536 | 1,403,686 | 140,265.6 | 145,473.8 | 143,407.7 | 143,159.8 | 145,994 | 6,2043,183 | 13,101,196 | 55,536,227 | 53,325,786 |
| best | 131,374.3 | 246,334.3 | 136,637.1 | 375,226.2 | 137,977 | 142,750 | 139,921.5 | 137,747.4 | 143,833.8 | 60,461,255 | 6,676,681 | 45,947,447 | 43,107,759 | |
| worst | 136,310.9 | 1,601,011 | 139,646.6 | 3,422,312 | 142,394.4 | 147,531.3 | 146,681 | 148,454.6 | 149,411.7 | 63,828,826 | 23,666,403 | 66,355,130 | 68,195,957 | |
| std | 2485.302 | 665,515.2 | 1524.71 | 1,496,671 | 1996.452 | 2562.744 | 3320.921 | 5100.992 | 2655.197 | 1,541,259 | 8,022,477 | 9,605,670 | 11,637,972 | |
| median | 133,257.7 | 483,157.3 | 138,930.1 | 908,603.1 | 140,345.5 | 145,807 | 143,514.1 | 143,218.5 | 145,365.2 | 61,941,326 | 11,030,850 | 54,921,167 | 50,999,714 | |
| rank | 1 | 8 | 2 | 9 | 3 | 6 | 5 | 4 | 7 | 13 | 10 | 12 | 11 | |
| C11-F17 | mean | 1,942,580 | 6.68 × 109 | 2.04 × 109 | 1.12 × 1010 | 4.28 × 108 | 1.32 × 109 | 7.19 × 109 | 4.28 × 108 | 4.28 × 108 | 1.6 × 1010 | 8.25 × 109 | 1.5 × 1010 | 1.57 × 1010 |
| best | 1,930,112 | 5.81 × 109 | 1.82 × 109 | 8.26 × 109 | 3.53 × 108 | 1.09 × 109 | 5.18 × 109 | 3.54 × 108 | 3.53 × 108 | 1.55 × 1010 | 7.37 × 109 | 1.33 × 1010 | 1.46 × 1010 | |
| worst | 1,960,928 | 7.28 × 109 | 2.25 × 109 | 1.36 × 1010 | 4.89 × 108 | 1.51 × 109 | 9.48 × 109 | 4.89 × 108 | 4.89 × 108 | 1.66 × 1010 | 8.67 × 109 | 1.71 × 1010 | 1.77 × 1010 | |
| std | 14,267.83 | 7.39 × 108 | 1.93 × 108 | 2.51 × 109 | 76,568,346 | 2.36 × 108 | 1.96 × 109 | 75,864,138 | 77,049,182 | 5.11 × 108 | 6.58 × 108 | 1.88 × 109 | 1.53 × 109 | |
| median | 1,939,641 | 6.81 × 109 | 2.05 × 109 | 1.16 × 1010 | 4.35 × 108 | 1.34 × 109 | 7.05 × 109 | 4.36 × 108 | 4.36 × 108 | 1.59 × 1010 | 8.48 × 109 | 1.47 × 1010 | 1.52 × 1010 | |
| rank | 1 | 7 | 6 | 10 | 2 | 5 | 8 | 4 | 3 | 13 | 9 | 11 | 12 | |
| C11-F18 | mean | 942,071.3 | 39,002,043 | 5,225,655 | 83,242,808 | 1,331,483 | 2,083,589 | 7,334,852 | 1,342,897 | 1,372,893 | 22,275,175 | 8,414,772 | 94,729,029 | 80,543,508 |
| best | 938,434.3 | 27,142,508 | 3,317,244 | 57,796,090 | 1,231,127 | 1,818,711 | 3,642,196 | 1,252,325 | 1,242,609 | 17,905,004 | 6,490,541 | 79,547,500 | 77,656,371 | |
| worst | 944,717.9 | 44,319,634 | 8,421,550 | 95,032,965 | 1,430,320 | 2,436,791 | 12,309,055 | 1,464,872 | 1,446,163 | 23,968,676 | 10,370,522 | 1.05 × 108 | 83,404,566 | |
| std | 2879.013 | 8744,359 | 2,550,735 | 18,970,390 | 93,792.18 | 325,410.3 | 4,017,629 | 113,531.6 | 98,639.56 | 3,197,990 | 1,867,130 | 12,510,156 | 2,562,690 | |
| median | 942,566.6 | 42,273,015 | 4,581,913 | 90,071,089 | 1,332,242 | 2,039,427 | 6,694,080 | 1,327,197 | 1,401,400 | 23,613,511 | 8,399,013 | 97,085,841 | 80,556,548 | |
| rank | 1 | 10 | 6 | 12 | 2 | 5 | 7 | 3 | 4 | 9 | 8 | 13 | 11 | |
| C11-F19 | mean | 1,025,359 | 38,536,034 | 5,431,254 | 81,659,875 | 1,582,314 | 2,506,819 | 7,915,361 | 1,818,631 | 1,739,213 | 25,611,750 | 5,159,819 | 1.21 × 108 | 80,945,378 |
| best | 967,951.9 | 32,919,084 | 4,979,236 | 70,562,763 | 1,454,990 | 2,261,152 | 2,374,900 | 1,690,635 | 1,569,596 | 18,093,559 | 2,405,906 | 1.1 × 108 | 78,871,078 | |
| worst | 1,167,157 | 48,758,390 | 6,389,283 | 1.02 × 108 | 1,697,732 | 2,966,563 | 13,675,125 | 2,132,012 | 1,866,203 | 31,728,882 | 6,505,243 | 1.4 × 108 | 83,257,847 | |
| std | 103,552.7 | 7,792,611 | 706,256.2 | 16,208,978 | 118,857.1 | 343,390.1 | 5,839,402 | 228,869.5 | 144,387.5 | 6,482,922 | 2,064,322 | 14,152,758 | 1,964,094 | |
| median | 983,163.1 | 36,233,332 | 5,178,249 | 76,830,811 | 1,588,268 | 2,399,782 | 7,805,710 | 1,725,938 | 1,760,526 | 26,312,280 | 5,864,064 | 1.17 × 108 | 80,826,295 | |
| rank | 1 | 10 | 7 | 12 | 2 | 5 | 8 | 4 | 3 | 9 | 6 | 13 | 11 | |
| C11-F20 | mean | 941,261.4 | 40,715,344 | 4,689,034 | 87,925,596 | 1,249,157 | 1,853,275 | 5,657,508 | 1,257,852 | 1,275,793 | 24,691,264 | 10,532,525 | 1.12 × 108 | 80,959,574 |
| best | 936,155 | 35,993,358 | 4,221,624 | 77,097,157 | 1,188,138 | 1,663,778 | 5,304,682 | 1,189,654 | 1,212,396 | 24,264,091 | 7,209,401 | 1.02 × 108 | 77,136,100 | |
| worst | 946,881.4 | 48,046,992 | 5,149,736 | 1.04 × 108 | 1,348,472 | 2,168,143 | 5,988,199 | 1,356,101 | 1,362,726 | 25,203,932 | 15,925,303 | 1.21 × 108 | 83,877,964 | |
| std | 5210.106 | 5,623,721 | 440,855.7 | 12,696,862 | 83,228.39 | 261,499.9 | 307,056.5 | 83,129.73 | 78,198.29 | 426,162.3 | 4,144,658 | 11,649,640 | 3,136,568 | |
| median | 941,004.7 | 39,410,513 | 4,692,388 | 85,093,522 | 1,230,009 | 1,790,590 | 5,668,575 | 1,242,826 | 1,264,026 | 24,648,517 | 9,497,698 | 1.12 × 108 | 81,412,115 | |
| rank | 1 | 10 | 6 | 12 | 2 | 5 | 7 | 3 | 4 | 9 | 8 | 13 | 11 | |
| C11-F21 | mean | 12.71464 | 44.59437 | 24.63935 | 62.88515 | 20.65716 | 30.34746 | 36.60303 | 28.75179 | 25.15152 | 79.78782 | 37.93642 | 83.30049 | 81.11724 |
| best | 9.974473 | 38.49198 | 23.1396 | 49.33457 | 18.68511 | 26.91123 | 34.40424 | 26.98306 | 22.80864 | 43.64733 | 34.63593 | 73.67434 | 50.9247 | |
| worst | 14.97518 | 51.845 | 26.01877 | 77.1268 | 22.35827 | 32.03725 | 40.06733 | 30.97292 | 26.89316 | 111.9269 | 40.35983 | 92.19885 | 97.53857 | |
| std | 2.506567 | 6.127726 | 1.334083 | 13.14267 | 1.894926 | 2.562575 | 2.657618 | 2.087682 | 1.899426 | 30.57257 | 2.612935 | 10.17235 | 23.27926 | |
| median | 12.95445 | 44.02025 | 24.69952 | 62.53961 | 20.79262 | 31.22069 | 35.97027 | 28.52559 | 25.45215 | 81.78852 | 38.37496 | 83.66439 | 88.00285 | |
| rank | 1 | 9 | 3 | 10 | 2 | 6 | 7 | 5 | 4 | 11 | 8 | 13 | 12 | |
| C11-F22 | mean | 16.12533 | 42.87057 | 29.35531 | 54.50291 | 23.51882 | 32.62949 | 42.53537 | 32.73843 | 27.64423 | 81.8037 | 42.78463 | 84.61793 | 74.80509 |
| best | 11.50154 | 39.32057 | 24.46946 | 43.04177 | 20.29214 | 28.59364 | 36.92265 | 27.9468 | 26.83196 | 56.99264 | 37.41968 | 71.37893 | 72.92364 | |
| worst | 19.55305 | 46.75956 | 33.05165 | 61.22284 | 25.7834 | 35.15256 | 45.86543 | 36.30337 | 28.67607 | 95.76237 | 49.47311 | 93.13173 | 76.66462 | |
| std | 4.361195 | 3.817162 | 4.400959 | 8.773434 | 2.616952 | 3.112768 | 4.531827 | 3.833639 | 1.006521 | 18.78402 | 5.581022 | 10.67689 | 1.702093 | |
| median | 16.72337 | 42.70108 | 29.95006 | 56.87352 | 23.99987 | 33.38588 | 43.6767 | 33.35177 | 27.53445 | 87.22989 | 42.12286 | 86.98053 | 74.81605 | |
| rank | 1 | 9 | 4 | 10 | 2 | 5 | 7 | 6 | 3 | 12 | 8 | 13 | 11 | |
| Sum rank | 22 | 192 | 110 | 232 | 55 | 147 | 146 | 119 | 98 | 222 | 158 | 199 | 224 | |
| Mean rank | 1 | 8.727272727 | 5 | 10.54545455 | 2.5 | 6.681818182 | 6.636363636 | 5.409090909 | 4.454545455 | 10.09090909 | 7.181818182 | 9.045454545 | 10.18181818 | |
| Total rank | 1 | 9 | 4 | 13 | 2 | 7 | 6 | 5 | 3 | 11 | 8 | 10 | 12 | |
| Wilcoxon: p-value | 2.08 × 10−17 | 1.19 × 10−16 | 2.08 × 10−17 | 8.64 × 10−17 | 4.45 × 10−17 | 2.08 × 10−17 | 4.85 × 10−14 | 8.64 × 10−17 | 6.52 × 10−17 | 1.04 × 10−16 | 3.08 × 10−17 | 6.52 × 10−17 | ||
| Algorithm | Optimum Variables | Optimum Cost | |||
|---|---|---|---|---|---|
| Ts | Th | R | L | ||
| WOA | 0.7780271 | 0.3845792 | 40.312284 | 200 | 5882.8955 |
| WSO | 0.7785743 | 0.3850406 | 40.33987 | 199.99921 | 5892.7241 |
| AVOA | 0.8077815 | 0.4000706 | 41.820565 | 181.53993 | 5958.3704 |
| RSA | 1.1657617 | 0.618108 | 59.030247 | 51.040811 | 7539.4546 |
| MPA | 0.7785731 | 0.385039 | 40.339812 | 200 | 5892.7186 |
| TSA | 0.7797175 | 0.3860026 | 40.39751 | 200 | 5913.295 |
| WA | 0.9184693 | 0.4581458 | 46.795024 | 127.0907 | 6278.6632 |
| MVO | 0.8925866 | 0.4435107 | 45.896035 | 135.96236 | 6168.4843 |
| GWO | 0.7799598 | 0.3865326 | 40.394098 | 199.25911 | 5900.0698 |
| TLBO | 1.5048208 | 0.5179771 | 52.061183 | 91.428726 | 10,045.366 |
| GSA | 1.0516581 | 0.9936889 | 43.266773 | 192.83972 | 10,649.957 |
| PSO | 1.4503006 | 0.6067838 | 61.672694 | 47.379388 | 9264.5722 |
| GA | 1.2669853 | 0.6949238 | 54.28441 | 102.03966 | 9807.9948 |
| Algorithm | Mean | Best | Worst | Std | Median | Rank |
|---|---|---|---|---|---|---|
| WOA | 5882.8955 | 5882.8955 | 5882.8955 | 1.89 × 10−12 | 5882.8955 | 1 |
| WSO | 6033.3406 | 5892.7241 | 6301.1769 | 129.69301 | 5979.5913 | 3 |
| AVOA | 6288.5195 | 5958.3704 | 7122.1164 | 337.49432 | 6268.861 | 5 |
| RSA | 11,099.696 | 7539.4546 | 17,037.653 | 2446.6213 | 10,488.489 | 9 |
| MPA | 6026.8703 | 5892.7186 | 6278.0162 | 1.25 × 102 | 5979.5828 | 2 |
| TSA | 6328.6201 | 5913.295 | 7106.1523 | 386.81073 | 6182.2211 | 6 |
| WA | 7671.313 | 6278.6632 | 11,658.477 | 1334.6086 | 7337.9574 | 8 |
| MVO | 6520.5761 | 6168.4843 | 7126.8347 | 276.2229 | 6507.5194 | 7 |
| GWO | 6127.4971 | 5900.0698 | 6566.7221 | 199.96154 | 6076.6533 | 4 |
| TLBO | 23,429.698 | 10,045.366 | 48262.31 | 10,853.982 | 20,946.159 | 12 |
| GSA | 17,499.525 | 10,649.957 | 26,357.093 | 5289.9309 | 16,741.248 | 10 |
| PSO | 24,528.908 | 9264.5722 | 40,820.506 | 10,185.804 | 26,943.18 | 13 |
| GA | 21,217.998 | 9807.9948 | 36,887.804 | 8512.6048 | 19,018.661 | 11 |
| Algorithm | Optimum Variables | Optimum Cost | ||||||
|---|---|---|---|---|---|---|---|---|
| b | M | p | l1 | l2 | d1 | d2 | ||
| WOA | 3.5 | 0.7 | 17 | 7.3 | 7.8 | 3.3502147 | 5.2866832 | 2996.3482 |
| WSO | 3.5042158 | 0.7000001 | 17.000053 | 7.3001627 | 7.9522096 | 3.3503306 | 5.2884051 | 3002.4588 |
| AVOA | 3.5042139 | 0.7 | 17 | 7.3389788 | 7.9632265 | 3.3503942 | 5.2878418 | 3002.7176 |
| RSA | 3.5711442 | 0.7 | 17 | 7.9311292 | 8.2167884 | 3.3880068 | 5.422609 | 3139.1429 |
| MPA | 3.5042139 | 0.7 | 17 | 7.3 | 7.9505601 | 3.3503211 | 5.2878374 | 3002.0745 |
| TSA | 3.513046 | 0.7 | 17 | 7.3 | 8.2661247 | 3.3505443 | 5.2902566 | 3014.0764 |
| WA | 3.572036 | 0.7 | 17 | 7.3 | 8.0938979 | 3.3627496 | 5.288787 | 3035.6381 |
| MVO | 3.5316539 | 0.7 | 17 | 7.3 | 7.9842255 | 3.3674653 | 5.2878453 | 3017.98 |
| GWO | 3.5072582 | 0.7 | 17 | 7.4580642 | 7.9935714 | 3.3512994 | 5.2895216 | 3006.9308 |
| TLBO | 3.5396555 | 0.7027371 | 23.384347 | 8.0724951 | 8.0593194 | 3.5821158 | 5.3287864 | 4564.8145 |
| GSA | 3.5437703 | 0.7018853 | 17.25277 | 7.6564322 | 7.8613604 | 3.3921031 | 5.3614252 | 3130.8716 |
| PSO | 3.5246766 | 0.7000493 | 17.750249 | 7.3678163 | 7.9971438 | 3.5282892 | 5.3283562 | 3220.9554 |
| GA | 3.5659914 | 0.7038109 | 17.557264 | 7.9041778 | 7.8382392 | 3.5928498 | 5.3281635 | 3244.8877 |
| Algorithm | Mean | Best | Worst | Std | Median | Rank |
|---|---|---|---|---|---|---|
| WOA | 2996.3482 | 2996.3482 | 2996.3482 | 9.58 × 10−13 | 2996.3482 | 1 |
| WSO | 3008.2332 | 3002.4588 | 3012.528 | 3.4293355 | 3008.6428 | 3 |
| AVOA | 3011.1258 | 3002.7176 | 3021.4649 | 5.0212893 | 3010.4138 | 4 |
| RSA | 3200.0678 | 3139.1429 | 3244.24 | 39.897174 | 3209.2035 | 9 |
| MPA | 3008.0391 | 3002.0745 | 3012.5251 | 3.35 × 10 | 3008.6232 | 2 |
| TSA | 3032.5426 | 3014.0764 | 3046.4309 | 10.371712 | 3034.351 | 7 |
| WA | 3113.2893 | 3035.6381 | 3319.4462 | 74.629685 | 3090.6721 | 8 |
| MVO | 3030.961 | 3017.98 | 3057.5836 | 9.489721 | 3029.6252 | 6 |
| GWO | 3013.7043 | 3006.9308 | 3019.0673 | 3.5211511 | 3014.6012 | 5 |
| TLBO | 4.763 × 1013 | 4564.8145 | 3.447 × 1014 | 8.017 × 1013 | 1.865 × 1013 | 12 |
| GSA | 3321.8616 | 3130.8716 | 3744.9365 | 182.4154 | 3233.8591 | 10 |
| PSO | 7.029 × 1013 | 3220.9554 | 3.561 × 1014 | 8.586 × 1013 | 5.028 × 1013 | 13 |
| GA | 3.384 × 1013 | 3244.8877 | 2.184 × 1014 | 5.391 × 1013 | 1.356 × 1013 | 11 |
| Algorithm | Optimum Variables | Optimum Cost | |||
|---|---|---|---|---|---|
| h | l | t | b | ||
| WOA | 0.2057296 | 3.4704887 | 9.0366239 | 0.2057296 | 1.7246798 |
| WSO | 0.2052287 | 3.4786171 | 9.0456263 | 0.205869 | 1.7277889 |
| AVOA | 0.2036728 | 3.5248519 | 9.0451057 | 0.2057274 | 1.7304024 |
| RSA | 0.1992954 | 3.5268733 | 9.6352786 | 0.2145303 | 1.9001569 |
| MPA | 0.2052287 | 3.4786171 | 9.0456263 | 0.205869 | 1.7277889 |
| TSA | 0.2041787 | 3.4956539 | 9.0644948 | 0.2061611 | 1.7339439 |
| WA | 0.2092213 | 3.4228952 | 9.00539 | 0.2161686 | 1.7962611 |
| MVO | 0.2040792 | 3.5086396 | 9.0388249 | 0.2062048 | 1.7313866 |
| GWO | 0.2050365 | 3.4883388 | 9.0456202 | 0.2058984 | 1.7290313 |
| TLBO | 0.280455 | 4.1192413 | 7.5343211 | 0.3559335 | 2.6187756 |
| GSA | 0.265961 | 2.983475 | 7.9314627 | 0.2758689 | 1.9758001 |
| PSO | 0.3181786 | 3.4772374 | 7.8798544 | 0.4582248 | 3.3039169 |
| GA | 0.2155882 | 5.9114835 | 8.1636373 | 0.2733496 | 2.4412018 |
| Algorithm | Mean | Best | Worst | Std | Median | Rank |
|---|---|---|---|---|---|---|
| WOA | 1.7246798 | 1.7246798 | 1.7246798 | 2.30 × 10−16 | 1.7246798 | 1 |
| WSO | 1.7308268 | 1.7277889 | 1.7338281 | 0.0018514 | 1.730858 | 3 |
| AVOA | 1.7557114 | 1.7304024 | 1.8103058 | 0.0253314 | 1.7461832 | 7 |
| RSA | 2.0434237 | 1.9001569 | 2.2841054 | 0.099676 | 2.0266223 | 8 |
| MPA | 1.7308266 | 1.7277889 | 1.7338281 | 1.85 × 10−3 | 1.730858 | 2 |
| TSA | 1.7433483 | 1.7339439 | 1.7526409 | 0.0057307 | 1.7434456 | 6 |
| WA | 2.1317703 | 1.7962611 | 3.32221 | 0.4447715 | 1.9787408 | 9 |
| MVO | 1.7420299 | 1.7313866 | 1.7679544 | 0.0102926 | 1.7391791 | 5 |
| GWO | 1.7324692 | 1.7290313 | 1.738012 | 0.002351 | 1.7326283 | 4 |
| TLBO | 2.276 × 1013 | 2.6187756 | 2.197 × 1014 | 5.614 × 1013 | 4.4479846 | 12 |
| GSA | 2.222781 | 1.9758001 | 2.4309209 | 0.1321478 | 2.2437502 | 10 |
| PSO | 3.139 × 1013 | 3.3039169 | 1.9 × 1014 | 6.063 × 1013 | 5.1550871 | 13 |
| GA | 7.705 × 1012 | 2.4412018 | 8.339 × 1013 | 2.392 × 1013 | 4.4234241 | 11 |
| Algorithm | Optimum Variables | Optimum Cost | ||
|---|---|---|---|---|
| d | D | P | ||
| WOA | 0.0516891 | 0.3567177 | 11.288966 | 0.0126019 |
| WSO | 0.0514981 | 0.3521988 | 11.581812 | 0.0126707 |
| AVOA | 0.0505134 | 0.3290218 | 13.209878 | 0.0127201 |
| RSA | 0.0508407 | 0.3329949 | 13.360282 | 0.0130304 |
| MPA | 0.0514616 | 0.3513193 | 11.633063 | 0.0126707 |
| TSA | 0.0509812 | 0.3399185 | 12.359303 | 0.0126821 |
| WA | 0.0525325 | 0.3774413 | 10.283135 | 0.0127118 |
| MVO | 0.0518925 | 0.3644224 | 11.757053 | 0.0128301 |
| GWO | 0.0518235 | 0.359791 | 11.154923 | 0.012697 |
| TLBO | 0.0634446 | 0.7421821 | 4.5413295 | 0.0160093 |
| GSA | 0.055421 | 0.4510305 | 7.5312427 | 0.0130981 |
| PSO | 0.062382 | 0.7152726 | 5.7721514 | 0.0158945 |
| GA | 0.0638411 | 0.7495977 | 4.469446 | 0.0162877 |
| Algorithm | Mean | Best | Worst | Std | Median | Rank |
|---|---|---|---|---|---|---|
| WOA | 0.0126019 | 0.0126019 | 0.0126019 | 6.96 × 10−18 | 0.0126019 | 1 |
| WSO | 0.0127685 | 0.0126707 | 0.0129427 | 8.667 × 10−5 | 0.0127382 | 3 |
| AVOA | 0.0132186 | 0.0127201 | 0.0138206 | 0.0003839 | 0.0132331 | 8 |
| RSA | 0.0131534 | 0.0130304 | 0.0133751 | 9.908 × 10−5 | 0.0131369 | 6 |
| MPA | 0.012761 | 0.0126707 | 0.0129426 | 7.87 × 10−5 | 0.0127373 | 2 |
| TSA | 0.0129617 | 0.0126821 | 0.0135241 | 0.0002437 | 0.0128883 | 5 |
| WA | 0.013171 | 0.0127118 | 0.0140544 | 0.0004366 | 0.0130583 | 7 |
| MVO | 0.0153334 | 0.0128301 | 0.016364 | 0.001134 | 0.015912 | 9 |
| GWO | 0.0128 | 0.012697 | 0.0129651 | 8.388 × 10−5 | 0.0127774 | 4 |
| TLBO | 0.0164134 | 0.0160093 | 0.0168366 | 0.000242 | 0.0163674 | 10 |
| GSA | 0.0173251 | 0.0130981 | 0.0259603 | 0.0029341 | 0.0169922 | 11 |
| PSO | 1.413 × 1013 | 0.0158945 | 2.507 × 1014 | 5.673 × 1013 | 0.0159783 | 13 |
| GA | 1.104 × 1012 | 0.0162877 | 1.142 × 1013 | 3.333 × 1012 | 0.021457 | 12 |
Disclaimer/Publisher’s Note: The statements, opinions and data contained in all publications are solely those of the individual author(s) and contributor(s) and not of MDPI and/or the editor(s). MDPI and/or the editor(s) disclaim responsibility for any injury to people or property resulting from any ideas, methods, instructions or products referred to in the content. |
© 2024 by the authors. Licensee MDPI, Basel, Switzerland. This article is an open access article distributed under the terms and conditions of the Creative Commons Attribution (CC BY) license (https://creativecommons.org/licenses/by/4.0/).
Share and Cite
Benmamoun, Z.; Khlie, K.; Dehghani, M.; Gherabi, Y. WOA: Wombat Optimization Algorithm for Solving Supply Chain Optimization Problems. Mathematics 2024, 12, 1059. https://doi.org/10.3390/math12071059
Benmamoun Z, Khlie K, Dehghani M, Gherabi Y. WOA: Wombat Optimization Algorithm for Solving Supply Chain Optimization Problems. Mathematics. 2024; 12(7):1059. https://doi.org/10.3390/math12071059
Chicago/Turabian StyleBenmamoun, Zoubida, Khaoula Khlie, Mohammad Dehghani, and Youness Gherabi. 2024. "WOA: Wombat Optimization Algorithm for Solving Supply Chain Optimization Problems" Mathematics 12, no. 7: 1059. https://doi.org/10.3390/math12071059
APA StyleBenmamoun, Z., Khlie, K., Dehghani, M., & Gherabi, Y. (2024). WOA: Wombat Optimization Algorithm for Solving Supply Chain Optimization Problems. Mathematics, 12(7), 1059. https://doi.org/10.3390/math12071059

