Network Evolution Model with Preferential Attachment at Triadic Formation Step
Abstract
1. Introduction
- In social networks, when a person becomes a friend with someone, they also tend to be a friend of the most popular individual in the group. Most social networks are clustered, so dealing with a large volume of emerging new information in various types of networks requires selecting relevant information from the ever-increasing data pool. This significantly increases the costs of data selection. Due to the difficulty of making choices, network participants will rely on the opinions of experts as the most authoritative members of these networks;
- In citation networks, when an article cites a paper, it tends to cite the most cited items from the paper references as well;
- If an Internet page links to an existing page, there are great chances that it also links to the most popular pages to which the existing page is pointed to;
- In criminal structures: the tendency of two individuals to commit a crime together if they have a common accomplice.
2. Related Studies
- The patterns of the temporal behavior of triads in social networks have been studied in paper [4]. The authors state that triads are common in social groups and propose a probabilistic factor graph model that captures the dynamic information in the triadic closure process.
- Paper [5] states that the community structure is an important property of complex social networks, while the triadic closure naturally implies the presence of community structure. The authors use a fitness-based link attractivity defined for a vertex to obtain a phase transition in which communities disappear.
- The study [6] deals with the problem of community formation in online social networks. The paper focuses on the triad formation mechanism and uses data sets based on a large microblogging network. The study shows that the triadic closure depends on user demographics, network characteristics, and social properties. The authors propose a a probabilistic graphical model to predict the triad formation in dynamic networks.
- The formation of social triads in social groups has been analyzed in paper [7]. The author conducted an empirical study based on data sets of two real social complex networks and they propose a method to predict inferring triadic tie strength dynamics.
- The paper [8] deals with the problem of predicting missing links in the complex network using triadic closure theory. The work is aimed at quantifying the common neighbor influence on creating the link between nodes. It is shown that the proposed algorithm a sufficient accuracy and is stable and robust. Moreover, the authors propose an ensemble link prediction algorithm which is based on some local characteristics.
- The paper [9] examines the temporal data sets taken from Flickr and Epinions. The study shows that the triad formation has a crucial role in the evolution of networks. Moreover, the authors developed a network evolution model which uses the preferential triadic closure. Numerical experiments show that the proposed model is capable in reproducing some global properties of real social networks.
- The authors of paper [10] applied Relational Event Modeling (REM) to a dataset from online discussions. The paper examines social interaction based on micro-level temporal patterns.
- The work [11] studies the effect of microstructures on the appearance of communities in networks. The authors use four community-detection approaches and three different generative network models including triadic closure.
- Paper [12] proposes local closure coefficient to quantify the phenomenon of edge clustering in real social networks. The authors show that the use of the closure coefficient may improve link prediction in real network dynamics.
- The paper [13] proposes models of network growth in which the emergence of an edge between nodes is more likely if they have a common neighbor. Simulations have demonstrated that networks built using these models reproduce a number of features of real social networks, including high levels of clustering.
- A large group of articles is devoted to citation networks, in which, as empirical studies show, the probability of triangle formation is high. Thus, the work [14] proposes a model for the evolution of scientific citation networks. The model takes into account both the loss of relevance of articles over time and the formation of triangles.
- Another paper, [15] examines the citation network of scientific papers and proposes a stochastic model incorporating the triadic closure mechanism, statistics of links to scientific articles, as well as the dynamics of their citations. The authors substantiate the model using the example of citation dynamics for physics articles, identifying nonlinear citation dynamics, the nonlinearity of which is closely related to the network topology.
- Citation networks were also the subject of research in [16], which analyzed co-citations on the Web of Science citation dataset. The model proposed by the authors takes into account the frequency of co-occurrence of the first author, the frequency of co-occurrence of other authors, network density, as well as triadic closure in the co-citation graph. The model allows one to predict the appearance of co-authors in the co-authorship network.
- The study [17] notes that when modeling citation networks, it is necessary to take into account their high clustering. The authors propose a new model to explain the emergence of high clustering in such networks. The authors analyzed several real-life citation networks and showed that the proposed model adequately reproduces the power-law degree distribution and high clustering observed in these real-life networks.
- The authors of paper [18] look at knowledge networks and show that triadic closure and topographical closeness increase the likelihood of creating connections, but do not affect their sustainability. The authors analyze the influence of endogenous network effects and how the cognitive proximity of actors influence the process of cluster creation.
- The study [19] notes that the clustering coefficient does not reflect common interpersonal interpretations of triadic closure. In this regard, the study introduces a measure of triadic closure, which is used in the study of three empirical social networks.
- Note that in some real networks the process of triangle formation is counterintuitive. The paper [20] examines the network of co-inventors and empirically finds that two inventors are less likely to form a first research partnership if they have mutual partners.
- The paper [21] investigates the formation and nature of social networks in the context of Social Internet of Things (SIoT). The authors utilizes large datasets, including anonymized call detail records, to analyze triadic closure patterns and homophily in homophilic social networks. It proposes three social triad classes and explores the correlation between triads and homophily. The study concludes that there is a positive connection between homophily and a specific social triad class. Overall, this research contributes to the understanding of social networks in the SIoT context.
- The study [22] explores the concept of homophily and its impact on social segregation. The authors challenge the belief that triadic closure and homophily work together and demonstrate through network analysis and empirical investigation that triadic closure can actually help reduce segregation. The findings are supported by real-world networks, strengthening the validity of the study. The authors suggest practical interventions to alleviate segregation in settings where triadic closure and homophily interact, as well as insights for designing interventions in online communities. Overall, this work makes a significant contribution to understanding social segregation and offers potential solutions.
- The paper [23] examines how homophily (common interests) and triadic closure (mutual connections) affect the reciprocation benefit for content providers in social media. Using data from YouTube video providers, the researchers find that reciprocation is generally beneficial for the initiator, but content similarity and common ties can reduce the growth in subscribers. They also discover a positive interaction effect between content similarity and common ties. Overall, these findings provide practical implications for content providers and social media platforms seeking to optimize reciprocal promotion. The study sheds light on the complex dynamics of reciprocation in social media content promotion.
- The study [24] examines the relationship between triadic closure and choice homophily, in social networks. Using a dynamic model, the researchers demonstrate that these factors contribute to induced homophily in real-world social networks. They estimate the degree to which triadic closure amplifies observed homophily in friendship and communication networks, and show that this augmentation can bring to the core-periphery structure of networks and the persistence of homophilic constraints. The study also highlights that even small individual biases can have significant network-level effects, such as segregation or the dominance of a core group. This paper highlights the importance of considering the broader dynamics of society when studying individual-level mechanisms in social networks.
- A static triadic closure (STC) model has been proposed in [28] for generating growth clustered networks. The author show that the proposed model is quite realistic and simple enough to obtain some of properties analytically.
- The authors of paper [29] introduce an extension of the triadic closure model in which the number of attached links selected randomly. They show that the model simulates more realistically the dynamics of generated networks.
- An interesting model that captures the dissimilarities between the incoming and outgoing network degrees has been analyzed in [30]. The model uses three different mechanisms including directed triadic closure. The authors empirically validate the model on real datasets.
- A nonlinear coevolving voter model with triadic closure local rewiring has been developed and studied in [31]. The model is capable of explaining some properties of real adaptive social networks such as the reproduction of isolated parts and a high clustering.
- The work [32] introduce a hierarchy of network evolution models based on triadic closure mechanism. The author uses a chemical kinetics framework to show that models reproduce an apparent metastability property of the microscale system.
- The authors of paper [33] propose a Triangle Generalized Preferential Attachment Model and investigate the clustering properties of simulated networks. They show that this model generate networks with a power law degree distribution.
3. The Extended Triadic Closure Model
3.1. The Model Description
- (Growth) At every iteration t, one new vertex t is attached;
- At each stage, the network is replenished with m new connections, and each new node t joins m existing nodes, taking into account the following rules:
- (a)
- (Preferential attachment)Node t links to one of the existing nodes i of the network with a probability depending on the degree of the node ;
- (b)
- Each of the remaining edges of the new node t is established as follows:
- (b1) (Triad formation)With probability p, new node t is linked to one of the neighbors j of node i selected at the previous stage, proportional to the degree of the vertex . Therefore, the probability of choosing neighbor j of node i is , where is defined in Equation (1).
- (b2) With probability , a link is established with one of the network nodes s (not necessarily adjacent to node i) with a probability proportional to the degree of this node .
3.2. Degree Dynamics
- The expectation of picking node j at step 2(a), which is equal to ;
- The product of the number of trials and the expectation of triad formation p;
- The probability of picking vertex i among neighboring nodes of vertex j, which is equal to .
- First, the expectation of a fixed node’s degree increases as the network grows. This growth follows a power law with exponent , the value of which varies for different nodes.
- Secondly, the smaller i, the higher the exponent . Consequently, the growth of node degrees in this model occurs faster for nodes that appear in the early stages of the network’s existence. As a result, the hubs in this model are larger compared to BA or TC models.
3.3. Additional Properties of ’s
- ;
- for as , i.e., as ;
- The expected initial value of at iteration i is equal to
4. Scale-Free Behavior
- The degree of vertex s is equal to at iteration t and it adds up by 1 at time
- The degree of node s at iteration t is k and it does not change at iteration .
5. Conclusions
Author Contributions
Funding
Informed Consent Statement
Data Availability Statement
Conflicts of Interest
Appendix A. The Proof of Theorem 1
- All terms in are replaced by in , therefore the difference is
- New -term is adding to :
- With probability new node increases the degree of node j by 1 and the value of by 3, therefore the difference between the corresponding term in the sum and j-term in isWhere term is added to annihilate the corresponding term in (A1);
- If node j is chosen at step 2(a), then for each of its neighbors l the value of increases by 1, while their degrees remain the same, i.e., the difference is (with probability )where the last term is added to annihilate it in (A1);
- The probability that node i (one of the neighbors of node j chosen at step 2(a)) will be chosen at step 2(b) is and the changes caused by this choice are:
- -
- New node increases the degree of node i by 1 and the value of by 3:
- -
- Each neighbors r of node i increases its value of by 1, while their degrees remain the same:
Appendix B. The Proof of Theorem 2
References
- Rapoport, A. Spread of Information through a Population with Socio-Structural Bias: I. The Assumption of Transitivity. Bull. Math. Biophys. 1953, 15, 523–533. [Google Scholar] [CrossRef]
- Holme, P.; Kim, B.J. Growing scale-free networks with tunable clustering. Phys. Rev. E 2002, 65, 026107. [Google Scholar] [CrossRef]
- Barabási, A.L.; Albert, R. Emergence of Scaling in Random Networks. Science 1999, 286, 509–512. [Google Scholar] [CrossRef]
- Fang, Z.; Tang, J. Uncovering the Formation of Triadic Closure in Social Networks. In Proceedings of the 24th International Conference on Artificial Intelligence (IJCAI-15), Buenos Aires, Argentina, 25–31 July 2015; AAAI Press: Washington, DC, USA, 2015; pp. 2062–2068. [Google Scholar]
- Bianconi, G.; Darst, R.; Iacovacci, J.; Fortunato, S. Triadic closure as a basic generating mechanism of communities in complex networks. Phys. Rev. E-Stat. Nonlinear Soft Matter Phys. 2014, 90, 042806. [Google Scholar] [CrossRef]
- Huang, H.; Tang, J.; Liu, L.; Luo, J.; Fu, X. Triadic Closure Pattern Analysis and Prediction in Social Networks. IEEE Trans. Knowl. Data Eng. 2015, 27, 3374–3389. [Google Scholar] [CrossRef]
- Huang, H.; Dong, Y.; Tang, J.; Yang, H.; Chawla, N.V.; Fu, X. Will Triadic Closure Strengthen Ties in Social Networks? ACM Trans. Knowl. Discov. Data 2018, 12, 1–25. [Google Scholar] [CrossRef]
- Linyi, Z.; Shugang, L. The node influence for link prediction based on triadic closure structure. In Proceedings of the 2017 IEEE 2nd Information Technology, Networking, Electronic and Automation Control Conference (ITNEC), Chengdu, China, 15–17 December 2017; pp. 761–766. [Google Scholar]
- Li, M.; Zou, H.; Guan, S.; Gong, X.; Li, K.; Di, Z.; Lai, C.H. A coevolving model based on preferential triadic closure for social media networks. Sci. Rep. 2013, 3, 2512. [Google Scholar] [CrossRef]
- Chen, B.; Poquet, O. Socio-temporal dynamics in peer interaction events. In Proceedings of the Tenth International Conference on Learning Analytics & Knowledge, Frankfurt, Germany, 23–27 March 2020; pp. 203–208. [Google Scholar] [CrossRef]
- Wharrie, S.; Azizi, L.; Altmann, E. Micro-, meso-, macroscales: The effect of triangles on communities in networks. Phys. Rev. E 2019, 100, 022315. [Google Scholar] [CrossRef]
- Yin, H.; Benson, A.R.; Leskovec, J. The Local Closure Coefficient: A New Perspective On Network Clustering. In Proceedings of the Twelfth ACM International Conference on Web Search and Data Mining (WSDM-19), Melbourne, VIC, Australia, 11–15 February 2019; pp. 303–311. [Google Scholar] [CrossRef]
- Jin, E.M.; Girvan, M.; Newman, M.E.J. Structure of growing social networks. Phys. Rev. E 2001, 64, 046132. [Google Scholar] [CrossRef]
- Wu, Z.X.; Holme, P. Modeling scientific-citation patterns and other triangle-rich acyclic networks. Phys. Rev. E 2009, 80, 037101. [Google Scholar] [CrossRef]
- Golosovsky, M.; Solomon, S. Growing complex network of citations of scientific papers: Modeling and measurements. Phys. Rev. E 2017, 95, 012324. [Google Scholar] [CrossRef]
- Muppidi, S.; Reddy, K. Co-occurrence analysis of scientific documents in citation networks. Int. J. Knowl.-Based Intell. Eng. Syst. 2020, 24, 19–25. [Google Scholar] [CrossRef]
- Ren, F.X.; Shen, H.W.; Cheng, X.Q. Modeling the clustering in citation networks. Phys. A Stat. Mech. Its Appl. 2012, 391, 3533–3539. [Google Scholar] [CrossRef][Green Version]
- Juhasz, S.; Lengyel, B. Creation and persistence of ties in cluster knowledge networks. J. Econ. Geogr. 2017, 18, 1203–1226. [Google Scholar] [CrossRef]
- Brunson, J. Triadic analysis of affiliation networks. Netw. Sci. 2015, 3, 480–508. [Google Scholar] [CrossRef]
- Carayol, N.; Bergé, L.; Cassi, L.; Roux, P. Unintended triadic closure in social networks: The strategic formation of research collaborations between French inventors. J. Econ. Behav. Organ. 2019, 163, 218–238. [Google Scholar] [CrossRef]
- Khan, N.A.; Zhou, W.; Khan, M.A.; Almogren, A.; Din, I.U. Correlation between Triadic Closure and Homophily Formed over Location-Based Social Networks. Sci. Program. 2021, 2021, 10. [Google Scholar] [CrossRef]
- Abebe, R.; Immorlica, N.; Kleinberg, J.; Lucier, B.; Shirali, A. On the Effect of Triadic Closure on Network Segregation. In Proceedings of the 23rd ACM Conference on Economics and Computation (EC’22), Boulder, CO, USA, 11–15 July 2022; pp. 249–284. [Google Scholar] [CrossRef]
- Song, T.; Tang, Q.; Huang, J. Triadic Closure, Homophily, and Reciprocation: An Empirical Investigation of Social Ties Between Content Providers. Inf. Syst. Res. 2019, 30, 912–926. [Google Scholar] [CrossRef]
- Asikainen, A.; Iñiguez, G.; Ureña-Carrión, J.; Kaski, K.; Kivelä, M. Cumulative effects of triadic closure and homophily in social networks. Sci. Adv. 2020, 6, eaax7310. [Google Scholar] [CrossRef]
- Sidorov, S.; Mironov, S.; Grigoriev, A. Friendship paradox in growth networks: Analytical and empirical analysis. Appl. Netw. Sci. 2021, 6, 51. [Google Scholar] [CrossRef]
- Battiston, F.; Iacovacci, J.; Nicosia, V.; Bianconi, G.; Latora, V. Emergence of Multiplex Communities in Collaboration Networks. PLoS ONE 2016, 11, e0147451. [Google Scholar] [CrossRef]
- Nieto, A.; Davies, T.; Borrion, H. “Offending with the accomplices of my accomplices”: Evidence and implications regarding triadic closure in co-offending networks. Soc. Netw. 2022, 70, 325–333. [Google Scholar] [CrossRef]
- Cirigliano, L.; Castellano, C.; Baxter, G.; Timár, G. Strongly clustered random graphs via triadic closure: An exactly solvable model. Phys. Rev. E 2024, 109, 024306. [Google Scholar] [CrossRef]
- Sidorov, S.; Mironov, S. Growth network models with random number of attached links. Phys. A Stat. Mech. Its Appl. 2021, 576, 126041. [Google Scholar] [CrossRef]
- Brot, H.; Muchnik, L.; Louzoun, Y. Directed triadic closure and edge deletion mechanism induce asymmetry in directed edge properties. Eur. Phys. J. B 2015, 88, 12. [Google Scholar] [CrossRef]
- Raducha, T.; Min, B.; Miguel, M.S. Coevolving nonlinear voter model with triadic closure. Europhys. Lett. 2018, 124, 30001. [Google Scholar] [CrossRef]
- Zygalakis, K.; Higham, D.; Giovacchino, S. A Hierarchy of Network Models Giving Bistability Under Triadic Closure. Multiscale Model. Simul. 2022, 20, 1394–1410. [Google Scholar]
- Eikmeier, N.; Gleich, D.F. Classes of preferential attachment and triangle preferential attachment models with power-law spectra. J. Complex Netw. 2019, 8, cnz040. [Google Scholar] [CrossRef]
- Nie, M.; Chen, D.; Wang, D. Graph Embedding Method Based on Biased Walking for Link Prediction. Mathematics 2022, 10, 3778. [Google Scholar] [CrossRef]
- Brandenberger, L.; Casiraghi, G.; Nanumyan, V.; Schweitzer, F. Quantifying Triadic Closure in Multi-Edge Social Networks. In Proceedings of the 2019 IEEE/ACM International Conference on Advances in Social Networks Analysis and Mining (ASONAM ’19), Vancouver, BC, Canada, 27–30 August 2019; pp. 307–310. [Google Scholar] [CrossRef]
- Zhou, L.; Yang, Y.; Ren, X.; Wu, F.; Zhuang, Y. Dynamic Network Embedding by Modeling Triadic Closure Process. In Proceedings of the AAAI Conference on Artificial Intelligence, New Orleans, LA, USA, 2–7 February 2018; Volume 32, p. 1. [Google Scholar] [CrossRef]
- Yin, H.; Benson, A.R.; Ugander, J. Measuring directed triadic closure with closure coefficients. Netw. Sci. 2020, 8, 551–573. [Google Scholar] [CrossRef]
- Yang, J.; Wang, Z.; Rui, X.; Chai, Y.; Yu, P.S.; Sun, L. Triadic Closure Sensitive Influence Maximization. ACM Trans. Knowl. Discov. Data 2023, 17, 77. [Google Scholar] [CrossRef]
- Sidorov, S.; Mironov, S.; Faizliev, A.; Grigoriev, A. Node Degree Dynamics in Complex Networks Generated in Accordance with a Modification of the Triadic Closure Model. In Proceedings of the Mathematical Modeling and Supercomputer Technologies, Nizhny Novgorod, Russia, 23–27 November 2020; Balandin, D., Barkalov, K., Gergel, V., Meyerov, I., Eds.; Springer: Cham, Switzerland, 2021; pp. 146–153. [Google Scholar]



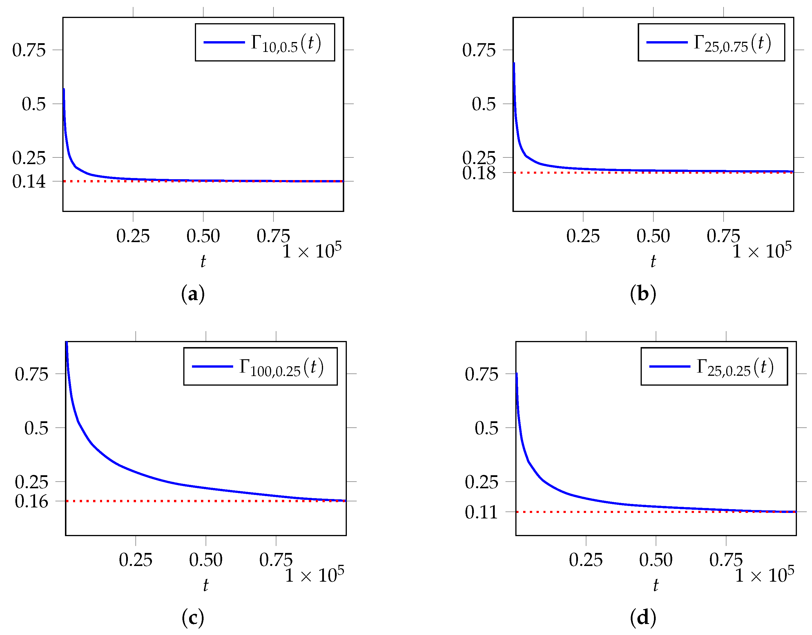
| 2 | 5 | 10 | 25 | 50 | 100 | |
|---|---|---|---|---|---|---|
| 0.25 | 0.41 | 0.20 | 0.11 | 0.11 | 0.13 | 0.16 |
| 0.5 | 0.33 | 0.14 | 0.14 | 0.15 | 0.16 | 0.17 |
| 0.75 | 0.27 | 0.17 | 0.18 | 0.18 | 0.18 | 0.20 |
| 1 | 0.27 | 0.20 | 0.19 | 0.19 | 0.19 | 0.20 |
| 2 | 5 | 10 | 25 | 50 | 100 | |
|---|---|---|---|---|---|---|
| 0.25 | 2.71 | 3.05 | 3.25 | 3.40 | 3.47 | 3.50 |
| 0.50 | 2.84 | 3.35 | 3.66 | 3.94 | 4.08 | 4.14 |
| 0.75 | 3.03 | 3.60 | 3.96 | 4.38 | 4.61 | 4.79 |
| 1.00 | 3.42 | 3.86 | 4.46 | 4.50 | 4.79 | 5.10 |
Disclaimer/Publisher’s Note: The statements, opinions and data contained in all publications are solely those of the individual author(s) and contributor(s) and not of MDPI and/or the editor(s). MDPI and/or the editor(s) disclaim responsibility for any injury to people or property resulting from any ideas, methods, instructions or products referred to in the content. |
© 2024 by the authors. Licensee MDPI, Basel, Switzerland. This article is an open access article distributed under the terms and conditions of the Creative Commons Attribution (CC BY) license (https://creativecommons.org/licenses/by/4.0/).
Share and Cite
Sidorov, S.; Emelianov, T.; Mironov, S.; Sidorova, E.; Kostyukhin, Y.; Volkov, A.; Ostrovskaya, A.; Polezharova, L. Network Evolution Model with Preferential Attachment at Triadic Formation Step. Mathematics 2024, 12, 643. https://doi.org/10.3390/math12050643
Sidorov S, Emelianov T, Mironov S, Sidorova E, Kostyukhin Y, Volkov A, Ostrovskaya A, Polezharova L. Network Evolution Model with Preferential Attachment at Triadic Formation Step. Mathematics. 2024; 12(5):643. https://doi.org/10.3390/math12050643
Chicago/Turabian StyleSidorov, Sergei, Timofei Emelianov, Sergei Mironov, Elena Sidorova, Yuri Kostyukhin, Alexandr Volkov, Anna Ostrovskaya, and Lyudmila Polezharova. 2024. "Network Evolution Model with Preferential Attachment at Triadic Formation Step" Mathematics 12, no. 5: 643. https://doi.org/10.3390/math12050643
APA StyleSidorov, S., Emelianov, T., Mironov, S., Sidorova, E., Kostyukhin, Y., Volkov, A., Ostrovskaya, A., & Polezharova, L. (2024). Network Evolution Model with Preferential Attachment at Triadic Formation Step. Mathematics, 12(5), 643. https://doi.org/10.3390/math12050643

