Evolutionary Game Analysis of Digital Financial Enterprises and Regulators Based on Delayed Replication Dynamic Equation
Abstract
1. Introduction
2. Basic Assumptions and Payoff Matrix
3. Evolutionary Models under a Static Mechanism
3.1. Static Mechanism Evolutionary Model without Time Delay
3.2. Delayed Static Mechanism Evolutionary Model and Stability Analysis
4. Evolutionary Models under a Dynamic Mechanism
4.1. Dynamic Mechanism Evolutionary Model without Time Delay
4.2. Dynamic Mechanism Evolutionary Model with Time Delay and Stability Analysis
5. Properties of Hopf Bifurcation
6. Numerical Simulations
6.1. Numerical Analysis under Static Mechanism
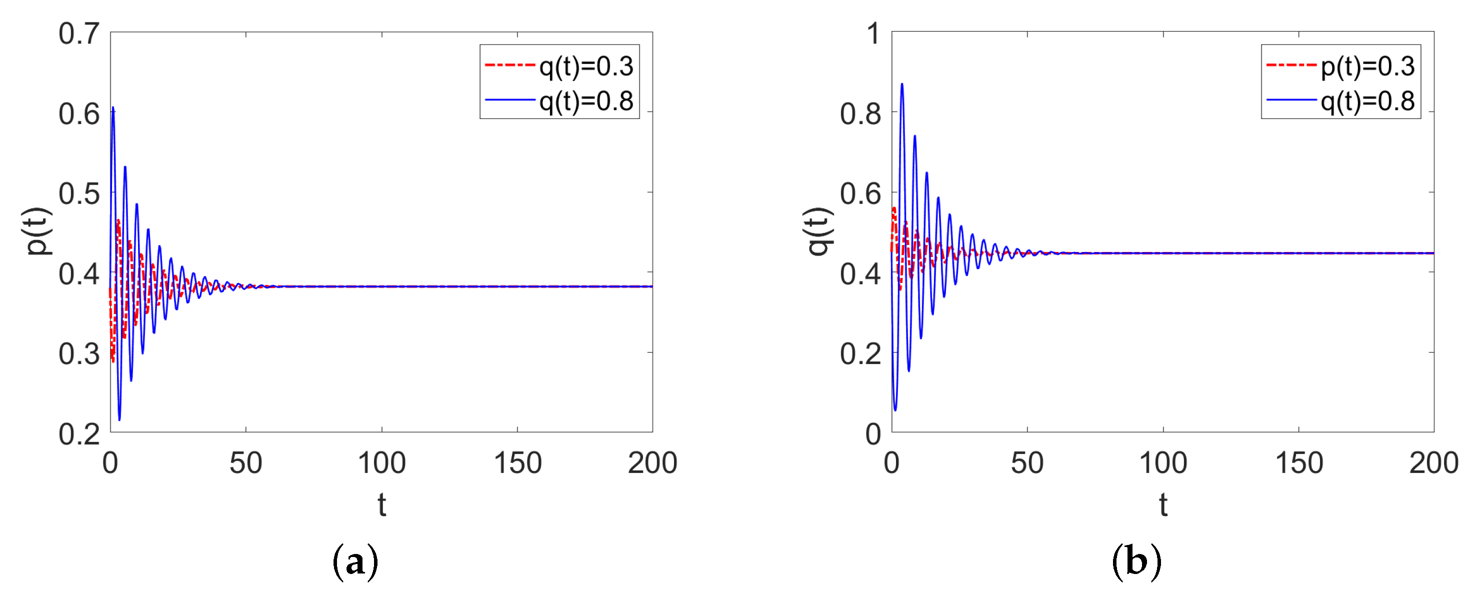
6.2. Numerical Analysis under Dynamic Mechanism
Effect of Initial Value on Amplitude of State Curve of System (9)
7. Conclusions and Recommendations
7.1. Conclusions
7.2. Recommendations
7.3. Weaknesses and Prospects
Author Contributions
Funding
Data Availability Statement
Conflicts of Interest
References
- Durai, T.; Stella, G. Digital finance and its impact on financial inclusion. J. Emerg. Technol. Innov. Res. 2019, 6, 122–127. [Google Scholar]
- Peng, S.; Jiang, X.; Li, Y. The impact of the digital economy on Chinese enterprise innovation based on intermediation models with financing constraints. Heliyon 2023, 9, e13961. [Google Scholar] [CrossRef]
- Cao, S.; Nie, L.; Sun, H.; Sun, W.; Taghizadeh-Hesary, F. Digital finance, green technological innovation and energy-environmental performance: Evidence from China’s regional economies. J. Clean. Prod. 2021, 327, 129458. [Google Scholar] [CrossRef]
- Haonan, S.; Gaoyang, C.; Yutong, S.; Hu, W.; Wang, W. Building of a standard system for supervision over financial technology enterprises from the perspective of governmental regulation. J. Sociol. Ethnol. 2022, 4, 101–106. [Google Scholar]
- Zheng, C.; Wang, Z.; Pan, S.; Chen, X.; Jia, S. Does financial structure still matter for technological innovation when financial technology and financial regulation develop? Technol. Forecast. Soc. Change 2023, 194, 122747. [Google Scholar] [CrossRef]
- Ran, H.; Qun, F. Asymmetric evolutionary game between financial innovation and financial regulation: Punishment or encouragement. J. Financ. Account. 2017, 5, 102–106. [Google Scholar] [CrossRef]
- Hanson, S.G.; Kashyap, A.K.; Stein, J.C. A macroprudential approach to financial regulation. J. Econ. Perspect. 2011, 25, 3–28. [Google Scholar] [CrossRef]
- Chao, X.; Ran, Q.; Chen, J.; Li, T.; Qian, Q.; Ergu, D. Regulatory technology (reg-tech) in financial stability supervision: Taxonomy, key methods, applications and future directions. Int. Rev. Financ. Anal. 2022, 80, 102023. [Google Scholar] [CrossRef]
- An, H.; Yang, R.; Ma, X.; Zhang, S.; Islam, S.M.N. An evolutionary game theory model for the inter-relationships between financial regulation and financial innovation. N. Am. J. Econ. Financ. 2021, 55, 101341. [Google Scholar] [CrossRef]
- Zhou, X.; Chen, S. Fintech innovation regulation based on reputation theory with the participation of new media. Pac. Basin Financ. J. 2021, 67, 101565. [Google Scholar] [CrossRef]
- Wang, L.; Wang, Z.; Tian, L.; Li, C. Evolutionary game and numerical simulation of enterprises’ green technology innovation: Based on the credit sales financing service of supply chain. Sustainability 2022, 15, 702. [Google Scholar] [CrossRef]
- Tan, Y.; Huang, X.; Li, W. Does blockchain-based traceability system guarantee information authenticity? an evolutionary game approach. Int. J. Prod. Econ. 2023, 264, 108974. [Google Scholar] [CrossRef]
- Hu, Y.; Ghadimi, P. A review of blockchain technology application on supply chain risk management. IFAC-PapersOnLine 2022, 55, 958–963. [Google Scholar] [CrossRef]
- Fu, H.; Liu, Y.; Cheng, P.; Cheng, S. Evolutionary game analysis on innovation behavior of digital financial enterprises under the dynamic reward and punishment mechanism of government. Sustainability 2022, 14, 12561. [Google Scholar] [CrossRef]
- Liu, L.; Wang, Z.; Song, Z.; Zhang, Z. Evolutionary game analysis on behavioral strategies of four participants in green technology innovation system. Manag. Decis. Econ. 2023, 44, 960–977. [Google Scholar] [CrossRef]
- Deng, J.; Su, C.; Zhang, Z.; Wang, X.; Ma, J.; Wang, C. Evolutionary game analysis of chemical enterprises’ emergency management investment decision under dynamic reward and punishment mechanism. J. Loss Prev. Process. Ind. 2024, 87, 105230. [Google Scholar] [CrossRef]
- Xu, Y.; Bao, H. FinTech regulation: Evolutionary game model, numerical simulation, and recommendations. Expert Syst. Appl. 2023, 211, 118327. [Google Scholar] [CrossRef]
- Gunarso, G. Game theory of regulator, companies, and cooperation in Indonesian financial technology industry. Jinnah Bus. Rev. 2022, 10, 74–86. [Google Scholar] [CrossRef]
- Song, Y.; Xu, Y.; Zhang, Z. Win-win situation of Internet finance innovation and regulation: A game analysis of evasion and regulation. Soc. Sci. Res. 2018, 4, 25–31. [Google Scholar]
- Xu, Y.; Bao, H.; Zhang, W.; Zhang, S. Which financial earmarking policy is more effective in promoting fintech innovation and regulation? Ind. Manag. Data Syst. 2021, 121, 2181–2206. [Google Scholar] [CrossRef]
- Yi, T.; Zuwang, W. Effect of time delay and evolutionarily stable strategy. J. Theor. Biol. 1997, 187, 111–116. [Google Scholar] [CrossRef]
- Zhang, Z.; Kundu, S.; Tripathi, J.P.; Bugalia, S. Stability and Hopf bifurcation analysis of an SVEIR epidemic model with vaccination and multiple time delays. Chaos Solitons Fractals 2019, 131, 109483. [Google Scholar] [CrossRef]
- Hu, K.; Li, Z.; Shi, L.; Perc, M. Evolutionary games with two species and delayed reciprocity. Nonlinear Dyn. 2023, 111, 7899–7910. [Google Scholar] [CrossRef]
- Alboszta, J.; Mie, J. Stability of evolutionarily stable strategies in discrete replicator dynamics with time delay. J. Theor. Biol. 2004, 231, 175–179. [Google Scholar] [CrossRef]
- Cheng, H.; Meng, X. Multistability and hopf bifurcation analysis for a three-strategy evolutionary game with environmental feedback and delay. Phys. A Stat. Mech. Appl. 2023, 620, 128766. [Google Scholar] [CrossRef]
- Hu, L.; Qiu, X. Stability analysis of game models with fixed and stochastic delays. Appl. Math. Comput. 2022, 435, 127473. [Google Scholar] [CrossRef]
- Xie, C.; Li, H.; Chen, L. A Three-Party Decision Evolution Game Analysis of Coal Companies and Miners under China’s Government Safety Special Rectification Action. Mathematics 2023, 11, 4750. [Google Scholar] [CrossRef]
- Mou, S.; Zhong, K.; Ma, Y. Regulating the Big Data-Based Discriminatory Pricing in Platform Retailing: A Tripartite Evolutionary Game Theory Analysis. Mathematics 2023, 11, 2579. [Google Scholar] [CrossRef]
- Friedman, D. Evolutionary games in economics. Econom. J. Econom. Soc. 1991, 59, 637–666. [Google Scholar] [CrossRef]
- Toshiki, N.; Tadayuki, H.; Yoshiyuki, H.; Rinko, M. Differential Equations with Time Lag: Introduction to Functional Differential Equations; Makino Shoten: Tokyo, Japan, 2002. [Google Scholar]
- Hassard, B.D.; Kazarinoff, N.D.; Wan, Y.H. Theory and Applications of Hopf Bifurcation; CUP Archive; Cambridge University Press: Cambridge, UK; New York, NY, USA, 1981. [Google Scholar]
- Sun, C.; Cao, Z.; Lin, Y. Analysis of stability and Hopf bifurcation for a viral infectious model with delay. Chaos Solitons Fractals 2007, 33, 234–245. [Google Scholar] [CrossRef]








| Active Regulation (q) | Negative Regulation () | |
|---|---|---|
| Compliance innovation (p) | , | , |
| Illegal innovation () | , | , |
| Points | Tr | Det |
|---|---|---|
| Points | Det | Tr | Stability |
|---|---|---|---|
| − | saddle | ||
| − | saddle | ||
| − | saddle | ||
| − | saddle | ||
| + | − | ESS |
Disclaimer/Publisher’s Note: The statements, opinions and data contained in all publications are solely those of the individual author(s) and contributor(s) and not of MDPI and/or the editor(s). MDPI and/or the editor(s) disclaim responsibility for any injury to people or property resulting from any ideas, methods, instructions or products referred to in the content. |
© 2024 by the authors. Licensee MDPI, Basel, Switzerland. This article is an open access article distributed under the terms and conditions of the Creative Commons Attribution (CC BY) license (https://creativecommons.org/licenses/by/4.0/).
Share and Cite
Xu, M.; Liu, Z.; Xu, C.; Wang, N. Evolutionary Game Analysis of Digital Financial Enterprises and Regulators Based on Delayed Replication Dynamic Equation. Mathematics 2024, 12, 385. https://doi.org/10.3390/math12030385
Xu M, Liu Z, Xu C, Wang N. Evolutionary Game Analysis of Digital Financial Enterprises and Regulators Based on Delayed Replication Dynamic Equation. Mathematics. 2024; 12(3):385. https://doi.org/10.3390/math12030385
Chicago/Turabian StyleXu, Mengzhu, Zixin Liu, Changjin Xu, and Nengfa Wang. 2024. "Evolutionary Game Analysis of Digital Financial Enterprises and Regulators Based on Delayed Replication Dynamic Equation" Mathematics 12, no. 3: 385. https://doi.org/10.3390/math12030385
APA StyleXu, M., Liu, Z., Xu, C., & Wang, N. (2024). Evolutionary Game Analysis of Digital Financial Enterprises and Regulators Based on Delayed Replication Dynamic Equation. Mathematics, 12(3), 385. https://doi.org/10.3390/math12030385

