Abstract
Applying a predefined set of functionals to a function provides a set of numbers which characterize the function. One can then interpret an approximation very generally as a construction of some function form which reproduces these numbers if the same functionals are used. A large number of existing approximations can be interpreted in this way, and we review some of them. In addition, we construct several new expansion types including three rational approximations.
MSC:
41-02; 41A58; 41A20
1. Introduction
Applications of function approximations are countless: evaluation of functions on computers, transformation of functions into a form suited for further processing (integration, differentiation), frequency analysis, solving differential equations, etc. Often, an approximation of a function f can be understood as another function which meets a number of constraints (conditions) true for f. is usually constructed such as to keep some well-defined function form, and the constraints are met by adjusting coefficients appearing within this form. Typically, the degree of the approximation can be increased by increasing the number of conditions which are satisfied. For an exact approximation , one in general expects an infinite number of fulfilled constraints as a necessary (but often not sufficient) condition. This can be formalized in a framework where requirements are represented by numbers resulting from the action of some predefined set of functionals on f. Then, the construction of an approximation corresponds to tuning the above-mentioned coefficients, such as to reproduce these numbers by , an example being the Taylor series which matches the derivatives.
Similar ideas have already been presented in [,,,,]. To justify our work, we bring forward two points:
- The first point is conceptual: all previous works are based on linear functionals (we have to acknowledge that a possibility of non-linear functionals is indirectly mentioned in [], where in Section 1.12 the author says “Interpolation theory is concerned with reconstructing functions on the basis of certain functional information assumed known. In many cases, the functionals are linear.”). The linearity is pragmatic but is not necessary to define the concept of approximation (the concept of linearity in approximation theory can have different meanings; often it is used to indicate that functions which are used to construct the approximation are elements of a linear (i.e., vector) space (see, e.g., []); the meaning we talk about here is a different one). We thus extend the definition of an approximation in this direction and provide a simple example of this (i.e., non-linear) type.
- The second point is practical: we construct several new expansions not present in other works.
The introduced notion of an approximation does not imply the convergence (of any type) of to f. In most of this text, we focus on the approximation properties only. We do this because, inferring from the existing approximations (the Padé approximants come to the author’s mind) the convergence questions are usually technically complicated and their study (weakness/strength, sufficiency/necessity, bounding strategies, etc.) often represents a large topic which would exceed the intended extent of this text, where many different approximation types are mentioned.
Also, our text does not rely on proving a single main theorem. Going through various function approximations, a couple of proofs are presented, labeled as propositions.
At last, one can remark that not all approximations can be naturally interpreted in the way we propose. This is true for example for approximations based on the Weierstrass approximation theorem [], see the discussion in Section 3.5.
In Section 2, we introduce the notion of an approximation more formally and discuss some basic properties. The section which follows then reviews some of the existing examples and shows how to interpret them in the general approximation approach. We present new function expansions in Section 4 and close the text by summary, conclusion, and outlook.
2. General Approach to Function Approximation
2.1. Definitions
Let f be a real-valued function defined on some (open or closed) interval and let be a sequence of real functionals acting on f
By characteristic numbers of the function f, we will understand the sequence of real numbers defined by
By a partial approximation of the function f of the order N, we will understand any function for which the action of is defined for all having the property
Any function will be called the approximation of the function f. Formula (1) in fact defines a class of functions. In what follows, the notation will be used to indicate a representative of this class.
2.2. Properties of Functionals and Approximations
Intuitively, some basic properties of functionals are expected. We call the functional dependent on if for any f (for which the functionals are well defined) can be expressed as a function of the remaining characteristic numbers
For the set to be rich enough to permit an approximation of an interestingly large family of functions, one expects it to contain an infinite number of independent functionals. For aesthetic reasons, one may prefer all functionals in to be independent.
Also, in situations where the functional action needs to be distributed over infinite sums, the functionals are assumed to be continuous. Yet, because our approach is very general, we prefer to assume that the various operations we perform are valid, i.e., that the appearing objects have the necessary properties (whatever these are), rather than specifying conditions for them.
2.2.1. Linearity
Most of the actually used approximations are based on linear functionals, i.e., one has
Such approximations are very appealing if a set of functions with the delta property
exists. When so, an approximation of f can be easily constructed in the form of an infinite sum
where the existence of the limit is assumed. Assuming further that the action of can be distributed over this infinite sum, one observes that the expression (3) indeed reproduces the characteristic numbers of f
In this text, we will refer to using the term “delta function”.
Another interesting scenario, which also appears in practice, is represented by the set of functions with the property
Also, in this case, one can propose to build an approximation as a series with multiplicative coefficients (supposing it is well defined)
where the question of values arises. Assuming the distribution of the functional action is justified, one has
where the notation reads “should be equal to”. The relation between and is therefore represented by an infinite triangular matrix
which can be easily inverted in practice (and sometimes also formally) , thus allowing for an easy-to-achieve approximation. We will refer to using the term “triangular function”.
An additional issue, which can be addressed when series of delta functions are used, is the behavior of the latter with the number of matched constraints increasing to infinity. Here, we naturally extend the definition of a delta function to partial approximations by
where indicates the approximation order. If functions exist, then they also represent partial delta functions, i.e., exist too. However, since functions need to satisfy only a finite number of conditions (i.e., conditions for their existence are weaker), one can observe situations
- where exist, but do not, or
- where, for fixed N, several realizations of exist, with being one of them.
Similarly one can define partial triangular functions by
and address analogous questions.
2.2.2. Construction of Approximations
One can think of multiple ways of how an approximation can be built, yet the following ideas seem natural:
- The form of an (partial) approximation has some well-defined logical structure, which remains the same for all approximated orders and all approximated functions.
- The (partial) approximation is achieved by varying coefficients appearing within this fixed form.
Here, once more, some general properties are expected, such as the number of coefficients to adjust. If a partial approximation is supposed to reproduce characteristic numbers, it is reasonable to assume this can be achieved by introducing coefficients . Of course, the latter cannot be guaranteed; however, the approximations chosen by humans always have this property. One also expects that all coefficients play a role (variation of each coefficient has some impact on values), and their actions are independent (variation of some coefficients cannot be replaced by variations of other coefficients).
We will now adopt this natural choice and work with the scenario where the number of coefficients for is
Here, we introduce the notation , meaning that the coefficient is one of those appearing in the formula for .
An important property related to the technical complexity of an approximation is the persistence of coefficient values across different approximation orders, since it is very convenient to keep the coefficient value once computed at some order of approximation also for the next ones, . Such a property can be observed in most approximations used in practice, and as one of the rare counterexamples, one can mention the Padé approximant, where, for each approximation order, a new set of coefficients has to be determined. We will label the approximations with the coefficient persistence
as triangular, since they are naturally (but not necessarily) realized in the linear-functional approach by combining triangular functions (Formula (5)). As a subset of these, the most elegant approximations are those where the coefficients are in one-to-one correspondence with characteristic numbers, i.e., there is a single, particular coefficient to be tuned to match a given characteristic number without interfering with others
We will call such approximations as delta approximations. They are in practice often realized in the linear-functional framework as linear combination of delta functions (Formula (3)); they are, however, not restricted to this scenario (as presented later).
To achieve the characteristic number matching in a general case, one usually has to solve a system of (in general, non-linear) equations for coefficients
For triangular approximations, one typically solves single equations in a progressive way
where the values of are known from solving similar equations in previous steps. For delta approximations, the solution needs not to be progressive since Equation (8) becomes independent. Furthermore, in the latter scenario, the equations have often a similar structure and can be all formally solved in a single step.
3. Existing Examples
The overview which follows presents some of the existing approximation approaches in the light of the scheme developed in the previous section. For each method, we try to provide a structured entry where its basic features are summarized.
3.1. Derivative Matching
The derivative-matching approximations are based on linear functionals
where the point of the differentiation needs to be specified. In the four examples which follow, it is natural to build the approximation around . For a different point , a shifted version of the approximation is used so that the argument becomes zero for . Thus, for simplicity and without loss of generality, we choose the four examples ; for any other value, the expansion can be shifted by shifting the argument.
3.1.1. Taylor Series
The Taylor series is a delta approximation based on delta functions
with coefficients
A large body of literature covers the theory related to the Taylor series, and one might consult it for information about the convergence behavior and the related criteria. The function f having a converging approximation in a non-zero neighborhood of is called analytic at . The notion of analyticity plays an important role in mathematics, especially when function arguments are extended to complex numbers. The Taylor expansions are very popular because they can be easily manipulated (integrated, differentiated, computed), and they are especially useful when small perturbations (of any kind) are studied.
The approximation needs not converge for a function of a real variable even if all characteristic numbers (derivatives) exist and are matched; there are well-known examples of non-analytic smooth functions. This is different in the complex analysis, where the existence of a continuous derivative implies the analyticity.
3.1.2. Neumann Series of Bessel Functions
The Neumann series of Bessel functions (NsBf) [,] is a triangular approximation based on triangular functions
where are the Bessel functions of the first kind. The coefficients are given by
with brackets denoting the binomial coefficients. The convergence properties are known to be the same as for the Taylor series with identical characteristic numbers ([], 16.2, “Pincherle’s theorem”), thus the applicability domain of this expansion corresponds to analytic functions.
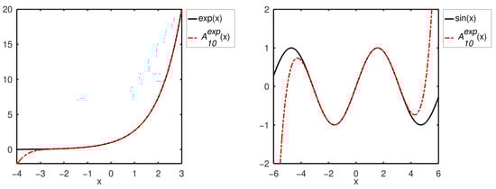
The NsBf are seen more rarely, they play a role when studying Bessel’s differential equation or some similar equations, such as presented in [,]. The numerical test (Figure 1) also suggests the NsBf significantly over-perform the Taylor series when periodic functions are approximated.

Figure 1.
Approximation of by the NsBf and by the Taylor series with the value of the function and values of the first ten derivatives matched.
3.1.3. Approximation of Padé
The Padé partial approximation by a rational function is a rather well-known example which does not fall into any category of Section 2. The approximation is built as a ratio of two polynomials
where the absolute term of is (by definition) one. The approximation is, to the author’s knowledge, always used as partial, which may be understood as the consequence of its complicated character (non-persistent coefficients). The coefficients , can be determined in a “brute-force” manner by differentiating and solving the resulting equations, even though more efficient methods are on the market, see []. The latter reference corresponds to one of the large number of texts which cover Padé approximation and where further information (e.g., about the convergence issues) can be found.
The Padé approximants are known to have good convergence properties, in some situations the domain of the convergence extends beyond that of the Taylor series. Often, the Padé approximation converges more rapidly than the Taylor series, which explains its popularity in numerical computations []. These appealing features are attributed to the fact that the form of rational functions enables the approximation to mimic the poles (and branch cuts []) of the approximated functions.
We discuss further this topic also in Section 4.1.2 and Section 4.1.3, where we introduce presumably new ways of constructing a rational approximation.
3.1.4. Powers of Sines
The derivative-matching approach can be applied also to trigonometric polynomials []. One has
with
where are the central factorial numbers of the first kind defined by the equation (a closed formula is not available [])
The expansion is certainly interesting, the use of trigonometric power formulas allows one to transform (9) into a formal Fourier series on , yet not constructed by scalar products but upon “Taylor’s” principles. The authors of [] study in detail the convergence properties of this series and also claim that such an expansion may be useful, e.g., in the theory of trigonometric asymptotic expansions. The approximation (9) is triangular and represents a special case of a larger group of approximations, which we address in Section 4.1.2.
3.2. Matching Weighted Integrals
A large family of approximations is based on integrals where the integrand is the product of the approximated function and a function which belongs to some predefined (usually infinite) function set
Most of these approximations are formally interpreted in terms of a vector space of functions where the integral defines the scalar product and V represents a complete orthonormal basis. There are exceptions, e.g., such an interpretation is not adopted for the moment problem, yet the (raw) moments are also computed as weighted function integrals.
The vector-space-based approximations are numerous and extend to more dimensions (e.g., the spherical harmonics ) with many different bases, thus the following examples should be understood as basic illustrative examples for this group of approximations. The orthonormality of the basis corresponds to the delta property of the approximation.
3.2.1. Fourier Series and Generalized Fourier Series
Let us in parallel present the two most common “vector-space” approximations, the Fourier series () and the Legendre–Fourier series (), defined on their usual intervals and , respectively. One has
where are the Legendre polynomials. Both approximations are delta approximations based on linear functionals and delta functions. The relation to characteristic numbers stands
This approach generalizes to other expansions, such as the Fourier–Bessel series, series of spherical harmonics (Laplace series), Schlömilch’s series, etc. Since represents a complete basis of a normed vector space, the series convergence in the norm () implies an almost everywhere pointwise convergence.
The Fourier series and its generalizations are very useful in many different areas of mathematics and physics, among the most important are the frequency analysis or solution techniques for differential equations. The approximation by Fourier series is limited to periodic functions.
3.2.2. Moments
The raw moments are defined by
We conjecture that the delta functions cannot be constructed and prove it for stronger assumptions hereunder. The construction of the approximation from the characteristic numbers (i.e., the raw moments) is a well-known moment problem []. The approach we present is, however, more general (than the classical moment problem) since, in the latter, one usually assumes f to be positive (often interpreted as a measure, a probability function, or a mass distribution), which we do not do here. Depending on the interval, the moment problem is labeled as Hamburger (), Stieltjes (), or Hausdorff (both a and b are finite). For illustration purposes, we choose the latter and (without loss of generality, a complete system of orthogonal functions on can be scaled to arbitrary interval by linearly scaling the argument of the functions) assume , (and a general, possibly negative f). In this context, we prove
Proposition 1.
The set cannot be constructed from continuous functions expressible as Fourier–Legendre series.
Proof.
We proceed by contradiction and assume the existence of such for all
where is an orthonormal basis ( being the Legendre polynomials), the brackets denote the generalized form of the binomial coefficient, and we use (after writing as polynomial) the assumed delta property of . Let us investigate the value of at for some even . One has
Re-writing an individual sum element in terms of factorials (using the factorial expressions for ), one can study the large-j behavior ()
The limit is easily determined by taking the logarithm and using the Stirling’s approximation of the factorial
Thus, is (at zero and at least for some n) either not defined (i.e., continuous) or not expressible as a Fourier–Legendre series. Both cases contradict the assumptions. □
Continuous partial delta functions can be found by assuming (for example) a polynomial form and by solving Equation (6), or by combining the Legendre polynomials in an appropriate way so that the partial-delta behavior is obtained (as demonstrated in the next paragraph). Numerical results suggest that the expressions for diverge almost everywhere on (if constructed as polynomials of a minimal degree, the partial delta functions become with increasing N more and more oscillatory with an importantly rising amplitude).
The moment-matching problem can be solved using a triangular approximation; one example of such is represented by the Fourier–Legendre series [,,]. The Legendre polynomials obey the triangular property (4)
and any partial approximation of f of the order N matches its first moments. Indeed, if f is expanded on into
then the mth moment of the latter () is given by
where we used the completeness property
for the left term in the square brackets and the property (12) for the right one (we assume f such that the order of integrals and summation can be changed and the integration over is performed first). In the expansion (13), the coefficients can be directly related to the (known) polynomial coefficients of and moments of f
with
Furthermore, by choosing , one can construct partial delta functions
Numerical computations suggest (Figure 2) that the Legendre–Fourier series of many common functions converge to the function also outside the interval, which would be a distinctive feature from the standard Fourier series. This observations needs to be supported by rigorous arguments.

Figure 2.
Examples of Legendre–Fourier expansions interpreted as triangular moment-matching approximations shown on an interval larger than .
The notion of the moment can be generalized; the generalization is often constructed as an integral where the power of x is replaced by an orthogonal polynomial (for an overview, see []). The importance of the moment expansion is derived from the importance of the moments themselves: they are widely used in probability theory, statistics, physics, and many other fields too.
3.2.3. Higher Integrals
With the Taylor series being one of the most popular expansions, one can ask whether a similar approximation based on higher-order integrals (and not higher-order derivatives) could be constructed. However, because of the integration constant freedom, the value of an anti-derivative is not fixed. One can overcome this by setting its value in some arbitrary way. For our purposes, we define
Even though new at the first sight (and maybe appropriate rather for Section 4), this approximation can be related to the moment-matching problem by the means of the Cauchy repeated-integral formula. One has
By subsequent substitutions , , and , we arrive to
One can define () and interpret the latter as moments computed on the interval . The construction of all objects (approximations, delta functions) on this interval is fully analogous to , only the set of orthogonal polynomials is now represented by the shifted Legendre polynomials and expressions (14) and (15) are modified
By building a moment-matching approximation of h, a higher-integral approximation of f can be constructed
One may notice that, unlike for the Taylor polynomials, the rules (17) do not fix the function value at (are not applied at the zeroth order ). Indeed, the moments fully determine the function h (not only its shape but also its normalization) and thus f.
3.3. Matching Integrals of Higher-Order Derivatives
An approximation can be constructed upon functionals
Bernoulli Polynomial Series
Choosing this time and , one can find an approximation constructed as a series with multiplicative coefficients based on delta functions
where are the Bernoulli polynomials. The matching is performed by setting
A peculiar situation happens for , where one needs to compute an integral. However the coefficient corresponds only to a global shift (up/down) of , because is just a constant. Thus, the integration can be avoided: one can build the expansion for all and then adjust the normalization by matching the value at some point
Ignoring the latter complication, the expansion has a lot of beauty since it is almost as easy to build as the Taylor series, one only needs to know the derivatives at two points instead of one. Despite the simplicity, it seems not to be known very well, although appearing in the literature at several places [,,]. One can consult the latter reference to address the convergence questions. Some problems regarding the convergence can be easily seen when realizing how the delta functions are constructed. One can formally introduce a function satisfying
By integration, one defines functions , , and by a careful choice of integration constants, one can fulfill the delta property . A natural choice leads to the Bernoulli polynomials. However, there are other functions, such as, for example, , which also fulfill (18) and which would lead, performing the integration, to different delta functions. Thus, one cannot expect the Bernoulli-polynomial-based expansion to converge for on .
The approximation can be scaled to an arbitrary finite interval by scaling the argument
A natural question rises about the behavior of for .
Proposition 2.
For an analytic function f, the partial approximation becomes in the limit its Taylor polynomial.
Proof.
Using the notation , straightforward computations yield
Writing and using the notation , one has
where explicit formulas for the Bernoulli polynomials were used with denoting the Bernoulli numbers. Re-arranging the sums, one arrives to
One can study an individual term in front of the powers of in the limit . In this limit, the dominant term is the one where . Thus, we have
leading to
which corresponds to the Taylor polynomial. □
Assuming the re-arrangement of the sums (19) is justified for , the whole proof is valid for a full approximation and the Taylor series. Also, the analyticity condition can be presumably relaxed if the error in the small parameter expansion of is treated carefully. Numerical observations indicate a rich set of interesting properties which await to be addressed rigorously:
- Functions such as do not have (as expected) a convergent approximation for . However, if the length of the interval differs only slightly from (a multiple of) , the approximation seems to converge.
- Numerical computations suggest that for many common functions the approximation fails to converge once the interval length goes over some limit. For approximated on a symmetric interval , the convergence seems to be lost for .
- The quality of partial approximations may increase with increasing N up to some and decrease (become divergent) afterwards. Such behavior is observed for approximated on , where the best-quality partial approximation is realized for and .
3.4. Value Matching
Approximations (often partial) meant to match function values
where is a predefined set of numbers, are usually referred to as interpolations and represent a very large topic covered by many resources. Hence, we present only the most popular ones, among them the Lagrange form of the interpolation polynomial. It is a delta approximation
where the delta property is reached by the creation of zeros in the numerator for all except . The denominator then guarantees a correct normalization . The Newton form of the interpolation polynomial is a modification of the previous and provides a triangular approximation
for which the individual terms of the sum are defined also in the limit , the coefficients are divided differences. The idea of creating zeros can be generalized and an approximation built using an arbitrary function such that
For , this leads to a trigonometric interpolation (of a non-minimal degree) and Fourier series.
Several other approximations can be found on the market, usually less popular (e.g., the Whittaker–Shannon interpolation formula, which we address in Section 4.3 or []). Nevertheless a number of theoretical results have been derived in this domain, most of them related to the existence of an entire function (in the complex plane) with the interpolation property. One can mention, e.g., the Nevanlinna–Pick problem [] or the Weierstrass factorization theorem (which turns f into an infinite product).
This kind of approximations can be useful for functions which are easy to evaluate on some countable set of their arguments, thus providing a way to approximate them elsewhere. The structure of this set is usually specified by the method itself (e.g., equidistant points for the Whittaker–Shannon formula) and cannot be later changed to suit the function.
3.5. Positive Linear Operators
The Weierstrass approximation theorem [] states that, considering the supremum norm, all continuous functions which have as domain a closed and bounded interval I can be on this interval uniformly approximated by polynomials to arbitrary precision. A constructive proof on is based on the sequence of Bernstein polynomials
which provide such an approximation when n increases. One notices that the operator is linear and positive (). The Bohman–Korovkin theorem [,] then provides very weak assumptions for such operators to be uniformly convergent: if a sequence of positive linear operators uniformly converges on I for three cases and , then it converges uniformly for any continuous function. This facilitated construction of various operators similar to the Bernstein one, and numerous results can be cited [,,,,,,,,].
The construction (20) and similar do not fit our interpretation, which is based on matching the characteristic numbers, at least such interpretation is not obvious. Even if by some clever considerations one finds functionals satisfying
then its meaning would be unclear, unnatural. We are therefore aware that our approach has some limitations; nevertheless, it still retains a very general character.
4. New Examples
4.1. Matching Derivatives
In this sub-section, we present new approximations based on the derivative matching
We propose three expansions exploiting a similar idea, which is to build a series with multiplicative coefficients where, by construction, the coefficients enter into the game progressively when higher-order derivatives are performed (i.e., the approximations are triangular). The fourth example is somewhat different, it deals with a partial delta approximation.
4.1.1. Expansion into
An approximation of the form
is triangular because, following the product and chain differentiation rules, the term becomes non-zero only after n differentiations. To make a connection between power-expansion coefficients of f, and those of g, , let us assume that both functions are analytic. Then, the Cauchy product of and on the right-hand side of (21) yields
where the expression in the square brackets corresponds to a lower triangular Toeplitz matrix
To invert the matrix, a recursive formula based on generalized Fibonacci polynomials is available []. The coefficients in (21) are expressed in terms of and as follows
The expansion can be shifted to an arbitrary point by shifting its argument. One also notes that the expansion is equivalent to building the Taylor series for , its novelty lies in finding the relation between the coefficients and the derivatives of f (and not those of h). In order to provide an example without recurrent relations we chose and prove
Proposition 3.
A smooth function fcan be approximated at by
with
where is the floor function, % represents the modulo operation, and the generalized exponentiation allows (otherwise undefined) expansion for cases .
Proof.
One has
which leads to
Using a substitution with the subsequent definition , the latter sum becomes
The proof uses the standard exponentiation, the validity of the generalized exponentiation can be for easily checked. □
Using the general Leibniz rule, we differentiate (22) m times
The first factor becomes
where we are interested in the absolute term, which determines the derivative at zero. The second factor can be deduced from the repeated differentiation of the corresponding power expansion. One has
Combining the two results, one arrives at
which gives derivatives as a function of the coefficients . Using the matrix language (and defining for ), the dependence of coefficients on derivatives is provided by . One has
with . The (infinite) matrices D and are lower triangular, thus . For , the computation is straightforward (, )
A non-trivial computation arises for
The delta functions in (24) and (25) imply D and are block matrices with sub-matrices which are diagonal. The and sets so split into q subsets, which transform independently and are characterized by the value of . One can write
and analyze for
The special case corresponds to the Taylor series. The convergence properties can be derived from the criteria used for the Taylor series applied to the coefficients. Indeed, the exponential is an entire function in the whole complex plane and thus its power series converges absolutely at each complex point. Therefore, for a given x, the expression (22) can be interpreted as a multiplication of two sequences, one of which is absolutely convergent. Then, by the Mertens’ convergence theorem, the convergence of implies the convergence of the whole expression, which converges to the product of the two series.
The proposed expansion may be interesting for several reasons. If one chooses, for example, an even and negative w, then each partial approximation approaches zero as and has a finite integral over (unlike, e.g., the Taylor polynomials). Also, the structure as in (22) is very often to be seen in physics and mathematics, e.g., the radial parts of wave functions for commonly studied spherical potentials take in many cases this form. Example approximations using (22) are shown in Figure 3.

Figure 3.
Approximating and by expression (22) with 11 terms, and .
4.1.2. Expansion into
The next derivative-matching expansion we propose
uses a function g which is for small similar to , (and thus invertible on some neighborhood of zero). It is a triangular approximation because, following the product and chain differentiation rules, the term becomes non-zero only after n differentiations. We encountered an example of this type in Section 3.1.4 which represents a special case with . Assuming the analyticity of and its convergence to f, , one can introduce the substitution (idea of Lukáš Holka)
Thus, can be obtained as the Taylor series coefficients of
The complicated structure of higher-order derivatives of (28) makes an approach based on a general function g impractical and one rather searches for feasible special cases.
Proposition 4.
One presumably new special case is represented by
with
where are the Stirling numbers of the second kind and denotes the generalized exponentiation as introduced earlier.
Proof.
The Faà di Bruno’s formula can be written in terms of the power series of the composed function
where are the Bell polynomials. We have , thus
which leads to (28)
The generalized exponentiation is used to define the case , thus obtaining for all
□
The existence of various formulas involving the Bell polynomials, e.g., (here denotes the unsigned Stirling numbers of the first kind)
implies the feasibility of the expansion (27) for those functions whose higher derivatives appear as arguments in these special cases. Choosing, for example, , one has , of which the derivatives (at zero) appear in the first of the three formulas. In such a scenario, . In the second of the three formulas, the factorials are just shifted, thus leading to , , and . Such an expansion
is actually an interesting one, because it is a rational approximation of the function f. It does not fit the definition of the Padé approximant, since it is not of a minimal degree, yet it shares many common features with the latter and in its terminology it would be labeled as diagonal (numerator has the same degree as the denominator). It has obvious advantages: the derivative matching is easy, performed order by order with the persistence of coefficients and, in addition, the limit in Formula (32) represents a natural way of constructing a full approximation. It has also one unpleasant feature: it has a single singularity situated on the real axis always at . One cannot produce more singularities, yet one can arbitrarily shift the singularity by scaling the argument: for the singularity to be situated at , one builds an approximation with characteristic numbers which has singularity at . Then, an approximation of f having the singularity at can be written as .
The arguments of the Bell polynomial in the last line of (31) correspond to the derivatives of , which are invertible on . The corresponding expansion is thus built as a power series of the principal branch of the Lambert W function and is defined on .
Several other special cases of Belle polynomial arguments are known in the literature for which a closed formula exist [,,,]. These may be used to construct more approximations of the type (27).
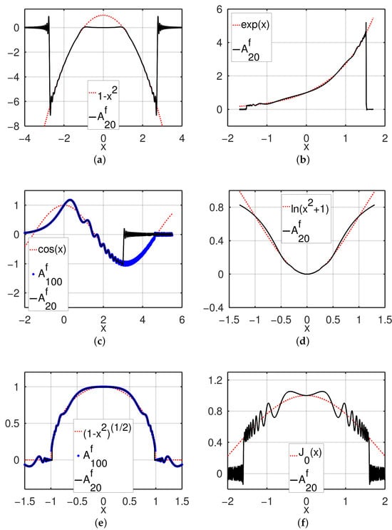
The convergence properties of (29) and (32) remain an open question. On a computer, expressions of type (27) can be evaluated using a Horner’s scheme-like approach to increase efficiency. Examples of the two approximations are shown in Figure 4 and Figure 5, respectively.

Figure 4.
Illustrative examples of approximations based on powers of with 11 terms.

Figure 5.
Illustrative examples of approximations based on powers of with 11 terms.
4.1.3. Expansion into
An expansion of the form
is a triangular approximation, which follows from the chain and product differentiation rules. The exception to the “triangular” behavior is the function value for cases, which requires a dedicated treatment. Writing
one can set by hand
where the derivative (but not value) matching approximation can be easily constructed (as explained hereunder), since, for derivatives (), the triangular property holds. Having dealt with the issue, we assume from now on a more elegant version of the expansion with . Then, , and one has
Independently on the value, we are now interested in the derivative matching procedure for . Assuming the analyticity of g in the neighborhood of zero
we proceed with explicit calculations by regrouping the terms by powers of x, as expressed in the following table.
⋯ | |||||||
0 | 0 | 0 | ⋯ | ||||
0 | 0 | 0 | 0 | ⋯ | |||
0 | 0 | 0 | 0 | 0 | ⋯ | ||
⋮ | ⋮ | ⋮ | ⋮ | ⋮ | ⋮ | ⋮ | ⋱ |
The factors of terms are arranged in columns, rows contain contributions from individual summands of . By plugging different powers of x (shown in different rows) into the argument of g, one observes different spacing between non-zero terms. There are no zeros in the first row, in the second row the terms are separated by one zero, in the next row the spacing is two, and so on. It is a version of the sieve of Eratosthenes, where the monomial is multiplied by all such where i or j divides n with . This is written
Assuming also the analyticity of f
and the convergence of the approximation , one can compare the coefficients and write
Considering and as fixed, we are interested in finding the inverse relation which allows us to express as their function. The solution is known to be the inverse with respect to the Dirichlet convolution, the latter being defined on two arithmetic functions (or sequences) as
The definition of the inverse (denoted by ) stands
where the existence of requires the assumption . With , it implies . Thus, we know how to construct the expansion coefficients in (34)
i.e., the expansion coefficients of involve the Dirichlet inverse of the power-expansion coefficients of g (and vice versa). Each pair of such sequences can be used to construct two different approximation forms. One of them uses to define g (i.e., ) and to define , the other does the opposite. Looking in the literature for known examples of Dirichlet inverses, we propose two of them.
- Sequences and where denotes the Möbius function. One then obtains the two following expansions
- Sequences
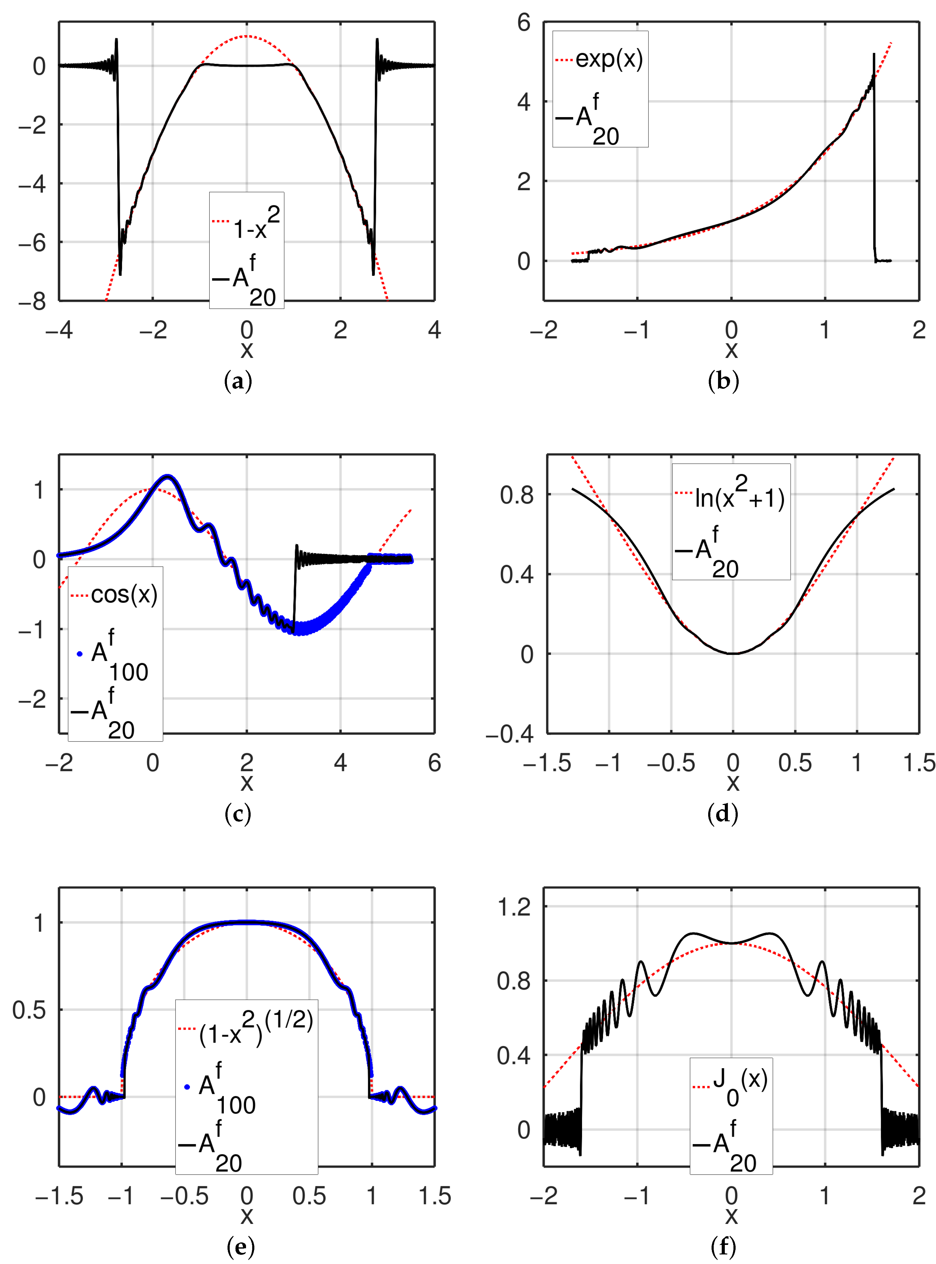
In all cases, the obvious relation to the characteristic numbers is . The shape of the function and approximations of the exponential and sine functions with Formulas (35), (37) and (38) are shown in Figure 6.

Figure 6.
Ordinary generating function of the Möbius function in sub-figure (a) and approximations of and by with , and in sub-figures (b), (c) and (d), respectively.
The expressions (37) and (38) represent presumably new rational expansions which have singularities situated on the unit circle in the complex plane. The positions of the singularities of (37) correspond to all roots of unity and thus the expression in general diverges for (unless all with even n are zero, in which case it may converge for ). The singularities of (38) are given by even roots of , implying the individual summands being well defined for . One can modify the radius of the circle on which the singularities are situated by substitution, and the procedure is identical to the one described in Section 4.1.2. The domain of convergence remains an open question, and various elementary functions numerical computations suggest the interval .
4.1.4. Decomposed Exponential
Another derivative-matching approximation can be constructed by considering functions which form a closed ring when differentiated
where N is fixed. If should play the role of approximation building blocks, their mutual linear independence is suitable. This is, however, not automatically satisfied (consider the function and the corresponding derivative ring), yet, from the theory of linear differential equations, we know the equation
allows for N independent solutions. In search of them, one can use the fact that the derivative ring as whole (i.e., summed) is derivative-invariant and thus has to be proportional to the exponential function
from where the idea to decompose and re-arrange the power expansion of the latter
Convergence properties of this definition are easy to asses: on the positive real axis, all dex function expansions take the form of a sum of positive numbers majorated by the exponential and thus necessarily convergent. Since the convergence domain is a disk around the expansion point, all functions converge in the whole complex plane.
One recovers some known functions
The dex functions have an important property: only the first in the series is non-zero at zero, all others take by definition a zero value. Because of the ring property (each member becomes its neighbor when differentiated), the differentiation makes the only non-zero member shift along the ring. Thus, considering the value and first derivatives of a function, an approximation can be easily constructed as
The formula can be of course shifted to an arbitrary point by shifting the argument. The expression (39) is to be used as a partial approximation, it suits situations where the number of derivatives to match is fixed and given in advance because going to a higher approximation order means using a different set of the dex functions. The derivatives of (39) are by construction cyclic with period N. The convergence to the expanded function can be studied in the limit , where, as a special case, one obtains the Taylor series whose convergence properties are well understood.
As a curiosity, one can define a function (see Figure 7)
where the summation is performed in the first index. It is a realization of the sieve of Eratosthenes, one has

Figure 7.
function with its derivatives (see the text).
4.2. Non-Linear Approximation Example
A simple example of a non-linear delta approximation can be constructed by matching derivatives of a function f transformed by a different function
We choose by purpose to be non-linear so as to imply the non-linearity of the whole functional. The function f is assumed to be strictly monotonic on and invertible on its codomain. The approximation is then constructed as
The construction is indeed almost trivial, yet it provides us with a valid example of a non-linear functional. Clearly, the convergence properties depend on the convergence behavior of the power expansion, which can be analyzed using standard tools known from the Taylor series. This expansion might be of some interest: setting by hand , one has , and so, progressively changing (in some way) the coefficients leads to a progressive change in the function form from to (assuming the convergence of to f)
This can be used in a model comparison: if, in some area of science, an established model predicting the behavior is to be improved by a more precise model, it might be natural to express the prediction of the new model in the form , so that the deviations of coefficients from zero (from one for ) encode the deviation of the new model from the old one.

Figure 8.
Illustrative examples of the non-linear approximation (40) with 11 terms.
4.3. Variations on Whittaker–Shannon Formula
The Whittaker–Shannon (WS) formula
where denotes the Fourier transform, assumed continuous on , can be generalized to yield various interpolations and integral-matching approximations (these can be interpreted as interpolations of the primitive function). Such approximations share the argument-scaling feature, i.e., the function is evaluated at different points (or the integral is computed in different limits). In this section, we generalize the WS formula to allow for various point distributions, including, for example, distributions on finite intervals concentrated around limit points. We believe this is interesting because the generalization we propose significantly increases the number of use cases (i.e., point configurations). We do not study the effect of the generalization on convergence properties; with this respect, we present only numerical observations.
In full generality, one can consider a ratio
where for an infinite set of distinct real numbers , the following is true
The lower index in appears for generality reasons but does not represent a key idea of the construction. A modified version of the above formula
may be more appealing for its simplicity (denoted later on without any index). It is straightforward to see that the approximation property holds
because the individual terms in (41) represent delta functions
from which a delta approximation is built. There are not many candidates for when searching among elementary or commonly used functions: one naturally considers the trigonometric functions, eventually also the Bessel functions, and their modifications.
We propose the function form
where we use ≐ to denote the limit when , is an argument-scaling function invertible on some non-zero interval I, , and is a normalization factor. The latter is important mainly in the neighborhood of limit points, e.g., the function behaves chaotically in the proximity of zero, while behaves more nicely, and this has an impact also on the corresponding sums. As illustrations, we provide the following examples
- (a)
- (b)
- We approximate using , , , , . The approximation is shown in Figure 9b.
- (c)
- (d)
- We approximate using , , , , . For to be well defined, the term is excluded from the sum. The approximation is shown in Figure 9d.
- (e)
- We approximate using , , , , . The approximation is shown in Figure 9e.
- (f)
- We approximate using , , , , where is the Bessel function, sgn is the sign function, W is the principal branch of the Lambert W function, and the expression for is not shown (because of its complexity). The approximation is depicted in Figure 9f.

Figure 9.
Approximations based on a modified WS formula (for details, see the text). The individual sub-figures (a–f) correspond to various cases labeled with identical letters on the page 26.
The general observations for the studied cases are
- Functions seem to converge (not necessarily to f) and thus approximate f at least to some extent. In the case (a), the missing interpolation point situated in between other points causes the approximation to deviate importantly in its proximity.
- It is difficult to assert about the convergence . The cases (c) and (e) suggest that (for some functions) a higher approximation order does not improve the convergence. Increasing N, however, extends the range and thus enlarges the interval on which provides some (at least rough) approximation of f.
- In situations where points concentrate on the edges of the interval, a Gibbs-like phenomenon is observed there.
For integral matching, the set of characteristic numbers is given by
One first needs to choose appropriate building blocs (for example, for and ) for the interpolation function so as to satisfy
and thus ensure
Interpreting as the primitive function
the integral matching approximation of f is written as
The fact that the differentiation often generates oscillation [] seems to be a drawback of this method. The latter suggests that maybe an opposite procedure should be performed: differentiate f several times, interpolate the resulting higher-order derivative, and then apply (to the approximation) a repeated integration, which is known to have (in general) a smoothing effect.
5. Summary, Conclusions, Outlook
The text interprets function approximation in a very general framework of matching the characteristic numbers given by a (possibly non-linear) functional action on the approximated function. A large number of existing approximations fit into this construction, and we reviewed some of them. Further, we proposed several new expansions mostly exploiting the Taylor-like derivative-matching approach, but we also numerically investigated some extensions of the Whittaker–Shannon interpolation formula.
Maybe the most interesting results are the three presumably new rational expansions (32), (37) and (38), which posses interesting properties, such as an efficient evaluation on a computer and an integrability within elementary functions or coefficients which can be easily calculated order by order (unlike for the Padé approximant). In addition, with the differentiation being linear, one can consider an approximation by linearly combining them. Unfortunately, one cannot fully control the positions of singularities since these are given by construction.
The text also opens the possibility to further investigate new approximations by focusing on other special cases of the Bell polynomial arguments (Section 4.1.2) or other pairs of mutually Dirichlet-inverse arithmetic functions (Section 4.1.3).
We did not provide detailed motivations to all new expansions. Yet, several of them are constructed using a general function g, and thus our results represent a large family of possible approximations. A number of them can be well suited for some specific purposes the author may not be aware of, yet we have many examples of mathematical methods whose usefulness was seen only after their development.
In the present article, we focused almost entirely on the approximation property as we understand it and did not make conclusions concerning the convergence, unless such conclusions could be simply related to known cases (the Taylor series). The convergence issues being usually technically difficult, the text can be understood as a starting point for studying them (for the various new expansions we proposed) in the future.
Funding
The work was supported by VEGA grant No. 2/0105/21.
Data Availability Statement
The original contributions presented in the study are included in the article, further inquiries can be directed to the author.
Conflicts of Interest
The authors declare no conflicts of interest.
References
- Widder, D.V. A Generalization of Taylor’s Series. Trans. Am. Math. Soc. 1928, 30, 126–154. [Google Scholar]
- Davis, P.J. Interpolation and Approximation; Dover Books on Mathematics; Dover Publications: Mineola, NY, USA, 1975. [Google Scholar]
- Masjed-Jamei, M. On constructing new interpolation formulas using linear operators and an operator type of quadrature rules. J. Comput. Appl. Math. 2008, 216, 307–318. [Google Scholar] [CrossRef][Green Version]
- Masjed-Jamei, M. On constructing new expansions of functions using linear operators. J. Comput. Appl. Math. 2010, 234, 365–374. [Google Scholar] [CrossRef][Green Version]
- Masjed-Jamei, M.; Moalemi, Z.; Area, I.; Nieto, J. A new type of Taylor series expansion. J. Inequal. Appl. 2018, 2018, 116. [Google Scholar] [CrossRef] [PubMed]
- DeVore, R.A. Nonlinear approximation. Acta Numer. 1998, 7, 51–150. [Google Scholar] [CrossRef]
- Weierstrass, K. On the analytic representability of so called arbitrary functions of a real variable. In Meeting Reports of the Royal Prussian Academy of Sciences in Berlin; Royal Prussian Academy of Sciences: Berlin, Germany, 1885; pp. 633–640+789–806. [Google Scholar]
- Neumann, C.G. Die Theorie der Besselschen Funktionen; B.G. Teubner Verlag: Leipzig, Germany, 1867. [Google Scholar]
- Watson, G. Treatise on the Theory of Bessel Functions; Cambridge University Press: Cambridge, UK, 1922. [Google Scholar]
- Kravchenko, V.V.; Torba, S.M.; Castillo-Pérez, R. A Neumann series of Bessel functions representation for solutions of perturbed Bessel equations. Appl. Anal. 2018, 97, 677–704. [Google Scholar] [CrossRef]
- Kravchenko, V.V.; Navarro, L.J.; Torba, S.M. Representation of solutions to the one-dimensional Schrödinger equation in terms of Neumann series of Bessel functions. Appl. Math. Comput. 2017, 314, 173–192. [Google Scholar] [CrossRef]
- Baker, G.A., Jr.; Graves-Morris, P. Padé Approximants: Encyclopedia of Mathematics and It’s Applications; Cambridge University Press: Cambridge, UK, 1996; Volume 59. [Google Scholar]
- Yamada, H.S.; Ikeda, K.S. A Numerical Test of Padé Approximation for Some Functions with singularity. arXiv 2013, arXiv:1308.4453. [Google Scholar] [CrossRef]
- Aptekarev, A.I.; Yattselev, M.L. Padé approximants for functions with branch points—Strong asymptotics of Nuttall-Stahl polynomials. Acta Math. 2015, 215, 217–280. [Google Scholar] [CrossRef]
- Butzer, P.L.; Schmidt, K.; Stark, E.L.; Vogt, L. Central factorial numbers; their main properties and some applications. Numer. Funct. Anal. Optim. 1989, 10, 419–488. [Google Scholar] [CrossRef]
- Qi, F.; Wu, G.S.; Guo, B.N. An Alternative Proof of a Closed Formula for Central Factorial Numbers of the Second Kind. Turk. J. Anal. Number Theory 2019, 7, 56–58. [Google Scholar] [CrossRef]
- Schmüdgen, K. The Moment Problem; Graduate Texts in Mathematics, 277; Springer International: Cham, Switzerland, 2017. [Google Scholar]
- Askey, R.; Schoenberg, I.J.; Sharma, A. Hausdorff’s moment problem and expansions in Legendre polynomials. J. Math. Anal. Appl. 1982, 86, 237–245. [Google Scholar] [CrossRef]
- Talenti, G. Recovering a function from a finite number of moments. Inverse Probl. 1987, 3, 501–517. [Google Scholar] [CrossRef]
- Savchenko, A.O. Matrix of moments of the Legendre polynomials and its application to problems of electrostatics. Comput. Math. Math. Phys. 2017, 57, 175–187. [Google Scholar] [CrossRef]
- Kaur, P.; Pannu, H.S.; Malhi, A.K. Comprehensive Study of Continuous Orthogonal Moments—A Systematic Review. ACM Comput. Surv. 2019, 52, 67. [Google Scholar] [CrossRef]
- Krylov, V.I. Approximate Calculation of Integrals; Macmillan: New York, NY, USA, 1962. [Google Scholar]
- Jordan, C. Calculus of Finite Differences; Chelsea: New York, NY, USA, 1965. [Google Scholar]
- Mordell, L.J. Expansion of a function in a series of Bernoulli polynomials, and some other polynomials. J. Math. Anal. Appl. 1966, 15, 132–140. [Google Scholar] [CrossRef]
- Masjed-Jamei, M.; Milovanović, G.V.; Moalemi, Z. A generalization of divided differences and applications. Filomat 2019, 33, 193–210. [Google Scholar] [CrossRef]
- Pick, G. Über die Beschränkungen analytischer Funktionen, welche durch vorgegebene Funktionswerte bewirkt werden. Math. Ann. 1915, 77, 7–23. [Google Scholar] [CrossRef]
- Bohman, H. On approximation of continuous and of analytic functions. Ark. Mat. 1952, 2, 43–56. [Google Scholar] [CrossRef]
- Korovkin, P.P. On convergence of linear positive operators in the space of continuous functions (Russian). Dokl. Akad. Nauk SSSR 1953, 90, 961. [Google Scholar]
- Fejér, L. Untersuchungen über Fouriersche Reihen. Math. Ann. 1903, 58, 51–69. [Google Scholar] [CrossRef]
- de la Vallée Poussin, C. Sur la meilleure approximation des fonctions d’une variable réelle par des expressions d’ordre donné. C. R. Acad. Sci. Paris 1918, 166, 799–802. [Google Scholar]
- Jackson, D. The Theory of Approximation; Colloquium Publications; The American Mathematical Society: New York, NY, USA, 1930. [Google Scholar]
- Kantorovich, L.V. Sur certains développements suivant les polynômes de la forme de S. Bernstein, I, II. C. R. Acad. URSS 1930, 20, 563–595. [Google Scholar]
- Gupta, V.; Tachev, G.; Acu, A.M. Modified Kantorovich operators with better approximation properties. Numer. Algorithms 2019, 81, 125–149. [Google Scholar] [CrossRef]
- Govil, N.K.; Gupta, V.; Soybaş, D. Certain new classes of Durrmeyer type operators. Appl. Math. Comput. 2013, 225, 195–203. [Google Scholar] [CrossRef]
- Paltanea, R. Approximation Theory Using Positive Linear Operators, 1st ed.; Birkhäuser Boston: Boston, MA, USA, 2004. [Google Scholar]
- Gupta, V.; Tachev, G. Approximation with Positive Linear Operators and Linear Combinations; Developments in Mathematics; Springer: Cham, Switzerland, 2017; Volume 50. [Google Scholar]
- Sharma, P. Some Aspects of Approximation Theory Based on Various Positive Linear Operators; Eliva Press: Chişinău, Moldova, 2023. [Google Scholar]
- Sahin, A. Inverse and factorization of triangular Toeplitz matrices. Miskolc Math. Notes 2018, 19, 527. [Google Scholar] [CrossRef]
- Qi, F.; Niu, D.W.; Lim, D.; Yao, Y.H. Special values of the Bell polynomials of the second kind for some sequences and functions. J. Math. Anal. Appl. 2020, 491, 124382. [Google Scholar] [CrossRef]
- Qi, F.; Guo, B.N. Explicit Formulas for Special Values of the Bell Polynomials of the Second Kind and for the Euler Numbers and Polynomials. Mediterr. J. Math. 2017, 14. [Google Scholar] [CrossRef]
- Wang, W.; Wang, T. General identities on Bell polynomials. Comput. Math. Appl. 2009, 58, 104–118. [Google Scholar] [CrossRef]
- Howard, F.T. A special class of Bell polynomials. Math. Comput. 1980, 35, 977–989. [Google Scholar] [CrossRef]
- Nemes, G. Dirichlet Inverse for {1, 0, −1, 0, 1, 0, −1, 0, 1, 0, −1, 0, …}. 2021. Posted as User “Gary”. Available online: https://math.stackexchange.com/questions/4306673/dirichlet-inverse-for-left-1-0-1-0-1-0-1-0-1-0-1-0-ldots-right (accessed on 16 November 2021).
- Berry, M.V. Universal oscillations of high derivatives. Proc. R. Soc. A Math. Phys. Eng. Sci. 2005, 461, 1735–1751. [Google Scholar] [CrossRef]
Disclaimer/Publisher’s Note: The statements, opinions and data contained in all publications are solely those of the individual author(s) and contributor(s) and not of MDPI and/or the editor(s). MDPI and/or the editor(s) disclaim responsibility for any injury to people or property resulting from any ideas, methods, instructions or products referred to in the content. |
© 2024 by the author. Licensee MDPI, Basel, Switzerland. This article is an open access article distributed under the terms and conditions of the Creative Commons Attribution (CC BY) license (https://creativecommons.org/licenses/by/4.0/).