DBN-MACTraj: Dynamic Bayesian Networks for Predicting Combinations of Long-Term Trajectories with Likelihood for Multiple Agents
Abstract
1. Introduction
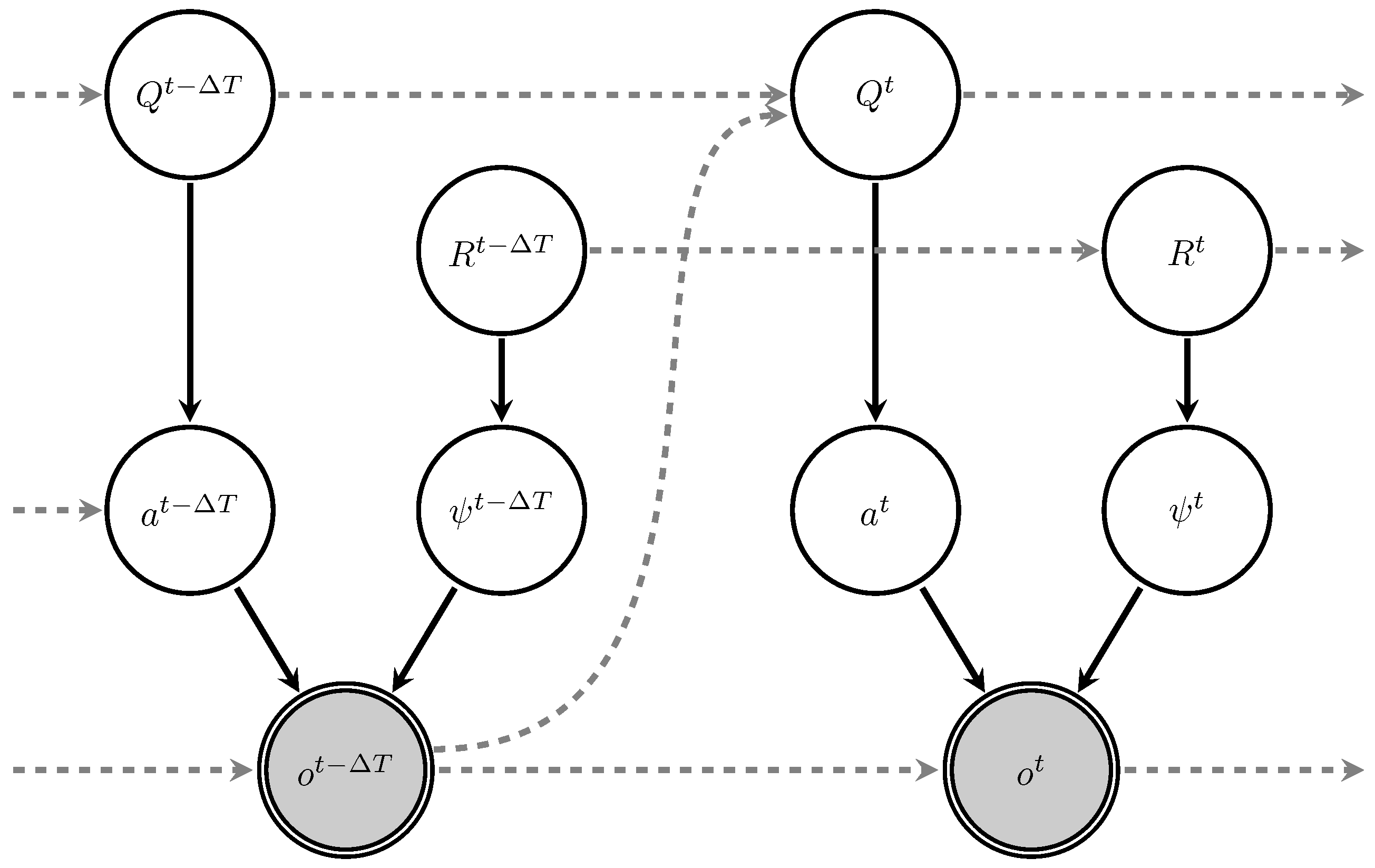
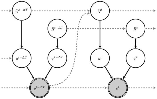
2. Methods
2.1. Overview
2.2. Single-Agent Probabilistic Model
2.2.1. Dynamic Bayesian Network
2.2.2. Lane Correction Model
2.3. Multi-Agent Risk-Averse Sampling
3. Results
- Physics Oracle [16] is a method based on physics principles. For comparison, the chosen result is the best prediction from four different approaches: (i) constant velocity and yaw, (ii) constant velocity and yaw rate, (iii) constant acceleration and yaw, and (iv) constant acceleration and yaw rate.
- CoverNet [16] utilizes a fixed set of trajectories to reformulate the trajectory prediction problem as a classification problem.
- MTP [17] utilizes rasterized images as input, which enhances the accuracy of predictions.
- Trajectron++ [18] is a graph recurrent neural network model that incorporates the dynamics and semantics of the agents involved.
- ALAN [19] uses the lane as a reference point for predicting agent trajectories.
4. Discussion
- The orange trajectory indicates the five most probable pathways predicted by DBN-MACTraj.
- The orange star marks the endpoint of this predicted trajectory.
- The green trajectory represents the true future path.
- The green star denotes the endpoint of the actual trajectory.
- The blue blocks symbolize surrounding obstacles, typically other agents.
- The red block signifies the location of the main agent.
4.1. Understanding the Risk Potential Field
4.2. Case Studies
4.2.1. Light Traffic on a Straight Lane
4.2.2. Heavy Traffic on a Straight Lane
4.2.3. Intersection
5. Conclusions
Author Contributions
Funding
Data Availability Statement
Conflicts of Interest
References
- Lefèvre, S.; Vasquez, D.; Laugier, C. A survey on motion prediction and risk assessment for intelligent vehicles. ROBOMECH J. 2014, 1, 1–14. [Google Scholar] [CrossRef]
- Huang, Y.; Du, J.; Yang, Z.; Zhou, Z.; Zhang, L.; Chen, H. A Survey on Trajectory-Prediction Methods for Autonomous Driving. IEEE Trans. Intell. Veh. 2022, 7, 652–674. [Google Scholar] [CrossRef]
- Liu, J.; Luo, Y.; Zhong, Z.; Li, K.; Huang, H.; Xiong, H. A probabilistic architecture of long-term vehicle trajectory prediction for autonomous driving. Engineering 2022, 19, 228–239. [Google Scholar] [CrossRef]
- Sorstedt, J.; Svensson, L.; Sandblom, F.; Hammarstrand, L. A New Vehicle Motion Model for Improved Predictions and Situation Assessment. IEEE Trans. Intell. Transp. Syst. 2011, 12, 1209–1219. [Google Scholar] [CrossRef]
- Schubert, R.; Richter, E.; Wanielik, G. Comparison and evaluation of advanced motion models for vehicle tracking. In Proceedings of the 2008 11th International Conference on Information Fusion, Cologne, Germany, 30 June–3 July 2008; pp. 1–6. [Google Scholar]
- Lin, C.F.; Ulsoy, A.G.; Leblanc, D. Vehicle dynamics and external disturbance estimation for vehicle path prediction. IEEE Trans. Control. Syst. Technol. 2000, 8, 508–518. [Google Scholar]
- Wiest, J.; Höffken, M.; Kressel, U.; Dietmayer, K.C.J. Probabilistic trajectory prediction with Gaussian mixture models. In Proceedings of the 2012 IEEE Intelligent Vehicles Symposium, Madrid, Spain, 3–7 June 2012; pp. 141–146. [Google Scholar]
- Gao, H.; Zhu, J.; Zhang, T.; Xie, G.; Kan, Z.; Hao, Z.; Liu, K. Situational Assessment for Intelligent Vehicles Based on Stochastic Model and Gaussian Distributions in Typical Traffic Scenarios. IEEE Trans. Syst. Man Cybern. Syst. 2020, 52, 1426–1436. [Google Scholar] [CrossRef]
- Streubel, T.; Hoffmann, K.H. Prediction of driver intended path at intersections. In Proceedings of the 2014 IEEE Intelligent Vehicles Symposium Proceedings, Dearborn, MI, USA, 8–11 June 2014; pp. 134–139. [Google Scholar]
- Krüger, M.; Novo, A.S.; Nattermann, T.; Bertram, T. Interaction-Aware Trajectory Prediction based on a 3D Spatio-Temporal Tensor Representation using Convolutional–Recurrent Neural Networks. In Proceedings of the 2020 IEEE Intelligent Vehicles Symposium (IV), Las Vegas, NV, USA, 19 October–13 November 2020; pp. 1122–1127. [Google Scholar]
- Lee, N.; Choi, W.; Vernaza, P.; Choy, C.B.; Torr, P.H.S.; Chandraker, M. DESIRE: Distant Future Prediction in Dynamic Scenes with Interacting Agents. In Proceedings of the 2017 IEEE Conference on Computer Vision and Pattern Recognition (CVPR), Honolulu, HI, USA, 21–26 July 2017; pp. 2165–2174. [Google Scholar]
- Gao, J.; Sun, C.; Zhao, H.; Shen, Y.; Anguelov, D.; Li, C.; Schmid, C. VectorNet: Encoding HD Maps and Agent Dynamics From Vectorized Representation. In Proceedings of the 2020 IEEE/CVF Conference on Computer Vision and Pattern Recognition (CVPR), Seattle, WA, USA, 13–19 June 2020; pp. 11522–11530. [Google Scholar]
- Zhou, Z.; Ye, L.; Wang, J.; Wu, K.; Lu, K. HiVT: Hierarchical Vector Transformer for Multi-Agent Motion Prediction. In Proceedings of the 2022 IEEE/CVF Conference on Computer Vision and Pattern Recognition (CVPR), New Orleans, LA, USA, 18–24 June 2022; pp. 8813–8823. [Google Scholar]
- Caesar, H.; Bankiti, V.; Lang, A.H.; Vora, S.; Liong, V.E.; Xu, Q.; Krishnan, A.; Pan, Y.; Baldan, G.; Beijbom, O. nuScenes: A Multimodal Dataset for Autonomous Driving. In Proceedings of the 2020 IEEE/CVF Conference on Computer Vision and Pattern Recognition (CVPR), Seattle, WA, USA, 13–19 June 2020; pp. 11618–11628. [Google Scholar]
- Linheng, L.; Gan, J.; Ji, X.; Qu, X.; Ran, B. Dynamic Driving Risk Potential Field Model Under the Connected and Automated Vehicles Environment and Its Application in Car-Following Modeling. IEEE Trans. Intell. Transp. Syst. 2022, 23, 122–141. [Google Scholar]
- Phan-Minh, T.; Grigore, E.C.; Boulton, F.A.; Beijbom, O.; Wolff, E.M. CoverNet: Multimodal Behavior Prediction Using Trajectory Sets. In Proceedings of the 2020 IEEE/CVF Conference on Computer Vision and Pattern Recognition (CVPR), Seattle, WA, USA, 13–19 June 2020; pp. 14062–14071. [Google Scholar]
- Cui, H.; Radosavljevic, V.; Chou, F.C.; Lin, T.H.; Nguyen, T.; Huang, T.K.; Schneider, J.G.; Djuric, N. Multimodal Trajectory Predictions for Autonomous Driving using Deep Convolutional Networks. In Proceedings of the 2019 International Conference on Robotics and Automation (ICRA), Montreal, QC, Canada, 20–24 May 2019; pp. 2090–2096. [Google Scholar]
- Salzmann, T.; Ivanovic, B.; Chakravarty, P.; Pavone, M. Trajectron++: Dynamically-Feasible Trajectory Forecasting with Heterogeneous Data. In Proceedings of the European Conference on Computer Vision, Glasgow, UK, 23–28 August 2020. [Google Scholar]
- Narayanan, S.; Moslemi, R.; Pittaluga, F.; Liu, B.; Chandraker, M. Divide-and-Conquer for Lane-Aware Diverse Trajectory Prediction. In Proceedings of the 2021 IEEE/CVF Conference on Computer Vision and Pattern Recognition (CVPR), Nashville, TN, USA, 20–25 June 2021; pp. 15794–15803. [Google Scholar]







| Method | |||||||
|---|---|---|---|---|---|---|---|
| Physics Oracle | - | 3.70 | 3.70 | - | - | 0.88 | 0.88 |
| CoverNet, | 5.41 | 2.62 | 1.92 | - | - | 0.76 | 0.64 |
| MTP | 4.42 | 2.22 | 1.74 | 4.83 | 3.54 | 0.74 | 0.67 |
| Trajectron++ | - | 1.88 | 1.51 | - | - | 0.70 | 0.57 |
| ALAN | 4.62 | 1.87 | 1.22 | 3.54 | 1.87 | 0.60 | 0.49 |
| DBN-MACTraj | 4.34 | 1.81 | 1.37 | 3.61 | 2.39 | 0.61 | 0.37 |
Disclaimer/Publisher’s Note: The statements, opinions and data contained in all publications are solely those of the individual author(s) and contributor(s) and not of MDPI and/or the editor(s). MDPI and/or the editor(s) disclaim responsibility for any injury to people or property resulting from any ideas, methods, instructions or products referred to in the content. |
© 2024 by the authors. Licensee MDPI, Basel, Switzerland. This article is an open access article distributed under the terms and conditions of the Creative Commons Attribution (CC BY) license (https://creativecommons.org/licenses/by/4.0/).
Share and Cite
Cui, H.; Qi, H.; Zhou, J. DBN-MACTraj: Dynamic Bayesian Networks for Predicting Combinations of Long-Term Trajectories with Likelihood for Multiple Agents. Mathematics 2024, 12, 3674. https://doi.org/10.3390/math12233674
Cui H, Qi H, Zhou J. DBN-MACTraj: Dynamic Bayesian Networks for Predicting Combinations of Long-Term Trajectories with Likelihood for Multiple Agents. Mathematics. 2024; 12(23):3674. https://doi.org/10.3390/math12233674
Chicago/Turabian StyleCui, Haonan, Haolun Qi, and Jianyu Zhou. 2024. "DBN-MACTraj: Dynamic Bayesian Networks for Predicting Combinations of Long-Term Trajectories with Likelihood for Multiple Agents" Mathematics 12, no. 23: 3674. https://doi.org/10.3390/math12233674
APA StyleCui, H., Qi, H., & Zhou, J. (2024). DBN-MACTraj: Dynamic Bayesian Networks for Predicting Combinations of Long-Term Trajectories with Likelihood for Multiple Agents. Mathematics, 12(23), 3674. https://doi.org/10.3390/math12233674
