Short-Term Predictions of the Trajectory of Mpox in East Asian Countries, 2022–2023: A Comparative Study of Forecasting Approaches
Abstract
1. Introduction
2. Methods
2.1. Data Sources
2.2. Analyzed Models
2.2.1. The n-Sub-Epidemic Modeling Framework
2.2.2. Sub-Epidemic Wave Modeling Framework
2.2.3. Autoregressive Integrated Moving Average (ARIMA) Model
2.2.4. Prophet Model
2.2.5. Generalized Additive Model
2.3. Forecasting Performance Comparison
3. Results
3.1. Time Series Observational Analysis
3.2. Forecasting Performance Comparisons
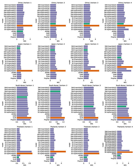
3.2.1. China
3.2.2. Japan
3.2.3. South Korea
3.2.4. Thailand
4. Discussion
Author Contributions
Funding
Data Availability Statement
Conflicts of Interest
Abbreviations
| ARIMA | auto-regressive integrated moving average |
| ARIMAX | autoregressive integrated moving average with explanatory variable |
| DNA | deoxyribonucleic acid |
| GAM | generalized additive model |
| GLM | generalized linear model |
| MA | moving average |
| MAE | mean absolute error |
| MSE | mean squared error |
| MPXV | mpox virus |
| PCR | polymerase chain reaction |
| PI | prediction interval |
| WHO | World Health Organization |
| WIS | weighted interval score |
Appendix A. Model Parameters
Appendix A.1. n-Sub-Epidemic Framework
Appendix A.2. Sub-Epidemic Wave Framework
Appendix A.3. ARIMA
Appendix A.4. Prophet
Appendix A.5. GAM
References
- World Health Organization: WHO Declares End of Mpox Emergency, Calls for Sustained Efforts for Long-Term Management of the Disease. 2024. Available online: https://www.paho.org/en/news/11-5-2023-who-declares-end-mpox-emergency-calls-sustained-efforts-long-term-management-disease (accessed on 4 May 2024).
- Karagoz, A.; Tombuloglu, H.; Alsaeed, M.; Tombuloglu, G.; AlRubaish, A.A.; Mahmoud, A.; Smajlović, S.; Ćordić, S.; Rabaan, A.A.; Alsuhaimi, E. Monkeypox (mpox) virus: Classification, origin, transmission, genome organization, antiviral drugs, and molecular diagnosis. J. Infect. Public Health 2023, 16, 531–541. [Google Scholar] [CrossRef] [PubMed]
- Aden, D.; Zaheer, S.; Kumar, R.; Ranga, S. Monkeypox (Mpox) outbreak during COVID-19 pandemic—Past and the future. J. Med. Virol. 2023, 95, e28701. [Google Scholar] [CrossRef] [PubMed]
- Multi-Country Monkeypox Outbreak: Situation Update. Available online: https://www.who.int/emergencies/disease-outbreak-news/item/2022-DON396 (accessed on 4 May 2024).
- 2022-24 Mpox (Monkeypox) Outbreak: Global Trends. 2024. Available online: https://worldhealthorg.shinyapps.io/mpx_global/ (accessed on 4 May 2024).
- Endo, A.; Jung, S.M.; Miura, F. Mpox emergence in Japan: Ongoing risk of establishment in Asia. Lancet 2023, 401, 1923–1924. [Google Scholar] [CrossRef]
- S. Korea Reports First Two Monkeypox Cases—Reuters World Asia-Pacific. 22 June 2022. Available online: https://www.reuters.com/world/asia-pacific/skorea-reports-first-two-monkeypox-cases-yonhap-2022-06-21/ (accessed on 21 November 2024).
- Thailand Confirms First Monkeypox Infection—Reuters World Asia-Pacific. 21 June 2022. Available online: https://www.reuters.com/world/asia-pacific/thailand-confirms-first-monkeypox-infection-2022-07-21/ (accessed on 21 November 2024).
- Japan Confirms First Monkeypox Case as It Steps up Preparation for Outbreak. Japan Times. 25 July 2022. Available online: https://www.japantimes.co.jp/news/2022/07/25/national/japan-monkeypox-outbreak-preparation/ (accessed on 21 November 2024).
- China’s Chongqing City Reports One Imported Monkeypox Case—Reuters World China. 16 September 2022. Available online: https://www.reuters.com/world/china/chinas-chongqing-city-reports-one-imported-monkeypox-case-2022-09-16/ (accessed on 21 November 2024).
- Yang, Z. China Is Suddenly Dealing with Another Public Health Crisis: Mpox. Available online: https://www.technologyreview.com/2023/08/01/1077047/china-public-health-crisis-mpox-outbreak/ (accessed on 4 May 2024).
- Thailand Declares National Monkeypox Alert After Emergency Meeting. 2022. Available online: https://www.nationthailand.com/in-focus/40018102 (accessed on 4 May 2024).
- The Response of the Tokyo Metropolitan Government to Mpox. Available online: https://www.hokeniryo.metro.tokyo.lg.jp/kansen/icdc/mpox.files/Mpox.pdf (accessed on 4 May 2024).
- Kaftan, D.; Kim, H.Y.; Ko, C.; Howard, J.S.; Dalal, P.; Yamamoto, N.; Braithwaite, R.S.; Bershteyn, A. Performance analysis of mathematical methods used to forecast the 2022 New York City Mpox outbreak. J. Med. Virol. 2024, 96, e29791. [Google Scholar] [CrossRef]
- Bleichrodt, A.; Luo, R.; Kirpich, A.; Chowell, G. Evaluating the forecasting performance of ensemble Sub-epidemic frameworks and other time series models for the 2022–2023 mpox epidemic. R. Soc. Open Sci. 2024, 11, 240248. [Google Scholar] [CrossRef]
- Yasmin, F.; Hassan, M.M.; Zaman, S.; Aung, S.T.; Karim, A.; Azam, S. A forecasting prognosis of the monkeypox outbreak based on a comprehensive statistical and regression analysis. Computation 2022, 10, 177. [Google Scholar] [CrossRef]
- Iftikhar, H.; Khan, M.; Khan, M.S.; Khan, M. Short-term forecasting of monkeypox cases using a novel filtering and combining technique. Diagnostics 2023, 13, 1923. [Google Scholar] [CrossRef]
- Manohar, B.; Das, R. Artificial neural networks for the prediction of monkeypox outbreak. Trop. Med. Infect. Dis. 2022, 7, 424. [Google Scholar] [CrossRef]
- Surveillance, Case Investigation and Contact Tracing for Monkeypox: Interim Guidance. Available online: https://www.who.int/publications/i/item/WHO-MPX-Surveillance-2024.1 (accessed on 4 May 2024).
- Chowell, G.; Tariq, A.; Hyman, J.M. A novel Sub-epidemic modeling framework for short-term forecasting epidemic waves. BMC Med. 2019, 17, 164. [Google Scholar] [CrossRef]
- Liu, H. Generalized Additive Model; Department of Mathematics and Statistics University of Minnesota Duluth: Duluth, MN, USA, 2008. [Google Scholar]
- Shumway, R.H.; Stoffer, D.S. ARIMA models. In Time Series Analysis and Its Applications; Springer: Berlin/Heidelberg, Germany, 2017; pp. 75–163. [Google Scholar]
- Taylor, S.J.; Letham, B. Forecasting at scale. Am. Stat. 2018, 72, 37–45. [Google Scholar] [CrossRef]
- Bleichrodt, A.; Phan, A.; Luo, R.; Kirpich, A.; Chowell-Puente, G. StatModPredict: A User-Friendly R-Shiny Interface for Fitting and Forecasting with Statistical Models. Stat. Model. 2024. preprint. [Google Scholar] [CrossRef]
- Chowell-Puente, G. SubEpiPredict: A MATLAB Toolbox for Fitting and Forecasting Epidemic Trajectories Using the Ensemble n-Subepidemic Framework. 2024. Available online: https://github.com/gchowell/ensemble_n-subepidemic_framework (accessed on 4 May 2024).
- Chowell-Puente, G. SpatialWavePredict: A MATLAB Toolbox for Fitting and Forecasting Epidemic Trajectories Using the Spatial Wave Sub-Epidemic Framework. 2024. Available online: https://github.com/gchowell/SpatialWavePredict-Toolbox (accessed on 4 May 2024).
- Chowell, G.; Dahal, S.; Tariq, A.; Roosa, K.; Hyman, J.M.; Luo, R. An ensemble n-Sub-epidemic modeling framework for short-term forecasting epidemic trajectories: Application to the COVID-19 pandemic in the USA. PLoS Comput. Biol. 2022, 18, e1010602. [Google Scholar] [CrossRef] [PubMed]
- Chowell, G.; Dahal, S.; Bleichrodt, A.; Tariq, A.; Hyman, J.M.; Luo, R. SubEpiPredict: A tutorial-based primer and toolbox for fitting and forecasting growth trajectories using the ensemble n-Sub-epidemic modeling framework. Infect. Dis. Model. 2024, 9, 411–436. [Google Scholar] [CrossRef] [PubMed]
- Chowell, G.; Tariq, A.; Dahal, S.; Bleichrodt, A.; Luo, R.; Hyman, J.M. SpatialWavePredict: A tutorial-based primer and toolbox for forecasting growth trajectories using the ensemble spatial wave Sub-epidemic modeling framework. BMC Med. Res. Methodol. 2024, 24, 131. [Google Scholar] [CrossRef] [PubMed]
- Hyndman, R.J.; Athanasopoulos, G. Forecasting: Principles and Practice. 2018. Available online: https://otexts.com/fpp2 (accessed on 4 May 2024).
- Satrio, C.B.A.; Darmawan, W.; Nadia, B.U.; Hanafiah, N. Time series analysis and forecasting of coronavirus disease in Indonesia using ARIMA model and Prophet. Procedia Comput. Sci. 2021, 179, 524–532. [Google Scholar] [CrossRef]
- Navratil, M.; Kolkova, A. Decomposition and forecasting time series in the business economy using Prophet forecasting model. Cent. Eur. Bus. Rev. 2019, 8, 26. [Google Scholar] [CrossRef]
- Samal, K.K.R.; Babu, K.S.; Das, S.K.; Acharaya, A. Time series based air pollution forecasting using SARIMA and Prophet model. In Proceedings of the 2019 International Conference on Information Technology and Computer Communications, Singapore, 16–18 August 2019; pp. 80–85. [Google Scholar]
- Kirpich, A.; Shishkin, A.; Weppelmann, T.A.; Tchernov, A.P.; Skums, P.; Gankin, Y. Excess mortality in Belarus during the COVID-19 pandemic as the case study of a country with limited non-pharmaceutical interventions and limited reporting. Sci. Rep. 2022, 12, 5475. [Google Scholar] [CrossRef]
- Shishkin, A.; Lhewa, P.; Yang, C.; Gankin, Y.; Chowell, G.; Norris, M.; Skums, P.; Kirpich, A. Excess mortality in Ukraine during the course of COVID-19 pandemic in 2020–2021. Sci. Rep. 2023, 13, 6917. [Google Scholar] [CrossRef]
- James, G.; Witten, D.; Hastie, T.; Tibshirani, R.; Taylor, J. An Introduction to Statistical Learning; Springer: Berlin/Heidelberg, Germany, 2013; Volume 112. [Google Scholar]
- Baayen, R.H.; Linke, M. An introduction to the generalized additive model. In A Practical Handbook of Corpus Linguistics; Springer: Berlin/Heidelberg, Germany, 2020; pp. 563–591. [Google Scholar]
- Botchkarev, A. Performance metrics (error measures) in machine learning regression, forecasting and prognostics: Properties and typology. arXiv 2018, arXiv:1809.03006. [Google Scholar]
- Bracher, J.; Ray, E.L.; Gneiting, T.; Reich, N.G. Evaluating epidemic forecasts in an interval format. PLoS Comput. Biol. 2021, 17, e1008618. [Google Scholar] [CrossRef]
- Package ’Scoringutils’ Documentation. Available online: https://cran.r-project.org/web/packages/scoringutils/scoringutils.pdf (accessed on 4 August 2024).
- Peter, Ď.; Silvia, P. ARIMA vs. ARIMAX—Which approach is better to analyze and forecast macroeconomic time series. In Proceedings of the 30th International Conference Mathematical Methods in Economics, Karviná, Czech Republic, 11–13 September 2012; Volume 2, pp. 136–140. [Google Scholar]
- Aziza, V.N.; Moh’d, F.H.; Maghfiroh, F.A.; Notodiputro, K.A.; Angraini, Y. Performance comparison of sarima intervention and Prophet models for forecasting the number of airline passenger at Soekarno-Hatta international airport. BAREKENG J. Ilmu Mat. Dan Terap. 2023, 17, 2107–2120. [Google Scholar] [CrossRef]
- World Health Organization WHO—Detailed Case Data. 2024. Available online: https://worldhealthorg.shinyapps.io/mpx_global/#42_Trends_in_cases (accessed on 4 August 2024).
- Shishkin, A. Mpox_Forecast: Short-Term Predictions of the Trajectory of Mpox in East Asian Countries, 2022–2023: A Comparative Study of Forecasting Approaches. 2024. Available online: https://github.com/keder/mpox_forecast (accessed on 4 August 2024).





Disclaimer/Publisher’s Note: The statements, opinions and data contained in all publications are solely those of the individual author(s) and contributor(s) and not of MDPI and/or the editor(s). MDPI and/or the editor(s) disclaim responsibility for any injury to people or property resulting from any ideas, methods, instructions or products referred to in the content. |
© 2024 by the authors. Licensee MDPI, Basel, Switzerland. This article is an open access article distributed under the terms and conditions of the Creative Commons Attribution (CC BY) license (https://creativecommons.org/licenses/by/4.0/).
Share and Cite
Shishkin, A.; Bleichrodt, A.; Luo, R.; Skums, P.; Chowell, G.; Kirpich, A. Short-Term Predictions of the Trajectory of Mpox in East Asian Countries, 2022–2023: A Comparative Study of Forecasting Approaches. Mathematics 2024, 12, 3669. https://doi.org/10.3390/math12233669
Shishkin A, Bleichrodt A, Luo R, Skums P, Chowell G, Kirpich A. Short-Term Predictions of the Trajectory of Mpox in East Asian Countries, 2022–2023: A Comparative Study of Forecasting Approaches. Mathematics. 2024; 12(23):3669. https://doi.org/10.3390/math12233669
Chicago/Turabian StyleShishkin, Aleksandr, Amanda Bleichrodt, Ruiyan Luo, Pavel Skums, Gerardo Chowell, and Alexander Kirpich. 2024. "Short-Term Predictions of the Trajectory of Mpox in East Asian Countries, 2022–2023: A Comparative Study of Forecasting Approaches" Mathematics 12, no. 23: 3669. https://doi.org/10.3390/math12233669
APA StyleShishkin, A., Bleichrodt, A., Luo, R., Skums, P., Chowell, G., & Kirpich, A. (2024). Short-Term Predictions of the Trajectory of Mpox in East Asian Countries, 2022–2023: A Comparative Study of Forecasting Approaches. Mathematics, 12(23), 3669. https://doi.org/10.3390/math12233669

