Next Article in Journal
Fuzzy Coalition Graphs: A Framework for Understanding Cooperative Dominance in Uncertain Networks
Next Article in Special Issue
Exact Soliton Solutions to the Variable-Coefficient Korteweg–de Vries System with Cubic–Quintic Nonlinearity
Previous Article in Journal
Context-Aware Level-Wise Feature Fusion Network with Anomaly Focus for Precise Classification of Incomplete Atypical Femoral Fractures in X-Ray Images
Previous Article in Special Issue
A Novel and Accurate Algorithm for Solving Fractional Diffusion-Wave Equations
 
 
Font Type:
Arial Georgia Verdana
Font Size:
Aa Aa Aa
Line Spacing:
Column Width:
Background:
Article

Extension of the First-Order Recursive Filters Method to Non-Linear Second-Kind Volterra Integral Equations

Laboratoire Angevin de Mécanique, Procédés et innovAtion (LAMPA), Arts et Métiers ParisTech, 49035 Angers, France
Mathematics 2024, 12(22), 3612; https://doi.org/10.3390/math12223612
Submission received: 9 October 2024 / Revised: 10 November 2024 / Accepted: 13 November 2024 / Published: 19 November 2024

Abstract

A new numerical method for solving Volterra non-linear convolution integral equations (NLCVIEs) of the second kind is presented in this work. This new approach, named IIRFM-A, is based on the combined use of the Laplace transformation, a first-order decomposition, a bilinear transformation, and the Adomian decomposition. Unlike most numerical methods based on the Laplace transformation, the IIRFM-A method has the dual advantage of requiring neither the calculation of the Laplace transform of the source function nor that of intermediate inverse Laplace transforms. The application of this new method to the case of non-convolutive multiplicative kernels is also introduced in this work. Several numerical examples are presented to illustrate the great flexibility and efficiency of this new approach. A concrete thermal problem, described by a non-linear convolutive Volterra integral equation, is also solved numerically using the new IIRFM-A method. In addition, this new approach extends for the first time the field of use of first-order recursive filters, usually restricted to the case of linear ordinary differential equations (ODEs) with constant coefficients, to the case of non-linear ODEs with variable coefficients. This extension represents a major step forward in the field of recursive filters.

1. Introduction

The present work first presents a new method for the numerical solution of non-linear Volterra convolutive integral equations (NLCVIEs) of the second kind, written in the following form [1]:
u ( t ) = f ( t ) + λ L 0 t K L ( t , t ) u ( t ) d t + λ NL 0 t K NL ( t , t ) NL u ( t ) d t ,
where K L ( t , t ) is the kernel of the linear contribution to the integral equation; K NL ( t , t ) is the kernel of the non-linear contribution; f ( t ) is a source function assumed to be continuous; λ L , λ NL R are parameters; and NL u ( t ) is a non-linear operator of the desired solution u ( t ) .
Non-linear phenomena are of the utmost importance in science, as they offer a variety of behaviors and complexities that linear phenomena do not. Without being exhaustive, non-linear phenomena can be modeled using non-linear algebraic equations (such as diode current-voltage characteristic equations), non-linear ordinary differential equations (such as the Van der Pol’s equation), non-linear partial differential equations (such as the Burger’s equation [2,3,4] or the heat transfer equation with radiative transfer), and non-linear integral equations, such as the second-kind Volterra integral equations studied in the present paper.
Non-linear Volterra integral equations are used in a wide variety of scientific fields. Numerous physical problems can be related to non-linear Volterra integral equations, including non-linear diffusion and wave propagation. For example, in some electromagnetic or acoustic scattering problems, boundary conditions can be reformulated as Volterra integral equations of the second kind [5]. Non-linear heat transfer problems with radiative boundary conditions can also be formulated using non-linear Volterra integral equations of the second kind (see, for example, [6] and the practical application in Section 3 of the present paper).
When λ NL = 0 and λ L 0 , the linear situation is found, and Equation (1) then takes the form of a linear Volterra integral equation of the second kind, defined by the following relation for t 0 [1]:
u ( t ) = f ( t ) + λ L 0 t K ( t , t ) u ( t ) d t .
Solving linear integral equations of the type (2) using the method of first-order recursive filters (IIRFM) was discussed in detail in [7] for different convolution kernels (generalized Abel, unit, and logarithmic) and is not repeated in the present article, which focuses mainly on the numerical solution of NLCVIEs.
In this paper, for the first time, the solution of non-linear convolutional Volterra integral equations using the IIRFM-A numerical method is presented.
As pointed out in [7], several approaches based on the Laplace transform have been proposed to numerically solve second-kind linear convolution integral equations of Volterra. Examples of such methods include the homotopic perturbation method (HPM) in conjunction with the Laplace transform [8,9]; the homotopic analysis method (HAM) coupled with the Laplace transform [10]; and the q-homotopic analysis coupled with the Laplace transform (q-HATM) [11].
The analytical solution of non-linear integral equations is usually a very difficult and delicate mathematical problem due to the non-linearity involved. Numerical approaches are, therefore, virtually unavoidable in this case, and any new efficient method is welcome. In [12], the authors used Fibonacci wavelets to numerically solve various non-linear Volterra convolutional integral equations (NLCVIEs) of the second kind, with a L = 0 . In [13], Abdullah et al. used the Touchard polynomials to numerically solve different NLCVIEs, also for the case a L = 0 . In [14], the authors used Mohanad’s integral transformation and Adomian’s decomposition method to numerically solve various NLCVIEs.
All these approaches generally assume the existence of an analytical expression for the source function f ( t ) . However, there are situations where it is not possible to know this analytical expression, such as when f ( t ) is a noisy signal. In this case, only a method of the type described in the present work can be used to determine the numerical solution of linear or non-linear Volterra integral equations.
The main objective of the present study is, therefore, to extend the first-order infinite impulse response filter method (IIRFM), proposed by R. Heyd et al. [7,15,16,17], to the numerical solution of non-linear Volterra convolutional integral equations of the second kind. Recall that the use of infinite impulse response (IIR) digital filters was, until now, limited to the study of linear time-invariant systems (LTISs), whose dynamics are described using linear ordinary differential equations (ODEs) with constant coefficients, or equivalently, using Laplace transfer functions expressed as polynomial fractions [7].
The work presented in this paper extends, for the first time, the scope of first-order IIR filters (IIRFM method) to the case of systems described using non-linear Volterra integral equations of the second kind.
The IIRFM method is based on a simple idea: most of the time, it is easier and more efficient to solve first-order linear ordinary differential equations with constant coefficients (ODE1) than any other higher-order differential problem. To transform a linear differential (or integral) problem into an appropriate system of EDO1s, the Laplace transform (LT) is first applied to the problem under consideration. A first-order decomposition (FOD) is then applied to obtain a system of EDO1s capable of solving the initial problem. The FOD can be exact (see Examples 1 to 4, and 6 to 8 of the present paper) or approximate (see Example 5 and [7]). To recursively solve the ODE1s resulting from the previous steps and thus obtain the first-order IIR filters, several numerical methods are possible, such as forward or backward finite differences, the composite Simpson’s rule, or the composite trapezoidal rule. It is the latter method that is used in the IIRFM by applying a bilinear transformation.
When the differential or integral problem under consideration is nonlinear, the Adomian decomposition method is used in this work to transform it into a sequence of linear differential problems, which can then also be solved using the IIRFM method. This is the IIRFM-A method, which is introduced in the present paper.
The remainder of this paper is organized as follows. In Section 2, the foundations of the IIRFM are recalled, and the IIRFM-A method is then introduced. The mechanism of the IIRFM-A is illustrated by numerically solving various non-linear Volterra integral equations of the second kind. The numerical results obtained using the IIRFM-A method are compared with those provided by analytical results where they exist, or by other recent numerical approaches. Finally, Section 3 presents a practical elementary application of the IIRFM-A in the field of non-linear heat transfer.

2. IIRFM-A Numerical Method

The numerical approach used in this work to solve integral Equation (1) is outlined in this section, and the main steps involved in its implementation are recalled.
Recall first that the IIRFM is particularly well suited to the numerical solution of linear differential problems (ODEs or parabolic partial differential equations) or linear integral problems (integral or integro-differential equations) with constant coefficients. This method schematically consists of replacing the considered integral or differential problem with a set of M independent, first-order, exact, or approximate ordinary differential problems.
When a Volterra integral equation includes a non-linear contribution, it is shown in this paper that the IIRFM method can still be used, in conjunction with the Adomian decomposition method (IIRFM-A method), to numerically solve the considered non-linear integral problem.

2.1. First-Order IIR Filter Method (IIRFM)

The main steps in the IIRFM are summarized below (for more details, please refer to [7]) in the most general case where λ L and λ NL are both non-zero. These steps mainly consist of the following:
  • Apply the Laplace transform ( L ) to Equation (1), leading to
    L ( 1 ) u ¯ ( s ) = f ¯ ( s ) + L 0 t λ L K L ( t , t ) u ( t ) + λ NL K NL ( t , t ) NL u ( t ) d t ,
    where u ¯ ( s ) = L u ( t ) and f ¯ ( s ) = L f ( t ) . Recalling that kernels K L ( t , t ) and K NL ( t , t ) are assumed to be convolutive, and using the convolution theorem, the Laplace transform of the previous integral can be written as follows:
    L 0 t λ L K L ( t , t ) u ( t ) + λ NL K NL ( t , t ) NL u ( t ) d t = λ L K ¯ L ( s ) u ¯ ( s ) + λ NL K ¯ NL ( s ) NL ¯ u ( s ) ,
    where K ¯ L ( s ) = L K L ( t , 0 ) , K ¯ NL ( s ) = L K NL ( t , 0 ) , and NL ¯ u ( s ) = L NL u ( t ) , of which the analytical expression is usually unknown.
    The following expression for u ¯ ( s ) is then deduced:
    u ¯ ( s ) = 1 1 λ L K ¯ L ( s ) f ¯ ( s ) + λ NL K ¯ NL ( s ) 1 λ L K ¯ L ( s ) NL ¯ u ( s ) .
    Let us write H L ( s ) = 1 / ( 1 λ L K ¯ L ( s ) ) and H NL ( s ) = λ NL K ¯ NL ( s ) / ( 1 λ L K ¯ L ( s ) ) . Three of the following situations are possible:
    (a)
    λ NL = 0 and λ L 0 : This gives the linear situation, for which the Volterra problem of the second kind can be described as a linear dynamic system with the Laplace transfer function H L ( s ) = u ¯ ( s ) / f ¯ ( s ) = 1 / ( 1 λ L K ¯ L ( s ) ) .
    With the exception of a few special cases, such as unit and exponential convolutional kernels, the Laplace transfer function H L ( s , λ ) does not have the form of a quotient of polynomials in s, as is usually the case for ordinary differential equations (ODEs) with constant coefficients. Several examples of linear situations were presented in [7] in the cases of unit, generalized Abelian, and logarithmic kernels; however, they are not repeated here.
    (b)
    λ NL 0 and λ L = 0 : This results in a purely non-linear situation. To solve the problem numerically in this case, the Laplace transform NL ¯ u ( s ) must be specified. Various approaches can be considered for this purpose, such as the Adomian decomposition method (ADM) [18,19], which is particularly well suited for the IIRFM method and is, therefore, used throughout this work.
    (c)
    λ NL 0 and λ L 0 : This is the hybrid situation, which is the most general and is also addressed in this work.
    The next steps in the IIRFM are now explained in the case of the linear situation ( λ NL = 0 and λ L 0 ). The additional steps that compose the hybrid situation ( λ NL 0 and λ L 0 ) are explained in Section 2.2.
  • Solve the linear Volterra problem using the Laplace transfer function H L ( s ) . To this end, the transfer function H L ( s ) is first rewritten as a linear combination of M + 1 first-order transfer functions, using a decomposition into first-order partial fractions (FOD):
    H L M ( s ) = 1 + i = 1 M a M , i L b M , i L + s ,
    where a M , i L , b M , i L Z . By introducing M + 1 partial transfer functions H L , i M ( s ) , it is possible to rewrite (6) as H L M ( s ) = i = 0 M H L , i M ( s ) , with H L , 0 M ( s ) = 1 . Using these notations, the Laplace transform u ¯ ( s ) becomes
    u ¯ ( s ) = i = 0 M H L , i M ( s ) f ¯ ( s ) = i = 0 M u ¯ i ( s ) .
    Depending on the convolution kernel considered, writing the transfer function H L ( s ) in the form of Equation (6) can be exact (as is the case for unit and exponential kernels, for example) or approximated (logarithmic and Abelian kernels, for example). In the latter case (approximated form), the coefficients a M , i L and b M , i L are determined by rational interpolation of the function G ( s ) = H L ( s ) 1 .
    The solution obtained by the IIRFM is denoted by u M IIR ( t ) in the following.
  • Return to the direct space by applying an s g ( z 1 ) transformation to the Laplace transfer function H L M ( s ) . As in [7,16], a bilinear transformation s 2 T e 1 z 1 1 + z 1 is applied here, where T e R + is a direct space uniform step and z is the complex number introduced in the definition of the z-transform (denoted as Z ) of x ( t k = k T e ) : Z x ( k T e ) = x ¯ ( z ) = k = 0 x ( k T e ) z k , with k N . It was shown in [7] that the approximate solution u M IIR ( t k = k T e ) verifies the following relation for k 1 :
    u M IIR k T e = f k T e + i = 1 M A M , i L j = 0 k 1 B M , i L k ( j + 1 ) f ( j T e ) + f ( ( j + 1 ) T e ) ,
    with A M , i L = a M , i L T e / ( 2 + b M , i L T e ) , B M , i L = ( 2 b M , i L T e ) / ( 2 + b M , i L T e ) and b M , i L T e 2 .
Equation (8) is the main result of the IIRFM when applied to solving convolutional linear integral equations.

2.2. IIRFM-Adomian Method (IIRFM-A)

In this paragraph, an extension of the IIRFM method to the case of non-linear Volterra convolutional integral equations of the second kind is proposed.
Starting from result (5), the Laplace transform u ¯ ( s ) of the solution can be rewritten as follows:
u ¯ ( s ) = H L ( s ) f ¯ ( s ) + H NL ( s ) NL ¯ u ( s ) ,
where H L ( s ) is rewritten in the exact or approximate form H L M L ( s ) given by (6)
H L M L ( s ) = 1 + i = 1 M L a M L , i L b M L , i L + s ,
and H NL ( s ) is rewritten in the following exact or approximate form H NL M NL ( s ) given by
H NL M NL ( s ) = i = 1 M NL a M NL , i NL b M NL , i NL + s ,
which ensures that H NL M NL ( s ) tends to zero for s .
As the expression of the function NL ¯ u ( s ) is not explicitly known, the Adomian decomposition method (ADM) [20,21] is used here to provide a workable approximation of it. Recall that the ADM consists of writing the solution u ( t ) and the non-linear term NL u ( t ) as series of functions u ( t ) = n = 0 u n ( t ) and NL u ( t ) = n = 0 A n ( t ) , where A n ( t ) A n ( u 0 ( t ) , , u n ( t ) ) is the nth Adomian polynomial, defined as follows:
A n = 1 n ! d n d β n NL i = 0 n β i u i β = 0 .
Adomian polynomials are specific to each type of non-linearity considered and must be calculated on a case-by-case basis. From the preceding, the Laplace transforms of u ( t ) and NL u ( t ) are written, respectively, as u ¯ ( s ) = n = 0 u ¯ n ( s ) and NL ¯ u ( s ) = n = 0 A n ¯ ( s ) . Inserting these expressions into (9), the following algebraic equation is obtained:
n = 0 u ¯ n ( s ) = H L ( s ) f ¯ ( s ) + H NL ( s ) n = 0 A n ¯ ( s ) .
Algebraic Equation (13) is then solved using the IIRFM method explained in Section 2.1, using the following iterative process:
n = 0 : u ¯ 0 ( s ) = H L ( s ) f ¯ ( s ) IIRFM u 0 , M L IIR ( t k ) n = 1 : u ¯ 1 ( s ) = H NL ( s ) A 0 ¯ ( s ) IIRFM u 1 , M NL IIR ( t k ) n = 2 : u ¯ 2 ( s ) = H NL ( s ) A 1 ¯ ( s ) IIRFM u 2 , M NL IIR ( t k ) n : u ¯ n ( s ) = H NL ( s ) A n 1 ¯ ( s ) IIRFM u n , M NL IIR ( t k ) ,
where u 0 , M L IIR ( t k ) is given by Equation (8) for k 0 :
u 0 , M L IIR ( t k ) = f t k + i = 1 M L A M L , i L j = 0 k 1 B M L , i L k ( j + 1 ) f ( t j ) + f ( t j + 1 ) ,
where A M L , i L = a M L , i L T e / ( 2 + b M L , i L T e ) , B M L , i L = ( 2 b M L , i L T e ) / ( 2 + b M L , i L T e ) , and b M L , i L T e 2 .
The u n , M NL IIR ( t k ) terms of the non-linear contribution are given by the following relation for k 1 and n = 1 , 2 , :
u n , M NL IIR ( t k ) = i = 1 M NL A M NL , i NL j = 0 k 1 B M NL , i NL k ( j + 1 ) A n 1 ( t j ) + A n 1 ( t j + 1 ) ,
where A M NL , i NL = a M NL , i NL T e / ( 2 + b M NL , i NL T e ) , B M NL , i NL = ( 2 b M NL , i NL T e ) / ( 2 + b M NL , i NL T e ) , b M NL , i NL T e 2 , and u n , M NL IIR ( t 0 ) = 0 .
By truncating the iterative process to order N a < , an approximate IIRFM-A solution of the non-linear Volterra problem is obtained, which is denoted by u ˜ N a IIR ( t k ) and written in the following synthetic form:
u ˜ N a IIR ( t k ) = u 0 , M L IIR ( t k ) + n = 1 N a u n , M NL IIR ( t k ) .
It is important to note that the analytical expressions of u 0 ( t ) = TL 1 [ u 0 ( s ) ] , u 1 ( t ) = TL 1 [ u 1 ( s ) ] , …, u n ( t ) = TL 1 [ u n ( s ) ] used in the A n ( t ) Adomian polynomials are not needed here in order to calculate the numerical solution u ˜ N a IIR ( t k ) . This property eliminates a large number of intermediate analytical or numerical calculations that can be very tedious, or even impossible in some cases. This is an essential feature of the present approach, compared to any other using the Adomian decomposition together with the Laplace transform. Consequently, regardless of the convolutional Volterra integral considered in the present work, the IIRFM-A numerical solution will always have the form in (17), using results (15) and (16).
It is also possible to represent the iterative process (14) in terms of first-order linear filters with constant coefficients, as shown in Figure 1. The iterative process has been truncated here at order N a = 4 for reasons of readability of the graphical representation. In this particular case, u ˜ 4 ( t ) = n = 0 4 u n ( t ) is the approximate solution of problem (1), truncated at order N a = 4 .
Note that solving (13) using the IIRFM-A method (i.e., calculation of u n ( t ) ) does not require calculating the inverse Laplace transforms of the functions A n ¯ ( s ) . This is the main advantage of the present approach. But it should also be noted that the IIRFM-A method can occasionally suffer from convergence speed problems inherent in any iterative numerical approach. In this case, we will show that using a numerical method to accelerate the convergence of the u ˜ N a IIR ( t k ) sequence can significantly improve the convergence speed of the IIRFM-A method.

2.3. Accelerating IIRFM-A Using the Shanks Transformation

The Shanks transformation [22] is a non-linear transformation commonly used to accelerate slowly convergent series.
Consider the sequence L n ( t k ) given by
L n ( t k ) = u 0 , M L IIR ( t k ) + m = 1 n u m , M NL IIR ( t k ) ,
which is assumed to converge to the approximate IIRFM-A solution as n tends to infinity. In the present work, the Shanks transformation (denoted by the non-linear operator S) was repeatedly applied at each time step t k to the L n ( t k ) sequence. S transforms the sequence L n into a new one, S n , which shares the same limit as L n but with faster convergence [23]. The new sequence S n was constructed using the following relation:
S [ L n ( t k ) ] = L n + 1 ( t k ) L n 1 ( t k ) L n 2 ( t k ) L n + 1 ( t k ) + L n 1 ( t k ) 2 L n ( t k ) .
In most of the situations studied in this paper, the Shanks transformation made it possible to obtain very accurate solutions, using N a values that were significantly lower than they would have been without acceleration (see Section 2.4.1).

2.4. Numerical Results and Discussion

In this section, the IIRFM-A method is applied to the numerical solution of various non-linear Volterra convolutional integral equations of the second kind with various kernels.

2.4.1. Unit Kernel

Example 1. 
u ( t ) = f ( t ) + λ 0 t u ( t ) + u 2 ( t ) d t .
This first example considers the case where K L ( t , t ) and K NL ( t , t ) are both unit kernels: K L ( t , t ) = K NL ( t , t ) = 1 .
Consider the following mixed non-linear integral equation:
u ( t ) = f ( t ) + λ 0 t u ( t ) + u 2 ( t ) d t ,
where λ L = λ NL = λ and NL [ u ] = u 2 . For the case where f ( t ) = 1 + 5 2 λ τ 2 λ t ( 1 + 3 λ τ ) e t / τ + 1 2 λ τ e 2 t / τ , Equation (20) admits the analytical solution u ( t ) = 1 e t / τ . Noting here that
H L ( s ) = 1 1 λ K ¯ L = s s λ = 1 + λ s λ M L = 1 , a 1 , 1 L = λ , b 1 , 1 L = λ , H NL ( s ) = λ K ¯ NL 1 λ K ¯ L = λ s λ M NL = 1 , a 1 , 1 NL = λ , b 1 , 1 NL = λ ,
the IIRFM-A solution of Equation (20) leads to the following relations for n = 0 , 1 , , N a :
n = 0 ; k 1 : u 0 , 1 IIR ( t k ) = f t k + A 1 , 1 L j = 0 k 1 B 1 , 1 L k ( j + 1 ) f ( t j ) + f ( t j + 1 ) and u 0 , 1 IIR ( t 0 ) = 0 , n ; k 1 : u n , 1 IIR ( t k ) = A 1 , 1 NL j = 0 k 1 B 1 , 1 NL k ( j + 1 ) A n 1 ( t j ) + A n 1 ( t j + 1 ) and u n , 1 IIR ( t 0 ) = 0 , A n 1 ( t k ) = A n 1 u 0 , 1 IIR ( t k ) , , u n 1 , 1 IIR ( t k ) ,
where t k = k T e , A 1 , 1 L = a 1 , 1 L T e / ( 2 + b 1 , 1 L T e ) = λ T e / ( 2 λ T e ) < , B 1 , 1 L = ( 2 b 1 , 1 L T e ) / ( 2 + b 1 , 1 L T e ) = ( 2 λ T e ) / ( 2 + λ T e ) < , and in the present case, A 1 , 1 NL = A 1 , 1 L and B 1 , 1 NL = B 1 , 1 L . The first eight A n Adomian polynomials have been calculated here using Equation (12) for the case where NL [ u ] = u 2 :
A 0 ( u 0 ) = u 0 2 , A 1 ( u 0 , u 1 ) = 2 u 0 u 1 , A 2 ( u 0 , , u 2 ) = u 1 2 + 2 u 0 u 2 , A 3 ( u 0 , , u 3 ) = 2 u 1 u 2 + u 0 u 3 , A 4 ( u 0 , , u 4 ) = u 2 2 + 2 ( u 0 u 4 + u 1 u 3 ) , A 5 ( u 0 , , u 5 ) = 2 u 0 u 5 + u 2 u 3 + u 1 u 4 , A 6 ( u 0 , , u 6 ) = u 3 2 + 2 u 2 u 4 + u 1 u 5 + u 0 u 6 , A 7 ( u 0 , , u 7 ) = 2 u 3 u 4 + u 2 u 5 + u 1 u 6 + u 0 u 7 . .
The numerical computation of Adomian polynomials of any N a order has been implemented in this work using Duan’s recursive algorithm, as presented in [24].
Figure 2a shows the results of the IIRFM-A numerical solution of Equation (20) for λ = 1 , t I t = [ 0.5 τ ] , T e = 0.5 τ , and different orders of approximation: N a = 0 , 1, and 3. In this figure, it can be seen that the approximate solution u ˜ N a IIR quickly converges to the analytical solution u ( t ) = 1 e t / τ on the interval [ 0 , 5 τ ] .
However, for larger I t intervals, it may become necessary to considerably increase the order of approximation N a to obtain convergence of the IIRFM-A method over the whole I t interval, as shown by the results in Figure 2b, obtained for N a = 5 , 7 , 9 , 11 , 13 , and 15, and/ I t = [ 0 , 16 τ ] and T e = τ / 10 .
To achieve better convergence of the IIRFM-A method while limiting it to reasonable values of the approximation order N a , it is possible to use convergence acceleration methods. In this work, the Shanks transformation [23] was used, which consists of transforming the u ˜ N a IIR series into a new series u ˜ N a IIR , S , converging to the same limit as u ˜ N a IIR but faster. This convergence can be further improved by also decreasing the value of T e . Figure 2b shows the remarkable convergence of the IIRFM-A method with the Shanks transformation (square symbols, N a = 7 ).
The maximum absolute and root-mean-square errors presented in Table 1 were obtained using a value of T e = τ / 100 , different orders of approximation, and without and with Shanks acceleration. As can be seen in Table 1, Shanks acceleration considerably improves the accuracy of the results, even for quite low N a values.
The root-mean-square error ε 2 , N t NM and maximum absolute error ε , N t NM of the numerical method NM were calculated for the same set of points S = t n , u ˜ N a NM t n n = 0 N t , using the respective expressions
ε 2 , N t NM = n = 0 N t u t n u ˜ N a NM t n 2 N t + 1 and ε , N t NM = max S u u ˜ N a NM ,
where t n = n T e and max S u u ˜ N a NM is the maximum value of u ( t n ) u ˜ N a NM ( t n ) over S , obtained using the numerical method NM. We note that NM IIR when the IIRFM-A method was used without acceleration and NM IIR , S when Shanks acceleration was used.
Table 2 presents the results obtained by successive applications of the Shanks transformation (given by Equation (19)) to the sequence L n ( t k ) , computed in the present case using result (22), when N a = 7 and t k = 10 τ . Without Shanks acceleration, the IIRFM-A value obtained for N a = 7 was u ˜ N a = 7 IIR ( 10 τ ) = 0.907495 (dashed box), whereas the value obtained with acceleration was u ˜ N a = 7 IIR , S ( 10 τ ) = 0.998998 (continuous box), which corresponds well to the exact expected value u ( 10 τ ) = 0.999955 . To obtain an IIRFM-A value close to the exact value but without the Shanks acceleration, the value N a = 28 was needed. This example shows the advantages of using Shanks acceleration in the present case for reducing the number N a of terms to be computed in u ˜ N a IIR ( t k ) .
Without acceleration, N a = 28 terms must be used in the L n ( t k ) sequence to obtain an accuracy of the same order as that achieved using the Shanks transformation with N a = 7 .
Integral Equation (20) was also solved using the finite-difference method. To this end, Equation (20) was first differentiated with respect to t. Assuming that f ˙ ( t ) and u ˙ ( t ) exist, the following first-order non-linear ordinary differential equation is obtained:
u ˙ ( t ) = f ˙ ( t ) + λ u ( t ) + λ u 2 ( t ) .
This equation was solved numerically by approximating the first derivative u ˙ ( t ) using the finite-difference method: u ˙ ( t ) = ( u ( t + T e ) u ( t ) ) / T e . The following recurrence relation was then obtained, valid for n = 1 , 2 , :
u n = ( 1 + λ T e ) u n 1 + λ T e u n 1 2 + T e f ˙ n 1 ,
where u n = u ( n T e ) , f ˙ = d f / d t and u 0 = u ( 0 ) = f ( 0 ) .
Solving integral Equation (20) using finite differences (FDs) with different values of T e , led to the numerical results presented in Table 3. It can be seen in this Table that the IIRFM-A solution, using N a = 7 and the same values of T e as those used with FDs, is significantly more accurate than the FD resolution (for which the only accuracy improvement factor is the value of the sampling period T e ). The results presented in Table 3 show the influence of the additional factors offered by the IIRFM-A method for improving precision (compared to the FD approach), namely the number N a of A n polynomials used in the Adomian decomposition and the possibility of using a convergence acceleration method.
In the present case, the sophistication of the IIRFM-A method always led, using identical sampling periods, to greater numerical accuracy than the finite-difference method.
Example 2. 
u ( t ) = e t 1 2 e 2 t 1 + 0 t u 2 ( t ) d t .
Consider the following non-linear integral equation:
u ( t ) = e t 1 2 e 2 t 1 + 0 t u 2 ( t ) d t 0 t 1 .
Equation (27) is a Volterra integral equation of the second kind, purely non-linear, with unit kernel K NL ( t ) = 1 , NL [ u ] = u 2 , λ L = 0 , λ NL = 1 , and f ( t ) = e t 1 2 e 2 t 1 . Equation (27) admits the exact solution u ( t ) = e t . Abdullah et al. numerically solved this equation using the Touchard polynomials method [13] without Shanks acceleration.
The linear and non-linear transfer functions in the present case are
H L ( s ) = 1 M L = 0 ; a 0 , 1 L = 0 ; A 0 , 1 L = 0 and u 0 , 0 IIR ( t k ) = f t k , H NL ( s ) = 1 s M NL = 1 ; a 1 , 1 NL = 1 ; b 1 , 1 NL = 0 ; A 1 , 1 NL = T e 2 ; B 1 , 1 NL = 1 and u n , 1 IIR ( t 0 ) = 0 .
From (16) and (28), the IIRFM-A solution of Equation (27) is finally written as
u ˜ N a IIR ( t k ) = f ( t k ) + T e 2 n = 1 N a j = 0 k 1 A n 1 ( t j ) + A n 1 ( t j + 1 ) .
Solving integral Equation (27) using the finite-difference method led to the following recurrence relation:
u n = u n 1 + T e u n 1 2 + T e f ˙ n 1 ,
where f ˙ ( t ) = e t e 2 t .
Table 4 presents the absolute errors ε NM = | u ( t ) u ˜ N NM ( t ) | obtained by numerically solving integral Equation (27) using the Touchard (T) polynomials numerical method (NM) with Shanks (S) acceleration ( NM T , S ) and five polynomials, the IIRFM-A (IIR) method also with Shanks acceleration ( NM IIR , S ; N a = 5 ; and T e = 10 3 ), and the finite-difference method ( NM FD ), also with T e = 10 3 .
As can be seen from the results shown in Table 4, the IIRFM-A method led to a very accurate solution of Equation (27) over the interval I t = [ 0 , 1 ] and was more precise here than the Touchard and finite-difference methods.

2.4.2. Non-Unit Convolutional Kernels

In this section, the IIRFM-A method is applied to non-linear Volterra integral equations with non-unit convolutional kernels.
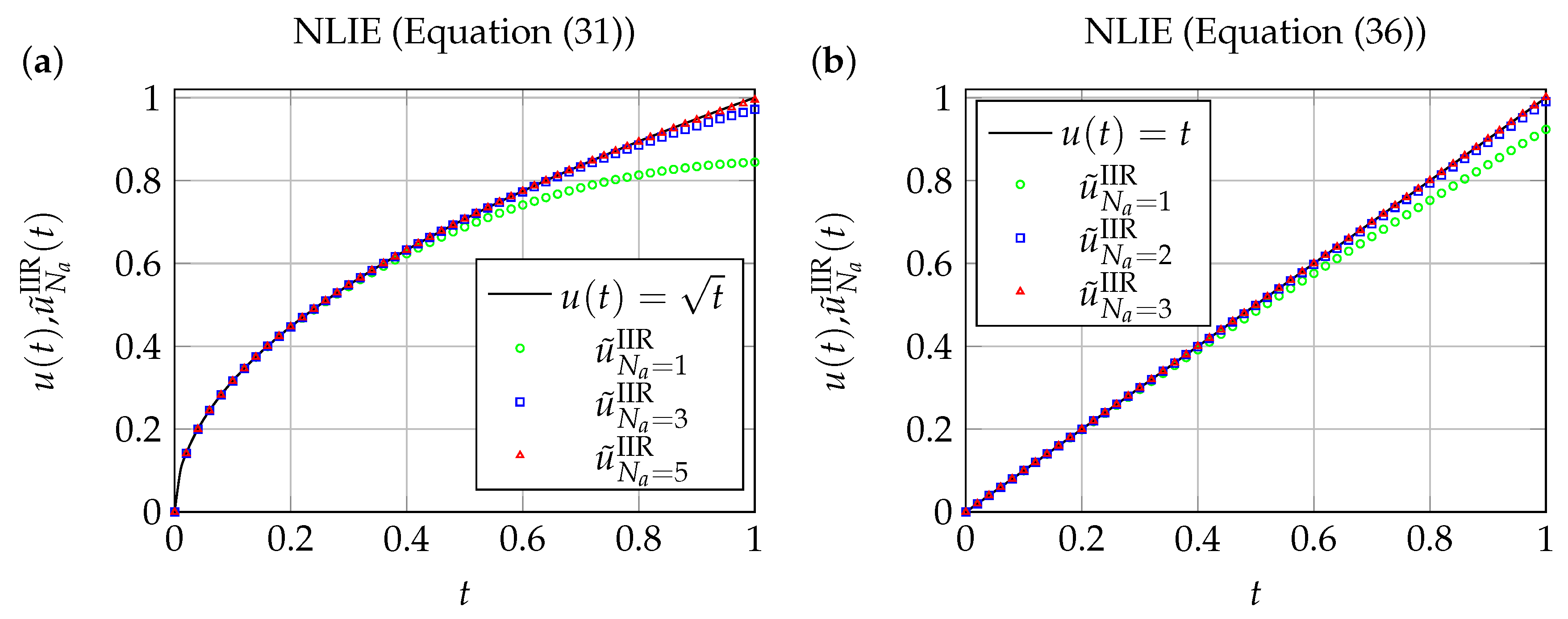
Example 3. 
u ( t ) = t e t + 1 t + 0 t e ( t t ) u 2 ( t ) d t .
Consider the following non-linear integral equation:
u ( t ) = t e t + 1 t + 0 t e ( t t ) u 2 ( t ) d t 0 t 1 ,
which admits the exact solution u ( t ) = t . This is a purely non-linear Volterra convolutive integral equation of the second kind of the form (1), with f ( t ) = t e t + 1 t , λ L = 0 , λ NL = 1 , K NL ( t , t ) = e ( t t ) , and NL [ u ] = u 2 .
Applying the Laplace transformation to (31) and using the convolution theorem leads to the following algebraic equation:
u ¯ ( s ) = f ¯ ( s ) + 1 s + 1 NL ¯ [ u ] ( s ) .
In accordance with the IIRFM described in Section 2.1, the transfer function H NL ( s ) = 1 / ( s + 1 ) is written here in the following exact form:
H NL ( s ) = H NL M NL ( s ) = a 1 NL s + b 1 NL ,
where M NL = 1 , a 1 NL = λ NL = 1 , and b 1 NL = 1 . The IIRFM-A solution of Equation (31) is finally written as (16), with M NL = 1 :
u ˜ N a IIR ( t k ) = f ( t k ) + A 1 , 1 NL n = 1 N a j = 0 k 1 B 1 , 1 NL k ( j + 1 ) A n 1 ( t j ) + A n 1 ( t j + 1 ) ,
where the Adomian A n polynomials are still given by Equation (12) for NL [ u ] = u 2 , and the coefficients A 1 , 1 NL and B 1 , 1 NL are given by A 1 , 1 NL = a 1 NL T e / ( 2 + b 1 NL T e ) = T e / ( 2 + T e ) and B 1 , 1 NL = ( 2 b 1 NL T e ) / ( 2 + b 1 NL T e ) = ( 2 T e ) / ( 2 + T e ) .
Figure 3a shows the results of the IIRFM-A numerical solution of Equation (31) for T e = 10 3 , different values of N a , and without Shanks acceleration. It can be seen in this Figure that the numerical solution is quite accurate over I t = [ 0 , 1 ] , even for a value as low as N a = 5 (corresponding maximum absolute error: ε = 5.21 × 10 3 ).
Solving Equation (31) using the finite-difference (FD) method led to the following recurrence relation, valid for n 2 :
u n = T e u n 1 2 + u n 1 + T e g n 1 ,
where g ( t ) = f ( t ) + f ˙ ( t ) = t ( 1 + 1 / 2 t ) t , u 0 = f ( 0 ) = 0 and u 1 = T e g ( T e / 2 ) . Using the value T e = 10 3 , the maximum absolute error obtained over I t = [ 0 , 1 ] was ε FD = 2.24 × 10 2 , which is worse than the value ε IIR = 5.21 × 10 3 obtained using the IIRFM-A method when N a = 5 .
Finally, note that the function g ( t ) = f ( t ) + f ˙ ( t ) = t ( 1 + 1 / 2 t ) t is singular at t = 0 , which poses a problem for the application of the finite-difference (FD) method in the present case. This difficulty does not exist with the IIRFM-A method, which is therefore preferable here to the FD method.
Example 4. 
u ( t ) = t 1 2 e t cos ( t ) + sin ( t ) + 0 t e ( t t ) sin u ( t ) d t .
Consider the following non-linear integral equation:
u ( t ) = t 1 2 e t cos ( t ) + sin ( t ) + 0 t e ( t t ) sin u ( t ) d t 0 t 1 ,
which admits the exact solution u ( t ) = t . This is a purely non-linear Volterra convolutive integral equation of the second kind of the form (1), with f ( t ) = t 1 2 e t cos ( t ) + sin ( t ) , λ L = 0 , λ NL = 1 , K NL ( t , t ) = e ( t t ) , and NL [ u ] = sin ( u ) . As the kernel considered here is the same as in the previous example, the developments outlined there are strictly transposable here, except for the expressions of the Adomian polynomials. The first five Adomian polynomials have been reproduced as follows for NL [ u ] = sin ( u ) :
A 0 ( u 0 ) = sin u 0 ; A 1 ( u 0 , u 1 ) = u 1 cos u 0 ; A 2 ( u 0 , u 1 , u 2 ) = u 1 2 sin u 0 2 + u 2 cos u 0 , A 3 ( u 0 , u 1 , u 2 , u 3 ) = 2 u 1 u 2 sin u 0 3 + u 1 3 u 1 2 cos u 0 2 u 2 sin u 0 + u 3 cos u 0 , A 4 ( u 0 , u 1 , u 2 , u 3 , u 4 ) = 3 u 1 u 3 sin u 0 4 + u 2 2 u 1 2 cos u 0 2 u 2 sin u 0 + u 4 cos u 0 + u 1 4 2 u 1 u 2 cos u 0 3 + u 1 3 u 1 2 sin u 0 2 u 2 cos u 0 u 3 sin u 0 .
Result (34) is still valid here, provided that Adomian polynomials (37) are used:
u ˜ N a IIR ( t k ) = f ( t k ) + A 1 , 1 NL n = 1 N a j = 0 k 1 B 1 , 1 NL k ( j + 1 ) A n 1 ( t j ) + A n 1 ( t j + 1 ) ,
where the coefficients A 1 , 1 NL and B 1 , 1 NL are still given by A 1 , 1 NL = a 1 NL T e / ( 2 + b 1 NL T e ) = T e / ( 2 + T e ) and B 1 , 1 NL = ( 2 b 1 NL T e ) / ( 2 + b 1 NL T e ) = ( 2 T e ) / ( 2 + T e ) .
Figure 3b shows the IIRFM-A numerical solution of Equation (36) for T e = 10 3 and different values of N a . It can be seen from these results that the numerical solution is quite accurate over I t = [ 0 , 1 ] , even for a value as low as N a = 3 (corresponding maximum absolute error: ε = 1.07 × 10 3 ).
Solving Equation (36) using the finite-difference (FD) method led to the following recurrence relation, valid for n 1 :
u n = T e sin ( u n 1 ) + ( 1 T e ) u n 1 + T e g n 1 ,
where g ( t ) = f ( t ) + f ˙ ( t ) = 1 + t sin ( t ) and u 0 = f ( 0 ) = 0 . Using the value T e = 10 3 , the maximum absolute error obtained over I t = [ 0 , 1 ] was ε FD = 6.66 × 10 16 , which is much better than the value ε IIR = 1.07 × 10 3 obtained using the IIRFM-A method when N a = 3 .
Example 5. 
u ( t ) = 2 t t 4 12 + 1 4 0 t ( t t ) u 2 ( t ) d t .
Consider the following non-linear integral equation (NLIE):
u ( t ) = 2 t t 4 12 + 1 4 0 t ( t t ) u 2 ( t ) d t 0 t 1 ,
which admits the exact solution u ( t ) = 2 t . This NLIE was solved numerically in [14] by Saadeh et al. using Mohanad’s decomposition method and Adomian polynomials. Presented here is the numerical solution of Equation (39) using the IIRFM-A method. This is a purely non-linear Volterra convolutive integral equation of the second kind of the form (1), with f ( t ) = 2 t t 4 / 12 , λ L = 0 , λ NL = 1 / 4 , K NL ( t , t ) = t t , and NL [ u ] = u 2 .
Applying the Laplace transformation to (39) and using the convolution theorem leads to the following algebraic equation:
u ¯ ( s ) = f ¯ ( s ) + λ NL s 2 NL ¯ [ u ] ( s ) .
In accordance with the IIRFM described in Section 2.1, the transfer function H NL ( s ) = λ NL / s 2 is decomposed into first-order partial fractions of the following approximate form, with M NL = 2 :
H NL ( s ) H NL M NL ( s ) = a 1 NL s + b 1 NL + a 2 NL s + b 2 NL .
To ensure that H NL M NL ( s ) tends toward H NL ( s ) = λ NL / s 2 as accurately as possible over a wide range of s values, the following constraints are imposed here: a 1 NL = λ NL / ( b 2 NL b 1 NL ) with b 2 NL b 1 NL ; a 2 NL = a 1 NL ; and 0 < b 1 NL , b 2 NL 1 . The IIRFM-A solution of Equation (39) is written in the form (16), with M NL = 2 , given by
u ˜ N a IIR ( t k ) = f ( t k ) + n = 1 N a i = 1 2 A 2 , i NL j = 0 k 1 B 2 , i NL k ( j + 1 ) A n 1 ( t j ) + A n 1 ( t j + 1 ) ,
where A 2 , i NL = a i NL T e / ( 2 + b i NL T e ) and B 2 , i NL = ( 2 b i NL T e ) / ( 2 + b i NL T e ) for i = 1 , 2 and Adomian polynomials given by Equation (23).
Using relation (42) with N a = 15 , T e = 0.001 , b 1 NL = 10 5 , and b 2 NL = 11 × 10 5 led to the absolute errors ε IIR presented in Table 5. Also reported in this table are the absolute errors ε S obtained using the method of Saadeh et al. [14].
Solving Equation (39) using the finite-difference (FD) method led to the following recurrence relation, valid for n 2 :
u n = 2 u n 1 + T e 2 4 u n 1 2 u n 2 + T e 2 f ¨ n 1 ,
where u 0 = f ( 0 ) = 0 and u 1 = T e f ˙ ( 0 ) + u 0 . Using the value T e = 10 3 , the maximum absolute errors obtained over I t = [ 0 , 1 ] are presented in Table 5.
The results presented in Table 5 again demonstrate the value of the IIRFM-A method compared to the Saadeh approach for the numerical solution of non-linear convolutional integral equations of the type (39), even though the finite-difference method is the most accurate here, since the exact solution is proportional to t.

2.4.3. Discussion

For the five examples previously considered, the IIRFM-A method was found to be more accurate than the finite-difference method (for the same T e step) whenever the exact solution was more complex than u ( t ) = α t . While the finite-difference method is a very effective approach when the solution of the non-linear integral equation is proportional to t, it can be seen here that the IIRFM-A method is preferable when the solutions differ from u ( t ) = α t .

2.5. Extension to the Case of a Multiplicative Kernel

The IIRFM-A approach described in the previous paragraphs can also be applied in the case where the K kernels considered are not convolutive but rather multiplicative: K ( t , t ) = K ( t ) .

2.5.1. Extension of the IIRFM-A Method

Consider the following Volterra integral equation of the second kind:
u ( t ) = f ( t ) + λ 0 t K ( t ) F u ( t ) d t ,
where F u is any functional (linear or non-linear) of the unknown function u. It is still possible to write the function K F u using Adomian polynomials, K ( t ) F u ( t ) = n = 0 A n ( t ) , with A n ( t ) = K ( t ) A n ( t ) , given by:
A n ( t ) = K ( t ) n ! d n d β n F u i = 0 n β i u i β = 0 .
Thus, the integral Equation (44) can still be written as u ( t ) = f ( t ) + λ n = 0 0 t A n ( t ) d t . Using the Adomian decomposition method, which consists of decomposing u ( t ) in the form of a series of functions u ( t ) = n = 0 u n ( t ) , Equation (44) becomes
n = 0 u n ( t ) = f ( t ) + λ n = 0 0 t A n ( t ) d t .
Applying the Laplace transformation to (46) leads to the following algebraic equation:
n = 0 u ¯ n ( s ) = f ¯ ( s ) + λ s n = 0 A n ¯ ( s ) .
This algebraic equation is of exactly the same form as (13) but with H L ( s ) = 1 and H NL ( s ) = λ / s , so it can be solved numerically using the same iterative process as in (14). In addition, the representation in terms of linear filters in Figure 1 is also valid here, provided we adapt the expressions for H L ( s ) and H NL ( s ) and replace the elements A n with A n .
Note also that we have here
H L = 1 M L = 0 , H NL = λ s M NL = 1 and a 1 , 1 NL = λ , b 1 , 1 NL = 0 .

2.5.2. Numerical Results and Discussion

Example 6. 
(IE1): u ( t ) = f ( t ) + 0 t t u ( t ) d t with f ( t ) = t 1 3 t 3 .
This is a linear Volterra integral equation of the second kind, with F u = u and a multiplicative kernel K ( t ) = t , for which the exact solution is u ( t ) = t . In this case, the Adomian polynomials A n ( t ) associated with the function K ( t ) F u ( t ) = t u ( t ) are simply written according to (45), as A n ( t ) = t u n ( t ) . Applying the iterative process in (14) leads to the following relations:
n = 0 : u 0 IIR ( t k ) = f ( t k ) , n = 1 , , N a : u n IIR ( t k ) = u n IIR ( t k 1 ) + T e 2 A n 1 ( t k ) + A n 1 ( t k 1 ) , with A n 1 ( t ) = t u n 1 IIR ( t ) , u ˜ N a IIR ( t k ) = u 0 IIR ( t k ) + n = 1 N a u n IIR ( t k ) .
The results shown in Figure 4a correspond to the IIRFM-A solution of the IE1 integral equation, obtained using the relations (49), for t [ 0 , 1 ] , T e = 0.01 , and N a = 10 . The symbols correspond to the numerical solution u ˜ N a IIR of IE1. The correspondence with the analytical results (solid line) is very good. Here, it was found that ε 2 IIR = 1.20 × 10 5 and ε IIR = 2.35 × 10 5 .
Solving Equation (IE1) using the finite-difference (FD) method led to the following recurrence relation, valid for n 1 :
u n = u n 1 + ( n 1 ) T e 2 u n 1 + T e f ˙ n 1 ,
where u 0 = f ( 0 ) = 0 . Using the value T e = 10 2 , the maximum absolute error obtained over I t = [ 0 , 1 ] was ε FD = 1.52 × 10 16 , which is better than ε IIR .
Example 7. 
(IE2): u ( t ) = f ( t ) 0 t t u 2 ( t ) d t with f ( t ) = t 2 + 1 6 t 6 .
This is a purely non-linear Volterra integral equation of the second kind, with F u = u 2 and a multiplicative kernel K ( t ) = t , for which the exact solution is u ( t ) = t 2 .
In this case, the Adomian polynomials A n ( t ) associated with the function K ( t ) F u ( t ) = t u 2 ( t ) are written, according to (45), as A n ( t ) = t A n ( t ) with A n given by Equation (12) when NL [ u ] = F u = u 2 . Recall that Equation (23) gives the first eight Adomian A n polynomials corresponding to NL [ u ] = F u = u 2 .
Applying the iterative process (14) leads to the same relations as (49) but with
A n 1 ( t ) = t A n 1 u 0 IIR , , u n 1 IIR ( t ) .
The results shown in Figure 4b correspond to the IIRFM-A solution of the IE2 integral equation, obtained using relations (49) in conjunction with Equation (51), for t [ 0 , 1 ] , T e = 0.01 , and N a = 10 . The symbols correspond to the numerical solution u ˜ N a IIR of IE2. The correspondence with the analytical results (solid line) is still very good. Here, it was found that ε 2 IIR = 1.20 × 10 5 and ε IIR = 3.28 × 10 5 .
Solving Equation (IE2) using the finite-difference (FD) method led to the following recurrence relation, valid for n 1 :
u n = u n 1 + T e f ˙ n 1 ( n 1 ) T e 2 u n 1 2 ,
where u 0 = f ( 0 ) = 0 . Using the value T e = 10 2 , the errors obtained over I t = [ 0 , 1 ] were ε FD = 7.00 × 10 3 and ε 2 FD = 4.98 × 10 3 . In this case, the IIRFM-A approach is more accurate than the FD method. This is generally the case when the exact solution is not proportional to t.
Example 8. 
(IE3): u ( t ) = f ( t ) 0 t t u 3 ( t ) d t with f ( t ) = t + 1 5 t 5 .
This is a purely non-linear Volterra integral equation of the second kind, with F u = u 3 and a multiplicative kernel K ( t ) = t , for which the exact solution is u ( t ) = t . This IE was numerically solved by Shiralashetti et al. [12] using Fibonacci wavelets for t [ 0 , 1 ] .
The IIRFM-A solution of IE3 is similar to what was done in the two previous examples and uses relations (49) in conjunction with Equation (51). Only the A n Adomian polynomials are different here, but they are still calculated using Equation (12). Table 6 presents the absolute errors obtained for different values of t, using the method of Shiralashetti et al. ( ε Sh for six wavelets) and the IIRFM-A method ( ε IIR for N a = 6 and T e = 10 3 ).
Solving Equation (IE3) using the finite-difference (FD) method led to the following recurrence relation, valid for n 1 :
u n = u n 1 + T e f ˙ n 1 ( n 1 ) T e 2 u n 1 3 ,
where u 0 = f ( 0 ) = 0 .
As can be seen in Table 6, the IIRFM-A method is more precise than Shiralashetti et al.’s method but is less precise in this case than the FD method. As previously mentioned, the FD method is remarkably accurate when the solution is proportional to t, which is the case here.

2.5.3. Discussion

The previous results showed that the IIRFM-A method was the most accurate among the various numerical methods (Touchard’s polynomial method, Saadeh’s method, and Shiralashetti’s method) used in the examples proposed in the present study. Compared with the finite-difference method, the IIRFM-A method was the most accurate whenever the solution differed from u ( t ) = α t .
It should also be noted that using the finite-difference method to solve integral equations required the calculation of derivatives of the source function f ( t ) . This can induce singularities at t = 0 when f ( t ) contains terms proportional to t α , with α < 1 (see Example 3). The IIRFM-A method is not affected by these difficulties.
In addition, if the values of f ( t ) are obtained from experimental data, the numerical calculation of the derivatives being a very noisy process, then using the FD method may prove to be a prohibitive option.

2.5.4. IIRFM-A Properties

The IIRFM-A method combines different mathematical concepts, each of which has properties that influence the method’s global performance.
First of all, remember that the IIRFM is a non-iterative method that is based on a first-order decomposition (FOD). This decomposition can be exact (and in this case, introduces no numerical error) or approximate. The first-order linear ordinary differential equations (ODE1s) resulting from FOD are then solved numerically using the composite trapezoidal rule (bilinear transformation), which is a robust and consistent A-stable method with at least O ( T e 2 ) accuracy.
The IIRFM-A method adds the Adomian decomposition method (ADM) to the IIRFM method. The ADM is an iterative method, whose convergence and unicity of the solution have been widely studied in the case of non-linear Volterra integral equations [25,26,27,28].

2.5.5. Solving First-Order Ordinary Differential Equations Using IIRFM-A

In this section, it is shown that the IIRFM-A method can also be used to numerically solve any type of ordinary first-order differential equation.
Consider a first-order ordinary differential equation (ODE), written in the following very general form:
u ˙ ( t ) + λ K ( t ) F u ( t ) = g ( t ) ,
where λ is a constant and F u is any functional (linear or non-linear) of the unknown function u. By integrating (54) for t [ 0 , t ] , the following integral equation is obtained:
u ( t ) = u ( 0 ) + 0 t g ( t ) d t λ 0 t K ( t ) F u ( t ) d t ,
where it is assumed that both integrals exist and are finite.
Assuming that f ( t ) = u ( 0 ) + 0 t g ( t ) d t and λ = λ , the integral Equation (44) is recovered. It can therefore be deduced that the IIRFM-A method can also be used to numerically solve first-order ODEs, whether linear or non-linear, with constant or variable coefficients, provided they can be written in the form of an integral equation of the type (44).
Therefore, this result represents a major extension of the recursive filter method, which is generally reserved for the domain of linear time-invariant systems (LTISs), described by linear ODEs with constant coefficients.
According to the results obtained in the present work, recursive filters can now also be used to describe the dynamics of non-invariant systems, whether linear or non-linear.

3. Basic Practical Application in Heat Transfer

Physics is a favorite application area for non-linear integral equations. So, to conclude the present study, the effectiveness of the IIRFM-A method is illustrated using a concrete example. The method is applied to the numerical solution of a non-linear thermal problem, for which no known exact solution exists.
The problem studied here concerns the time evolution of the temperature of a small solid bead when radiative heat transfer is taken into account.

3.1. Mathematical Model

Consider a small, opaque, solid, fixed, and non-deformable spherical bead of volume V = 4 3 π a 3 , with uniform temperature T ( t ) (a low thermal Biot number is considered here) and constant c m specific heat and density ρ . This bead exchanges thermal energy by convection (with constant Newton’s coefficient h) and radiation (with constant emissivity ε ) with a transparent surrounding atmosphere of constant temperature T far from the bead (see Figure 5a).
Since the temperature of the small bead is assumed to be uniform, according to the first principle of thermodynamics, its energy balance is written as follows:
d E d t = W ˙ e ( t ) + Q ˙ r e ( t ) + Q ˙ c e ( t ) ,
where d E / d t = ρ V c m d T / d t . W ˙ e ( t ) = w ˙ ( t ) V , where w ˙ ( t ) is the volumetric power density exchanged non-thermally (by the Joule effect or microwave radiation, for example). It is assumed here that w ˙ ( t ) does not depend on T ( t ) . Q ˙ r e ( t ) is the thermal power radiated by the bead:
Q ˙ r e ( t ) = A ε σ T ( t ) 4 T 4 ,
where A = 4 π a 2 , σ is the Stefan–Boltzmann constant and ε is the bead emissivity. Q ˙ c e ( t ) is the convective thermal power exchanged by the bead:
Q ˙ c e ( t ) = h A T ( t ) T ,
Therefore, the thermal energy balance takes the following form:
ρ c m V h A d T d t + T T + σ ε h T 4 T 4 = V h A w ˙ ( t ) .
Let us consider the following changes in the variables: τ = ρ c m V / h A ; z = t / τ ; and v = T / T i , where T i is the bead’s initial absolute temperature. The following non-linear dimensionless ordinary differential equation verified by v is thus obtained:
d v d z + v + σ ε h T i 3 v 4 = v + σ ε h T i 3 v 4 + V h A T i w ˙ ( z τ ) .
Finally, if we assume that β = σ ε T i 3 / h and g ( z ) = v + β v 4 + V w ˙ ( z τ ) / h A T i , the non-linear dimensionless ordinary differential equation (ODE) describing the heat balance of the bead becomes:
d v d z + v + β v 4 = g ( z ) .
A first integration of Equation (61) leads to a non-linear convolutional Volterra integral equation of the second kind of the form (1), with unit kernels K L ( t , t ) = K NL ( t , t ) = K ( t , t ) = 1 :
v ( z ) = f ( z ) + λ L 0 z v ( z ) d z + λ NL 0 z v ( z ) 4 d z ,
where f ( z ) = 1 + 0 z g ( z ) d z , λ L = 1 , λ NL = β , and NL [ v ] = v 4 .

3.2. Numerical Solution Using IIRFM-A

By applying the Laplace transform ( L ) to Equation (62), the Laplace transform v ¯ ( s ) = L ( v ) of the reduced temperature v ( z ) can be written in the form of Equation (5), with K ¯ ( s ) = L ( K ) = 1 / s , leading to the following algebraic equation:
v ¯ ( s ) = s 1 + s f ¯ ( s ) β 1 + s NL ¯ v ( s ) ,
from which the expressions for the linear H L ( s ) = s / ( 1 + s ) = 1 1 / ( 1 + s ) and the non-linear H NL ( s ) = β / ( 1 + s ) Laplace transfer functions are derived.
Using the Adomian decomposition method, the solution v ¯ ( s ) is written in the Laplace space in the form of (13), given by
v ¯ ( s ) = n = 0 v ¯ n ( s ) = s 1 + s f ¯ ( s ) β 1 + s n = 0 A n ¯ ( s ) ,
which is inverted here using the IIRFM iterative process (14), also shown graphically in Figure 1.
The IIRFM-A method introduced in Section 2 was applied here to numerically solve non-linear integral Equation (62). The relations introduced in Equation (22) are fully applicable here too, but this time using the Adomian polynomials associated with the non-linear function NL [ v ] v 4 , whose first eight polynomials A n are reproduced below:
A 0 = v 0 4 ; A 1 = 4 v 0 3 v 1 ; A 2 = 4 v 0 3 v 2 + 6 v 0 2 v 1 2 ; A 3 = 4 v 0 3 v 3 + 12 v 0 2 v 1 v 2 + 4 v 0 v 1 3 , A 4 = 4 v 0 3 v 4 + 12 v 0 2 v 1 v 3 + 6 v 0 2 v 2 2 + 12 v 0 v 1 2 v 2 + v 1 4 , A 5 = 4 v 0 3 v 5 + 12 v 0 2 v 1 v 4 + 12 v 0 2 v 2 v 3 + 12 v 0 v 1 2 v 3 + 12 v 0 v 1 v 2 2 + 4 v 1 3 v 2 , A 6 = 4 v 0 3 v 6 + 12 v 0 2 v 1 v 5 + 12 v 0 2 v 2 v 4 + 6 v 0 2 v 3 2 + 12 v 0 v 1 2 v 4 + 24 v 0 v 1 v 2 v 3 + 4 v 0 v 2 3 + 4 v 1 3 v 3 + 6 v 1 2 v 2 2 , A 7 = 4 v 0 3 v 7 + 12 v 0 2 v 1 v 6 + 12 v 0 2 v 2 v 5 + 12 v 0 2 v 3 v 4 + 12 v 0 v 1 2 v 5 + 24 v 0 v 1 v 2 v 4 + 12 v 0 v 1 v 3 2 + 12 v 0 v 2 2 v 3 + 4 v 1 3 v 4 + 12 v 1 2 v 2 v 3 + 4 v 1 v 2 3 .
Figure 5b shows the results obtained by solving non-linear integral Equation (62) using the IIRFM-A method (circles) for a copper bead of radius a = 2 mm, when w ˙ ( t ) = 0 , T / T i = 3 , g ( z ) = 3.9673 , β = 1.1942 × 10 2 , and τ = 22.87 s. The method of convergence acceleration using the Shanks transformation was used, enabling a very accurate solution of Equation (62) using the IIRFM-A method over the interval z = t / τ [ 0 , 5 ] , even for an order of approximation as low as N a = 8 .
Also shown in Figure 5b are the results (solid line) obtained by solving the non-linear first-order ODE (61) using the Runge–Kutta–Fehlberg method. As can be seen in Figure 5b, the correspondence between the results obtained using the IIRFM-A and the Runge–Kutta–Fehlberg methods is very good.

4. Conclusions

In this work, the first-order infinite impulse response filter method (IIRFM), usually reserved for the solution of linear ordinary differential equations with constant coefficients, was extended for the first time to the numerical solution of various non-linear Volterra integral equations of the second kind. The new IIRFM-A numerical solution method combines the Laplace transform, a decomposition into first-order partial fractions, a bilinear transformation, and the Adomian decomposition method.
A wide variety of examples were studied, illustrating the great flexibility of the new IIRFM-A method for solving Volterra integral equations of the second kind, with convolutional or multiplicative kernels. In addition, numerical convergence acceleration methods can be used in conjunction with the IIRFM-A method, which, in many situations, considerably reduces computation times. The IIRFM-A method was compared to four other numerical methods (Touchard’s polynomial method, Saadeh’s method, Shiralashetti’s method, and the finite-difference method) and proved to be the most accurate method whenever the solution u ( t ) was not proportional to t.
Unlike the finite-difference method, the IIRFM-A method does not require the calculation of derivatives of the source function f ( t ) in order to solve integral equations. This can be a decisive advantage in favor of the IIRFM-A method when derivatives present singularities or have to be calculated numerically.
This new approach extends the usability of first-order recursive filters, usually reserved for the study of linear time-invariant systems (LTISs), to the study of non-linear and/or non-time-invariant systems. This result represents a major advance in the field of recursive filters.
As further developments of this work, applications of the IIRFM-A method to non-linear parabolic partial differential equations, fractional-order ordinary differential equations, and fractional-order integro-differential equations [29] are currently being studied. Analysis of the convergence, stability, and robustness of the IIRFM-A method is also of key importance and will be covered in detail in a future publication.

Funding

This research received no external funding.

Data Availability Statement

The original contributions presented in this study are included in the article, further inquiries can be directed to the corresponding author.

Acknowledgments

The author would like to thank the reviewers for their enthusiastic comments, which helped to improve this document and open up interesting perspectives for the continuation of this work.

Conflicts of Interest

The author declares no conflicts of interest.

Abbreviations

The following abbreviations are used in this manuscript:
ADMAdomain decomposition method
CAIEconvolutive Abel integral equation
CIEconvolutive integral equation
CVIEconvolutive Volterra integral equation
BLTbilinear transformation
FODfirst-order decompositon
HAMhomotopic analysis method
HPMhomotopy perturbation method
IIRinfinite impulse response
IIRFMinfinite impulse response first-order filter method
IIRFM-Ainfinite impulse response first-order filter method with Adomain decomposition
LTLaplace transform
LTISlinear time-invariant system
NLCVIEnon-linear convolutive integral equation
NLIEnon-linear integral equation
NMnumerical method
ODEOrdinary Differential Equation
ODE1First-Order Ordinary Differential Equation
OIDEOrdinary Integro-Differential Equation
q-HATMq-homotopic analysis method with Laplace transform

References

  1. Wazwaz, A.M. Linear and Nonlinear Integral Equations-Methods and Applications; Springer: Berlin/Heidelberg, Germany, 2011. [Google Scholar]
  2. Yadav, O.P.; Jiwari, R. Finite element analysis and approximation of Burgers’-Fisher equation. Numer. Methods Partial Differ. Equ. 2017, 33, 1652–1677. [Google Scholar] [CrossRef]
  3. Arora, S.; Jain, R.; Kukreja, V.K. A robust Hermite spline collocation technique to study generalized Burgers-Huxley equation, generalized Burgers-Fisher equation and Modified Burgers’ equation. J. Ocean. Eng. Sci. 2022, 1–15. [Google Scholar] [CrossRef]
  4. Yousif, M.A.; Hamasalh, F.K. Conformable non-polynomial spline method: A robust and accurate numerical technique. Ain Shams Eng. J. 2024, 15, 102415. [Google Scholar] [CrossRef]
  5. Xiang, S.; Wu, Q. Numerical solutions to Volterra integral equations of the second kind with oscillatory trigonometric kernels. Appl. Math. Comput. 2013, 223, 34–44. [Google Scholar] [CrossRef]
  6. Wazwaz, A.M.; Mehanna, M.S. The Combined Laplace-Adomian Method for Handling Singular Integral Equation of Heat Transfer. Int. J. Nonlinear Sci. 2010, 10, 248–252. [Google Scholar]
  7. Heyd, R. Numerical Solution of Linear Second-Kind Convolution Volterra Integral Equations Using the First-Order Recursive Filters Method. Mathematics 2024, 12, 2416. [Google Scholar] [CrossRef]
  8. Kumar, S.; Kumar, A.; Kumar, D.; Singh, J.; Singh, A. Analytical solution of Abel integral equation arising in astrophysics via Laplace transform. J. Egypt. Math. Soc. 2015, 23, 102–107. [Google Scholar] [CrossRef]
  9. Thota, S. Solution of Generalized Abel’s Integral Equations by Homotopy Perturbation Method with Adaptation in Laplace Transformation. Sohag J. Math. 2022, 9, 29–35. [Google Scholar]
  10. Chowdhury, M.S.H.; Mohamed, M.S.; Gepreel, K.A.; Al-Malki, F.A.; Al-Humyani, M. Approximate Solutions of the Generalized Abel’s Integral Equations Using the Extension Khan’s Homotopy Analysis Transformation Method. J. Appl. Math. 2015, 2015, 357861. [Google Scholar]
  11. Bairwa, R.K.; Kumar, A.; Kumar, D. An Efficient Computation Approach for Abel’s Integral Equations of the Second Kind. Sci. Technol. Asia 2020, 25, 85–94. [Google Scholar]
  12. Shiralashetti, S.C.; Lamani, L. A modern approach for solving nonlinear Volterra integral equations using Fibonacci wavelets. Electron. J. Math. Anal. Appl. 2021, 9, 88–98. [Google Scholar]
  13. Abdullah, J.T.; Shuaa, A.H.; Al-Saedi, H.M. Touchard Method for solving nonlinear Volterra integral equation of second type. MINAR Int. J. Appl. Sci. Technol. 2022. [Google Scholar] [CrossRef]
  14. Saadeh, R.; Khalil, R. Solving Nonlinear Volterra Integral Equations by Mohanad Decomposition Method. WSEAS Trans. Math. 2024, 23, 176–183. [Google Scholar] [CrossRef]
  15. Heyd, R. Real-time heat conduction in a self-heated composite slab by Padé filters. Int. J. Heat Mass Transf. 2014, 71, 606–614. [Google Scholar] [CrossRef]
  16. Lahboub, D.; Heyd, R.; Bakak, A.; Lotfi, M.; Koumina, A. Solution of Basset integro-differential equations by IIR digital filters. Alex. Eng. J. 2022, 61, 11899–11911. [Google Scholar] [CrossRef]
  17. Lahboub, D.; Heyd, R.; Lotfi, M.; Bakak, A.; Koumina, A. Dynamics of Interacting Colloidal Particles Using the IIR Recursive Digital Filter Method. Dynamics 2024, 4, 506–525. [Google Scholar] [CrossRef]
  18. Adomian, G.; Rach, R. Noise terms in decomposition series solution. Comput. Math. Appl. 1992, 24, 61–64. [Google Scholar] [CrossRef]
  19. Adomian, G. Solving Frontier Problems of Physics: The Decomposition Method; Kluwer: Dordrecht, The Netherlands, 1994. [Google Scholar]
  20. Adomian, G. A review of the decomposition method and some recent results for nonlinear equations. Math. Comput. Model. 1990, 13, 17–43. [Google Scholar] [CrossRef]
  21. Hermann, M.; Savari, M. Nonlinear Ordinary Differential Equations: Analytical Approximation and Numerical Methods; Springer: New Delhi, India, 2016. [Google Scholar]
  22. Shanks, D. Non-linear Transformations of Divergent and Slowly Convergent Sequences. J. Math. Phys. 1955, 34, 1–42. [Google Scholar] [CrossRef]
  23. Brezinski, C. Convergence acceleration during the 20th century. J. Comput. Appl. Math. 2000, 122, 1–21. [Google Scholar] [CrossRef]
  24. Duan, J.S. Convenient analytic recurrence algorithms for the Adomian polynomials. Appl. Math. Comput. 2011, 217, 6337–6348. [Google Scholar] [CrossRef]
  25. Cherruault, Y. Convergence of Adomian’s method. Math. Comput. Model. 1990, 14, 83–86. [Google Scholar] [CrossRef]
  26. Cherruault, Y.; Saccomandi, G.; Some, B. New results for convergence of Adomian’s method applied to integral equations. Math. Comput. Model. 1992, 16, 85–93. [Google Scholar] [CrossRef]
  27. El-Kalla, I. Convergence of the Adomian method applied to a class of nonlinear integral equations. Appl. Math. Lett. 2008, 21, 372–376. [Google Scholar] [CrossRef]
  28. Rani, D.; Mishra, V. Solutions of Volterra integral and integro-differential equations using modified Laplace Adomian decomposition method. J. Appl. Math. Stat. Inf. 2019, 15, 5–18. [Google Scholar] [CrossRef]
  29. Zhang, X.; Feng, Y.; Luo, Z.; Liu, J. A spatial sixth-order numerical scheme for solving fractional partial differential equation. Appl. Math. Lett. 2025, 159, 109265. [Google Scholar] [CrossRef]
Figure 1. Solving Volterra’s non-linear convolutive integral Equation (1) using first-order linear filters H L ( s ) and H NL ( s ) , and the Adomian polynomials. For readability reasons, the iterative process has been truncated here at order N a = 4 .
Figure 1. Solving Volterra’s non-linear convolutive integral Equation (1) using first-order linear filters H L ( s ) and H NL ( s ) , and the Adomian polynomials. For readability reasons, the iterative process has been truncated here at order N a = 4 .
Mathematics 12 03612 g001
Figure 2. Numerical IIRFM-A solution of non-linear Volterra integral Equation (20) when λ = 1 and f ( t ) = 1 + 5 2 λ τ 2 λ t ( 1 + 3 λ τ ) e t / τ + 1 2 λ τ e 2 t / τ : (a) t [ 0 , 5 τ ] and T e = 0.5 τ for different orders of approximation: N a = 0 , 1, and 3. The dashed line corresponds to the analytical solution u ( t ) = 1 e t / τ . (b) t [ 0 , 16 τ ] and T e = 0.1 τ . Continuous curves were obtained for the IIRFM-A method without acceleration for different values of N a . The square symbols correspond to the IIRFM-A solution with Shanks acceleration when N a = 7 .
Figure 2. Numerical IIRFM-A solution of non-linear Volterra integral Equation (20) when λ = 1 and f ( t ) = 1 + 5 2 λ τ 2 λ t ( 1 + 3 λ τ ) e t / τ + 1 2 λ τ e 2 t / τ : (a) t [ 0 , 5 τ ] and T e = 0.5 τ for different orders of approximation: N a = 0 , 1, and 3. The dashed line corresponds to the analytical solution u ( t ) = 1 e t / τ . (b) t [ 0 , 16 τ ] and T e = 0.1 τ . Continuous curves were obtained for the IIRFM-A method without acceleration for different values of N a . The square symbols correspond to the IIRFM-A solution with Shanks acceleration when N a = 7 .
Mathematics 12 03612 g002
Figure 3. IIRFM-A numerical solution of (a) integral Equation (31) for T e = 10 3 and N a = 1 , 3, and 5; (b) integral Equation (36) for T e = 10 3 and N a = 1 , 2, and 3.
Figure 3. IIRFM-A numerical solution of (a) integral Equation (31) for T e = 10 3 and N a = 1 , 3, and 5; (b) integral Equation (36) for T e = 10 3 and N a = 1 , 2, and 3.
Mathematics 12 03612 g003
Figure 4. IIRFM-A numerical solution of integral equations: (a) IE1 with N a = 10 ; (b) IE2 with N a = 10 .
Figure 4. IIRFM-A numerical solution of integral equations: (a) IE1 with N a = 10 ; (b) IE2 with N a = 10 .
Mathematics 12 03612 g004
Figure 5. Basic Application in heat transfer. (a) Heat balance balance of a small, opaque solid sphere with uniform initial temperature T i , immersed in a transparent fluid flowing at a constant velocity u and temperature T far from the sphere. (b) Time evolution of the reduced temperature T / T i determined using the IIRFM-A method (symbols) and the Runge–Kutta–Fehlberg method (solid line).
Figure 5. Basic Application in heat transfer. (a) Heat balance balance of a small, opaque solid sphere with uniform initial temperature T i , immersed in a transparent fluid flowing at a constant velocity u and temperature T far from the sphere. (b) Time evolution of the reduced temperature T / T i determined using the IIRFM-A method (symbols) and the Runge–Kutta–Fehlberg method (solid line).
Mathematics 12 03612 g005
Table 1. (a) Maximum absolute errors ε , N t IIR and ε , N t IIR , S ; (b) root-mean-square errors ε 2 , N t IIR and ε 2 , N t IIR , S , obtained by solving Equation (20) over I t = [ 0 , 16 τ ] using the IIRFM-A method, with λ = 1 and f ( t ) = 1 + 5 2 λ τ 2 λ t ( 1 + 3 λ τ ) e t / τ + 1 2 λ τ e 2 t / τ , without acceleration (IIR) and with Shanks acceleration (IIR,S), when T e = τ / 100 . Numbers in parentheses indicate multiplying powers of ten.
Table 1. (a) Maximum absolute errors ε , N t IIR and ε , N t IIR , S ; (b) root-mean-square errors ε 2 , N t IIR and ε 2 , N t IIR , S , obtained by solving Equation (20) over I t = [ 0 , 16 τ ] using the IIRFM-A method, with λ = 1 and f ( t ) = 1 + 5 2 λ τ 2 λ t ( 1 + 3 λ τ ) e t / τ + 1 2 λ τ e 2 t / τ , without acceleration (IIR) and with Shanks acceleration (IIR,S), when T e = τ / 100 . Numbers in parentheses indicate multiplying powers of ten.
(a) Maximum absolute errors.
N a 79111315
ε , N t IIR 7.71 (−1)6.36 (−1)5.23 (−1)4.30 (−1)3.53 (−1)
ε , N t IIR , S 8.83 (−4)2.30 (−4)2.30 (−4)2.30 (−4)2.30 (−4)
(b) Root-mean-square errors.
N a 79111315
ε 2 , N t IIR 3.05 (−1)2.32 (−1)1.78 (−1)1.38 (−1)1.08 (−1)
ε 2 , N t IIR , S 1.62 (−4)8.23 (−5)8.01 (−5)7.99 (−5)7.98 (−5)
Table 2. Results of IIRFM-A convergence acceleration using the Shanks transformation when t k = 10 τ (see Figure 2b). The S-operator has been applied three times here. The exact expected value is u ( 10 τ ) = 0.999955 .
Table 2. Results of IIRFM-A convergence acceleration using the Shanks transformation when t k = 10 τ (see Figure 2b). The S-operator has been applied three times here. The exact expected value is u ( 10 τ ) = 0.999955 .
n L n ( t k ) S L n ( t k ) S 2 L n ( t k ) S 3 L n ( t k )
0 0.353787
1 0.179119 0.582687
2 0.408771 1.452308 1.135967
3 0.596999 0.955098 1.005108 0.999178
4 0.720377 1.01700 0.999435 0.998998
5 0.806960 0.996572 0.999029
6 0.866400 0.999546
70.907495
Table 3. (a) Comparison of IIRFM-A and finite-difference (FD) solution of Equation (20) for t f = 10 τ , N a = 7 , and different values of T e . (b) Influence of the N a value and the Shanks (S) convergence acceleration method on the absolute error of the IIRFM-A method. Numbers in parentheses indicate multiplying powers of ten.
Table 3. (a) Comparison of IIRFM-A and finite-difference (FD) solution of Equation (20) for t f = 10 τ , N a = 7 , and different values of T e . (b) Influence of the N a value and the Shanks (S) convergence acceleration method on the absolute error of the IIRFM-A method. Numbers in parentheses indicate multiplying powers of ten.
(a) Maximum absolute errors ( t f = 10 τ and N a = 7 ).
T e 1 τ 0.1 τ 0.01 τ 0.001 τ
ε FD 1.44 (2)8.32 (−1)7.06 (−2)6.92 (−3)
ε IIR , S 1.45 (−1)9.74 (−4)3.68 (−4)3.78 (−5)
(b) Maximum absolute errors ( t f = 10 τ and T e = 0.1 τ ).
N a 357911
ε IIR 4.03 (−1)1.93 (−1)9.25 (−2)4.45 (−2)2.17 (−2)
ε IIR , S 4.17 (−1)1.60 (−3)9.74 (−4)9.26 (−4)9.25 (−4)
Table 4. Absolute errors ε T , S , ε IIR , S , and ε FD obtained by numerically solving integral Equation (27) using the Touchard (T) [13], IIRFM-A (IIR) with Shanks acceleration (S), and finite-difference numerical methods, respectively. Numbers in parentheses indicate multiplying powers of ten.
Table 4. Absolute errors ε T , S , ε IIR , S , and ε FD obtained by numerically solving integral Equation (27) using the Touchard (T) [13], IIRFM-A (IIR) with Shanks acceleration (S), and finite-difference numerical methods, respectively. Numbers in parentheses indicate multiplying powers of ten.
t0.00.20.40.60.81.0
ε T , S 1.68 (−5)3.70 (−4)1.19 (−4)4.59 (−3)7.30 (−3)3.37 (−2)
ε FD 0.001.40 (−4)4.20 (−4)1.05 (−3)2.65 (−3)7.49 (−3)
ε IIR , S 0.009.72 (−8)2.20 (−7)2.38 (−7)1.99 (−5)2.42 (−3)
Table 5. Absolute errors ( T e = 0.001 ) ε IIR , ε S , and ε FD obtained by solving Equation (39) using the IIRFM-A method, the method of Saadeh et al. [14], and the finite-difference (FD) method, respectively.
Table 5. Absolute errors ( T e = 0.001 ) ε IIR , ε S , and ε FD obtained by solving Equation (39) using the IIRFM-A method, the method of Saadeh et al. [14], and the finite-difference (FD) method, respectively.
t0.20.40.60.81.0
ε S 1.33 ( 4 ) 2.12 ( 3 ) 1.06 ( 2 ) 3.28 ( 2 ) 1.17 ( 1 )
ε IIR 6.03 ( 9 ) 1.04 ( 8 ) 9.55 ( 8 ) 5.52 ( 7 ) 1.86 ( 6 )
ε FD 1.44 ( 14 ) 2.39 ( 13 ) 5.42 ( 13 ) 7.10 ( 13 ) 4.97 ( 13 )
Table 6. Absolute errors ε Sh , ε FD , and ε IIR obtained by numerically solving IE3 using Shiralashetti et al.’s method [12], the finite-difference method, and the IIRFM-A method, respectively.
Table 6. Absolute errors ε Sh , ε FD , and ε IIR obtained by numerically solving IE3 using Shiralashetti et al.’s method [12], the finite-difference method, and the IIRFM-A method, respectively.
t ε Sh ε IIR ε FD
0.25 5.42 × 10 5 5.20 × 10 9 5.55 × 10 17
0.50 3.12 × 10 4 4.06 × 10 8 1.67 × 10 16
Disclaimer/Publisher’s Note: The statements, opinions and data contained in all publications are solely those of the individual author(s) and contributor(s) and not of MDPI and/or the editor(s). MDPI and/or the editor(s) disclaim responsibility for any injury to people or property resulting from any ideas, methods, instructions or products referred to in the content.

Share and Cite

MDPI and ACS Style

Heyd, R. Extension of the First-Order Recursive Filters Method to Non-Linear Second-Kind Volterra Integral Equations. Mathematics 2024, 12, 3612. https://doi.org/10.3390/math12223612

AMA Style

Heyd R. Extension of the First-Order Recursive Filters Method to Non-Linear Second-Kind Volterra Integral Equations. Mathematics. 2024; 12(22):3612. https://doi.org/10.3390/math12223612

Chicago/Turabian Style

Heyd, Rodolphe. 2024. "Extension of the First-Order Recursive Filters Method to Non-Linear Second-Kind Volterra Integral Equations" Mathematics 12, no. 22: 3612. https://doi.org/10.3390/math12223612

APA Style

Heyd, R. (2024). Extension of the First-Order Recursive Filters Method to Non-Linear Second-Kind Volterra Integral Equations. Mathematics, 12(22), 3612. https://doi.org/10.3390/math12223612

Note that from the first issue of 2016, this journal uses article numbers instead of page numbers. See further details here.

Article Metrics

Back to TopTop