Carbon Asset Management Mode Selection for Capital-Constrained Enterprises
Abstract
1. Introduction
2. Literature Review
2.1. Carbon Asset Management for Enterprises
2.2. Low-Carbon Production Operations for Enterprises
3. Problem Description and Notations
4. Models Under Different Carbon Asset Management Modes
4.1. Benchmark: Carbon Quota Compliance ()
- (1) If , then
- (2) If , thenwhere , , , , .
4.2. Carbon Asset Autonomous Management ()
- (1) If , then
- (2) If , thenwhere , , .
4.3. Carbon Asset Custody ()
- (1) If , then
- (2) If , thenwhere , , .
5. Mode Selection
5.1. Comparing and Modes
- (1) If , then .
- (2) If , and , then . If , then .
- (1) If , then .
- (2) If , and , then . If , and , then .
5.2. Comparing and Modes
- (1) When , we have , .
- (2) When , if , then . If , then .
- (3) When and , if , then . When and , we have . If , then .
5.3. Comparing and Modes
- (1) If , then .
- (2) If , then .
- (1) If , then .
- (2) If , and , then . If , then .
- (1) If , then .
- (2) If , and , then . If and , then .
- (1) If , then .
- (2) If , then .
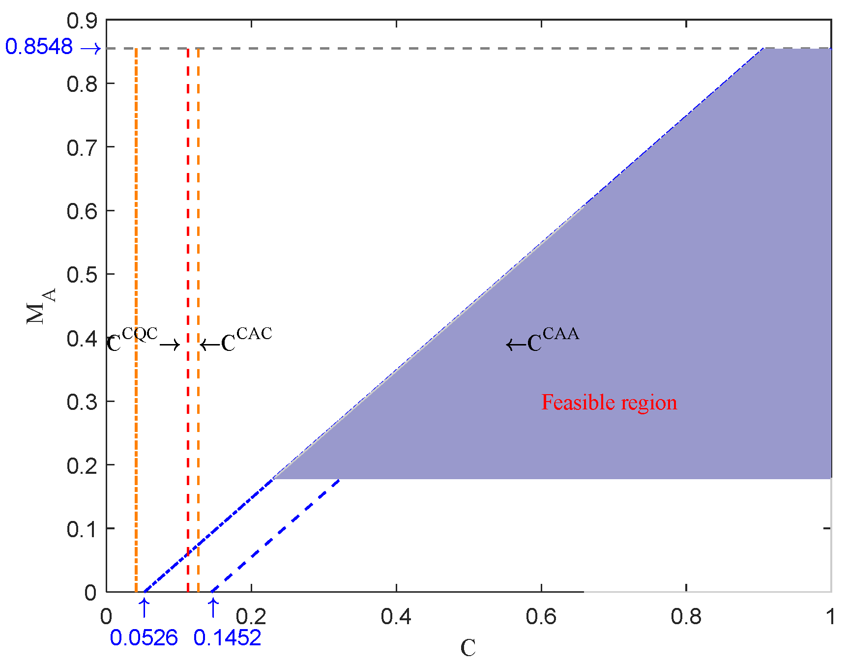
6. Case Study
6.1. The Carbon Asset Management Mode Selection for Low-Emission Enterprises
6.2. The Carbon Asset Management Mode Selection for Medium-Emission Enterprises
6.3. The Carbon Asset Management Mode Selection for High-Emission Enterprises
6.4. Management Insights
- (1)
- Considering the profits, the mode is the optimal choice if an enterprise can effectively control the setup cost of creating a carbon asset management department. Otherwise, choosing the or mode can avoid the costs and risks associated with establishing a carbon asset management department. If capital is tight, the mode is suggested to be chosen, otherwise, the mode is preferable.
- (2)
- Considering the carbon emissions, low-emission, and medium-emission enterprises are suggested to choose the mode when capital is tight and the mode is preferable when capital is sufficient. High-emission enterprises are suggested to choose the mode when capital is abundant. When capital is tight, we suggest high-emission enterprises choose the mode if the setup cost of creating a carbon asset management department is high, otherwise, the mode is preferable.
- (3)
- Considering both profits and carbon emissions, when the enterprise’s capital and the setup cost of creating a carbon asset management department are within a certain range, high-emission, medium-emission, and low-emission enterprises should adopt the , , and mode, respectively.
7. Conclusions
Author Contributions
Funding
Data Availability Statement
Acknowledgments
Conflicts of Interest
Appendix A
- The Lagrangian functions of Equations (1) and (2) and the K-T optimality conditions are as follows:
- When , we have . Substitute and into Equation (1), then set , . It can be obtained that , . Accordingly, the demand for regular products and green products is , . Where , . Meanwhile, the enterprise’s capital should satisfy and . Substituting , , and into Equation (1), can be obtained. Similarly, .
- When , we have . Substitute and into Equation (1), then set , . It can be obtained that , . The demand for regular products and green products is , . Where . Meanwhile, the enterprise’s capital should satisfy . Substituting , , and into Equation (1), can be obtained. Accordingly, . Where is the denominator of , i.e., . □
- Where , .
- Also, . Let , i.e., , then . If , i.e., , then when , we have .
- Based on the above analysis, can be obtained. Let . When , if , i.e., , then . When , i.e., , we have . □
- When , i.e., , if , i.e., , then . When , i.e., , if , then . Where , . □
- (1) When , we have , .
- (2) When , we have into the equation, we have .
- Let , , . Then, we have , . There exists a threshold , when , we have . Let , then when , we have .
- Also, . Let . Then, when , i.e., , we have . When , i.e., , we have .
- (3) When , we have . Substituting into this equation, we can obtain .
- Let , , . Also, let , . When , i.e., , we have . If , then . If , then .
- From the calculation, we have . When , i.e., , we have . Where .
- When , i.e., , we have . □
- From calculation, we have . If , i.e., , then when , we can obtain . Where . If , i.e., , then .
- Through calculation, we can obtain . When , i.e., , if , i.e., , then . Where . □
- From the calculation, we have . If , i.e., , then when , we have . If , i.e., , then when , we have . Where .
- Thus, we can obtain . When , i.e., , if , then . When , i.e., , we have . Where . So, when , we have . □
References
- Bai, J.; Ru, H. Carbon Emissions Trading and Environmental Protection: International Evidence. Manag. Sci. 2024, 70, 4593–4603. [Google Scholar] [CrossRef]
- Gong, Y.; Jiang, X.; Wang, Z.; Zhan, J. Considering Blockchain Technology and Fairness Concerns for Supply Chain Pricing Decisions under Carbon Cap-and-Trade Mechanism. Mathematics 2024, 12, 2550. [Google Scholar] [CrossRef]
- Fu, S.; Chen, W.; Ding, J.; Zhang, G. Is Carbon Asset Pledge Financing Contributing to the Operation of Emission-Dependent Engineering Machinery Remanufacturing with Emission Abatement? Int. J. Prod. Econ. 2023, 266, 109019. [Google Scholar] [CrossRef]
- Fu, S.; Chen, W.; Ding, J. Can Carbon Asset Pledge Financing Be Beneficial for Carbon Emission-Dependent Engineering Machinery Remanufacturing? Int. J. Prod. Res. 2023, 61, 6533–6551. [Google Scholar] [CrossRef]
- Desai, H.; Lam, P.; Li, B.; Rajgopal, S. An Analysis of Carbon-Reduction Pledges of U.S. Oil and Gas Companies. Manag. Sci. 2023, 69, 3748–3758. [Google Scholar] [CrossRef]
- Zhou, K.; Li, Y. Carbon Finance and Carbon Market in China: Progress and Challenges. J. Clean. Prod. 2019, 214, 536–549. [Google Scholar] [CrossRef]
- Feng, T.; Cui, M.; Zhang, M.; Liu, L. How to Construct a Carbon Asset Management System for Chinese Power Enterprises: A Survey-Based Approach. Energies 2024, 17, 3978. [Google Scholar] [CrossRef]
- Liu, L.; Wang, K.; Lu, G.; Xia, P.; Zhang, F.; Wen, F. A Decision-Making Model for Custodian Institutions to Participate in a Carbon Market Considering Risk Preferences and Investment Constraints. In Proceedings of the 2023 IEEE 7th Conference on Energy Internet and Energy System Integration (EI2), Hangzhou, China, 15 December 2023; pp. 4292–4298. [Google Scholar]
- RGE to Establish First Foreign-Owned CCER Carbon Asset Service Trust in China. Available online: https://en.prnasia.com/releases/apac/rge-to-establish-first-foreign-owned-ccer-carbon-asset-service-trust-in-china-346887.shtml (accessed on 6 October 2024).
- Kang, Y.; Dong, P.; Ju, Y.; Zhang, T. Differential Game Theoretic Analysis of the Blockchain Technology Investment and Carbon Reduction Strategy in Digital Supply Chain with Government Intervention. Comput. Ind. Eng. 2024, 189, 109953. [Google Scholar] [CrossRef]
- Guo, J.; Zhong, M.; Chen, S. Analysis and Simulation of BECCS Vertical Integration Model in China Based on Evolutionary Game and System Dynamics. Energy 2022, 252, 124000. [Google Scholar] [CrossRef]
- Gao, F.; Souza, G.C. Carbon Offsetting with Eco-Conscious Consumers. Manag. Sci. 2022, 68, 7879–7897. [Google Scholar] [CrossRef]
- Linghu, D.; Wu, X.; Lai, K.H.; Ye, F.; Kumar, A.; Tan, K.H. Implementation Strategy and Emission Reduction Effectiveness of Carbon Cap-and-Trade in Heterogeneous Enterprises. Int. J. Prod. Econ. 2022, 248, 108501. [Google Scholar] [CrossRef]
- Gao, G.X.; Fan, Z.P.; Fang, X.; Lim, Y.F. Optimal Stackelberg Strategies for Financing a Supply Chain through Online Peer-to-Peer Lending. Eur. J. Oper. Res. 2018, 267, 585–597. [Google Scholar] [CrossRef]
- Lu, S.; Hou, W.; Li, Z.; Xia, J.; Xie, L.; Su, H. Design and Optimisation of a Green Manufacturing-Recycling Network Considering Heavy Metal Pollutants–an Electronic Assembly Case. Int. J. Prod. Res. 2022, 60, 2830–2849. [Google Scholar] [CrossRef]
- Ma, X.; Chen, W. Optimal Ordering and Production Decisions for Remanufacturing Firms with Carbon Options under Demand Uncertainty. Environ. Sci. Pollut. Res. 2023, 30, 34378–34393. [Google Scholar] [CrossRef]
- Wang, S.Y.; Choi, S.H. Decision Analysis with Green Awareness and Demand Uncertainties under the Option-Available ETS System. Comput. Ind. Eng. 2020, 140, 106254. [Google Scholar] [CrossRef]
- Chevallier, J. Green Finance and the Restructuring of the Oil-Gas-Coal Business Model under Carbon Asset Stranding Constraints. Energy Policy 2021, 149, 112055. [Google Scholar] [CrossRef]
- Wang, Y. Optimal Power Scheduling Using Data-Driven Carbon Emission Flow Modelling for Carbon Intensity Control. IEEE Trans. Power Syst. 2022, 37, 2874–2905. [Google Scholar] [CrossRef]
- Liu, H.; Kou, X.; Xu, G.; Qiu, X.; Liu, H. Which Emission Reduction Mode Is the Best under the Carbon Cap-and-Trade Mechanism? J. Clean. Prod. 2021, 314, 128053. [Google Scholar] [CrossRef]
- Li, M.; Ji, X.; Zhang, B. Allocation of Carbon Emission Permits in Heterogeneous Complex Network Systems: A DEA-Based Study among China’s Industrial Sectors. Comput. Ind. Eng. 2022, 174, 108836. [Google Scholar] [CrossRef]
- Yu, A.; Lee, A.; Chen, Y. Carbon Allocation Targeting with Abatement Capability: A Firm-Level Study. Int. J. Prod. Econ. 2021, 235, 108092. [Google Scholar] [CrossRef]
- Ma, J.; Si, F.; Zhang, Q. Huijiang Evolution Delayed Decision Game Based on Carbon Emission and Capacity Sharing in the Chinese Market. Int. J. Prod. Res. 2023, 61, 6675–6690. [Google Scholar] [CrossRef]
- Fang, Y.; Ren, Z.; Yang, F. The Impact of Carbon Allowance Allocation Rules on Remanufacturing Decisions in a Closed-Loop Supply Chain. Mathematics 2023, 11, 2817. [Google Scholar] [CrossRef]
- Wang, M.; Zhao, L.; Herty, M. Modelling Carbon Trading and Refrigerated Logistics Services within a Fresh Food Supply Chain under Carbon Cap-and-Trade Regulation. Int. J. Prod. Res. 2018, 56, 4207–4225. [Google Scholar] [CrossRef]
- Gopalakrishnan, S.; Granot, D.; Granot, F.; Sošic, G.; Cui, H. Incentives and Emission Responsibility Allocation in Supply Chains. Manag. Sci. 2021, 67, 4172–4190. [Google Scholar] [CrossRef]
- Qi, X.; Han, Y. The Design of the Intertemporal Trading Ratio of Carbon Quotas. J. Clean. Prod. 2022, 370, 133481. [Google Scholar] [CrossRef]
- Qi, X.; Han, Y. The Impact of Technological Innovation for Emission Reduction on Decision-Making for Intertemporal Carbon Trading. Comput. Ind. Eng. 2023, 186, 109739. [Google Scholar] [CrossRef]
- Xian, Y.; Li, N.; Zhao, M. Market Potential and the Industrial Sectors Inclusion Sequence in China’s National Carbon Emission Trading: From the Perspective of Maximizing Gains. J. Clean. Prod. 2024, 435, 140511. [Google Scholar] [CrossRef]
- Ding, J.; Chen, W. Remanufacturing Supply Chain Coordination through Option Contracts under Uncertain Demand. Ann. Oper. Res. 2023. [Google Scholar] [CrossRef]
- Wang, Y.; Wang, F.; Wang, Z. How Carbon Allowance Allocation Rule Affects Manufacturing/Remanufacturing Decisions under the Carbon Credits Buy-Back Policy. Energy Rep. 2022, 8, 14061–14071. [Google Scholar] [CrossRef]
- Wang, Y.; Yu, T.; Wu, Q.; Cheng, T.C.E.; Sun, Y. Optimal Carbon Quota Allocation for a Capital-Constrained e-Commerce Supply Chain under the Carbon Rights Buyback Policy. Comput. Ind. Eng. 2024, 188, 109902. [Google Scholar] [CrossRef]
- Zhang, Z.; Chen, W.; Li, C. Repurchase or Pledge? Financing and Production Decisions of Engineering Machinery Remanufacturing Firms. J. Clean. Prod. 2023, 429, 139309. [Google Scholar] [CrossRef]
- Zhao, P.; Deng, Q.; Zhou, J.; Han, W.; Gong, G.; Jiang, C. Optimal Production Decisions for Remanufacturing End-of-Life Products under Quality Uncertainty and a Carbon Cap-and-Trade Policy. Comput. Ind. Eng. 2021, 162, 107646. [Google Scholar] [CrossRef]
- Xia, X.; Li, C.; Zhu, Q. Game Analysis for the Impact of Carbon Trading on Low-Carbon Supply Chain. J. Clean. Prod. 2020, 276, 123220. [Google Scholar] [CrossRef]
- Fan, X.; Chen, K.; Chen, Y. Is Price Commitment a Better Solution to Control Carbon Emissions and Promote Technology Investment? Manag. Sci. 2023, 69, 325–341. [Google Scholar] [CrossRef]
- Li, X.; Zhu, G. Green Supply Chain Coordination Considering Carbon Emissions and Product Green Level Dependent Demand. Mathematics 2023, 11, 2355. [Google Scholar] [CrossRef]
- Yang, R.; Tang, W.; Zhang, J. Technology Improvement Strategy for Green Products under Competition: The Role of Government Subsidy. Eur. J. Oper. Res. 2021, 289, 553–568. [Google Scholar] [CrossRef]
- Deng, L.; Tan, J.; Dai, J. Analysis of Decision-Making in a Green Supply Chain under Different Carbon Tax Policies. Mathematics 2023, 11, 4631. [Google Scholar] [CrossRef]
- Rustico, E.; Dimitrov, S. Environmental Taxation: The Impact of Carbon Tax Policy Commitment on Technology Choice and Social Welfare. Int. J. Prod. Econ. 2022, 243, 108328. [Google Scholar] [CrossRef]
- Deng, L.; Yu, X. Optimal Financing Strategy in a Dual-Channel Supply Chain with Agricultural Product. Mathematics 2024, 12, 2835. [Google Scholar] [CrossRef]
- Zhang, Q.; Chen, K.; Wang, S.; Zhang, Z. Green Production Investment Policy and Financing Format Selection for a Capital-Constrained Manufacturer. Ind. Eng. 2024, 194, 110349. [Google Scholar] [CrossRef]
- Dash Wu, D.; Yang, L.; Olson, D.L. Green Supply Chain Management under Capital Constraint. Int. J. Prod. Econ. 2019, 215, 3–10. [Google Scholar] [CrossRef]
- An, S.; Li, B.; Song, D.; Chen, X. Green Credit Financing versus Trade Credit Financing in a Supply Chain with Carbon Emission Limits. Eur. J. Oper. Res. 2021, 292, 125–142. [Google Scholar] [CrossRef]
- Cao, E.; Du, L.; Ruan, J. Financing Preferences and Performance for an Emission-Dependent Supply Chain: Supplier vs. Bank. Int. J. Prod. Econ. 2019, 208, 383–399. [Google Scholar] [CrossRef]
- Wang, Y.; Lv, L.; Shen, L.; Tang, R. Manufacturer’s Decision-Making Model under Carbon Emission Permits Repurchase Strategy and Capital Constraints. Int. J. Prod. Res. 2024, 62, 8073–8091. [Google Scholar] [CrossRef]
- Huang, Y.-S.; Fang, C.-C.; Lin, S.-Y. Pricing and Operating Strategies for Products in the Sharing Economy. Int. J. Prod. Econ. 2023, 266, 109038. [Google Scholar] [CrossRef]
- European Commission. Development of EU ETS (2005–2020). Available online: https://climate.ec.europa.eu/eu-action/eu-emissions-trading-system-eu-ets/development-eu-ets-2005-2020_en (accessed on 30 October 2024).
- Ji, J.; Zhang, Z.; Yang, L. Comparisons of Initial Carbon Allowance Allocation Rules in an O2O Retail Supply Chain with the Cap-and-Trade Regulation. Int. J. Prod. Econ. 2017, 187, 68–84. [Google Scholar] [CrossRef]
- Chen, W.; Zhang, Y.; Yang, H. The Impact of Cap-and-Trade Mechanisms and Bank Credit on Renewable Energy Investment. IEEE Trans. Eng. Manag. 2024, 71, 7379–7394. [Google Scholar] [CrossRef]
- Chen, Y.; Zhang, R.; Liu, B. New Product Financing Decision: Crowdfunding, Bank or Supply Chain? Int. J. Prod. Econ. 2022, 249, 108536. [Google Scholar] [CrossRef]
- Xu, L.; Luo, Y.; Chen, J.; Zhou, S. Capacity Prioritization Allocation and Credit Financing Option in Shipping Freight Forwarding Market. Comput. Ind. Eng. 2024, 189, 109987. [Google Scholar] [CrossRef]
- National Bureau of Statistics of China The Average Number of Major Durable Goods Owned per 100 Households at Year-End Across Various Regions in China (2022). Available online: https://www.stats.gov.cn/sj/ndsj/2023/indexch.htm (accessed on 30 October 2024).
- Cost-Benefit Assessment of Electric Vehicles in China (2020–2035). Available online: https://theicct.org/wp-content/uploads/2021/06/EV-costs-benefits-china-CH-apr2021.pdf (accessed on 6 October 2024).
- Shao, L.; Yang, J.; Zhang, M. Subsidy Scheme or Price Discount Scheme? Mass Adoption of Electric Vehicles under Different Market Structures. Eur. J. Oper. Res. 2017, 262, 1181–1195. [Google Scholar] [CrossRef]
- IEA. Key World Energy Statistics 2019. Available online: https://www.iea.org/events/key-world-energy-statistics-2019 (accessed on 6 October 2024).















| Literature | Carbon Trading | Carbon Asset Management Modes | Capital Constraints | Low-Carbon Production |
|---|---|---|---|---|
| Wang et al. [25] | √ | - | - | |
| Xia et al. [35] | √ | - | √ | |
| Yang et al. [38] | - | - | - | √ |
| Yu et al. [22] | √ | - | √ | |
| Yang et al. [42] | - | - | √ | √ |
| Linghu et al. [13] | √ | - | - | |
| Fan et al. [36] | √ | - | √ | |
| Ma et al. [23] | √ | - | √ | |
| Ma and Chen [16] | √ | - | √ | |
| Xian et al. [29] | √ | - | - | |
| This Paper | √ | , and | √ | √ |
| Symbol | Description |
|---|---|
| Decision variables | |
| The price of regular products per unit | |
| The price of green products per unit | |
| Parameters | |
| Demand for regular products | |
| Demand for green products | |
| Production cost per unit of regular product | |
| Production cost per unit of green product | |
| Carbon emissions per unit of regular product | |
| Carbon emissions per unit of green product | |
| Free carbon allowances per unit of product | |
| The perceived value of the product to the consumer | |
| The utility consumers derive from regular products | |
| The utility consumers derive from green products | |
| The trading price per unit of carbon quota | |
| Revenue from autonomous management of unit carbon assets | |
| Cost from autonomous management of unit carbon assets | |
| Setup cost for establishing a carbon asset management department | |
| Revenue from carbon assets of custodian institutions hosting units | |
| Custody fee for carbon assets per unit | |
| The proportion of carbon asset returns (or losses) acquired by the custodian | |
| Available capital of the enterprise | |
| Abbreviations | |
| Carbon quota compliance | |
| Carbon asset autonomous management | |
| Carbon asset custody |
| Parameters | Values | Parameters | Values |
|---|---|---|---|
| 0.5 | 0.0005 | ||
| 0.65 | 0.9 | ||
| 0.3 | 0.6330 | ||
| 0.1 | 0.7930 | ||
| 0.15 | 0.4373 | ||
| 0.8 | 0.4 |
Disclaimer/Publisher’s Note: The statements, opinions and data contained in all publications are solely those of the individual author(s) and contributor(s) and not of MDPI and/or the editor(s). MDPI and/or the editor(s) disclaim responsibility for any injury to people or property resulting from any ideas, methods, instructions or products referred to in the content. |
© 2024 by the authors. Licensee MDPI, Basel, Switzerland. This article is an open access article distributed under the terms and conditions of the Creative Commons Attribution (CC BY) license (https://creativecommons.org/licenses/by/4.0/).
Share and Cite
Lang, Y.; Ji, X.; Wang, Y.; He, Y. Carbon Asset Management Mode Selection for Capital-Constrained Enterprises. Mathematics 2024, 12, 3519. https://doi.org/10.3390/math12223519
Lang Y, Ji X, Wang Y, He Y. Carbon Asset Management Mode Selection for Capital-Constrained Enterprises. Mathematics. 2024; 12(22):3519. https://doi.org/10.3390/math12223519
Chicago/Turabian StyleLang, Yutong, Xiaoyu Ji, Yingtong Wang, and Yingfu He. 2024. "Carbon Asset Management Mode Selection for Capital-Constrained Enterprises" Mathematics 12, no. 22: 3519. https://doi.org/10.3390/math12223519
APA StyleLang, Y., Ji, X., Wang, Y., & He, Y. (2024). Carbon Asset Management Mode Selection for Capital-Constrained Enterprises. Mathematics, 12(22), 3519. https://doi.org/10.3390/math12223519

