Next Article in Journal
Neural Operator for Planetary Remote Sensing Super-Resolution with Spectral Learning
Previous Article in Journal
A Bilevel Approach to the Facility Location Problem with Customer Preferences Under a Mill Pricing Policy
 
 
Font Type:
Arial Georgia Verdana
Font Size:
Aa Aa Aa
Line Spacing:
Column Width:
Background:
Article

rlaNet: A Residual Convolution Nested Long-Short-Term Memory Model with an Attention Mechanism for Wind Turbine Fault Diagnosis

1
College of Information Science and Engineering, Northeastern University, Shenyang 110819, China
2
The School of Electrical Engineering, Yanshan University, Qinhuangdao 066004, China
*
Author to whom correspondence should be addressed.
Mathematics 2024, 12(22), 3460; https://doi.org/10.3390/math12223460
Submission received: 6 October 2024 / Revised: 28 October 2024 / Accepted: 2 November 2024 / Published: 6 November 2024

Abstract

This paper proposes a new fault diagnosis model for wind power systems called residual convolution nested long short-term memory network with an attention mechanism (rlaNet). The method first preprocesses the SCADA data through feature engineering, uses the Hermite interpolation method to handle missing data, and uses the mutual information-based dimensionality reduction technique to improve data quality and eliminate redundant information. rlaNet combines residual networks and nested long short-term memory networks to replace traditional convolutional neural networks and standard long short-term memory architectures, thereby improving feature extraction and ensuring the abstractness and depth of the extracted features. In addition, the model emphasizes the weighted learning of spatiotemporal features in the input data, enhances the focus on key features, and improves training efficiency. Experimental results show that rlaNet achieves an accuracy of more than 90% in wind turbine fault diagnosis, showing good robustness. Furthermore, noise simulation experiments verify the model’s resistance to interference, providing a reliable solution for wind turbine fault diagnosis under complex operating conditions.

1. Introduction

In the context of the global energy transition, wind power, as a representative of renewable energy, has been widely adopted and has become an important component of the energy structure in many countries [1]. As the scale of wind farms expands and their operational lifespan increases, the issue of wind turbine faults has become increasingly prominent, especially when large-scale wind farms are connected to the grid, as faults can have significant impacts on grid stability [2]. The complex structure and operating environment of wind turbines lead to various fault types and high maintenance costs [3]. Therefore, effectively diagnosing wind turbine faults has become a key issue in ensuring their safe and stable operation [4].
Currently, fault diagnosis methods for wind turbines are mainly classified into three categories: physics-based methods, signal-processing methods, and data-driven methods.
Physics-based methods typically rely on accurate mathematical models of the wind turbine to detect faults by analyzing its dynamic behavior. A. Hwas et al. [5] proposed a quantitative model-based approach for early fault detection and designed an observer through simulation and simplified model design to monitor system faults. S. Simani et al. [6] employed a Takagi–Sugeno fuzzy model to generate residuals for fault detection and isolation in wind farms, demonstrating effectiveness in high-noise environments. S. Benmoussa et al. [7] utilized a Support Vector Machine (SVM) classifier for wind turbine fault diagnosis, combining physical models to predict faults and estimate remaining useful life. However, due to the complex structure and variable operating environment of wind turbines, constructing accurate models poses significant challenges, leading to suboptimal results in practical applications.
Signal-processing methods analyze signals such as vibrations, noise, and current during wind turbine operation, utilizing frequency-domain or time-frequency-domain analysis techniques, such as Fourier transform and wavelet analysis, to identify early faults. The Empirical Wavelet Transform (EWT) has been employed for bearing fault diagnosis in wind turbines, effectively enhancing the identification capability of weak faults by extracting inherent modulation information from vibration signals [8]. Additionally, Variational Mode Decomposition (VMD), combined with Particle Swarm Optimization (PSO), improves the accuracy of signal processing in complex fault scenarios through signal decomposition techniques [9]. Research also indicates that multi-scale convolutional neural networks (MSCNNs) can play a crucial role in the multi-scale feature extraction of vibration signals by integrating traditional signal-processing techniques [10]. However, these methods often struggle to meet practical needs regarding diagnostic accuracy in complex operating conditions with significant noise interference.
With the development of machine learning and deep learning technologies, data-driven fault diagnosis methods have become a research hotspot. These methods differentiate between operational states and fault categories by analyzing the differences in fault data of wind turbines under various operating conditions, thereby achieving fault diagnosis [11,12,13,14].
As Artificial Neural Networks (ANNs) have advanced, they have been widely applied in the field of wind turbine fault diagnosis due to their powerful nonlinear mapping capabilities. The authors of [15] were the first to apply ANNs to the fault diagnosis of wind turbine SCADA (Supervisory Control and Data Acquisition) data, training neural networks using normal operating data and quantifying the errors between normal and fault states, which improved diagnostic accuracy. However, the imbalance and variability of data distribution can significantly impact the accuracy of fault diagnosis [16], and relying solely on static observations at a specific moment cannot accurately reflect the overall condition of the equipment [17].
To address this issue, long short-term memory (LSTM) networks have been introduced for wind turbine fault diagnosis due to their ability to capture long-term dependencies in time-series data. LSTM can handle multi-dimensional data containing time-series features, enabling the accurate diagnosis of turbine faults [18,19]. Moreover, models that combine convolutional neural networks (CNNs) with LSTM, such as the diagnostic method based on CNNs and Gated Recurrent Units (GRUs) proposed in [20], further improve fault diagnosis accuracy by integrating the spatial and temporal features of SCADA data. However, this method is heavily dependent on large-scale, high-quality data, which poses certain challenges in data preprocessing [21].
To overcome the shortcomings of existing methods, this paper proposes a residual convolutional nested long short-term memory network based on spatial-temporal attention (STA) for multi-class wind turbine fault diagnosis. First, feature engineering [22] is applied to the SCADA data of wind turbines, introducing a preprocessing method based on a padding strategy that effectively addresses the issues of missing data, noise, and outliers, thereby enhancing data quality and continuity. Second, a spatial-temporal attention model that integrates a CNN and a nested LSTM (NLSTM) is designed, utilizing the CNN to extract local features from wind turbine operational data, while NLSTM captures global dependencies in the time dimension, enhancing the network’s focus on important features through the spatial-temporal attention mechanism. This model demonstrates strong feature extraction capabilities and robustness in processing long time-series data. In summary, the main contributions of this work are as follows:
  • This paper proposes a fault diagnosis model based on residual convolution nested long short-term memory networks, specifically designed for wind power systems, enhancing performance in handling multi-dimensional time-series data.
  • This research improves the model’s feature extraction capability by replacing traditional CNNs with ResNets and substituting standard LSTMs with NLSTMs, resulting in more abstract and profound extracted features.
  • The model implements the weighted learning of temporal and spatial features from input data, enhancing its focused learning ability and thereby improving training efficiency and accuracy.
  • This study employs effective data preprocessing methods, addressing the issues of missing data and outliers through feature engineering techniques. Additionally, mutual information-based dimensionality reduction is utilized to eliminate redundant variables, thereby enhancing the accuracy of data imputation and facilitating easier training.
  • Experimental results demonstrate that the model achieves an accuracy rate exceeding 90% in fault diagnosis for wind turbines, and its robustness is validated through noise simulation experiments, highlighting its practicality in complex operating environments.
The structure of this paper is as follows. Section 2 provides a detailed description of the residual convolutional nested long short-term memory network based on spatial-temporal attention (rlaNet) for wind turbine fault diagnosis and its architectural design. Section 3 describes the SCADA dataset used, the data preprocessing methods, and the experimental setup, and presents a comparative analysis of the experimental results along with ablation studies and noise simulation experiments. Finally, Section 4 summarizes the research findings and discusses future research directions.

2. Methods

In order to improve the accuracy of fault diagnosis in wind power generation systems, we improved the network structure based on CNN-LSTM by substituting the traditional CNN with ResNet to augment the depth and expressiveness of feature extraction. Additionally, we replaced LSTM with NLSTM to more effectively capture temporal dependencies within long time series. By integrating a spatial attention mechanism (SAM) and a temporal attention mechanism (TAM), we further increased the importance of significant features across various time steps. Ultimately, we propose rlaNet, which achieves efficient classification and diagnosis of wind turbine faults. The proposed rlaNet is depicted in Figure 1.

2.1. Feature Engineering

To effectively address the issues of missing values and redundant features in the SCADA data of wind power generation systems, this paper proposes a data preprocessing method based on feature engineering. By applying feature engineering, the quality of SCADA data is enhanced, data continuity is improved, and redundant features are reduced. Feature engineering includes normalization, Hermite interpolation for missing data, and mutual information-based dimensionality reduction.
For the training data, this study selects the time-series data from the SCADA sensors of the wind turbine, as shown in Equation (1):
X o = [ x 1 o , x 2 o , , x m o ] , X o R n × m
where n is the number of time steps, m is the number of sensors, and x i o denotes the data from the i-th sensor, with the data distributed across n time steps.
To ensure that the sensor data with different dimensions can be compared on a uniform scale and to improve the accuracy of fault diagnosis, this paper normalizes the historical data from the SCADA sensors of the wind turbine. The normalized value is shown in Equation (2):
X norm o = MinMax ( X o ) , X norm o R n × m
To avoid the loss of temporal information typically associated with traditional data preprocessing methods and to ensure data continuity and model accuracy, this study employs Hermite interpolation to complete the missing data. By combining the function values and derivative information of the nodes, smooth interpolation is achieved. The result after piecewise cubic Hermite interpolation is shown in Equation (3):
X H = Hermite ( X norm o ) , X H R n × m
Furthermore, since the SCADA data of wind power generation systems are often high-dimensional, this paper performs mutual information-based dimensionality reduction (MID) to reduce model complexity and mitigate the risk of overfitting.
Mutual information, based on information entropy, is used to measure the dependency between two random variables [23,24,25,26]. The calculation formula for mutual information is shown in Equation (4):
I ( X ; Y ) = x X y Y p ( x , y ) log p ( x , y ) p ( x ) p ( y ) ,
where p ( x , y ) denotes the joint probability distribution of X and Y, p ( x ) denotes the marginal probability distribution of X, and p ( y ) denotes the marginal probability distribution of Y.
After MID processing, the input data are reduced from the original m dimensions to m dimensions, ensuring that the model can effectively handle critical features and improve fault diagnosis accuracy. The final input data after feature engineering processing are shown in Equation (5):
X i n = MID ( X H ) , X H R n × m

2.2. Spatial Attention Mechanism

To dynamically adjust the attention weights of different sensor variables, this paper proposes the spatial attention mechanism (SAM), which aims to enhance the model’s focus on different sensor data at the same time point, thereby improving the accuracy of fault diagnosis. The input to the SAM is the feature-engineered sensor data X i n .
First, the input data X i n are processed through a multi-layer perceptron (MLP) to compute the attention scores β S , as shown in Equation (6):
β S = MLP ( X i n ) , β S R 1 × m
Next, the attention scores β S are normalized using the softmax function to obtain the final attention weights α S , as shown in Equation (7):
α S = Softmax ( β S ) , α S R 1 × m
Finally, the attention weights α S are element-wise multiplied with the input variables X i n to produce the weighted output Z S , as shown in Equation (8):
Z S = α S X i n , Z S R n × m
where ⊙ denotes the element-wise multiplication operation.
By incorporating the spatial attention module, the model can dynamically adjust the attention weights of different SCADA sensor variables during training. The network selectively learns important input variables through the attention layer, enhancing its focus on specific sensor data and thereby effectively improving the accuracy and robustness of fault diagnosis.

2.3. Residual Network

To enhance the feature extraction capability of the CNN and address the “degradation” problem caused by an increase in the number of layers, this paper introduces ResNet, which effectively tackles the challenges of training errors and vanishing gradients through its deep residual learning framework.
To adapt ResNet to the application scenario of one-dimensional convolutional neural networks in this study, the following adjustments are made: First, considering that data are input only along the time axis, the direction of the convolution kernel movement is retained solely along the time axis, with the convolution stride set to 1. Second, pooling operations reduce the length of time features, which affects subsequent LSTM-based fault classification; therefore, the pooling layer is removed. Finally, the original ResNet uses 3 × 3 or 7 × 7 convolution kernels, which are not suitable for this scenario, so the convolution kernel is adjusted to a size of 7 × 25 to accommodate the requirement of 25-dimensional input data after mutual information-based dimensionality reduction.
In the specific network structure, the input to ResNet is the output Z R processed by the SAM. The output of the ResNet network is obtained by stacking various residual blocks, resulting in the final layer output, as shown in Equation (9):
Z R = ResNet ( Z S ) , Z R R n × m
This output is passed to the subsequent LSTM module for further time-series feature learning and fault classification.

2.4. Temporal Attention Mechanism

To dynamically adjust the attention weights of input data at different time points, thereby enhancing the model’s learning capability and sensitivity to temporal features, this paper proposes the temporal attention mechanism (TAM). The TAM is similar to the SAM, but its weights are dynamically learned through the LSTM network, specifically aimed at improving the model’s ability to capture temporal features.
The main operation of the TAM is to dynamically compute the attention weights for each time step through the LSTM network, which are used to enhance the model’s learning capability for different time steps. First, the input Z R is transposed and fed into the LSTM layer, resulting in a vector of attention weights ω T for the time steps, as shown in Equation (10):
ω T = LSTM ( Z R ) , ω T R m × n
Next, the mean vector β T of the attention weights is obtained by averaging the ω T vector across each time step, which represents the average attention weight for each time step. This vector is then normalized using the softmax function to ensure that the sum of the attention weights equals 1, as shown in Equations (11) and (12):
β T = 1 m i = 1 m ω T i
α T = Softmax ( β T ) , α T R n × 1
Finally, the normalized weights α T are transposed and element-wise multiplied with Z R to produce the weighted output Z T , as shown in Equation (13):
Z T = α T Z R , Z T R n × m
The output of the TAM module is the feature vector Z T after temporal weighting, which retains the weighted information of the features along the time dimension. This output serves as the input to the subsequent NLSTM module for further extraction of temporal sequence features.

2.5. Nested Long Short-Term Memory Network

To overcome the issue of accuracy degradation in LSTM with increasing time-series lengths, we propose using nested long short-term memory (NLSTM) instead of traditional LSTM. NLSTM, through a nested structure of multiple LSTM layers, is able to more effectively extract deep-level information from time series, addressing the problems of memory decay and accuracy decline associated with increasing time steps.
The weighted variable Z T enters the NLSTM network, where it further extracts temporal features by learning the dependencies within the time series. The input data X i n are processed by the network model to yield the hidden state of the final NLSTM unit h ˜ T , as shown in Equation (14):
h ˜ T = NLSTM ( Z T ) ,
Finally, the output of the NLSTM is fed into a fully connected layer for fault classification prediction. This fully connected layer uses a weight matrix W s and a bias vector b s to perform a linear transformation on the NLSTM output. The resulting values are then passed through the softmax activation function to output the probability distribution of each class Y ^ , as shown in Equation (15).
Y ^ = softmax ( W s h ˜ T + b s ) ,

3. Experiments and Results Analysis

In this section, the proposed method is validated on a real SCADA dataset from a wind farm.

3.1. Feature Engineering of the SCADA Data

3.1.1. SCADA Dataset Description

This section constructs a dataset based on feature engineering using SCADA data. The SCADA dataset used in this study is from a 2.0 MW wind turbine located on a wind farm in southern China. It records the data from March 1st to August 31st. The sampling frequency of the SCADA system is 1 Hz. Specifically, the SCADA system is equipped with thermocouple sensors to measure the generator winding temperature, pressure sensors installed at the gearbox, and angle sensors used to monitor the blade pitch angle. These sensors are highly sensitive and can effectively capture small changes during the operation of the wind turbine. However, the data collection process may be affected by the installation location and environmental factors. To minimize measurement errors, the sensors are carefully placed in key locations such as the generator, gearbox, and blades. The dataset contains 227,580 s of SCADA data from a single turbine, organized chronologically according to the fault logs. In this study, 70% of the dataset is used as the training set, and 30% as the testing set. The names and identifiers of the sensor variables collected by the SCADA system are listed in Table 1.
By analyzing the fault labels of the wind power generation system, it was found that five types of faults frequently appeared in the fault label reference table. If not detected in a timely manner, these faults could have serious implications for system operation. This study combines these five common faults with the normal operating state of the wind power generation system to form a total of six states, which are set as the classification results for the fault diagnosis model. The specific fault labels are shown in Table 2.
To ensure that the temporal features contained in the dataset are not disrupted, the SCADA dataset with fault labels is arranged in chronological order, maximizing the retention of temporal characteristics within the data.

3.1.2. Feature Engineering

The proposed data preprocessing method based on feature engineering includes a dimensionality reduction module that processes the data after filling in missing values, known as feature selection. The significance of feature selection lies in its ability to enhance model performance and robustness by eliminating redundant and low-correlation features while also reducing computational complexity.
As shown in Figure 2, the mutual information values among the 32 sensor variables are visualized. Darker colors indicate stronger correlations, meaning that changes in one variable significantly affect another. Such variables are generally considered redundant; thus, those with high mutual information were discarded to reduce redundancy. The diagonal line represents the mutual information between the variable and itself, so the value is 1, and the color is the darkest.
Additionally, the mutual information between each input sensor variable and the wind turbine fault labels was calculated, as shown in Figure 3. The figure illustrates the strength of the mutual information between different sensor variables and the fault labels. Higher values indicate a stronger relationship with fault occurrence. Variables with mutual information values below 0.2 were considered to have minimal influence on wind turbine faults and were discarded.
Based on the results of these two mutual information analyses, the discarded variable numbers included 1, 2, 7, 9, 11, 25, and 32, corresponding to the sensor variables Reactive Power, Frequency, U1 Winding Temperature, V1 Winding Temperature, W1 Winding Temperature, Gearbox Lubricating Oil Filter Inlet Pressure, and Yaw Speed. After dimensionality reduction, the dataset retained 25 sensor variables at each time step.
Subsequently, classification accuracy experiments were conducted using an ANN on both the original and reduced variable sets. The experimental results are presented in Table 3, showing that the accuracy of the reduced variable set in the classification task remained largely unchanged, while other metrics, such as precision, recall, and F1 score, all improved. The loss and accuracy curves, illustrated in Figure 4 and Figure 5, demonstrate that although the model with reduced variables showed slightly higher loss and lower accuracy in the initial training stages, it ultimately converged to a performance level similar to that of the model with the original variable set. This confirms that the proposed method effectively removes redundant variables without compromising overall classification accuracy while ensuring that key features are retained.

3.2. Implementation Details

The proposed rlaNet was implemented in PyTorch. All experiments were conducted on a PC equipped with an Intel Core i7-12700K CPU and an Nvidia RTX 3090 GPU.
This study employed the Adam optimizer to automatically adjust the learning rate. Adam is a first-order optimization algorithm that is computationally efficient, has low memory requirements, and is capable of iteratively updating the weights of the neural network during training. The parameters were set to β 1 = 0.9 , β 2 = 0.999 , and ε = 10 8 .
The network structure and hyperparameter settings for the proposed rlaNet model were as follows: the input layer size was 20 × 25 , with a ResNet output dimension of 20 × 512 , a convolution kernel size of 3 × 25 , and 512 output channels. The temporal attention mechanism used 32 neurons, while the spatial attention mechanism used 64 neurons. The nested LSTM layer contained 32 neurons, and the fully connected layer contained 300 neurons. For training, a batch size of 64 and a total of 20 epochs were used, with Adam as the optimizer. These hyperparameters were expected to contribute to the model’s effectiveness in the fault diagnosis of wind turbines.
To comprehensively evaluate the proposed model, this study assessed it using five metrics: accuracy, precision, recall, F1 score, and Kappa coefficient. The formulas for these five evaluation metrics are presented in Table 4, where TP denotes true positives, FP denotes false positives, TN denotes true negatives, FN denotes false negatives, p 0 represents the observed accuracy, and p e represents the expected accuracy.

3.3. Performance of rlaNet and Comparison with Other Methods

In this study, a confusion matrix was chosen as the evaluation tool for the experimental results when validating the accuracy on the test set. The 25-dimensional sensor variables obtained through feature engineering processing of the test set were input into the trained rlaNet wind turbine fault diagnosis model. The predicted fault labels output by the rlaNet model were then combined with the true labels to generate a confusion matrix. The confusion matrix for the test set is illustrated in Figure 6.
In Figure 6, it can be observed that the study classified six states of the wind turbine, including the normal state. The vertical axis, labeled from state 0 to state 5, represents the true labels, while the horizontal axis indicates the predicted labels. The error rates for the different categories of fault diagnosis were relatively low. The classification report for each classification is summarized in Table 5. Notably, the rlaNet-based wind turbine fault diagnosis method did not misclassify the normal operating state as a fault in the test set, with a misclassification probability of 0 for the normal state. This indicates that the likelihood of misclassifying the normal operating condition as a fault using the proposed rlaNet model is extremely low, thereby preventing potential impacts on turbine operation due to such misclassifications. State 1 denotes a safety chain fault, which has a higher misclassification rate. This is attributed to the minimal changes in SCADA sensor data when this fault occurs, complicating the diagnosis.
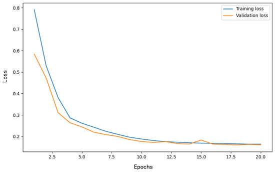
By utilizing real SCADA data from a wind turbine on a wind farm located in southern China for training, the loss function curves for the training and validation sets were obtained, as shown in Figure 7. The number of iterations set for this study was 20. In Figure 7, it can be observed that the loss functions for both the training and validation sets converged in a relatively short time, indicating a fast convergence speed of the model; after convergence, the loss values remained low.
Simultaneously, the ROC curve obtained from the test set is shown in Figure 8. The multiclass ROC curve not only allows for a comparison of accuracy across different categories but also reflects the precision of the classification results for each category. In Figure 8, it can be seen that in the ROC curve for class 0, when the x-coordinate approaches 0, the y-coordinate approaches 1, indicating that both false negatives (FN) and false positives (FP) are close to 0. This suggests that in the experiments using this model, nearly all samples can be correctly classified. Moreover, in the classification curves for each category shown in the figure, both the false positive rate and the true positive rate are close to 1, indicating the excellent performance of the proposed model in diagnosing faults in wind power systems.
In order to conduct a horizontal comparison with other advanced methods, this study replicated various algorithms on the same dataset and evaluated their accuracy, ultimately comparing them with the proposed rlaNet algorithm. The parameter settings for each model were as follows: all models used the Adam optimizer with a learning rate of 0.001, a batch size of 64, and a total of 20 iterations. For LSTM and CNN-LSTM, the number of neurons in the LSTM layer was 32, while in CNN-NLSTM and STA-CNN-LSTM, the nested LSTM (NLSTM) with 32 neurons was employed. Additionally, CNN-related models (including CNN-LSTM, CNN-NLSTM, and STA-CNN-LSTM) used a convolutional layer with a kernel size of 3 × 25 and 512 output channels. In the STA-CNN-LSTM model, the spatial attention mechanism used 64 neurons, and the temporal attention mechanism used 32 neurons. All models used a fully connected layer with 300 neurons.
Figure 9 illustrates the comparative results of the accuracy curves for each model, clearly showing that the accuracy of the rlaNet model, represented by the red curve, is higher than that of the other models, achieving the highest accuracy. Additionally, it can be observed that rlaNet is easier to train.
According to the results in Table 6, this study optimized the performance of the baseline network in fault diagnosis for wind power systems through a series of improvements. Specifically, the model with the highest accuracy was STA-CNN-LSTM, achieving 0.896. In comparison, the accuracy error rate of rlaNet decreased by 5.71%. In terms of precision, STA-CNN-LSTM achieved a precision of 0.911, while the precision of rlaNet slightly decreased, with an error rate increase of 4.49%. For recall, the highest was LSTM, with a recall of 0.890, while rlaNet’s recall was 0.893, indicating a reduction in the error rate of 2.73%. Regarding the F1 score, the highest model was LSTM at 0.889, and rlaNet’s F1 score was 0.894, resulting in a decrease in the error rate of 4.50%. Lastly, for the Kappa coefficient, the highest was CNN-LSTM at 0.889, while rlaNet’s Kappa coefficient was 0.872, showing a reduction in the error rate of 4.48%. Overall, rlaNet performed excellently across multiple key metrics, particularly achieving significant improvements in accuracy and recall.

3.4. Effectiveness of Feature Engineering

To validate the effectiveness of feature engineering in data preprocessing, we conducted a set of comparison experiments on the rlaNet model: one using the original 32-dimensional sensor variables, i.e., without applying feature engineering, and the other using the 25-dimensional sensor variables after applying feature engineering. The experimental results are shown in Table 7.
According to the results in Table 7, the application of feature engineering improved the model’s performance. Although the improvement in accuracy was modest, other key metrics showed varying degrees of enhancement. Precision slightly decreased from 0.909 to 0.907, while recall and F1 score increased from 0.884 and 0.891 to 0.893 and 0.894, indicating an improvement in the model’s balance between classification accuracy and recall. Although the Kappa coefficient remained unchanged, the overall results demonstrate that the application of feature engineering reduced redundant information and contributed modestly to the model’s robustness and performance optimization in processing data.

3.5. Ablation Studies on rlaNet

3.5.1. Modular Component Ablation Study

To assess the contribution of each component to the overall performance of the model, we conducted ablation experiments by sequentially removing key modules to observe their impact on model accuracy. The models used for these experiments were as follows:
  • Case 1: rlaNet model without ResNet;
  • Case 2: rlaNet model without NLSTM;
  • Case 3: rlaNet model without STA;
  • Case 4: Complete rlaNet model.
This study conducted simulation experiments using the aforementioned deep learning networks on the SCADA sensor historical dataset that employed feature engineering data preprocessing methods. The experimental results are shown in Table 8.
According to the experimental results in Table 8, the complete rlaNet model exhibited better performance metrics compared to scenarios where individual modules were removed, emphasizing the role of each component in fault diagnosis.
Firstly, after removing the ResNet module, the model’s accuracy error rate increased by 5.32%. This indicates that ResNet plays a significant role in enhancing deep feature extraction, and the absence of this module leads to poor information transmission, affecting the model’s ability to capture complex features.
Secondly, after removing the NLSTM module, the model’s accuracy error rate increased by 7.29%, and the precision error rate increased by 4.3%. This demonstrates that NLSTM is crucial for capturing long-term and short-term dependencies in time-series data; without this module, the model’s understanding of temporal information is insufficient, which impacts overall performance.
Lastly, after removing the STA module, the model’s accuracy error rate increased by 9.38%, the recall error rate increased by 22.6%, the F1 error rate increased by 4.72%, and the Kappa error rate increased by 3.13%. The largest changes were observed in the recall and F1 scores, indicating that the STA module plays an important role in guiding the model to focus on key features in the input data. In the absence of STA, the model is more susceptible to interference from redundant information, leading to a decline in performance.
In summary, the various components of the rlaNet model complement each other, forming an efficient fault diagnosis system. The removal of each module affects the model’s performance to varying degrees, particularly the absence of the STA module, which diminishes the model’s ability to identify key features and leads to a decline in overall effectiveness.

3.5.2. Evaluation of Noise Robustness in Ablation Models of rlaNet

This section aims to explore the impact of each module in rlaNet through noise experiments, assessing their importance to the model’s performance and noise resistance capabilities. Due to the harsh working environment of wind turbines, sensors are often subjected to electromagnetic interference and increased temperatures, resulting in noise. Therefore, the fault diagnosis model must possess a certain level of noise resistance to ensure its effectiveness in practical applications.
To this end, this study conducted noise simulation experiments by introducing Gaussian noise. Gaussian noise is a type of noise whose probability density function follows a Gaussian (or normal) distribution. The Gaussian distribution function is shown in Equation (16), where μ and σ 2 represent the mean and variance of the Gaussian distribution, respectively. Specifically, when μ = 0 and σ 2 = 1 , the noise z should follow a standard normal distribution. To evaluate the model’s resistance to Gaussian noise, μ was kept constant at 0, while different variances ( σ 2 ) were set for the Gaussian noise applied to data of varying scales. The noise amplitude was approximately within 10% of the maximum absolute value of the variable.
p z = 1 σ 2 π e z μ 2 2 σ 2 ,
The experimental results are shown in Figure 10, which displays three radar charts representing precision, recall, and F1 score. These charts illustrate the variations in precision, recall, and F1 score for Case 1, Case 2, Case 3, and Case 4 under four conditions: no noise added (normal), signal-to-noise ratio (SNR) of 20, SNR of 10, and SNR of 6. These results provide a clear view of how each module performed under different noise conditions, thereby validating the importance of each module in enhancing the model’s noise resistance.
Specifically, the ResNet module contributed to performance in a noise-free environment, but its impact was not particularly evident at low noise levels. However, as the noise level increased, the absence of ResNet began to show a significant impact, especially in high-noise environments, indicating that ResNet plays an important role in enhancing the network’s depth and feature extraction.
At all noise levels, the absence of the NLSTM module led to the most significant decline in model performance, particularly in high-noise conditions. This highlights the critical role of NLSTM in capturing both long-term and short-term dependencies in time-series data, which is essential for maintaining the accuracy of historical information and context in dynamic monitoring.
The STA module did not show a notable performance improvement under normal conditions, but its importance gradually became evident as noise levels rose. Under medium- and high-noise conditions, the absence of the STA module greatly reduced the model’s performance, indicating that STA plays a positive role in filtering key features and enhancing the model’s ability to handle complex inputs.
Overall, the combination of these modules is beneficial for improving the model’s accuracy and its ability to handle complex situations. Particularly in high-noise environments, the complete model demonstrates superior performance, showcasing the synergistic effects among the modules. This synergy suggests that integrating multiple mechanisms is crucial for enhancing the accuracy and overall performance of fault diagnosis in wind power systems.

3.6. Noise Simulation Experiments

This section aims to assess the noise resistance capability of the fault diagnosis model by conducting noise simulation experiments through the introduction of data noise. Data noise refers to redundant interference information present in the data, which includes various factors that hinder an accurate understanding of the information. Consistent with Section 3.5.2, the type of noise we introduced was Gaussian noise.
According to Table 9, the rlaNet model demonstrated good resistance to noise in the Gaussian noise simulation experiment. When the signal-to-noise ratio (SNR) exceeded 7 dB, the model’s results across various evaluation metrics (such as accuracy, precision, recall, and F1 score) differed by no more than 2% from the optimal results under noise-free conditions. This indicates that the rlaNet model can maintain a high level of fault diagnosis accuracy even in the presence of certain noise levels.
Analysis of the data reveals a slight downward trend in model performance as the signal-to-noise ratio (SNR) decreased. However, at SNR levels of 7 dB and above, the model remained effective in resisting noise interference. Specifically, even at lower SNR values, the model’s accuracy was maintained at 0.882, indicating strong adaptability to noise and its ability to extract useful information amidst interference.
In summary, the rlaNet model enhances its robustness against noise by integrating NLSTM, residual networks, and spatiotemporal attention mechanisms. This performance advantage renders the model highly practical for fault diagnosis in wind power systems, enabling reliable fault detection in complex operating environments.

4. Conclusions

This paper introduces rlaNet, a novel fault diagnosis model for wind power systems, which enhances performance by integrating feature engineering with a deep learning network architecture. The feature engineering process includes normalization, Hermite interpolation for missing data, and mutual information-based dimensionality reduction, thereby optimizing data input and promoting training efficiency. The model combines a ResNet-based convolutional neural network to enhance feature extraction capabilities and incorporates nested long short-term memory (NLSTM) networks to effectively capture temporal dependencies. Additionally, the model introduces a spatial-temporal attention (STA) mechanism that dynamically focuses on key features in the input data, enabling more accurate fault classification. The design of rlaNet allows it to adapt to various fault patterns, thereby improving the accuracy and robustness of fault diagnosis. Furthermore, noise simulation experiments demonstrate that rlaNet maintains a high level of diagnostic accuracy even in noisy environments, highlighting its practicality under complex operating conditions.

Author Contributions

Conceptualization, R.S.; methodology, R.S., L.G. and N.D.; software, R.S. and L.G.; validation, R.S.; formal analysis, R.S. and N.D.; investigation, R.S.; data curation, L.G.; writing—original draft preparation, R.S.; writing—review and editing, N.D.; visualization, R.S.; supervision, N.D. All authors have read and agreed to the published version of the manuscript.

Funding

This work was supported by Basic Research Project of Shijiazhuang-based Universities in Hebei under Grant 241790947A.

Institutional Review Board Statement

Not applicable.

Informed Consent Statement

Not applicable.

Data Availability Statement

The data presented in this study are available on request from the corresponding author due to privacy and confidentiality concerns.

Acknowledgments

The authors would like to thank the reviewers for their constructive comments.

Conflicts of Interest

The authors declare no conflicts of interest.

References

  1. Borunda, M.; de la Cruz, J.; Garduno-Ramirez, R.; Nicholson, A. Technical assessment of small-scale wind power for residential use in Mexico: A Bayesian intelligence approach. PLoS ONE 2020, 15, e0230122. [Google Scholar] [CrossRef]
  2. Blaabjerg, F.; Ma, K. Wind Energy Systems. Proc. IEEE 2017, 105, 2116–2131. [Google Scholar] [CrossRef]
  3. Zhang, P.; Lu, D. A Survey of Condition Monitoring and Fault Diagnosis toward Integrated O&M for Wind Turbines. Energies 2019, 12, 2801. [Google Scholar] [CrossRef]
  4. Veers, P.; Bottasso, C.L.; Manuel, L.; Naughton, J.; Pao, L.; Paquette, J.; Robertson, A.; Robinson, M.; Ananthan, S.; Barlas, T.; et al. Grand challenges in the design, manufacture, and operation of future wind turbine systems. Wind Energy Sci. 2023, 8, 1071–1100. [Google Scholar] [CrossRef]
  5. Hwas, A.; Katebi, R. Model-based fault detection and isolation for wind turbine. In Proceedings of the 2012 UKACC International Conference on Control, Cardiff, UK, 3–5 September 2012; pp. 876–881. [Google Scholar] [CrossRef]
  6. Simani, S.; Farsoni, S.; Castaldi, P. Fault Diagnosis of a Wind Turbine Benchmark via Identified Fuzzy Models. IEEE Trans. Ind. Electron. 2015, 62, 3775–3782. [Google Scholar] [CrossRef]
  7. Benmoussa, S.; Djeziri, M.A.; Sanchez, R. Support Vector Machine Classification of Current Data for Fault Diagnosis and Similarity-Based Approach for Failure Prognosis in Wind Turbine Systems. In Artificial Intelligence Techniques for a Scalable Energy Transition; Springer: Cham, Switzerland, 2020. [Google Scholar]
  8. Chen, J.; Pan, J.; Li, Z.; Zi, Y.; Chen, X. Generator bearing fault diagnosis for wind turbine via empirical wavelet transform using measured vibration signals. Renew. Energy 2016, 89, 80–92. [Google Scholar] [CrossRef]
  9. Wang, X.B.; Miao, P.; Zhang, K.; Zhang, X.; Wang, J. Study on novel signal processing and simultaneous-fault diagnostic method for wind turbine. Trans. Inst. Meas. Control 2019, 41, 4100–4113. [Google Scholar] [CrossRef]
  10. Jiang, G.; He, H.; Yan, J.; Xie, P. Multiscale Convolutional Neural Networks for Fault Diagnosis of Wind Turbine Gearbox. IEEE Trans. Ind. Electron. 2019, 66, 3196–3207. [Google Scholar] [CrossRef]
  11. Yu, D.; Chen, Z.M.; Xiahou, K.S.; Li, M.S.; Ji, T.Y.; Wu, Q.H. A radically data-driven method for fault detection and diagnosis in wind turbines. Int. J. Electr. Power Energy Syst. 2018, 99, 577–584. [Google Scholar] [CrossRef]
  12. Li, M.; Yu, D.; Chen, Z.; Xiahou, K.; Ji, T.; Wu, Q.H. A Data-Driven Residual-Based Method for Fault Diagnosis and Isolation in Wind Turbines. IEEE Trans. Sustain. Energy 2019, 10, 895–904. [Google Scholar] [CrossRef]
  13. Meng, L.; Su, Y.; Kong, X.; Lan, X.; Li, Y.; Xu, T.; Ma, J. A Probabilistic Bayesian Parallel Deep Learning Framework for Wind Turbine Bearing Fault Diagnosis. Sensors 2022, 22, 7644. [Google Scholar] [CrossRef]
  14. Amin, A.; Bibo, A.; Panyam, M.; Tallapragada, P. A Bayesian deep learning framework for reliable fault diagnosis in wind turbine gearboxes under various operating conditions. Wind Eng. 2023, 48, 297–309. [Google Scholar] [CrossRef]
  15. Liu, D.; Zhang, G.; Huang, B.; Liu, W. Optimum Electric Boiler Capacity Configuration in a Regional Power Grid for a Wind Power Accommodation Scenario. Energies 2016, 9, 144. [Google Scholar] [CrossRef]
  16. Chen, L.; Xu, G.; Zhang, Q.; Zhang, X. Learning deep representation of imbalanced SCADA data for fault detection of wind turbines. Measurement 2019, 139, 370–379. [Google Scholar] [CrossRef]
  17. Laouti, N.; Sheibat-Othman, N.; Othman, S. Support vector machines for fault detection in wind turbines. IFAC Proc. 2011, 44, 7067–7072. [Google Scholar] [CrossRef]
  18. Yin, S.; Wang, G.; Karimi, H.R. Data-driven design of robust fault detection system for wind turbines. Mechatronics 2014, 24, 298–306. [Google Scholar] [CrossRef]
  19. de Bessa, I.V.; Palhares, R.M.; D’Angelo, M.F.S.V.; Chaves Filho, J.E. Data-driven fault detection and isolation scheme for a wind turbine benchmark. Renew. Energy 2016, 87, 634–645. [Google Scholar] [CrossRef]
  20. Lei, J.; Liu, C.; Jiang, D. Fault diagnosis of wind turbine based on long short term memory networks. Renew. Energy 2019, 133, 422–432. [Google Scholar] [CrossRef]
  21. Pang, Y.; He, Q.; Jiang, G.; Xie, P. Spatio-temporal fusion neural network for multi-class fault diagnosis of wind turbines based on SCADA data. Renew. Energy 2020, 161, 510–524. [Google Scholar] [CrossRef]
  22. Chinthamu, N.; Karukuri, M. Data Science and Applications. J. Data Sci. Intell. Syst. 2023, 1, 83–91. [Google Scholar] [CrossRef]
  23. Fthenakis, V.; Kim, H.C. Land use and electricity generation: A life-cycle analysis. Renew. Sustain. Energy Rev. 2009, 13, 1465–1474. [Google Scholar] [CrossRef]
  24. Ramli, M.A.; Bouchekara, H.R.E.H.; Alghamdi, A.S. Optimal Sizing of PV/wind/diesel hybrid microgrid system using multi-objective self-adaptive differential evolution algorithm. Renew. Energy 2018, 121, 400–411. [Google Scholar] [CrossRef]
  25. LeCun, Y.; Bengio, Y.; Hinton, G. Deep learning. Nature 2015, 521, 436–437. [Google Scholar] [CrossRef]
  26. Atia, R.; Yamada, N. Sizing and Analysis of Renewable Energy and Battery Systems in Residential Microgrids. IEEE Trans. Smart Grid 2016, 7, 1204–1213. [Google Scholar] [CrossRef]
Figure 1. Pipeline of the proposed rlaNet. The rlaNet model structure consists of multiple layers. First, the feature-processed SCADA data are input into the model. A spatial attention layer assigns varying weights to each sensor variable, emphasizing essential features. Next, the data enter the ResNet layer to extract abstract features from the high-dimensional sensor sequence, followed by a temporal attention layer that applies weighted processing across time steps to enhance key feature representation. Finally, the weighted time series is input into the NLSTM network for feature learning, followed by multi-class fault classification using a fully connected layer and softmax activation function.
Figure 1. Pipeline of the proposed rlaNet. The rlaNet model structure consists of multiple layers. First, the feature-processed SCADA data are input into the model. A spatial attention layer assigns varying weights to each sensor variable, emphasizing essential features. Next, the data enter the ResNet layer to extract abstract features from the high-dimensional sensor sequence, followed by a temporal attention layer that applies weighted processing across time steps to enhance key feature representation. Finally, the weighted time series is input into the NLSTM network for feature learning, followed by multi-class fault classification using a fully connected layer and softmax activation function.
Mathematics 12 03460 g001
Figure 2. Mutual information between different sensor variables.
Figure 2. Mutual information between different sensor variables.
Mathematics 12 03460 g002
Figure 3. Mutual information between different sensor variables and fault labels.
Figure 3. Mutual information between different sensor variables and fault labels.
Mathematics 12 03460 g003
Figure 4. Comparison of accuracy curves before and after dimensionality reduction.
Figure 4. Comparison of accuracy curves before and after dimensionality reduction.
Mathematics 12 03460 g004
Figure 5. Comparison of loss function before and after dimensionality reduction.
Figure 5. Comparison of loss function before and after dimensionality reduction.
Mathematics 12 03460 g005
Figure 6. Confusion matrix for fault classification test set.
Figure 6. Confusion matrix for fault classification test set.
Mathematics 12 03460 g006
Figure 7. Loss functions for training and validation sets of the rlaNet model for fault diagnosis.
Figure 7. Loss functions for training and validation sets of the rlaNet model for fault diagnosis.
Mathematics 12 03460 g007
Figure 8. ROC curve of fault classification test set.
Figure 8. ROC curve of fault classification test set.
Mathematics 12 03460 g008
Figure 9. Accuracy comparison of multiple models on the validation set.
Figure 9. Accuracy comparison of multiple models on the validation set.
Mathematics 12 03460 g009
Figure 10. Evaluation of noise robustness in ablation models of rlaNet.
Figure 10. Evaluation of noise robustness in ablation models of rlaNet.
Mathematics 12 03460 g010
Table 1. Sensor variable names and corresponding identifiers.
Table 1. Sensor variable names and corresponding identifiers.
No.Variable NameNo.Variable Name
1Reactive Power17Wind Direction
2Frequency18Wind Speed
3Power Factor19Blade Pitch Angle 1
4Shaft a Temperature20Blade Pitch Angle 2
5Shaft b Temperature21Blade Pitch Angle 3
6Generator Speed22Rotor Speed
7U1 Winding Temperature23Low-Speed Shaft Temperature
8U2 Winding Temperature24High-Speed Shaft Temperature
9V1 Winding Temperature25Gearbox Lubricating Oil Filter Inlet Pressure
10V2 Winding Temperature26Gearbox Inlet Oil Temperature
11W1 Winding Temperature27Gearbox Lubricating Oil Filter Outlet Pressure
12W2 Winding Temperature28Gearbox Oil Temperature
13Brake Pressure29Power
14System Pressure30Windward Angle
15Outside Nacelle Temperature31Yaw Position
16Nacelle Temperature32Yaw Speed
Table 2. Fault labels for wind power generation system.
Table 2. Fault labels for wind power generation system.
Status CodeFault Label
001Normal
002Safety Chain Fault
003Converter Fault
004Yaw System Fault
005Main Fuse Fault
006Shutdown Fault
Table 3. Comparison of classification metrics before and after feature engineering dimensionality reduction using the ANN.
Table 3. Comparison of classification metrics before and after feature engineering dimensionality reduction using the ANN.
DimensionalityAccuracyPrecisionRecallF1
After Reduction0.8750.8740.8480.858
Before Reduction0.8770.8460.8350.831
Table 4. Evaluation metrics and their corresponding calculated expressions.
Table 4. Evaluation metrics and their corresponding calculated expressions.
Evaluation MetricCalculated Expression
Accuracy TP + TN TP + TN + FP + FN
Precision TP TP + FP
Recall TP TP + FN
F1-score 2 · precision · recall precision + recall
Kappa p 0 p e 1 p e
Table 5. Classification report for each category.
Table 5. Classification report for each category.
Evaluation MetricState 0State 1State 2State 3State 4State 5
Precision0.99990.59060.86680.90130.96650.9686
Recall1.00000.77140.92530.78780.88150.9106
F10.99970.66900.89510.84070.92200.9387
Table 6. Results of comparison experiments of different methods.
Table 6. Results of comparison experiments of different methods.
MethodAccuracyPrecisionRecallF1Kappa
ANN0.8730.8850.8670.8720.848
LSTM0.8850.8970.8900.8890.864
CNN-LSTM0.8920.8930.8850.8870.866
CNN-NLSTM0.8940.8910.8850.8850.864
STA-CNN-LSTM0.8960.9110.8750.8840.864
rlaNet0.9040.9070.8930.8940.872
Table 7. Results of comparison experiments on feature engineering.
Table 7. Results of comparison experiments on feature engineering.
Feature EngineeringAccuracyPrecisionRecallF1Kappa
W/o0.8990.9090.8840.8910.872
W/0.9040.9070.8930.8940.872
Table 8. Ablation study results.
Table 8. Ablation study results.
MethodAccuracyPrecisionRecallF1Kappa
W/o ResNet0.8990.9060.8950.8940.873
W/o NLSTM0.8970.9030.8890.8910.871
W/o STA0.8950.9050.8860.8890.868
rlaNet0.9040.9070.8930.8940.872
Table 9. Results of noise simulation experiments.
Table 9. Results of noise simulation experiments.
SNRAccuracyPrecisionRecallF1Kappa
No Noise Added0.9040.9070.8930.8940.872
200.8910.8780.8920.8830.863
100.8900.8920.8770.8760.861
90.8870.8810.8800.8760.859
80.8840.8700.8630.8640.849
70.8820.8780.8610.8650.850
60.8860.8830.8740.8710.856
50.8760.8470.8770.8590.845
Disclaimer/Publisher’s Note: The statements, opinions and data contained in all publications are solely those of the individual author(s) and contributor(s) and not of MDPI and/or the editor(s). MDPI and/or the editor(s) disclaim responsibility for any injury to people or property resulting from any ideas, methods, instructions or products referred to in the content.

Share and Cite

MDPI and ACS Style

Sun, R.; Guan, L.; Diao, N. rlaNet: A Residual Convolution Nested Long-Short-Term Memory Model with an Attention Mechanism for Wind Turbine Fault Diagnosis. Mathematics 2024, 12, 3460. https://doi.org/10.3390/math12223460

AMA Style

Sun R, Guan L, Diao N. rlaNet: A Residual Convolution Nested Long-Short-Term Memory Model with an Attention Mechanism for Wind Turbine Fault Diagnosis. Mathematics. 2024; 12(22):3460. https://doi.org/10.3390/math12223460

Chicago/Turabian Style

Sun, Ruiwang, Longfei Guan, and Naizhe Diao. 2024. "rlaNet: A Residual Convolution Nested Long-Short-Term Memory Model with an Attention Mechanism for Wind Turbine Fault Diagnosis" Mathematics 12, no. 22: 3460. https://doi.org/10.3390/math12223460

APA Style

Sun, R., Guan, L., & Diao, N. (2024). rlaNet: A Residual Convolution Nested Long-Short-Term Memory Model with an Attention Mechanism for Wind Turbine Fault Diagnosis. Mathematics, 12(22), 3460. https://doi.org/10.3390/math12223460

Note that from the first issue of 2016, this journal uses article numbers instead of page numbers. See further details here.

Article Metrics

Back to TopTop