Abstract
This paper investigates numerically the shock wave interaction with a V-shaped heavy/light interface. For numerical simulations, we choose six distinct vertex angles (, and , five distinct shock wave strengths ( and ), and three different Atwood numbers ( and ). A two-dimensional space of compressible two-component Euler equations are solved using a third-order modal discontinuous Galerkin approach for the simulations. The present findings demonstrate that the vertex angle has a crucial influence on the shock wave interaction with the V-shaped heavy/light interface. The vertex angle significantly affects the flow field, interface deformation, wave patterns, spike generation, and vorticity production. As the vertex angle decreases, the vorticity production becomes more dominant. A thorough analysis of the vertex angle effect identifies the factors that propel the creation of vorticity during the interaction phase. Notably, smaller vertex angles lead to stronger vorticity generation due to a steeper density gradient, while larger angles result in weaker, more dispersed vorticity and a less complex interaction. Moreover, kinetic energy and enstrophy both dramatically rise with decreasing vortex angles. A detailed analysis is also carried out to analyze the vertex angle effects on the temporal variations of interface features. Finally, the impacts of different Mach and Atwood numbers on the V-shaped interface are briefly presented.
MSC:
76E19; 35Q31; 76M22; 76-10
1. Introduction
The Richtmyer–Meshkov instability (RMI) [1,2] is a physical phenomenon that occurs at the interface of two fluids with different densities when they are impulsively driven, typically by a shock wave. The interface perturbation increases in magnitude and results in material mixing because it is caused by pressure perturbation on both sides of the interface, as well as baroclinic vorticity that is deposited there as a result of the pressure and density gradients being out of alignment [3]. The perturbation increases linearly for the RMI until its amplitude approaches that of its wavelength. Classic nonlinear characteristics of flow are the creation of bubbles and spikes, which represent the heavier fluid penetrating into the lighter fluid and the lighter fluid penetrating into the heavier fluid, respectively [4,5]. If the shock wave is strong enough and the initial disruption spans a wide range of scales, turbulent flow may be encouraged. Inertial confinement fusion (ICF), in which shock waves compress tiny capsules containing a deuterium–tritium fuel, is a process in which the RMI is essential [6]. The idea of ICF is to get the capsule’s interior hot enough and pressurized enough to ignite the fuel. However, the fusion yield is decreased and ignition failure may result from the RMI-induced mixing of the inner fuel and outer shell. Numerous in-depth analyses of the RMI have been reported within the last few decades [7,8,9].
In previous decades, there has been a lot of interest in the RMI on many complex shock wave interaction with density inhomogeneous shapes, including polygonal, spherical, elliptical, single, and multi-mode interfaces. Several experimental and computational studies were conducted to study the RMI growth on these types of inhomogeneous forms. A comprehensive experimental study of shock wave interaction with cylindrical/spherical gas bubbles was carried out by Haas and Sturtevant [10]. The mechanics of the shock wave interaction with the spherical bubble was studied experimentally by Ranjan et al. [11] in a divergent shock–refraction configuration. Building on the experimental findings of Haas and Sturtevant [10], the shock wave interaction with gas bubbles was numerically investigated by Quirk and Karni [12]. A numerical study by Shankar et al. [13] examined the main effects of diffusive and viscous variables on the shock wave interaction with a massive cylindrical bubble. In diatomic and polyatomic gases, Singh et al. [14] examined the shock wave interaction with light/heavy cylindrical bubbles under thermal non-equilibrium conditions numerically. With an emphasis on the influence of aspect ratio on flow morphology, Singh et al. [15] carried out a numerical study on the shock wave interaction with elliptical interfaces. The analysis of the RMI evolution due to the interaction of shock waves with polygonal bubbles has received increased interest recently. Examining the RMI evolution resulting from the shock wave interaction with polygonal bubbles has garnered more attention recently [16,17,18,19,20,21]. These polygonal shapes provide more complex flow fields through the transmission of shock waves, reflections, reciprocal shock collisions, and regular and irregular refractions.
The research stated above mostly focuses on the shock wave interaction with 2D bubbles; few full 3D studies have been conducted to far. Hejazialhosseini et al. [22] utilized volume rendering to depict the evolution of flow structures in a 3D shock–bubble interaction by determining the density and vorticity magnitude fields at a Mach number of 3. The interaction of shock waves with a low-density 3D spherical gas bubble was numerically given by Rybakin and Goryachev [23], who also provided illustrations of the sphere’s deformation and instability generation. Subsequently, Rybakin et al. [24] examined the processes of dense cluster and filament formation and growth, and they presented the findings of their numerical modeling of the collision process between two molecular clouds (MCs). Niederhaus et al. [25] examined the morphology of multifluid compressible flow and time-dependent integral properties over a broad range of Mach and Atwood numbers, which arise from the 3D shock–bubble interaction in a gas environment. In order to study the impacts of initial interface curvature on flow structure, complex waves generation, vorticity production, and interface transit, Ding et al. [26,27] conducted experiments for the shock wave interaction with a 3D light/heavy spherical bubble. Recently, Onwuegbu [28] performed 2D/3D computational fluid dynamics studies of the supersonic shock wave (Mach 1.25) interaction with a spherical bubble to fully understand the complex process involved in the shock–bubble interaction.
A previous study on the RMI has shown that the single-mode interface has garnered a lot of attention due to the fact that its interface configuration is quite straightforward. In a groundbreaking theoretical investigation, Richtmyer [1] suggested an impulsive model with the purpose of predicting the linear growth rate of the single-mode interface during incompressible flow circumstances. The starting amplitude of the model was rather small. Afterwards, Meshkov [2] conducted preliminary experiments in order to validate the impulsive model, which was discovered to accurately forecast the linear growth rate more accurately than it actually did. After this, several experimental, theoretical and computational studies on the RMI evolution of the single-mode interface have been conducted [29,30,31]. Remarkably, the primary objective of theoretical RMI investigations is to predict the growth rate of the interface by employing models, such as linear and nonlinear ones, that were created for a single-mode sinusoidal interface [32,33,34]. Using numerical simulations, researchers routinely investigate the expansion of mixing width as well as the evolution of turbulent mixing parameters [35,36,37]. Large-eddy simulations were utilized by Thornber et al. [38] in order to investigate the influence that different 3D multi-mode starting circumstances have on the overall development of the RMI. Lombardini et al. [39] suggested that a two-gas mixing layer with a power law-governed Kolmogorov-like inertial subrange eventually evolves to a fully formed turbulent flow at a late time, for high enough incidence Mach numbers. This was discovered through the use of large-eddy simulations, which were used to investigate the RMI of single-shock-driven mixing. Mohaghar and colleagues [40] carried out an experimental investigation with the purpose of determining the influence that the initial conditions have on the progression of the RMI throughout its evolution. Specifically, they investigated the nature of the impact that the strength of the event shock had on the mixing transition. The results of a comprehensive set of computations of two-dimensional single-mode RMI were presented by Probyn et al. [41]. These results pertain to the early- and late-time behavior of the RMI.
An inclined interface creates perfect conditions for examining shock refraction in RMI research. This is due to the fact that it maintains a consistent incident angle throughout the whole edge of the interface. The interaction that takes place at the inclined gas–gas contact results in the formation of a complex wave pattern that can be broadly classified into regular and irregular systems. Shock tube experiments were used in Jahn’s revolutionary work [42] to study the shock refraction–reflection situation at air– or air– interfaces. This work was a significant contribution to the field of refraction. The phenomenon of shock refraction–reflection at interfaces with inclined angles, which can be classified as either “fast/slow” or “slow/fast”, was examined in subsequent research [43,44,45,46,47] for a variety of gas combinations. According to the findings of these research studies, differences in the incident angle led to different refraction patterns for a specific gas combination, even though the incident shock strength remained the same. Furthermore, a number of irregular refraction patterns were created as a result of the variable incidence shock strengths. A Mach stem was developed, which led to the identification of irregular refraction systems in the “fast/slow” scenario [43]. On the other hand, the presence of bound and free precursor shocks led to the identification of irregular and regular refraction systems in the “slow/fast” scenario [45]. Numerous investigations on the RMI of an inclined interface were published by McFarland et al. [48,49,50,51,52,53]. These studies examined the impacts of the initial shock Mach numbers, the Atwood number, inclination angles, and re-shock using theoretical, experimental, and numerical methods.
Luo et al. [54] investigated experimentally the shock wave interaction with a ‘V’-shaped air/ gaseous interface to explore how the interface amplitude affects wavelength and its impact on the mixing width, which constitutes the primary findings. Later on, Zhai et al. [55] conducted an experimental investigation into the RMI evolution on a shocked ‘V’-shaped air/helium gaseous interface. Research conducted by Wang et al. [56] utilized numerical analysis to investigate the RMI of the V-shaped light/heavy arrangement. The flow patterns and the linear growth rate of the interface development were the primary areas of interest for the authors as they investigated the effects of the oblique angle and the Mach number. Recently, Alsaeed and Singh [57] performed a computational study of the shocked V-shaped / interface across varying Mach numbers. Remarkably, the RMI evolution of the shocked gas interface flow is dependent on numerous physical parameters, such as the initial interface disturbance, the Atwood number, and the Mach number. The current study uses numerical simulations to construct a structured framework and revisits the experimental work on the shock wave interaction with a V-shaped heavy/light interface conducted by Zhai et al. [55]. This study aims to enhance our understanding of the RMI evolution and vorticity production in a V-shaped heavy/light interface. The effects of the vertex angle, Mach number and Atwood number on flow structure, wave patterns, vorticity generation, kinetic energy and enstrophy progression, and interface features are the primary focus of this work.
The rest of the present study is organized as follows: The mathematical formulation, initial setup and important physical quantities are illustrated in Section 2. The utilized numerical approach and its validation are described in Section 3. An in-depth discussion on the numerical results for vextex angles and Mach number effects on the V-shaped /He interface is presented in Section 4. Finally, the conclusion remarks and outlooks for this study are presented in Section 5.
2. Mathematical Formulation and Initial Setup
2.1. Governing Equations for Compressible Two-Component Gas Flow
In the present study, the compressible two-component Euler equations are numerically solved in the following conservative form [18]:
with
Here, is the vector of conservative variables, while and are the inviscid fluxes in x- and y-directions, respectively. denotes the mass density, u and v are the velocity components in x- and y-directions. Additionally, p is the pressure, while denotes the mass fraction. E is the energy defined as
The specific heat ratio of the mixture is shown by the symbol . With denoting the mixture density and R denoting the mixture-specific gas constant, respectively, the mixture’s equation of state is . The assumed characteristics of both gas components include thermal equilibrium and calorie perfection, with specific heats at constant pressure and , specific heats at constant volume and , and specific heat ratios and . Calculating a mixture’s specific heat ratio is as simple as
where and represent the mass fractions of the He and gases, respectively.
2.2. Initial Setup
Figure 1 illustrates the initial setup of the shock wave interaction with the V-shaped heavy/light gas interface. The numerical simulations are conducted within a rectangular domain measuring . A V-shaped interface is located downstream of the shock, with the left end positioned 5 mm away from the incident shock (IS) wave moving from left to right along the x-direction, and situated in gas. Moreover, 20 mm is the IS wave’s beginning distance from the domain’s left boundary. The Mach number characterizes the IS wave. In the present setup, the total length of the V-shaped interface, which is twice the standard amplitude of a single-mode interface, is referred to as the initial amplitude (). The wavelength of the V-shaped interface is determined by taking . The vertex angle of the V-shaped interface is . The relationship between , , and for this V-shaped geometry is . gives the location of the V-shaped interface. We take into account six distinct vertex angles for numerical simulations: , and . For the shock wave strengths, five Mach numbers, , and , are taken into consideration. In the V-shaped interface, neon (Ne), helium (He), and hydrogen (H2) are regarded as the light gases, while nitrogen is chosen as the surrounding gas. The physical characteristics of these gases are outlined in Table 1. In this computational domain, the top, bottom, and right boundaries function as outlets, while the left boundary acts as the inflow boundary. At the V-shaped /He interface, the initial pressure and temperature are specified as = 101,325 Pa and K, respectively.
Figure 1.
Schematic diagram of the initial setup for the shock wave interaction with V-shaped heavy/light gas interface. The solid arrow illustrates the direction of shock wave propagation. and denote the vortex angle, initial interface wavelength and initial interface amplitude of the V-shaped interface.
Table 1.
Used gas parameters for the numerical simulations.
2.3. Initial Conditions
The Rankine–Hugoniot (RH) conditions describe the conservation laws across a shock wave and are essential for determining the relationships between the properties of a fluid on either side of the shock front. For a V-shaped shocked gas interface, the RH conditions must be applied at the interface between the shock wave and the V-shaped interface, accounting for the different fluid properties inside and outside the interface.
Here, the shock Mach number is indicated by , while the shock wave’s left and right sides are indicated by the subscripts 1 and 2, respectively.
2.4. Important Physical Quantities
2.4.1. Atwood Number
In fluid dynamics, an Atwood number is typically defined as
Here, represents the density of the unshocked interface, while refers to the density of the surrounding unshocked ambient gas.
2.4.2. Vorticity Transport Equation
The vorticity transport equation (VTE) is useful for understanding how shock wave interactions with density interfaces generate vorticity. For unsteady compressible inviscid flow, the VTE can be defined as
The term on the left represents the material derivatives, consisting of the convection component, , and the unsteady component, . The first term on the right corresponds to the stretching of vorticity due to changes in the velocity gradient of the flow, which is absent in two-dimensional turbulent flows. The next expression accounts for the stretching of vorticity caused by flow compressibility. Lastly, the third term, baroclinic vorticity, plays a key role in generating small-scale vortical structures near the gas–gas interface.
2.4.3. Vorticity Production-Related Spatially Integrated Fields
Three significant spatially integrated fields are introduced to enhance our understanding of the vorticity production: average vorticity, dilatational, and baroclinic vorticity production terms. The definition of these spatially integrated fields is
where D represents the entire computational domain.
2.4.4. Enstrophy
Enstrophy is a physical parameter used in the study of vortex dynamics to assess the degree of vorticity within a flow field. It is calculated as follows:
2.4.5. Kinetic Energy
The kinetic energy of compressible flow provides essential insights into the dynamics and behavior of fluids under varying pressure and temperature conditions. The time evolution of kinetic energy is described as
3. Numerical Approach and Validation
3.1. Numerical Approach
This study adopts a discontinuous Galerkin (DG) approach to perform all the numerical simulations. The DG method has become increasingly popular in computational fluid dynamics, especially for solving complex systems of partial differential equations [58]. It is particularly well suited for simulating the RMI due to its high-order accuracy and ability to capture sharp discontinuities, which are crucial for accurately resolving shock waves and the complex evolution of material interfaces. Its element-based formulation allows for seamless integration with adaptive mesh refinement, enabling localized high resolution in regions with steep gradients, such as shock fronts and evolving instabilities, while efficiently leveraging computational resources in parallel simulations. The DG method also ensures the local conservation of mass, momentum, and energy, essential for maintaining physical accuracy as the instability develops and generates intricate flow structures. Additionally, its flexibility in handling multiphase flows and incorporating advanced shock-capturing techniques makes it ideal for resolving the small-scale features and turbulence that characterize the nonlinear growth and transition of the RMI.
An in-house designed modal DG solver [20] is utilized in this work to solve the two-dimensional system of a two-component compressible Euler Equation (1). The computational domain is applied with scaled Legendre polynomial functions, which are separated into non-overlapping rectangular components. Both volume and flux are integrated using the Gauss–Legendre quadrature rule. The HLLC scheme is used to compute numerical fluxes at the elemental interfaces for two-component flows [59]. The solutions are approximated in the finite element space using a third-order accurate scaled Legendre polynomial expansion. Time integration is carried out using an explicit third-order accurate strong stability-preserving (SSP) Runge–Kutta technique [60]. In addition, the computational solutions utilize a high-order moment limiter, as recommended by Krivodonova [61], to lessen nonphysical oscillations.
3.2. Validation Study
To validate the current numerical solver, we begin by analyzing a two-component Riemann problem based on one-dimensional Euler equations, which are associated with the Sod shock tube test. Within the computational domain , the initial conditions are established as [62]
We take into consideration 400 grid points for the simulations. The pressure and density distributions between the exact and numerical data are compared in Figure 2, illustrating the strong agreement between the exact and numerical solutions.
Figure 2.
Profiles of (a) density, (b) pressure in one-dimensional sod shock test tube at . “Reproduced with permission from [19], Copyright AIP Publishing, 2023”.
In 2D cases, we verified and validated the present computational model against a variety of shocked gas bubble flow problems in our prior studies [18,19,20]. In this study, the numerical results are compared with those obtained from experiments carried out by Luo et al. [54]. In those trials, a V-shaped air/ interface was taken into consideration. During the experimental examination, a shock Mach number of was utilized, and a vertex angle of occurred. As shown in Figure 3a, a Schlieren image comparison between our current findings and the experimental results seen by Luo et al. [54] is presented. As the shock wave advances, our observations show that the V-shaped contact becomes increasingly distorted. This interface distortion is consistent with findings from a related experiment, as are the ensuing intricate wave patterns. Furthermore, Figure 3b shows the time evolution of the upstream interface displacement, represented by the symbol . It can be seen that the numerical simulation precisely reproduces the positions of and closely aligns with the experimental data.
Figure 3.
Comparison of experimental “Reproduced with permission from [54], Cambridge University Press, 2016” and numerical data for a shock wave interaction with V-shaped air/ interface at and vertex angle : (a) numerical Schlieren; (b) variation in the upstream interface displacement.
After that, we contrasted the numerical findings with the experimental investigation of Zhai et al. [16].
For the purpose of this validation study, we consider a weak planar shock wave applied to a forward triangular gas interface filled with and surrounded by gas, with a Mach number of . Numerical Schlieren pictures comparing the experimental data and the current simulations at various instants are displayed in Figure 4a. The flow field representations in sets of pictures are identical, demonstrating strong agreement. Furthermore, the time history of the height and length of the triangular bubble is shown in Figure 4b, which suggests a strong agreement between the experimental and current results.
Figure 4.
Comparison of experimental and numerical data for a shock wave interaction with forward triangular light interface: (a) numerical Schlieren; (b) developing interfacial length/height. “Reproduced with permission from [20], MDPI, 2024”.
4. Grid Refinement Analysis and Error Estimation
In the following sections, we use the normalized time to display flow morphology snapshots. The characteristic time is used to standardize the actual computational time. Here, we obtain , where is the initial wavelength of the V-shaped interface and is the IS wave speed.
4.1. Grid Refinement Analysis
To capture the detailed structure of the RMI flow field, a grid refinement study is conducted. One test case involves the interaction between a shock wave and a V-shaped /He interface. For this analysis, a third-order accurate modal DG solver is employed, using four different grid setups: , , , and grid points. The computed density contours of the V-shaped /He interface at are illustrated in Figure 5a. As the V-shaped /He interface fully compresses, the shock wave passes through it. At the upstream corner of the V-shaped interface, there is a single spike that emerges from the exact center of the flow field. One key difference across the four test cases is the detection of Kelvin–Helmholtz instability (KHI) in the form of small-scale vortices on the V-shaped interface. As the grid resolution increases, the interface becomes sharper and KHI more pronounced. The density distribution profiles along the center line of the computed V-shaped interface are also shown in Figure 5b, which further demonstrates mesh sensitivity. The results indicate that a higher grid resolution reduces the dissipation of both density and pressure. Based on these observations, the ‘’ grid points are used for all numerical simulations.
Figure 5.
Grid refinement analysis: (a) density contours and (b) profiles of density distributions along the center line for the computed V-shaped /He interface at with four grid resolutions, including , , , and grid points.
4.2. Estimation of Error Accumulation
Evaluating the precision and accumulation of errors is essential for extensive simulations of the complex dynamics of combustion gases in unsteady-state flows. The numerical system precision, grid resolution, and number of time steps all have an impact on the accuracy. Smirnov et al. [63] presented a technique to calculate the error accumulation and simulation precision for this issue.
The relative error of integration in the 1D scenario, , depends on the correctness of the scheme and is proportional to the mean ratio of the cell size to the domain size in the direction of integration in the power:
Within a uniform grid, , where k is the numerical scheme’s accuracy order and is the number of cells in the integration direction. We summarize the errors in two directions given by Equation (14):
Typically, the total error can have an allowed value of 1–5% due to the lack of higher-order precision in the beginning and boundary conditions. Thus, the following inequality ought to be met:
where the number of time steps is n. The following formula can then be used to determine the maximum number of time steps that are permitted:
and the outcomes’ dependability is characterised by
With varying grid resolutions, Table 2 forecasts the buildup of errors for the current DG system. The ultimate simulation time is set to 5, and the permissible error is deemed to be 5%. It is evident that the errors increase quickly for the coarse grid and become smaller as the grid resolution rises. A higher grid resolution and scheme precision translate into more reliable outcomes. All of the results show that the computational model is very trustworthy for the current simulations; however, this could not hold true over extended simulation times [63].
Table 2.
Estimation of error accumulation.
5. Results and Discussion
In this section, the numerical results are presented for the shock wave interaction with the V-shaped /He interface. Emphasis is placed on the effects of vertex angles, shock Mach numbers and Atwood numbers on the evolution of flow morphology, wave patterns, vorticity formation, enstrophy and kinetic energy, and interface features. For numerical simulations, we choose six distinct vertex angles ( and ), five distinct shock wave strengths ( and ), and three different Atwood numbers ( and ).
5.1. Effects of Vertex Angles
5.1.1. Flow Morphology Visualization
Figure 6 and Figure 7 illustrates the effects of vortex angles ( and ) on flow morphology evolution in the shock wave interaction with a V-shaped /He interface at Mach numbers, . A transmitted shock (TS) travels downwards within the V-shaped He interface when the incident shock wave interacts with the V-shaped /He interface. On the other hand, a curved reflected shock (CRS) travels upwards in the nitrogen gas that surrounds the V-shaped interface. As a result of the slow sound speed of the helium interface, the velocity of the TS wave is much higher over the interface in comparison to the velocity of the IS wave coming from the outside. An inward jet (IJ) originates at the leading edge of the V-shaped helium interface and penetrates it deeply. Following this, the TS wave induces a refraction at the V-shaped helium interface, which leads to the creation of a fresh oblique shock wave in the surrounding gas known as the free precursor shock (FPS). The production of an irregular refraction wave pattern as a result of this phenomenon is known as “twin von Neumann refraction” (TNR). This pattern consists of a Mach stem (MS) and a triple point (TP) that are located outside of the interface. The baroclinic vorticity deposition causes the interface amplitude compressed by the IS wave to start decreasing, and a noticeable spike with a single, well-organized vortex pair appears. The evolution of the flow field is gradually affected by the IS wave over time, and the spike grows due to vorticity production, and it eventually becomes the most prominent feature in the flow field. During the contact phase, the KHI causes small-scale vortex forms to arise on the distorted V-shaped interface. The deformation of the V-shaped /He interface gets progressively more complicated, with the flow field that is produced being predominantly governed by the spike that is formed in later stages.
Figure 6.
Effects of vertex angles on the shock wave interaction with V-shaped /He interface: time evolution of density contours at (a) , (b) , and (c) . IS, incident shock; CRS, curved reflected shock; IJ, inward jet; INF, initial interface; TS, transmitted shock; FPS, free precursor shock; TNR, twin von Neumann refraction; TP, triple point; MS, Mach stem; KHI, Kelvin–Helmholtz instability.
Figure 7.
Effects of vertex angles on the shock wave interaction with V-shaped /He interface: time evolution of density contours at (a) , (b) , and (c) . IJ, inward jet; KHI, Kelvin–Helmholtz instability.
In Figure 6, it is evident that a smaller vertex angle leads to a greater interaction between the shock and the V-shaped interface. As the vertex angles grow, the distortion of the V-shaped interface reduces and becomes less significant. Notably, as Figure 6 and Figure 7 illustrate, the created spike at is the longest of the five vertex angles, necessitating a more in-depth analysis. The compression phenomenon is more powerful in the circumstances of , , and than it is in the cases of , and , as shown in Figure 6 and Figure 7. As a result, the created wave patterns get increasingly complicated, and the V-space interface is substantially smaller. Furthermore, because of the baroclinic vorticity deposition, the rolled-up vortices become noticeably larger and stronger at low vertex angles. These vortices are particularly noticeable at the interface where the surrounding gas and the V-shaped interface meet. Remarkably, in the case of a low vertex angle (), the generated spike is found to be complex at the downward center of the V-shaped interface.
The vertex angles’ effects on the interface deformation history of the shock wave interaction with the V-shaped /He interface are illustrated in Figure 8. This broadens the scope of our investigation into the impacts of the vertex angles. Following its passage through the IS wave, the frontal component of the V-shaped contact is crushed in that particular direction. As soon as the IS wave makes contact with the upstream section of the V-shaped interface at the beginning of the contact, the compression event begins. In the early instants at all vertex angles, the downstream of the V-shaped interface pushes forward due to the action of the IS wave. This occurs regardless of the angle of direction. The top and bottom downstream corners of the V-shaped interface eventually fold forward toward the axis, acquiring a divergent form. This occurs over the course of time. Baroclinic vorticity causes a spike to form at the frontal part of the V-shaped interface. The generated spike continues to enlarge with time. Compared to a small vertex angle, the magnitude of these rolled-up vortices on the interface is less in the case of . For all five vertex angles, the rolled-up small-scaled vortices and the spike exhibit complete control over the flow field of the shock wave interaction with the V-shaped /He interface.
Figure 8.
Effects of vertex angles on the shock wave interaction with V-shaped /He interface at critical moments: interface deformation history.
5.1.2. Vorticity Production Mechanism
Figure 9 schematically depicts the vorticity production during the first phase of the shock wave interaction of a V-shaped heavy/light interface. The plane IS wave in the shock wave interaction with the gas interface is dominated by the pressure gradient, whereas the V-shaped interface is dominated by the density gradient. Baroclinic vorticity is created and dispersed along the interface as the IS wave crosses the V-shaped interface. The mismatch between the pressure and density gradients, i.e., , which leads to baroclinic vorticity, is a key factor in the creation of RMI flows. The V-shaped interface does not significantly change when it passes over the IS wave. Furthermore, a Mach reflection occurs through the inclined interfaces when the IS wave interacts with the V-shaped interface via the Mach stem. Consequently, baroclinic vorticity is progressively activated over the V-shaped interface due to the Mach stem’s contribution to the pressure gradient in the vorticity production.
Figure 9.
Schematic diagram of vorticity production in the shock wave interaction with V-shaped heavy/light interface.
Figure 10 shows the vertex angles’ effects on the vorticity distribution of the shocked V-shaped /He interface at time instant . The vorticity is often at zero during the initial stages of the interaction as a general rule. At an early stage in the passage of the IS wave over the V-shaped interface, the discontinuity between the gas He and the ambient gas is the location where baroclinic vorticity is largely deposited locally on the interface. It is possible to see that the top and bottom of the V-shaped interface are where there is the most vorticity. This is because the pressure and density gradients in these areas are not perpendicular to one another. On the other hand, it is equal to zero in situations where the pressure and density gradients at the interface parallel each other along the axis of the interface. Significant amounts of positive and negative vorticity are produced on the top and bottom of the V-shaped contact. Upon an examination of Figure 10, it is evident that a significant quantity of vorticity forms at the interface’s top and bottom horizontal sides, respectively, both positive and negative. At both the top and the bottom of the V-shaped contact, there is a very small quantity of both positive and negative vorticity. Additionally, a minute amount of vorticity, also known as either positive or negative vorticity, can be observed at the spike head, which is located on either the upper or lower plane of the left upstream side. Considering that this positive (negative) vorticity on the upper (lower) jet head is responsible for the enhanced spike movement, it is possible that there is a relationship between the creation of jets and the deposition of vorticity. A significant gap in the vorticity production is noticed during the interaction process for the various vertex angles in the shock wave interaction with the V-shaped /He interface. This gap is observed for the various vertex angles. For a smaller vertex angle (i.e., ), the shock wave encounters a steeper density gradient, resulting in a more intense vorticity generation due to the enhanced baroclinic effect. The shock wave reflects and refracts at more acute angles, leading to higher local vorticity concentrations near the vertex. The interaction can result in complex flow patterns, including the spike formation and enhanced mixing between the two fluids. For larger vertex angles (i.e., ), the shock wave interaction with the interface is more oblique, resulting in a less intense vorticity generation. The distribution of vorticity tends to be more spread out, and the interaction is less complex. The resultant flow field has a lower vorticity magnitude and less pronounced mixing compared to smaller angles. These rolled-up vortices become less noticeable as vertex angles increase. In conclusion, the primary process at tiny vertex angles resulting in rolled-up vortices leads to the creation of vorticity.
Figure 10.
Effects of vertex angles on vorticity contours in the shock wave interaction with V-shaped /He interface at time .
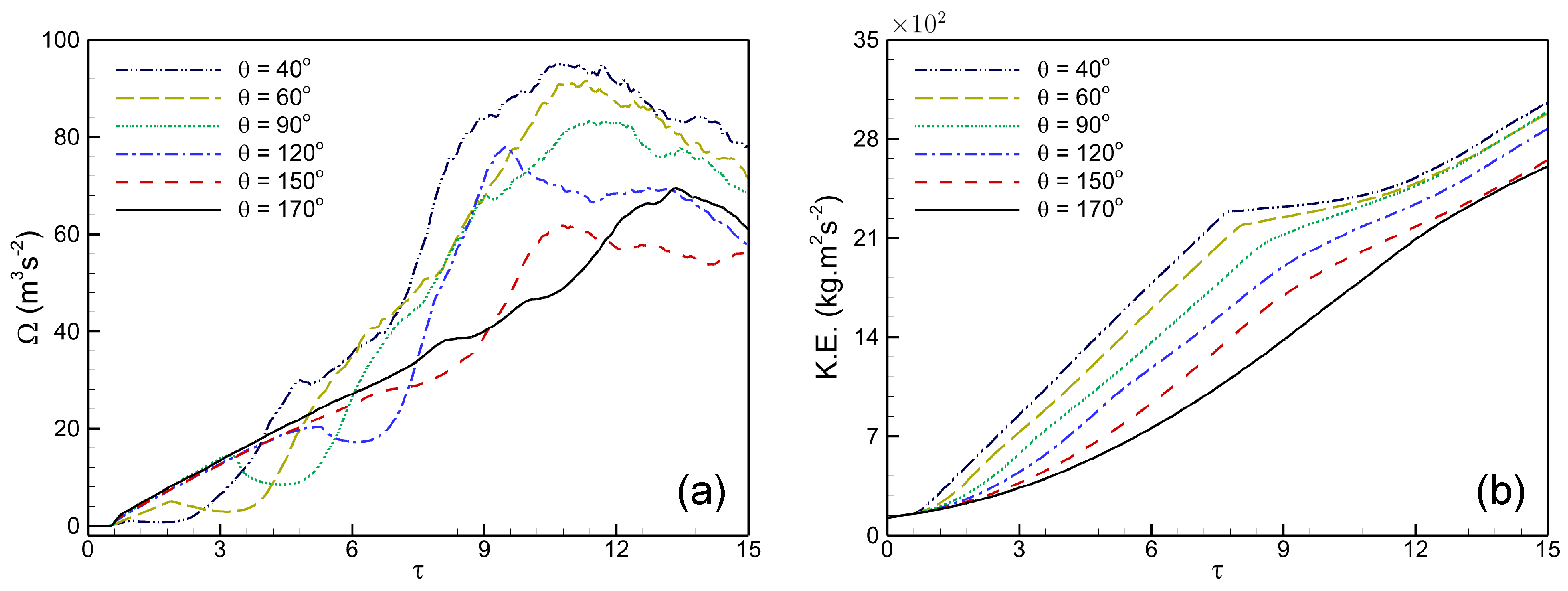
Figure 11 displays the vertex angles effects on the spatially integrated fields of average, dilatational and baroclinic vorticities in the shock wave interaction with a V-shaped /He interface. At the V-shaped interface, where the incident and reflected shock waves collide, the spatially integrated fields at are the minimum of the five vertex angles, as seen in Figure 11. At , these fields significantly improve. For every vertex angle, the spatially integrated fields increase over time, indicating an increasing entrained volume of ambient gas into the deformed V-shaped /He interface. More precisely, the average vorticity value rises when incident and reflected shock waves come into contact with the bubbles, as seen in Figure 11a. Because of the greater vorticities’ stimulation of gas mixing both inside and outside the interface, which accelerates energy transmission and consumption, the average vorticity intensity of the V-shaped interface may gradually drop. Surprisingly, during the interaction, both vorticity production factors reach considerable values. Due to compressibility effects from tiny regions of expansion and compression, plotting the dilatational vorticity generating term displays locally stretched structures surrounding the vortex core, as seen in Figure 11b. Figure 11c shows how the plot of the baroclinic vorticity production term, which represents the vorticity generated by contact discontinuities and reflected shock structures, represents the misalignment of pressure and density gradients. The vortices formed by the shock wave–V-shaped interface contact help to mix the surrounding gas with the V-shaped He interface. The spatially integrated fields show their maximum development rate, with much greater vorticities, when the reflected shock waves strike the deformed bubble again. At that point, the flow field’s rate of expansion decreases. Consequently, the evolution of the spatially integrated fields may reveal a simple non-monotonic connection between the vorticity production terms and the ambient gas.
Figure 11.
Effects of vertex angles on the shock wave interaction with V-shaped /He interface: spatially integrated fields of (a) average, (b) dilatational, and (c) baroclinic vorticities.
5.1.3. Progression Mechanism of Enstrophy and Kinetic Energy
Figure 12 shows the vertex angles’ effects on the spatially integrated fields of enstrophy and kinetic energy evolution in the shock wave interaction with the V-shaped /He interface. There is no enstrophy up until the shock wave reaches the upstream pole of the V-shaped contact. For smaller vertex angles, the shock wave encounters a steeper density gradient, leading to a more intense baroclinic vorticity generation at the interface. This results in a rapid initial increase in enstrophy. The enstrophy graph, as illustrated in Figure 12a, typically shows a steep rise shortly after the shock wave impacts the V-shaped interface, reaching a peak value quickly. This peak corresponds to the maximum vorticity generation due to the concentrated shock–interface interaction. After the initial peak, the enstrophy may decrease as vortices dissipate and interact, causing the vorticity field to become more diffused. However, the decay rate may be slower due to the formation of strong vortex structures that persist over time. High enstrophy is a result of a strong shear and intense vortex formation near the sharp vertex, where the shock-induced density and pressure gradients are most pronounced. On the other hand, for larger vertex angles, the shock wave encounters a more gradual density gradient, leading to a less intense baroclinic vorticity generation. The vorticity production is spread out over a larger area. The enstrophy graph typically shows a more gradual increase, reaching a lower peak value compared to smaller angles. The peak occurs later in time due to the less focused interaction. Enstrophy may decrease more rapidly as the generated vorticity is less intense and more spread out, leading to quicker dissipation. Lower enstrophy results from a weaker vortex formation and less intense shearing near the blunt vertex, where the shock-induced gradients are more diffused.
Figure 12.
Effects of vertex angles on the shock wave interaction with V-shaped /He interface: spatially integrated fields of (a) enstrophy, and (b) kinetic energy.
Figure 12b depicts the effect of vertex angles on the kinetic energy in the shock wave interaction with the V-shaped /He interface. Till the shock wave reaches the upstream tip of the V-shape, enstrophy is zero. At smaller vertex angles, the shock wave encounters a steeper density gradient, resulting in intense baroclinic vorticity generation at the interface and a rapid rise in enstrophy. As shown in Figure 12a, enstrophy increases sharply shortly after the shock impacts the interface, quickly reaching its peak, corresponding to the maximum vorticity generation from the focused shock–interface interaction. After this peak, enstrophy decreases as vortices dissipate and interact, though this decline may be slower if strong vortex structures persist. High enstrophy is due to an intense shear and vortex formation near the sharp vertex, where shock-induced density and pressure gradients are strongest. For larger vertex angles, the shock wave encounters a more gradual density gradient, leading to weaker baroclinic vorticity generation spread over a wider area. Enstrophy increases more gradually, reaching a lower and delayed peak. This is due to the less focused interaction and weaker vorticity production. Enstrophy then decreases more rapidly as the weaker, more diffused vortices dissipate faster. Lower enstrophy results from a reduced vortex formation and less intense shearing near the broader vertex, where shock-induced gradients are weaker and more distributed.
5.1.4. Quantitative Analysis of Deformation Interface
We present a quantitative study of the interface feature for the shock wave interaction with a V-shaped /He interface in this subsection. As seen in Figure 13, these interface properties include the displacement of the upstream interface, spike length (), and vortex spacing ().
Figure 13.
Diagrammatic representation of the deformation parameters in the shock wave interaction with V-shaped /He interface: UI, upstream interface; , spike length; and , vortex spacing.
Figure 14 shows the vertex angles’ effects on the temporal variations in the UI interface deformation , and parameters of the computed shock wave interaction with a V-shaped /He interface following IS wave impingement. As Figure 14a illustrates, the upstream interface’s (UI) early behavior in the V-shaped interface is similar for all vertex angles. Then, it accelerates, perhaps because the shock wave’s creation of rarefaction waves upon contact with the downstream contact causes it to do so. Because of the severe compression effects, the UI value of the V-shaped interface is higher at small vertex angles than it is at larger vertex angles. The UI displacement is shown to be greater at and to decrease at , based on the observations. Due to the continuous rotation of the spike, the small vertex angle experiences a modest growth in temporal variations in spike length after the compression phase, while the larger vertex angle () experiences a slower growth in temporal variations in the generated spike length, as illustrated in Figure 14b. It can be observed that the vortex pair’s continual rotation causes the spike spacing () to shift continuously. Figure 14c demonstrates that the highest vertex spacing values are produced by a smaller vertex angle , whilst the minimum vertex spacing value is produced by a larger vertex angle .
Figure 14.
Effects of vertex angles on the shock wave interaction with V-shaped /He interface: temporal variations in (a) upstream interface (UI), (b) evolving spike length (), and (c) vortex spacing ().
5.2. Effects of Shock Mach Numbers
Figure 15 illustrates the effects of shock wave strengths ( and ) on the time evolution of the density contours in the shocked V-shaped /He interface. It is found that a high Mach number results in a greater interaction between the shock and V-shaped interface. Additionally, the distortion of the V-shaped interface increases and becomes more substantial as the Mach number increases. Notably, the generated spike at is the longest of the four scenarios, as Figure 15d shows, requiring a more thorough examination. In the situations of and , the compression phenomena are stronger than in and . As a result, the V-shaped interface becomes noticeably thinner and the resulting wave patterns become more complicated. Moreover, at high Mach numbers, the rolled-up vortices grow notably stronger and larger due to the baroclinic vorticity deposition. The interface where the V-shaped interface meets the surrounding gas is where these vortices are most visible.
Figure 15.
Effects of shock Mach numbers on the shock wave interaction with V-shaped /He interface at : time evolution of density contours at (a) , (b) , (c) , and (d) .
Figure 16 shows the effects of shock wave strengths on the vorticity distribution of the V-shaped /He interface at and at time instants . At the shocked V-shaped /He interface, a significant gap in vorticity generation is seen for the different shock Mach numbers during the contact process. A small quantity of vorticity is generated around the rolled-up vortices on the V-shaped interface for . Based on Mach numbers, these rolled-up vortices are more prominent, as Figure 16 demonstrates. In conclusion, when rolled-up vortices occur, the formation of vorticity is the main process that occurs at high Mach numbers.
Figure 16.
Effects of shock Mach numbers on the shock wave interaction with V-shaped /He interface at : vorticity contours at .
Figure 17 shows the effects of shock wave strengths on the spatially integrated fields of the enstrophy and baroclinic vorticty. A timeline of enstrophy’s progression is presented in Figure 17a. Up until the shock wave reaches the upstream pole of the V-shaped interface, there is no enstrophy. As the shock wave moves through, baroclinic vorticity is created, which causes it to climb. At the V-shaped interface where the IS and CRS waves impinge, there is an increase in enstrophy. Consequently, as Figure 17a shows, higher vorticities promote gas mixing both inside and outside the gas interface, accelerating the transfer of energy and its consumption. In the long run, this may lessen the degree of enstrophy at the V-shaped interface zone. Every Mach number exhibits the same phenomenon. Stronger shock waves cause more enstrophy; hence, the only difference in overall enstrophy levels is observed. Additionally, Figure 17b shows the plotted evolution of baroclinic vorticity, which varies and depends on Mach numbers. It is clear that when Mach numbers increase, baroclinic vorticity increases significantly.
Figure 17.
Effects of shock Mach numbers on the shock wave interaction with V-shaped /He interface at : spatially integrated fields of (a) enstrophy and (b) kinetic energy.
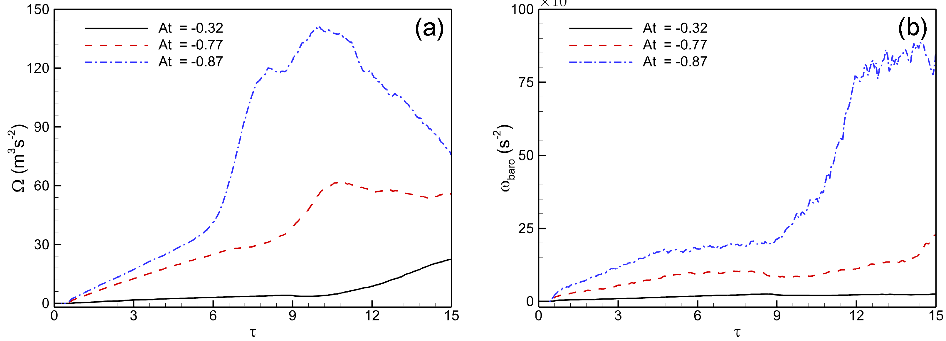
5.3. Effects of Atwood Numbers
The implications of a negative Atwood number on the shock wave interaction with a V-shaped /He interface at are finally briefly discussed in this section. The configuration known as “slow/fast” or “heavy/light” occurs when the V-shaped interface density is lower than the surrounding gas density. This is indicated by a negative Atwood number, or . Towards this goal, we consider three different light gases, with negative Atwood numbers of , and , respectively: hydrogen (), helium (He), and neon (Ne). In these situations, the shock wave propagates faster inside than outside the interfaces because of the low acoustic impedance within them. As a result, the incident shock wave outside the V-shaped interface moves considerably ahead of the transmitted shock waves inside the V-shaped interface. Significant discrepancies are observed between the flow configurations generated and the corresponding RM instability as the value lowers.
Figure 18 displays the Atwood number (, and ) impacts on the flow fields and vorticity generation of the shock wave interaction with the V-shaped /He interface with and at time . In all three cases, spikes are generated in the flow field during the interaction process. It can be seen that as decreases, the length of the generated spike increases. Moreover, the KH instability’s moderate size, which is typified by rolled-up vortices, grows and becomes more noticeable at the interface. The generated spike that is produced eventually grows and takes control of the entire flow fields. The effects of positive Atwood numbers on the spatially integrated fields of baroclinic vorticity and enstrophy in the shock wave interaction with a V-shaped /He interface are depicted in Figure 19. It is noticed that the spatially integrated values of baroclinic vortcity and enstrophy decrease with a decreasing Atwood number.
Figure 18.
Atwood number effect on (a) flow morphology and (b) vorticity contours in the shock wave interaction with V-shaped /He interface at .
Figure 19.
Atwood number effect on spatially integrated fields of (a) enstrophy and (b) baroclinic vorticity production term in the shock wave interaction with V-shaped /He interface.
6. Concluding Remarks
In this research, we conducted a numerical study of the shock wave interaction with a V-shaped /He interface. Emphasis was placed on the impacts of vertex angles and shock Mach numbers on the evolution of flow morphology, wave patterns, vorticity formation, enstrophy and kinetic energy, and interface features. For numerical simulations, we choose six distinct vertex angles ( and ), five different shock Mach numbers ( and ), and three different Atwood numbers ( and ). A third-order modal discontinuous Galerkin approach was used to simulate unstable compressible two-component Euler equations, which produced high-resolution numerical simulations. The computational model was validated with existing experimental results.
The numerical results show that the shock wave interaction with the V-shaped /He interface is highly sensitive to the vertex angles as well shock Mach numbers. For the V-shaped interface, a spike emerges after the shock wave impact, and subsequently, “twin von Neumann refraction” phenomena take place. The production of prominent vortices and a more evident spike occur at small vertex angles due to increased vorticity on the interface. On the other hand, at wide vertex angles, less vorticity is deposited, resulting in minimal interface deformation and underdeveloped spikes. A detailed analysis of the effects of vertex angles is also provided in order to clarify the mechanics underlying the creation of vorticity throughout the interaction process. Notably, smaller vertex angles lead to stronger vorticity generation due to a steeper density gradient, while larger angles result in weaker, more dispersed vorticity and a less complex interaction. Interestingly, vorticity turns out to be an important factor in explaining important aspects of the shock wave interaction at the V-shaped interface. We also conducted a quantitative analysis of the interface features and integral quantity time fluctuations. Additionally, we briefly presented the impacts of different Mach numbers on the shock wave interaction with the V-shaped /He interface. Finally, the effects of negative Atwood numbers on the V-shaped interface are investigated. This study on the shock wave interaction with a V-shaped heavy/light interface offers valuable insights for applications in inertial confinement fusion (ICF) and industrial combustion. In ICF, understanding the impact of vertex angles on energy and vorticity distribution can optimize target designs for better energy transfer and stability. In combustion, these findings can guide the design of nozzles and injectors to enhance mixing efficiency, leading to improved combustion performance and lower emissions.
The aim of this research was to investigate the vertex angles and Mach numbers on the shock wave interaction with a V-shaped heavy/light interface. Interestingly, the nature of RMI becomes even more complex and interesting when the V-shaped heavy/light interface is subjected to re-shock conditions. It is anticipated that further research will expand on this work by investigating the evolution of RMI at the V-shaped heavy/light interface or at more intricate interface forms in the context of re-shock. Our knowledge of vertex angles and shock Mach number impacts in practical applications may be improved by this study.
Author Contributions
Conceptualization, S.S.; Software, S.S.; Validation, S.S.; Formal analysis, S.S.A. and S.S.; Investigation, S.S.A. and S.S.; Writing—original draft, S.S.A. and S.S.; Visualization, S.S.A. and S.S.; Funding acquisition, S.S.A. All authors have read and agreed to the published version of the manuscript.
Funding
This work was funded by the Deanship of Graduate Studies and Scientific Research at Jouf University under grant No. (DGSSR-2024-02-02106).
Data Availability Statement
The data will be made available by the authors on request.
Conflicts of Interest
The authors declare no conflicts of interest.
Abbreviations and Symbols
This manuscript uses the following symbols and abbreviations:
| RMI | Richtmyer–Meshkov instability |
| DG | Discontinuous Galerkin |
| KHI | Kelvin–Helmholtz instability |
| VTE | Vorticity transport equation |
| K.E. | Kinetic energy |
| IS | Incident shock |
| TS | Transmitted shock |
| CRS | Curved reflected shock |
| IJ | Inward jet |
| TP | Triple point |
| MS | Mach stem |
| FPS | Free precursor shock |
| TNR | Twin von Neumann refraction |
| UI | Upstream interface |
| Amplitude of V-shaped interface | |
| Vertex angle of V-shaped interface | |
| Vertex angle of V-shaped interface | |
| Atwood number | |
| Initial pressure | |
| Initial temperature | |
| Shock Mach number | |
| Upstream interface displacement | |
| Density | |
| Velocity components of velocity vector in x- and y-directions | |
| Conservative vector | |
| Inviscid flux vectors | |
| p | Total pressure |
| Mass fraction | |
| Specific heat ratio of mixture | |
| Specific heat ratios | |
| Spike length | |
| Vortex spacing |
| Specific heats at constant volume | |
| Specific heats at constant pressure | |
| Densities of interface gas and enclosing ambient gas | |
| Vorticity | |
| Enstrophy | |
| Average vorticity | |
| Dilatational and baroclinic vortcity production terms |
References
- Richtmyer, R.D. Taylor instability in shock acceleration of compressible fluids. Commun. Pure Appl. Math. 1960, 13, 297–319. [Google Scholar] [CrossRef]
- Meshkov, E.E. Instability of the interface of two gases accelerated by a shock wave. Fluid Dyn. 1969, 4, 101–104. [Google Scholar] [CrossRef]
- Hahn, M.; Drikakis, D.; Youngs, D.L.; Williams, R.J.R. Richtmyer–Meshkov turbulent mixing arising from an inclined material interface with realistic surface perturbations and reshocked flow. Phys. Fluids 2011, 23, 046101. [Google Scholar] [CrossRef]
- Livescu, D. Turbulence with large thermal and compositional density variations. Annu. Rev. Fluid Mech. 2020, 52, 309–341. [Google Scholar] [CrossRef]
- Zhou, Y.; Williams, R.J.; Ramaprabhu, P.; Groom, M.; Thornber, B.; Hillier, A.; Mostert, W.; Rollin, B.; Balachandar, S.; Powell, P.D.; et al. Rayleigh–Taylor and Richtmyer-Meshkov instabilities: A journey through scales. Physica D 2021, 423, 132838. [Google Scholar] [CrossRef]
- Lindl, J.; Landen, O.; Edwards, J.; Moses, E.; Team, N. Review of the national ignition campaign 2009–2012. Phys. Plasmas 2014, 21, 020501. [Google Scholar] [CrossRef]
- Brouillette, M. The Richtmyer-Meshkov instability. Annu. Rev. Fluid Mech. 2002, 34, 445–468. [Google Scholar] [CrossRef]
- Zhou, Y. Rayleigh–Taylor and Richtmyer–Meshkov instability induced flow, turbulence, and mixing-I. Phys. Rep. 2017, 720, 1–136. [Google Scholar]
- Zhou, Y. Rayleigh–Taylor and Richtmyer–Meshkov instability induced flow, turbulence, and mixing-II. Phys. Rep. 2017, 723, 1–160. [Google Scholar]
- Haas, J.F.; Sturtevant, B. Interaction of weak shock waves with cylindrical and spherical gas inhomogeneities. J. Fluid Mech. 1987, 181, 41–76. [Google Scholar] [CrossRef]
- Ranjan, D.; Niederhaus, J.H.J.; Oakley, J.G.; Anderson, M.H.; Bonazza, R.; Greenough, J.A. Shock-bubble interactions: Features of divergent shock-refraction geometry observed in experiments and simulations. Phys. Fluids 2008, 20, 036101. [Google Scholar] [CrossRef]
- Quirk, J.J.; Karni, S. On the dynamics of a shock-bubble interaction. J. Fluid Mech. 1996, 318, 129–163. [Google Scholar] [CrossRef]
- Shankar, S.K.; Kawai, S.; Lele, S.K. Two-dimensional viscous flow simulation of a shock accelerated heavy gas cylinder. Phys. Fluids 2011, 23, 024102. [Google Scholar] [CrossRef]
- Singh, S.; Battiato, M.; Myong, R.S. Impact of the bulk viscosity on flow morphology of shock-bubble interaction in diatomic and polyatomic gases. Phys. Fluids 2021, 33, 066103. [Google Scholar] [CrossRef]
- Singh, S.; Msmali, A.H.; Nelson, M.I. Unfolding of shocked hydrodynamic instability at SF6 elliptical interface: Physical insights from numerical simulations. Comput. Fluids 2024, 277, 106304. [Google Scholar] [CrossRef]
- Zhai, Z.; Wang, M.; Si, T.; Luo, X. On the interaction of a planar shock with a light polygonal interface. J. Fluid Mech. 2014, 757, 800–816. [Google Scholar] [CrossRef]
- Igra, D.; Igra, O. Shock wave interaction with a polygonal bubble containing two different gases, a numerical investigation. J. Fluid Mech. 2020, 88, A26. [Google Scholar] [CrossRef]
- Singh, S.; Battiato, M. Numerical investigation of shock Mach number effects on Richtmyer–Meshkov instability in a heavy square bubble. Phys. D Nonlinear Phenom. 2023, 453, 133844. [Google Scholar] [CrossRef]
- Singh, S.; Torrilhon, M. On the shock-driven hydrodynamic instability in square and rectangular light gas bubbles: A comparative study from numerical simulations. Phys. Fluids 2023, 35, 012117. [Google Scholar] [CrossRef]
- Alsaeed, S.S.; Singh, S. Modal Discontinuous Galerkin Simulations of Richtmyer–Meshkov Instability at Backward-Triangular Bubbles: Insights and Analysis. Mathematics 2024, 12, 2005. [Google Scholar] [CrossRef]
- Bansal, S.; Kumar, A.; Saini, A.; Negi, A.S.; Singh, S. Exploring the Atwood number impact on shock-driven hydrodynamic instability at pentagonal interface using discontinuous Galerkin simulations. Phys. D Nonlinear Phenom. 2024, 467, 134276. [Google Scholar] [CrossRef]
- Hejazialhosseini, B.; Rossinelli, D.; Koumoutsakos, P. Vortex dynamics in 3D shock-bubble interaction. Phys. Fluids 2013, 25, 110816. [Google Scholar] [CrossRef]
- Rybakin, B.; Goryachev, V. The supersonic shock wave interaction with low-density gas bubble. Acta Astronaut. 2014, 94, 749–753. [Google Scholar] [CrossRef]
- Rybakin, B.; Goryachev, V.; Stamov, L.; Mikhalchenko, E.; Tyurenkova, V.; Smirnova, M.; Shamina, A.; Kolenkina, E.; Pestov, D. Modeling the formation of dense clumps during molecular clouds collision. Acta Astronaut. 2020, 170, 586–591. [Google Scholar] [CrossRef]
- Niederhaus, J.H.J.; Greenough, J.A.; Oakley, J.G.; Ranjan, D.; Anderson, M.H.; Bonazza, R. A computational parameter study for the three-dimensional shock–bubble interaction. J. Fluid Mech. 2008, 594, 85–124. [Google Scholar] [CrossRef]
- Ding, J.; Si, T.; Chen, M.; Zhai, Z.; Lu, X.; Luo, X. On the interaction of a planar shock with a three-dimensional light gas cylinder. J. Fluid Mech. 2017, 828, 289–317. [Google Scholar] [CrossRef]
- Ding, J.; Liang, Y.; Chen, M.; Zhai, Z.; Si, T.; Luo, X. Interaction of planar shock wave with three-dimensional heavy cylindrical bubble. Phys. Fluids 2018, 30, 106109. [Google Scholar] [CrossRef]
- Onwuegbu, S.; Yang, Z. Numerical analysis of shock interaction with a spherical bubble. AIP Adv. 2022, 12, 025215. [Google Scholar] [CrossRef]
- Sadot, O.; Erez, L.; Alon, U.; Oron, D.; Levin, L.A.; Erez, G.; Ben-Dor, G.; Shvarts, D. Study of nonlinear evolution of single-mode and two-bubble interaction under Richtmyer-Meshkov instability. Phys. Rev. Lett. 1998, 80, 1654. [Google Scholar] [CrossRef]
- Vandenboomgaerde, M.; Souffland, D.; Mariani, C.; Biamino, L.; Jourdan, G.; Houas, L. An experimental and numerical investigation of the dependency on the initial conditions of the Richtmyer-Meshkov instability. Phys. Fluids 2014, 26, 024109. [Google Scholar] [CrossRef]
- Nishihara, K.; Wouchuk, J.G.; Matsuoka, C.; Ishizaki, R.; Zhakhovsky, V.V. Richtmyer–Meshkov instability: Theory of linear and nonlinear evolution. Philos. Trans. R. Soc. A Math. Phys. Eng. Sci. 2010, 368, 1769–1807. [Google Scholar] [CrossRef] [PubMed]
- Fraley, G. Rayleigh–Taylor stability for a normal shock wave–density discontinuity interaction. Phys. Fluids 1986, 29, 376–386. [Google Scholar] [CrossRef]
- Mikaelian, K.O. Growth rate of the Richtmyer-Meshkov instability at shocked interfaces. Phys. Rev. Lett. 1993, 71, 2903–2906. [Google Scholar] [CrossRef] [PubMed]
- Mikaelian, K.O. Richtmyer–Meshkov instability of arbitrary shapes. Phys. Fluids 2005, 17, 034101. [Google Scholar] [CrossRef]
- Luo, T.; Wang, J. Effects of Atwood number and stratification parameter on compressible multi-mode Rayleigh–Taylor instability. Phys. Fluids 2021, 33, 115111. [Google Scholar] [CrossRef]
- Thornber, B.; Drikakis, D.; Youngs, D.; Williams, R. Growth of a Richtmyer-Meshkov turbulent layer after reshock. Phys. Fluids 2011, 23, 095107. [Google Scholar] [CrossRef]
- Tritschler, V.K.; Olson, B.J.; Lele, S.K.; Hickel, S.; Hu, X.Y.; Adams, N.A. On the Richtmyer–Meshkov instability evolving from a deterministic multimode planar interface. J. Fluid Mech. 2014, 755, 429–462. [Google Scholar] [CrossRef]
- Thornber, B.; Drikakis, D.; Youngs, D.L.; Williams, R.J.R. The influence of initial conditions on turbulent mixing due to Richtmyer–Meshkov instability. J. Fluid Mech. 2010, 654, 99–139. [Google Scholar] [CrossRef]
- Lombardini, M.; Pullin, D.I.; Meiron, D.I. Transition to turbulence in shock-driven mixing: A Mach number study. J. Fluid Mech. 2012, 690, 203–226. [Google Scholar] [CrossRef]
- Mohaghar, M.; Carter, J.; Pathikonda, G.; Ranjan, D. The transition to turbulence in shock-driven mixing: Effects of Mach number and initial conditions. J. Fluid Mech. 2016, 871, 595–635. [Google Scholar] [CrossRef]
- Probyn, M.G.; Williams, R.J.R.; Thornber, B.; Drikakis, D.; Youngs, D.L. 2D single-mode Richtmyer–Meshkov instability. Phys. D Nonlinear Phenom. 2021, 418, 132827. [Google Scholar] [CrossRef]
- Jahn, R.G. The refraction of shock waves at a gaseous interface. J. Fluid Mech. 1956, 1, 457–489. [Google Scholar] [CrossRef]
- Abd-El-Fattah, A.M.; Henderson, L.F. Shock waves at a fast-slow gas interface. J. Fluid Mech. 1978, 86, 15–32. [Google Scholar] [CrossRef]
- Abd-El-Fattah, A.M.; Henderson, L.F. The refraction of a plane shock wave at a gas interface. J. Fluid Mech. 1978, 86, 15. [Google Scholar] [CrossRef]
- Abd-El-Fattah, A.M.; Henderson, L.F. Shock waves at a slow-fast gas interface. J. Fluid Mech. 1978, 89, 79–95. [Google Scholar] [CrossRef]
- Abd-El-Fattah, A.M.; Henderson, L.F.; Lozzi, A. Precursor shock waves at a slow—Fast gas interface. J. Fluid Mech. 1976, 76, 157–176. [Google Scholar] [CrossRef]
- Henderson, L.F.; Colella, P.; Puckett, E.G. On the refraction of shock waves at a slow—Fast gas interface. J. Fluid Mech. 1991, 224, 1–27. [Google Scholar] [CrossRef]
- McFarland, J.A.; Greenough, J.A.; Ranjan, D. Computational parametric study of a Richtmyer-Meshkov instability for an inclined interface. Phys. Rev. E 2011, 84, 026303. [Google Scholar] [CrossRef]
- McFarland, J.A.; Greenough, J.A.; Ranjan, D. Investigation of the initial perturbation amplitude for the inclined interface Richtmyer–Meshkov instability. Phys. Scr. 2013, 2013, 014014. [Google Scholar] [CrossRef]
- McFarland, J.A.; Greenough, J.A.; Ranjan, D. Simulations and analysis of the reshocked inclined interface Richtmyer–Meshkov instability for linear and nonlinear interface perturbations. J. Fluids Eng. 2014, 136, 071203. [Google Scholar] [CrossRef]
- McFarland, J.A.; Reilly, D.; Black, W.; Greenough, J.A.; Ranjan, D. Modal interactions between a large-wavelength inclined interface and small-wavelength multimode perturbations in a Richtmyer-Meshkov instability. Phys. Rev. E 2014, 92, 013023. [Google Scholar] [CrossRef] [PubMed]
- McFarland, J.A.; Reilly, D.; Creel, S.; McDonald, C.; Finn, T.; Ranjan, D. Experimental investigation of the inclined interface Richtmyer–Meshkov instability before and after reshock. Exp. Fluids 2014, 55, 1640–1653. [Google Scholar] [CrossRef]
- Reilly, D.; McFarland, J.A.; Mohaghar, M.; Ranjan, D. The effects of initial conditions and circulation deposition on the inclined-interface reshocked Richtmyer–Meshkov instability. Exp. Fluids 2015, 56, 168–183. [Google Scholar] [CrossRef]
- Luo, X.; Dong, P.; Si, T.; Zhai, Z. The Richtmyer–Meshkov instability of a ‘V’ shaped air/SF6 interface. J. Fluid Mech. 2016, 802, 186–202. [Google Scholar] [CrossRef]
- Zhai, Z.; Dong, P.; Si, T.; Luo, Z. The Richtmyer–Meshkov instability of a “V” shaped air/helium interface subjected to a weak shock. Phys. Fluids 2016, 28, 082104. [Google Scholar] [CrossRef]
- Wu-Wang, H.; Liu, C.; Xiao, Z. Parametric effects on Richtmyer–Meshkov instability of a V-shaped gaseous interface within linear stage. Phys. Fluids 2024, 36, 024114. [Google Scholar] [CrossRef]
- Alsaeed, S.S.; Singh, S. Computational study of shocked V-shaped N2/SF6 interface across varying Mach numbers. Axioms, 2024; Under production. [Google Scholar]
- Singh, S.; Karchani, A.; Chourushi, T.; Myong, R.S. A three-dimensional modal discontinuous Galerkin method for second-order Boltzmann-Curtiss constitutive models of rarefied and microscale gas flows. J. Comput. Phys. 2022, 457, 111052. [Google Scholar] [CrossRef]
- Johnsen, E.; Colonius, T. Implementation of WENO schemes in compressible multicomponent flow problems. J. Comput. Phys. 2006, 219, 715–732. [Google Scholar] [CrossRef]
- Ketcheson, D.I. Highly efficient strong stability-preserving Runge–Kutta methods with low-storage implementations. SIAM J. Sci. Comput. 2008, 30, 2113–2136. [Google Scholar] [CrossRef]
- Krivodonova, L. Limiters for high-order discontinuous Galerkin methods. J. Comput. Phys. 2007, 226, 879–896. [Google Scholar] [CrossRef]
- Abgrall, R.; Karni, S. Computations of compressible multifluid. J. Comput. Phys. 2001, 169, 594–623. [Google Scholar] [CrossRef]
- Smirnov, N.N.; Betelin, V.B.; Shagaliev, R.M.; Nikitin, V.F.; Belyakov, I.M.; Deryuguin, Y.N.; Aksenov, S.V.; Korchazhkin, D.A. Hydrogen fuel rocket engines simulation using LOGOS code. Int. J. Hydrogen Energy 2014, 39, 10748–10756. [Google Scholar] [CrossRef]
Disclaimer/Publisher’s Note: The statements, opinions and data contained in all publications are solely those of the individual author(s) and contributor(s) and not of MDPI and/or the editor(s). MDPI and/or the editor(s) disclaim responsibility for any injury to people or property resulting from any ideas, methods, instructions or products referred to in the content. |
© 2024 by the authors. Licensee MDPI, Basel, Switzerland. This article is an open access article distributed under the terms and conditions of the Creative Commons Attribution (CC BY) license (https://creativecommons.org/licenses/by/4.0/).


















