Abstract
This paper is concerned with the novel exact solitons for the truncated M-fractional (1+1)-dimensional nonlinear generalized Bretherton model with arbitrary constants. This model is used to explain the resonant nonlinear interaction between the waves in different phenomena, including fluid dynamics, plasma physics, ocean waves, and many others. A series of exact solitons, including bright, dark, periodic, singular, singular–bright, singular–dark, and other solitons are obtained by applying the extended sinh-Gordon equation expansion (EShGEE) and the modified -expansion techniques. A novel definition of fractional derivative provides solutions that are distinct from previous solutions. Mathematica software was used to obtain and verify the solutions. The solutions are shown through 2D, 3D, and density plots. A stability process was conducted to verify that the solutions are exact and accurate. Modulation instability was used to determine the steady-state results for the corresponding equation.
Keywords:
generalized Bretherton model; fractional derivatives; stability analysis; modulation instability; analytical methods; exact solitons MSC:
35Q51; 35R11; 35B35
1. Introduction
Naturally occurring phenomena are expressed in the form of nonlinear fractional partial differential equations. Many models have been developed in the form of fractional partial differential equations in different fields of science and engineering, including the fractional Phi-4 model [1], the fractional Wazwaz–Benjamin–Bona–Mahony model [2], the fractional regularized long wave model [3], the fractional complex three coupled Maccari’s system [4], the fractional paraxial nonlinear Schrödinger model [5], fractional intravenous drug administration [6], the fractional Westervelt model [7], the fractional Single-Joint Robot Arm model [8], the fractional Estevez–Mansfield–Clarkson model [9], the fractional Van der Waals equation [10], and many more.
In this paper, the authors use two simple and useful schemes: the extended sinh-Gordon equation expansion (EShGEE) method and the modified -expansion technique. These schemes have been used for different models. The EShGEE technique has been used for the Biswas–Arshed equation [11], the generalized nonlinear Schrödinger equation [12], the novel liquid crystals model [13], a (2+1)-dimensional nonlinear Schrödinger equation with anti-cubic nonlinearity [14], the stochastic Phi-4 equation [15], Klein–Gordon–Zakharov equations [16], the Nizhnik–Novikov–Veselov system [17], the density-dependent diffusion–reaction equation [18], and the Van der Waals equation [19]. Similarly, the modified -expansion scheme has been used for the Fokas–Lenells equation [20], the (1+1)-dimensional classical Boussinesq equation [21], the coupled Drinfel’d–Sokolov–Wilson equation [22], and the Wazwaz–Kaur Boussinesq equation [23].
The basic purpose of our work is to discover the new distinct exact solitons in the (1+1)-dimensional nonlinear generalized Bretherton model, along with a truncated M-fractional derivative. A qualitative analysis of the governing model is also performed.
The motivation for our work is to investigate the novel wave solitons in the generalized Bretherton model. The truncated M-fractional derivative fulfills the characteristics of both integer and fractional derivatives. This definition of derivative provides better solutions than other definitions. First, both of the utilized techniques convert the nonlinear fractional partial differential equations into nonlinear ordinary differential equations (ODEs) and then solve the obtained ODEs. The extended sinh-Gordon equation expansion technique provides the dark, bright, dark–bright, singular, singular–bright, and other solitons. The modified -expansion scheme gives the periodic wave, kink soliton, and other types of soliton solutions.
The paper proceeds as follows: the corresponding model and its mathematical treatment are introduced in Section 2, the EShGEE approach and exact solitons are presented in Section 3, the modified -expansion technique and its application are detailed in Section 4, a graphical explanation is provided in Section 5, a physical description is offered in Section 6, the stability analysis is described in Section 7, the modulation instability is presented in Section 8, the results and discussion are given in Section 9, and we conclude our work in Section 10.
Truncated M-Fractional Derivative (TMFD)
Definition:
Consider . Therefore, the truncated M-fractional derivative of v of order [24] is
where represents a truncated Mittag–Leffler function [25]
Properties:
Consider a,b , and are differentiable at a point ; according to [24],
The truncated M-fractional derivative (TMD) is a fractional derivative that was introduced in Sousa and de Oliveira [25]. This derivative removed the obstacles found in the existing derivatives. This definition of a derivative is used for various models, such as the Shynaray-IIA equation [26], the Cahn–Allen equation [27], and many more.
2. Model Presentation and Its Mathematical Treatment
Bretherton proposed the following partial differential equation [28]:
This is a model of a dispersive wave system to explain the resonant nonlinear interaction between three linear models.
The modified Bretherton equation is given as
Equation (2) was used by Kudryashov [29]. Different kinds of solitary wave solutions were obtained in [30,31]. A modified Bretherton equation is considered to further check whether steady-state multiple resonances exist not only for water waves but also for other dispersive media.
Our model is a (1+1)-dimensional nonlinear generalized Bretherton equation with arbitrary constants given as [32]
Here, indicates the wave function, while parameters a, b, c, and are arbitrary constants. Equation (3) is discussed using different schemes including the improved -expansion scheme, [32] and the extended tanh-function scheme [33].
The (1+1)-dimensional nonlinear generalized Bretherton model with arbitrary constant in the concept of TMFD is given as
Consider a wave transformation
where is a soliton velocity. Placing Equation (5) in Equation (4) provides
The natural number m is calculated by applying the homogeneous balance technique into Equation (6), and balancing the terms and , we obtain .
3. Explanation and Application of the EShGEE Method
3.1. Description
Here, we will mention some of the stages of the scheme.
- Stage 1:
We suppose a nonlinear fractional PDE
where is a wave profile.
- Stage 2:
Suppose the roots of Equation (9) are as given below:
Here, , , and are to be found. Suppose there is a new profile f of ℧ that fulfills
The natural number m is calculated by applying the homogeneous balance scheme. Equation (11) is achieved from the following equation:
From [34], we obtain the results for Equation (12):
and
.
- Stage 3:
Inserting Equation (10) and Equation (11) into Equation (9) results in a system including . We make each co-efficient of equal to 0, to achieve a set consisting of , , and others.
- Stage 4:
3.2. Application to the EShGEE Scheme
Equation (10) changes to the following form for :
Placing Equation (17) into Equation (6) along with Equation (11), we obtain a system containing , , , , , , and other parameters. By manumission, we obtain the following sets:
- Set 1:
- Set 2:
- Set 3:
- Set 4:
- Set 5:
- Set 6:
4. Explanation of the Modified -Expansion Scheme
In this section, we explain the main steps of this scheme [23].
- Step 1:
- Step 2:
Suppose the result for Equation (9) is
where are unknowns, while . The function G = fulfills the given ODE,
where and are the constants. One can obtain the following cases for Equation (37), depending on the conditions of :
- Case 1: If , then
- Case 2: If , then
- Case 3: If and , thenHere, and are constants.
- Step 3:
We place Equation (36) into Equation (9), along with Equation (37), and we collect the coefficients of every power of to 0; then, solving the algebraic equations, we obtain , and others.
- Step 4:
Placing Equation (36), in which , and the other parameters were obtained in step 3, into Equation (9), one can obtain the results of Equation (7).
Application
For , Equation (36) reduces into
where , , and are unknowns. By substituting Equations (41) and (37) into Equation (6) and solving with Maple software, the following sets of results are obtained:
- Set 1:
- Set 2:
- Set 3:
- Set 4:
- Set 5:
- Set 6:
5. Graphical Explanation
Here, we show the solutions obtained in 2D, 3D, and contour graphs. The 2D plots are also drawn for different values of .
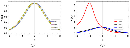
Figure 1.
Plot for , as shown in Equation (19). (a) Two-dimensional plot for distinct values of t. (b) Two-dimensional graph for different values of . (c) Three-dimensional graph for . (d) Density graph for .
Figure 2.
Plot for , as shown in Equation (20). (a) Two-dimensional plot for distinct values of t. (b) Two-dimensional graph for different values of . (c) Three-dimensional graph for . (d) Density graph for .

Figure 3.
Plot for , as shown in Equation (32). (a) Two-dimensional graph for different values of t. (b) Two-dimensional graph for different values of . (c) Three-dimensional graph for . (d) Density graph for .
Figure 4.
Plot for , as shown in Equation (43). (a) Two-dimensional plot for distinct values of t. (b) Two-dimensional graph for different values of . (c) Three-dimensional graph for . (d) Density graph for .
Figure 5.
Plot for , as shown in Equation (44). (a) Two-dimensional plot for distinct values of t. (b) Two-dimensional graph for different values of . (c) Three-dimensional graph for . (d) Density graph for .
6. Physical Interpretation
Here, we describe the dynamical behavior of the solutions of the truncated M-fractional generalized Bretherton model.
Figure 1 represents a singular soliton at the values of and . Figure 1a represents a 2D graph for at , where the blue line is for , the orange line is for , and the green line is for . Figure 1b represents a two-dimensional graph for at , where the red line is for , the black line is for , and the blue line is for . Figure 1c represents a three-dimensional graph at for . Figure 1d shows a density plot for at .
Figure 2 represents a dark soliton at the values of and . Figure 2a represents a 2D graph for at , where the blue line is for , the orange line is for , and the green line is for . Figure 2b represents a two-dimensional graph for at , where the red line is for , the black line is for , and the blue line is for . Figure 2c represents a three-dimensional graph at for . Figure 2d shows a density plot for at .
Figure 3 represents a bright soliton at the values of and . Figure 3a represents a 2D graph for at , where the blue line is for , the orange line is for , and the green line is for . Figure 3b represents a two-dimensional graph for at , where the red line is for , the black line is for , and the blue line is for . Figure 3c represents a three-dimensional graph at for . Figure 3d shows a density plot for at .
Figure 4 represents a kink soliton at the values of and . Figure 4a represents a 2D graph for at , where the blue line is for , the orange line is for , and the green line is for . Figure 4b represents a two-dimensional graph for at , where the red line is for , the black line is for , and the blue line is for . Figure 4c represents a three-dimensional graph at for . Figure 4d shows a density plot for at .
Figure 5 represents a periodic wave solution at the values of and . Figure 5a represents a 2D graph for at , where the blue line is for , the orange line is for , and the green line is for . Figure 5b represents a two-dimensional graph for at , where the red line is for , the black line is for , and the blue line is for . Figure 5c represents a three-dimensional graph at for . Figure 5d shows a density plot for at .
7. Stability Analysis
Here, the stability analysis of the model is discussed. It is used to explain how the system behaves in response to external influences over time. Stability analysis was conducted using the properties of a Hamiltonian system tested on some of the obtained solutions to represent the stability of the governing model in terms of application. Stability analysis has been used for many equations, for example, [35,36]. For the stability analysis of Equation (3), one takes the Hamiltonian transformation, given as
where denotes a momentum factor, while denotes the power of possibility. The necessary condition for the stable solutions is given as
where indicates a wave speed. Inserting Equation (32) into Equation (60) results in
and using the criterion given in Equation (61), we obtain
Hence, Equation (3) denotes a stable nonlinear fractional equation because the condition is satisfied.
8. Modulation Instability (MI)
We take the following transformation for the steady-state result of a generalized Bretherton model [37]:
where shows the optical power when normalized. Inserting Equation (64) into Equation (3) and linearizing, one obtains
Consider the solution of Equation (65) in the following form:
where and p represent the frequency and normalized wave number of the perturbation, respectively. Putting Equation (66) into Equation (65) and summing up the coefficients of and , one obtains the dispersion solution by solving the determinant of the coefficient matrix.
Determining the dispersion solution from Equation (67) for results in the following:
The obtained dispersion form represents the stability of the steady state. If a wave number is complex, then the steady state solution will not be stable, because the perturbation grows gradually. If a wave number is real, then the steady state remains stable against small perturbations. A steady state result is not stable when
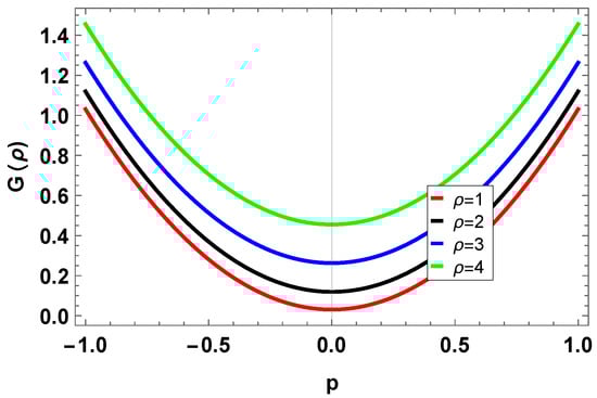
The MI gain spectrum is achieved as Figure 6
Figure 6.
Gain spectrum of MI at different values of .
9. Results and Discussion
Here, we compare the existing results and our results for this model. Different techniques have been used for nonlinear, extended, and modified quantum Zakharov–Kuznetsov equations without fractional derivatives. In [32], the improved -expansion scheme is used to obtain the exact traveling wave solutions. In [33], the an extended tanh-function scheme is utilized to obtain multi soliton-like solutions. However, we consider the model in the truncated M-fractional derivative, which has not been used before in the literature. Furthermore, we utilize the improved -expansion technique to obtain the periodic and kink soliton solutions, while the extended sinh-Gordon equation expansion technique is used to obtain the singular, dark, bright, dark–bright, and many other exact soliton solutions to this model. The obtained solutions have wide applications in different branches of physics and other areas of applied sciences, including fluid dynamics, plasma physics, ocean waves, and many others. Currently, exact solutions, especially soliton-like solutions have gained importance as a special topic in nonlinear science. Soliton theory has also gained importance because of the exceptional properties of a soliton. A soliton maintains its shape and velocity after interaction and thus its stability.
10. Conclusions
We successfully obtained new kinds of exact solitons for the (1+1)-dimensional nonlinear generalized Bretherton model. A series of exact soliton solutions, including bright, dark, periodic, singular, singular–bright, singular–dark, and other solitons were obtained by applying the extended sinh-Gordon equation expansion (EShGEE) and the modified -expansion techniques. A novel definition of the fractional derivative provides solutions distinct from previous solutions. Mathematica software was used to obtain and verify the solutions. The solutions are shown as 2D, 3D, and density graphs. The results are valuable in various areas of applied sciences and engineering. We conclude that the techniques herein are easy to use and provide useful results.
Author Contributions
Methodology, H.Q.; Software, H.Q. and M.B.; Validation, H.Q.; Formal analysis, H.Q. and A.A.; Investigation, A.A. and M.B.; Resources, A.A.; Data curation, K.H.H., A.A. and M.B.; Writing—original draft, K.H.H. and M.B.; Writing—review & editing, K.H.H.; Funding acquisition, K.H.H. All authors have read and agreed to the published version of the manuscript.
Funding
The authors extend their appreciation to Prince Sattam bin Abdulaziz University for funding this research work through the project number (PSAU/2024/01/921063).
Data Availability Statement
No new data were created or analyzed in this study.
Conflicts of Interest
The authors declare no conflicts of interest.
References
- Ripan, R.; Ali, A.M.; Seadawy, A.R.; Baleanu, D. Search for adequate closed form wave solutions to space—Time fractional nonlinear equations. Partial. Differ. Equ. Appl. Math. 2021, 3, 100025. [Google Scholar]
- Bilal, M.; Ren, J. Dynamics of exact solitary wave solutions to the conformable time-space fractional model with reliable analytical approaches. Opt. Quantum Electron. 2022, 54, 40. [Google Scholar] [CrossRef]
- Behera, S.; Mohanty, S.; Virdi, J.P.S. Analytical solutions and mathematical simulation of traveling wave solutions to fractional order nonlinear equations. Partial. Differ. Equ. Appl. Math. 2023, 8, 100535. [Google Scholar] [CrossRef]
- Alsharidi, A.K.; Bekir, A. Discovery of new exact wave solutions to the M-fractional complex three coupled Maccari’s system by Sardar sub-equation scheme. Symmetry 2023, 15, 1567. [Google Scholar] [CrossRef]
- Razzaq, W.; Zafar, A.; Raheel, M. Searching the new exact wave solutions to the beta-fractional Paraxial nonlinear Schrödinger model via three different approaches. Int. J. Mod. Phys. B 2024, 38, 2450132. [Google Scholar] [CrossRef]
- Alijani, Z.; Shiri, B.; Perfilieva, I.; Baleanu, D. Numerical solution of a new mathematical model for intravenous drug administration. Evol. Intell. 2024, 17, 559–575. [Google Scholar] [CrossRef]
- Qawaqneh, H.; Zafar, A.; Raheel, M.; Zaagan, A.A.; Zahran, E.H.M.; Cevikel, A.; Bekir, A. New soliton solutions of M-fractional Westervelt model in ultrasound imaging via two analytical techniques. Opt. Quantum Electron. 2024, 56, 737. [Google Scholar] [CrossRef]
- Batiha, I.M.; Njadat, S.A.; Batyha, R.M.; Zraiqat, A.; Dababneh, A.; Momani, S. Design Fractional-order PID Controllers for Single-Joint Robot Arm Model. Int. J. Adv. Soft Comput. Its Appl. 2022, 14, 96–114. [Google Scholar] [CrossRef]
- Qawaqneh, H.; Alrashedi, Y. Mathematical and Physical Analysis of Fractional Estevez–Mansfield–Clarkson Equation. Fractal Fract. 2024, 8, 467. [Google Scholar] [CrossRef]
- Qawaqneh, H.; Manafian, J.; Alharthi, M.; Alrashedi, Y. Stability Analysis, Modulation Instability, and Beta-Time Fractional Exact Soliton Solutions to the Van der Waals Equation. Mathematics 2024, 12, 2257. [Google Scholar] [CrossRef]
- Zafar, A.; Bekir, A.; Raheel, M.; Razzaq, W. Optical soliton solutions to Biswas–Arshed model with truncated M-fractional derivative. Optik 2020, 222, 165355. [Google Scholar] [CrossRef]
- Bezgabadi, A.S.; Bolorizadeh, M.A. Analytic combined bright-dark, bright and dark solitons solutions of generalized nonlinear Schrödinger equation using extended sinh-Gordon equation expansion method. Results Phys. 2021, 30, 104852. [Google Scholar] [CrossRef]
- Kumar, D.; Joardar, A.K.; Hoque, A.; Paul, G.C. Investigation of dynamics of nematicons in liquid crystals by extended sinh-Gordon equation expansion method. Opt. Quantum Electron. 2019, 51, 212. [Google Scholar] [CrossRef]
- Ilhan, O.A.; Manafian, J. Analytical treatment in optical metamaterials with anti-cubic law of nonlinearity by improved exp (-Ω (η))-expansion method and extended sinh-Gordon equation expansion method. Rev. Mex. Física 2019, 65, 658–677. [Google Scholar] [CrossRef]
- Batool, F.; Rezazadeh, H.; Ali, Z.; Demirbilek, U. Exploring soliton solutions of stochastic Phi-4 equation through extended Sinh-Gordon expansion method. Opt. Quantum Electron. 2024, 56, 785. [Google Scholar] [CrossRef]
- Baskonus, H.M.; Sulaiman, T.A.; Bulut, H. On the new wave behavior to the Klein–Gordon–Zakharov equations in plasma physics. Indian J. Phys. 2019, 93, 393–399. [Google Scholar] [CrossRef]
- Cattani, C.; Sulaiman, T.A.; Baskonus, H.M.; Bulut, H. On the soliton solutions to the Nizhnik-Novikov-Veselov and the Drinfel’d-Sokolov systems. Opt. Quantum Electron. 2018, 50, 138. [Google Scholar] [CrossRef]
- Razzaq, W.; Alsharidi, A.K.; Zafar, A.; Alomair, M.A. Optical solitons to the beta-fractional density dependent diffusion-reaction model via three different techniques. Int. J. Mod. Phys. B 2023, 37, 2350268. [Google Scholar] [CrossRef]
- Ali, N.H.; Mohammed, S.A.; Manafian, J. New explicit soliton and other solutions of the Van der Waals model through the EShGEEM and the IEEM. J. Modern Tech. Eng. 2023, 8, 5–18. [Google Scholar]
- Mahak, N.; Akram, G. Exact solitary wave solutions of the (1+1)-dimensional Fokas-Lenells equation. Optik 2020, 208, 164459. [Google Scholar] [CrossRef]
- Aljahdaly, N.H. Some applications of the modified (G′/G2)-expansion method in mathematical physics. Results Phys. 2019, 13, 102272. [Google Scholar] [CrossRef]
- Behera, S.; Aljahdaly, N.H.; Virdi, J.P.S. On the modified (G′/G2)-expansion method for finding some analytical solutions of the traveling waves. J. Ocean. Eng. Sci. 2022, 7, 313–320. [Google Scholar] [CrossRef]
- Saboor, A.; Shakeel, M.; Liu, X.; Zafar, A.; Ashraf, M. A comparative study of two fractional nonlinear optical model via modified (G′/G2)-expansion method. Opt. Quantum Electron. 2024, 56, 259. [Google Scholar] [CrossRef]
- Sulaiman, T.A.; Yel, G.; Bulut, H. M-fractional solitons and periodic wave solutions to the Hirota-Maccari system. Mod. Phys. Lett. B 2019, 33, 1950052. [Google Scholar] [CrossRef]
- Sousa, J.V.D.C.; de Oliveira, E.C. A new truncated M-fractional derivative type unifying some fractional derivative types with classical properties. Int. J. Anal. Appl. 2018, 16, 83–96. [Google Scholar]
- Altalbe, A.; Taishiyeva, A.; Myrzakulov, R.; Bekir, A.; Zaagan, A.A. Effect of truncated M-fractional derivative on the new exact solitons to the Shynaray-IIA equation and stability analysis. Results Phys. 2024, 57, 107422. [Google Scholar] [CrossRef]
- Yao, S.-W.; Manzoor, R.; Zafar, A.; Mustafa, I.; Abbagari, S.; Houwe, A. Exact soliton solutions to the Cahn–Allen equation and Predator–Prey model with truncated M-fractional derivative. Results Phys. 2022, 37, 105455. [Google Scholar] [CrossRef]
- Bretherton, F.P. Resonant interactions between waves. The case of discrete oscillations. J. Fluidmechanics 1964, 20, 457–479. [Google Scholar] [CrossRef]
- Kudryashov, N.A. On types of nonlinear nonintegrable equations with exact solutions. Phys. Lett. A 1991, 155, 269–275. [Google Scholar] [CrossRef]
- Kudryashov, N.A.; Sinelshchikov, D.I.; Demina, M.V. Exact solutions of the generalized Bretherton equation. Phys. Lett. A 2011, 375, 1074–1079. [Google Scholar] [CrossRef][Green Version]
- Berloff, N.G.; Howard, L.N. Nonlinear wave interactions in nonlinear nonintegrable systems. Stud. Appl. Math. 1998, 100, 195–213. [Google Scholar] [CrossRef]
- Akbar, M.A.; Norhashidah, H.; Mohd, A.; Zayed, E.M.E. Abundant exact traveling wave solutions of generalized Bretherton equation via improved (G′/G)-expansion method. Commun. Theor. Phys. 2012, 57, 173–178. [Google Scholar] [CrossRef]
- Yu, X.; Xu, F.; Zhang, L. Abundant Exact Solition-Like Solutions to the Generalized Bretherton Equation with Arbitrary Constants. Abstr. Appl. Anal. 2013, 7, 284865. [Google Scholar] [CrossRef]
- Yang, X.L.; Tang, J.S. Travelling wave solutions for Konopelchenko-Dubrovsky equation using an extended sinh-Gordon equation expansion method. Commun. Theor. Phys. 2008, 50, 10471051. [Google Scholar]
- Tariq, K.U.; Wazwaz, A.-M.; Javed, R. Construction of different wave structures, stability analysis and modulation instability of the coupled nonlinear Drinfel’d–Sokolov–Wilson model. Chaos Solitons Fractals 2023, 166, 112903. [Google Scholar] [CrossRef]
- Zulfiqar, H.; Aashiq, A.; Tariq, K.U.; Ahmad, H.; Almohsen, B.; Aslam, M.; Rehman, H.U. On the solitonic wave structures and stability analysis of the stochastic nonlinear Schrödinger equation with the impact of multiplicative noise. Optik 2023, 289, 171250. [Google Scholar] [CrossRef]
- ur Rehman, S.; Ahmad, J. Modulation instability analysis and optical solitons in birefringent fibers to RKL equation without four wave mixing. Alex. Eng. J. 2021, 60, 1339–1354. [Google Scholar] [CrossRef]
Disclaimer/Publisher’s Note: The statements, opinions and data contained in all publications are solely those of the individual author(s) and contributor(s) and not of MDPI and/or the editor(s). MDPI and/or the editor(s) disclaim responsibility for any injury to people or property resulting from any ideas, methods, instructions or products referred to in the content. |
© 2024 by the authors. Licensee MDPI, Basel, Switzerland. This article is an open access article distributed under the terms and conditions of the Creative Commons Attribution (CC BY) license (https://creativecommons.org/licenses/by/4.0/).