Data Mining of Online Teaching Evaluation Based on Deep Learning
Abstract
1. Introduction
- Detailed introduction of dictionary-based sentiment analysis methods, the BERT-LSTM model, and association rule mining.
- Calculation of sentiment scores for unannotated text data using sentiment lexicon methods, determining sentiment tendencies through calculated scores combined with manual judgment.
- Development of a teaching evaluation sentiment analysis model using BERT-LSTM for predicting and analyzing sentiment trends.
- Application of the Apriori algorithm to mine association rules from objective teaching evaluation data, followed by analysis based on the mining results.
2. Related Work
2.1. Sentiment Analysis
2.1.1. Lexicon-Based Methods
2.1.2. Machine Learning Methods
2.1.3. Deep Learning Methods
2.2. Association Rule Mining
3. Method
3.1. Sentiment Analysis Based on Sentiment Lexicon
3.1.1. Text Preprocessing
3.1.2. Calculating Sentiment Scores Using a Sentiment Lexicon
3.2. Sentiment Analysis Based on BERT-LSTM Model
3.2.1. BERT
3.2.2. LSTM
3.2.3. BERT-LSTM
3.3. Association Rule Mining Based on the Apriori Algorithm
3.3.1. Basic Concept of Association Rules
3.3.2. Apriori Algorithm
4. Subjective Evaluation of Teaching Analysis
4.1. Experimental Data Preparation
4.1.1. Preprocessing of Subjective Evaluation Data
4.1.2. Addressing Category Imbalance
4.2. Performance Metrics
4.3. Experimental Environment and Parameter Settings
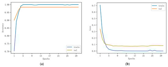
4.4. Results
5. Objective Evaluation of Teaching Analysis
5.1. Objective Evaluation Data Preprocessing
5.1.1. Data Cleaning
5.1.2. Data Conversion
5.2. Association Rule Mining for Objective Assessment Data
5.2.1. Association Rule Mining Results
5.2.2. Association Rule Analysis
6. Conclusions and Future Work
Author Contributions
Funding
Data Availability Statement
Conflicts of Interest
References
- Xu, Q.; Li, J.; Wang, Y.; Zhang, L. Student Achievement Analysis and Visualization Based on Apriori algorithm. J. Tonghua Norm. Coll. 2023, 44, 81–87. [Google Scholar]
- Tang, S. Design and Implementation of Data Mining Based Evaluation System for Colleges and Universities. Master’s Thesis, University of Electronic Science and Technology of China, Chengdu, China, 2010. [Google Scholar]
- Liu, Y.; Zhao, Y. Sentiment analysis of Chinese short text based on teaching evaluation. Mod. Electron. Tech. 2019, 42, 30–33+37. [Google Scholar]
- Wang, Y.; Zhu, J.; Wang, Z.; Bai, F.; Gong, J. Review of applications of natural language processing in text sentiment analysis. J. Comput. Appl. 2022, 42, 1011–1020. [Google Scholar]
- Baragash, R.; Aldowah, H. Sentiment analysis in higher education: A systematic mapping review. J. Phys. Conf. Ser. 2021, 1860, 012002. [Google Scholar] [CrossRef]
- Mao, C.; Zou, S.; Yin, J. Educational Evaluation Based on Apriori-Gen Algorithm. Eurasia J. Math. Sci. Technol. Educ. 2017, 13, 6555–6564. [Google Scholar] [CrossRef]
- Liu, D.; Zhang, L. Construction of Higher Education Management and Student Achievement Evaluation Mechanism Based on Apriori Algorithm. Mob. Inf. Syst. 2022, 2022, 5375825. [Google Scholar] [CrossRef]
- Lei, P.; Qin, B.; Wang, L.; Wu, Y.; Liang, S.; Chen, Y. PRBDN: A Pretraining-based Emotion Classification Model for Weibo Comment. J. Chin. Inf. Process. 2022, 36, 101–108. [Google Scholar]
- Öhman, E. The Validity of Lexicon-based Emotion Analysis in Interdisciplinary Research. In Proceedings of the Workshop on Natural Language Processing for Digital Humanities; NLP Association of India (NLPAI), NIT Silchar: Silchar, India, 2021; pp. 7–12. [Google Scholar]
- Wankhade, M.; Rao, A.C.S.; Kulkarni, C. A survey on sentiment analysis methods, applications, and challenges. Artif. Intell. Rev. 2022, 55, 5731–5780. [Google Scholar] [CrossRef]
- Aung, K.Z.; Myo, N.N. Sentiment analysis of students’ comment using lexicon based approach. In Proceedings of the 2017 IEEE/ACIS 16th International Conference on Computer and Information Science (ICIS), Wuhan, China, 24–26 May 2017; pp. 149–154. [Google Scholar]
- Cai, R.; Qin, B.; Chen, Y.; Zhang, L.; Yang, R.; Chen, S.; Wang, W. Sentiment Analysis About Investors and Consumers in Energy Market Based on BERT-BiLSTM. IEEE Access 2020, 8, 171408–171415. [Google Scholar] [CrossRef]
- Ortigosa, A.; Martín, J.M.; Carro, R.M. Sentiment analysis in Facebook and its application to e-learning. Comput. Human Behav. 2014, 31, 527–541. [Google Scholar] [CrossRef]
- Dsouza, D.D.; Deepika, D.P.N.; Machado, E.J.; Adesh, N.D. Sentimental analysis of student feedback using machine learning techniques. Int. J. Recent Technol. Eng. 2019, 8, 986–991. [Google Scholar]
- Kandhro, I.A.; Wasi, S.; Kumar, K.; Rind, M.; Ameen, M. Sentiment analysis of students’ comment using long-short term model. Indian J. Sci. Technol. 2019, 12, 1–16. [Google Scholar] [CrossRef]
- Zhang, J.; Chen, F.; Zhang, P. The role and implementation of students’ sentiment analysis in curriculum teaching evaluation. Comput. Knowl. Technol. 2019, 25, 184–188. [Google Scholar]
- Cabada, R.Z.; Estrada, M.L.B.; Bustillos, R.O. Mining of educational opinions with deep learning. J. Univ. Comput. Sci. 2018, 24, 1604–1626. [Google Scholar]
- Zhang, Y. The Application Research of Data Mining Technique in Teaching Evaluation. Master’s Thesis, Jinan University, Guangzhou, China, 2012. [Google Scholar]
- Li, F. Research on Mining Association Rules of Online Teaching Evaluation Data and its Application in Teaching Quality Improvement. Master’s Thesis, Beijing University of Post and Telecommunications, Beijing, China, 2021. [Google Scholar]
- Yan, X.; Zhang, K. Application of sentiment analysis technology in postgraduate teaching evaluation text. Comput. Era 2019, 51–54+58. [Google Scholar]
- Pu, Q.; Huang, F.; Wang, H. Research on sentiment analysis based on BERT-LSTM Model. J. China Acad. Electron. Inf. Technol. 2023, 18, 912–920. [Google Scholar]
- Devlin, J.; Chang, M.W.; Lee, K.; Toutanova, K. BERT: Pre-training of Deep Bidirectional Transformers for Lauguage Understanding. arXiv 2018, arXiv:1810.04805. [Google Scholar]
- Hochreiter, S.; Schmidhuber, J. Long short-term memory. Neural Comput. 1997, 9, 1735–1780. [Google Scholar] [CrossRef]
- Sang, Q.; Wang, S. Sentiment analysis of student evaluation based on text mining technology. China Comput. Commun. 2022, 34, 38–41. [Google Scholar]
- Ge, Y.; Liu, W.; Gu, Y. Stock price prediction method by fusing sentiment analysis and GAN-TrellisNet. Comput. Eng. Appl. 2024, 60, 314. [Google Scholar]
- Tang, S. Python Machine Learning Foundation; Tinghua University Press: Beijing, China, 2022; ISBN 978-730-261-128-8. [Google Scholar]
- Jing, G.; Qin, H.; Jiang, F. Coal mine safety accident analysis based on Apriori algorithm. J. Saf. Environ. 2024, 6, 1–9. [Google Scholar]
- Hu, S.; Yang, B.; Weng, J.; Zhou, W. A cause analysis of residents’ dependence on public transportation based on association rules. J. Transp. Inf. Saf. 2023, 41, 147–156. [Google Scholar]
- Zhang, Z.; Xue, J.; Chen, G. Sentiment Analysis of Class Imbalance Data Under the Framework of Deep Learning. J. Mod. Inf. 2021, 41, 75–82. [Google Scholar]
- Xu, X.; Tian, K. A novel financial text sentiment analysis-based approach for stock index prediction. J. Quant. Technol. Econ. 2021, 38, 124–145. [Google Scholar]
- Hoel, A.; Dahl, T.I. Why bother? Student motivation to participate in student evaluations of teaching. Assess. Eval. Higher Educ. 2018, 44, 361–378. [Google Scholar] [CrossRef]









| Type | Score |
|---|---|
| most | 8 |
| very | 6 |
| more | 4 |
| over | 2 |
| ish | 0.6 |
| insufficiently | −1.5 |
| Type | Score |
|---|---|
| positive | 1 |
| negative | −1 |
| no attitude | 0 |
| Evaluation | Segment | Score |
|---|---|---|
| A very responsible teacher, Chaoxing and MOOC have his own time to record microclasses, as well as for the examination and non-examination students of different levels of difficulty of the knowledge points of the explanation, the class will also be uploaded to the Chaoxing so that we can review after class, on the homework of the explanation is also very important, he will also record the course for us to speak, Mr. Tan is the most responsible teacher I met in the university. | [‘very’, ‘responsible’, ‘class’, ‘time’, ‘record’, ‘micro classes’, ‘different ‘, ‘difficult’, ‘knowledge’, ‘explanation’, ‘learning’, ‘lesson’, ‘will’, ‘homework’, ‘explanation’, ‘very’, ‘important’, ‘university’, ‘met’, ‘the most’, ‘responsible’] | 23 |
| Index | Evaluation | Score | Tendency | Label |
|---|---|---|---|---|
| 1 |
| 49 | positive | 1 |
| 2 | The instruction was clearly delineated and organized, it just got in the way of the overall level being a little easy for me, but that’s not the teacher’s problem. | 0.4 | positive | 1 |
| 3 | Some particularly simple topics can be briefly summarized and less homework can be assigned. | −12 | negative | 2 |
| 4 | Classes are slightly boring. | −0.6 | negative | 2 |
| Positive Simple in Forecast | Negative Simple in Forecast | |
|---|---|---|
| Positive simple in reality | TP | FN |
| Negative simple in reality | FP | TN |
| Hyperparameter | Conversion Result |
|---|---|
| learning rate | 0.00002 |
| max_length | 75 |
| batch_size | 16 |
| LSTM units | 128 |
| dropout rate | 0.2 |
| optimizer | Adam |
| loss function | SparseCategoricalCrossentropy |
| epochs | 30 |
| Item | Label | Precision | Recall | Accuracy |
|---|---|---|---|---|
| Neutral | 0 | 100.00% | 92.50% | 92.76% |
| Positive | 1 | 87.80% | 88.89% | |
| Negative | 2 | 90.48% | 92.68% |
| Index | Item | Word |
|---|---|---|
| 1 | At the beginning of the semester, the teacher clearly told us the course requirements and assessment methods. | Information |
| 2 | I can grasp the teacher’s main points. | Emphasis |
| 3 | The teacher’s content is moderate in difficulty and ease. | Moderate |
| 4 | The teacher can explain the knowledge points through practical cases. | Case |
| 5 | I feel the teacher is organized in class. | Orderliness |
| 6 | The teaching method adopted by the teacher works well for me. | Effectivity |
| 7 | Teachers can inspire me to think. | Enlighten |
| 8 | I think the teacher makes good use of the class time. | Efficiency |
| 9 | The teacher’s explanation made it easier for me to understand and master the course content. | Explain |
| 10 | The teacher’s lectures are full of spirit and not boring. | Interesting |
| 11 | I have the opportunity to participate in classroom interaction. | Interaction |
| 12 | The teacher often assigns us homework. | Homework |
| 13 | Teachers timely comment homework, answer questions carefully. | Answer |
| 14 | Teachers respect us and care about us. | Respect |
| 15 | The teacher is strict with his students. | Strictness |
| 16 | If I need to, I can contact the teacher to communicate. | Communication |
| 17 | The teachers are well-prepared and proficient in their lessons. | Preparation |
| 18 | Through the teacher’s guidance, I have mastered the main content of this course. | Guidance |
| 19 | The teacher’s words and deeds give me inspiration in life. | Edification |
| 20 | I think the teacher is one of the teachers teaching this semester. | Evaluation |
| Item | Score | Level | Conversion Result |
|---|---|---|---|
| Information | 5 | 1 | Information1 |
| Information | 4.5 | 2 | Information2 |
| Information | 4 | 3 | Information3 |
| Information | 3.5 | 4 | Information4 |
| Information | 3 | 5 | Information5 |
| Index | Antecedents | Consequents | Support | Confidence | Lift |
|---|---|---|---|---|---|
| 1 | Orderliness1, Preparation1, Case1 | Explain1 | 0.83 | 0.98 | 1.08 |
| 2 | Enlighten1, Preparation1 | Explain1 | 0.84 | 0.98 | 1.09 |
| 3 | Preparation1 | Enlighten1, Orderliness1 | 0.84 | 0.90 | 1.05 |
| 4 | Orderliness1, Preparation1 | Efficiency1, Explain1 | 0.82 | 0.93 | 1.09 |
| 5 | Information1, Preparation1 | Emphasis1 | 0.85 | 0.96 | 1.08 |
| 6 | Preparation1, Case1 | Orderliness1 | 0.85 | 0.97 | 1.07 |
| 7 | Moderate1 | Explain1, Emphasis1 | 0.81 | 0.95 | 1.11 |
| 8 | Respect1 | Answer1 | 0.81 | 0.96 | 1.12 |
| 9 | Homework1 | Emphasis1 | 0.85 | 0.92 | 1.02 |
| 10 | Interesting1, Preparation1, Orderliness1 | Emphasis1 | 0.80 | 0.98 | 1.10 |
| 11 | Information1, Preparation1 | Guidance1 | 0.81 | 0.91 | 1.09 |
| 12 | Homework1, Information1 | Answer1 | 0.80 | 0.92 | 1.07 |
| 13 | Information1, Preparation1, Orderliness1 | Emphasis1 | 0.84 | 0.97 | 1.09 |
| 14 | Answer1, Explain1 | Enlighten1 | 0.80 | 0.97 | 1.10 |
| 15 | Preparation1 | Efficiency1, Emphasis1, Orderliness1 | 0.83 | 0.90 | 1.06 |
| 16 | Orderliness1, Case1 | Effectivity1 | 0.85 | 0.97 | 1.07 |
| 17 | Interesting1 | Emphasis1 | 0.82 | 0.97 | 1.08 |
| 18 | Enlighten1 | Efficiency1, Explain1, Emphasis1 | 0.82 | 0.93 | 1.10 |
| 19 | Orderliness1, Case1 | Efficiency1, Explain1, Emphasis1 | 0.81 | 0.93 | 1.11 |
| 20 | Enlighten1, Case1, Preparation1 | Emphasis1 | 0.81 | 0.98 | 1.09 |
| 21 | Case1 | Interesting1, Explain1 | 0.81 | 0.89 | 1.07 |
| 22 | Answer1 | Explain1, Emphasis1 | 0.81 | 0.94 | 1.09 |
Disclaimer/Publisher’s Note: The statements, opinions and data contained in all publications are solely those of the individual author(s) and contributor(s) and not of MDPI and/or the editor(s). MDPI and/or the editor(s) disclaim responsibility for any injury to people or property resulting from any ideas, methods, instructions or products referred to in the content. |
© 2024 by the authors. Licensee MDPI, Basel, Switzerland. This article is an open access article distributed under the terms and conditions of the Creative Commons Attribution (CC BY) license (https://creativecommons.org/licenses/by/4.0/).
Share and Cite
Qi, F.; Gao, Y.; Wang, M.; Jiang, T.; Li, Z. Data Mining of Online Teaching Evaluation Based on Deep Learning. Mathematics 2024, 12, 2692. https://doi.org/10.3390/math12172692
Qi F, Gao Y, Wang M, Jiang T, Li Z. Data Mining of Online Teaching Evaluation Based on Deep Learning. Mathematics. 2024; 12(17):2692. https://doi.org/10.3390/math12172692
Chicago/Turabian StyleQi, Fenghua, Yuxuan Gao, Meiling Wang, Tao Jiang, and Zhenhuan Li. 2024. "Data Mining of Online Teaching Evaluation Based on Deep Learning" Mathematics 12, no. 17: 2692. https://doi.org/10.3390/math12172692
APA StyleQi, F., Gao, Y., Wang, M., Jiang, T., & Li, Z. (2024). Data Mining of Online Teaching Evaluation Based on Deep Learning. Mathematics, 12(17), 2692. https://doi.org/10.3390/math12172692
