Study of Flexibility Transformation in Thermal Power Enterprises under Multi-Factor Drivers: Application of Complex-Network Evolutionary Game Theory
Abstract
1. Introduction
- (1)
- Initially, there exists a dearth of research within the industry concerning the extent to which thermal unit-flexibility technologies can penetrate among groups of thermal power enterprises. Through investigating these matters, it becomes feasible to conduct an anticipated evaluation of the thermal power enterprises poised for transformation and to offer guidance for the development of the enterprise group.
- (2)
- Diverging from previous approaches that employ evolutionary game models to explore multi-body interest interaction issues in the power industry, this paper integrates complex network theory and evolutionary game theory for modeling research. Additionally, utilizing complex network theory, the thermal power enterprise group is characterized by heterogeneity, and dynamic network modeling is employed to simulate the evolving game processes.
- (3)
- Building upon the examination of thermal power-unit flexibility transformation technology, this paper explores the diffusion trajectory of this technology among thermal power enterprises. Through the establishment of varied initial strategies for the nodes, the paper simulates the initial distribution of the technology among the thermal power enterprise group and investigates the dynamic diffusion trend of flexibility transformation technology throughout the entire group under this scenario.
2. Literature Review
2.1. Current Status of Thermal Power-Unit Flexibility Transformation Technology
2.2. Evolutionary Game Theory and Applications
2.3. Evolutionary Game Theory for Complex Networks and Its Applications
3. Methodology
3.1. Revenue and Cost of Thermal Power Enterprises
3.1.1. Regular Operation Generation of Income
3.1.2. Deep Peak-Shaving Benefits
3.1.3. Regular Operation Generation Cost
3.1.4. Deep Peak-Shaving Cost
3.1.5. Annual Upgrade Cost of Thermal Power Units
3.2. Assumptions
3.3. Evolutionary Game Model
3.4. Complex-Network Evolutionary Game Model
4. Simulation and Discussion
4.1. Data and Parameters
4.2. The Effect of Network Structure on Diffusion
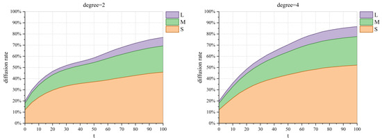
4.3. The Influence of Network Average Degree on Diffusion
4.4. The Influence of Different Initial Application Groups on Diffusion
4.5. Sensitivity Analysis
4.5.1. The Impact of the Deep Peak-Shaving Compensation Electricity Tariff on Diffusion
4.5.2. The Impact of Varying Initial-Application Ratios on Diffusion
4.5.3. The Impact of the Level of Government Subsidies on the Spread of Something
5. Conclusions and Policy Implications
5.1. Research Conclusions
- (i)
- If decision-making by upper-tier enterprises can influence lower-tier enterprises, the dissemination of flexibility transformation technology is more probable. However, if upper-tier enterprises lack influence over lower-tier ones, the diffusion effect of the technology may be limited.
- (ii)
- Enhancing the level of information exchange among groups of thermal power enterprises can facilitate the widespread adoption of flexibility transformation technology. By improving information exchange, these enterprise groups can gain better insights into power market demand and profitability trends following unit reform, thereby promoting the broader adoption of flexibility transformation technology.
- (iii)
- Small enterprises lack the capability to independently promote the diffusion and application of technology among groups, making reliance on large and medium-sized enterprises more effective for technology diffusion. Small enterprises often face resource and influence constraints, impeding their ability to drive technology diffusion. Conversely, large and medium-sized enterprises typically possess abundant resources, extensive information sources, and significant influence, making them more effective in promoting technology diffusion.
- (iv)
- Among the three factors—the deep peak-shaving compensation tariff, initial transformation rate of the group, and subsidy intensity—the deep peak shaving compensation tariff has the most significant impact on the diffusion rate. A deep peak-shaving compensation tariff below 450 CNY/MW fails to attract participation from most thermal power enterprises in unit flexibility transformation, while a tariff exceeding 550 CNY/MW results in a gradual decrease in the final benefit generated.
5.2. Policy Implications
- (1)
- The deep peak-shaving compensation tariff plays a crucial role in promoting the advancement of technology application. Deep peak-shaving revenue directly influences thermal power enterprises’ decisions to adopt flexibility transformation technology, as it serves as a direct source of revenue. Reasonable and stable compensation tariffs can safeguard the interests of thermal power enterprises and stimulate their active involvement in the peak-shaving market, thereby furthering the application and development of the technology. Effective deep peak-shaving compensation tariffs should not only protect the interests of thermal power enterprises but also foster the optimization and adjustment of energy structures, thereby promoting the development and application of flexibility transformation technology. Additionally, when formulating the deep peak-shaving compensation tariff, regulatory authorities should enhance supervision and control to ensure its rationality and fairness. Simultaneously, they should actively encourage thermal power enterprises to increase investment in peak-shaving capacity and technological transformation to promote the transformation and upgrading of the energy structure, thereby realizing multiple economic, environmental, and social benefits.
- (2)
- Financial support and the initial application atmosphere of thermal power-unit flexibility transformation-technology diffusion also influence its effect, but they must be combined with the depth of the deep peak-shaving compensation tariff to be effective. With a high deep peak-shaving tariff as the foundation, financial support and a favorable application atmosphere contribute to the process of technology diffusion, providing additional financial backing to enterprises and expediting technology application and diffusion.
- (3)
- Government and regulatory agencies can promote the widespread adoption of flexibility transformation technologies by encouraging and facilitating information exchange among thermal power enterprise groups. Governments can collaborate with lead enterprises to establish demonstration projects for flexibility transformation technologies, showcasing their practical effects to other enterprises in terms of enhanced productivity, reduced costs, and emissions. For instance, industry organizations or platforms can be established to facilitate information sharing and technology exchange. Policy incentives, such as reward systems or subsidy policies, can encourage enterprises to actively engage in information sharing and technology cooperation, thereby promoting the application of flexibility-transformation technologies in the market.
Author Contributions
Funding
Data Availability Statement
Acknowledgments
Conflicts of Interest
Appendix A
Appendix B

Appendix C
| The Thermal Power Value | a | b | c |
| 1500 MW | 0.06 | 200 | 45,000 |
| 1000 MW | 0.04 | 240 | 20,000 |
| 600 MW | 0.02 | 320 | 1000 |
Appendix D

References
- Huang, C.; Lin, B. Promoting decarbonization in the power sector: How important is digital transformation? Energy Policy 2023, 182, 113735. [Google Scholar] [CrossRef]
- Liu, P.; Trieb, F. Transformation of the electricity sector with thermal storage power plants and PV—A first conceptual approach. J. Energy Storage 2021, 44, 103444. [Google Scholar] [CrossRef]
- Zhang, M.; Tang, Y.; Liu, L.; Zhou, D. Optimal investment portfolio strategies for power enterprises under multi-policy scenarios of renewable energy. Renew. Sustain. Energy Rev. 2022, 154, 111879. [Google Scholar] [CrossRef]
- Shi, X.; He, Q.; Liu, Y.; An, X.; Zhang, Q.; Du, D. Thermodynamic and techno-economic analysis of a novel compressed air energy storage system coupled with coal-fired power unit. Energy 2024, 292, 130591. [Google Scholar] [CrossRef]
- Fan, J.-L.; Xu, M.; Wei, S.; Shen, S.; Diao, Y.; Zhang, X. Carbon reduction potential of China’s coal-fired power plants based on a CCUS source-sink matching model. Resour. Conserv. Recycl. 2021, 168, 105320. [Google Scholar] [CrossRef]
- Li, K.; Shen, S.; Fan, J.-L.; Xu, M.; Zhang, X. The role of carbon capture, utilization and storage in realizing China’s carbon neutrality: A source-sink matching analysis for existing coal-fired power plants. Resour. Conserv. Recycl. 2022, 178, 106070. [Google Scholar] [CrossRef]
- Wang, X.; Tang, R.; Meng, M.; Su, T. Research on CCUS business model and policy incentives for coal-fired power plants in China. Int. J. Greenh. Gas Control 2023, 125, 103871. [Google Scholar] [CrossRef]
- Liu, Z.; Gao, M.; Zhang, X.; Liang, Y.; Guo, Y.; Liu, W.; Bao, J. CCUS and CO2 injection field application in abroad and China: Status and progress. Geoenergy Sci. Eng. 2023, 229, 212011. [Google Scholar] [CrossRef]
- Yong, Q.; Tian, Y.; Qian, X.; Li, X. Retrofitting coal-fired power plants for grid energy storage by coupling with thermal energy storage. Appl. Therm. Eng. 2022, 215, 119048. [Google Scholar] [CrossRef]
- Zhi, Z.; Ming, Z.; Bo, Y.; Zun, G.; Zhaoyuan, W.; Gengyin, L. Multipath retrofit planning approach for coal-fired power plants in low-carbon power system transitions: Shanxi Province case in China. Energy 2023, 275, 127502. [Google Scholar] [CrossRef]
- Yong, Q.; Jin, K.; Li, X.; Yang, R. Thermo-economic analysis for a novel grid-scale pumped thermal electricity storage system coupled with a coal-fired power plant. Energy 2023, 280, 128109. [Google Scholar] [CrossRef]
- Garðarsdóttir, S.Ó.; Göransson, L.; Normann, F.; Johnsson, F. Improving the flexibility of coal-fired power generators: Impact on the composition of a cost-optimal electricity system. Appl. Energy 2018, 209, 277–289. [Google Scholar] [CrossRef]
- Wang, H.; Ouyang, Z.; Ding, H.; Su, K.; Zhang, J.; Hu, Y. Experimental study on the flexible peak shaving with pulverized coal self-preheating technology under load variability. Energy 2024, 289, 129830. [Google Scholar] [CrossRef]
- Wang, Z.; Liu, M.; Yan, H.; Yan, J. Optimization on coordinate control strategy assisted by high-pressure extraction steam throttling to achieve flexible and efficient operation of thermal power plants. Energy 2022, 244, 122676. [Google Scholar] [CrossRef]
- Cheng, L.F.; Chen, Y.; Liu, G.Y. 2PnS-EG: A general two-population n-strategy evolutionary game for strategic long-term bidding in a deregulated market under different market clearing mechanisms. Int. J. Electr. Power Energy Syst. 2022, 142, 108182. [Google Scholar] [CrossRef]
- Gonzalez-Salazar, M.A.; Kirsten, T.; Prchlik, L. Review of the operational flexibility and emissions of gas- and coal-fired power plants in a future with growing renewables. Renew. Sustain. Energy Rev. 2018, 82, 1497–1513. [Google Scholar] [CrossRef]
- Gu, Y.; Xu, J.; Chen, D.; Wang, Z.; Li, Q. Overall review of peak shaving for coal-fired power units in China. Renew. Sustain. Energy Rev. 2016, 54, 723–731. [Google Scholar] [CrossRef]
- Meng, Y.; Cao, Y.; Li, J.; Liu, C.; Li, J.; Wang, Q.; Cai, G.; Zhao, Q.; Liu, Y.; Meng, X.; et al. The real cost of deep peak shaving for renewable energy accommodation in coal-fired power plants: Calculation framework and case study in China. J. Clean. Prod. 2022, 367, 132913. [Google Scholar] [CrossRef]
- Wang, R.; Du, X.; Shi, Y.; Deng, W.; Wang, Y.; Sun, F. A novel system for reducing power plant electricity consumption and enhancing deep peak-load capability. Energy 2024, 295, 131031. [Google Scholar] [CrossRef]
- Zhao, T.; Zheng, Y.; Li, G. Integrated unit commitment and economic dispatch of combined heat and power system considering heat-power decoupling retrofit of CHP unit. Int. J. Electr. Power Energy Syst. 2022, 143, 108498. [Google Scholar] [CrossRef]
- Lu, Q.; Zhu, J.; Niu, T.; Song, G.; Na, Y. Pulverized coal combustion and NO emissions in high temperature air from circulating fluidized bedx. Fuel Process. Technol. 2008, 89, 1186–1192. [Google Scholar] [CrossRef]
- Zhu, S.; Hui, J.; Lyu, Q.; Ouyang, Z.; Liu, J.; Zhu, J.; Zeng, X.; Zhang, X.; Ding, H.; Liu, Y.; et al. Experimental study on pulverized coal combustion preheated by a circulating fluidized bed: Preheating characteristics for peak shaving. Fuel 2022, 324, 124684. [Google Scholar] [CrossRef]
- Zhu, H.; Shen, J.; Lee, K.Y.; Sun, L. Multi-model based predictive sliding mode control for bed temperature regulation in circulating fluidized bed boiler. Control Eng. Pract. 2020, 101, 104484. [Google Scholar] [CrossRef]
- Wang, Z.; Liu, M.; Yan, H.; Zhao, Y.; Yan, J. Improving flexibility of thermal power plant through control strategy optimization based on orderly utilization of energy storage. Appl. Therm. Eng. 2024, 240, 122231. [Google Scholar] [CrossRef]
- Sun, L.; Hua, Q.; Shen, J.; Xue, Y.; Li, D.; Lee, K.Y. Multi-objective optimization for advanced superheater steam temperature control in a 300 MW power plant. Appl. Energy 2017, 208, 592–606. [Google Scholar] [CrossRef]
- Wang, G.; Chao, Y.; Cao, Y.; Jiang, T.; Han, W.; Chen, Z. A comprehensive review of research works based on evolutionary game theory for sustainable energy development. Energy Rep. 2022, 8, 114–136. [Google Scholar] [CrossRef]
- Song, X.; Ge, Z.; Zhang, W.; Wang, Z.; Huang, Y.; Liu, H. Study on multi-subject behavior game of CCUS cooperative alliance. Energy 2023, 262, 125229. [Google Scholar] [CrossRef]
- Zhao, T.; Liu, Z. A novel analysis of carbon capture and storage (CCS) technology adoption: An evolutionary game model between stakeholders. Energy 2019, 189, 116352. [Google Scholar] [CrossRef]
- Li, X.; Chen, L.; Sun, F.; Hao, Y.; Du, X.; Mei, S. Share or not share, the analysis of energy storage interaction of multiple renewable energy stations based on the evolution game. Renew. Energy 2023, 208, 679–692. [Google Scholar] [CrossRef]
- Li, X.; Chen, L.; Hao, Y.; Wang, Z.; Changxing, Y.; Mei, S. Sharing hydrogen storage capacity planning for multi-microgrid investors with limited rationality: A differential evolution game approach. J. Clean. Prod. 2023, 417, 138100. [Google Scholar] [CrossRef]
- Zhu, C.; Fan, R.; Lin, J. The impact of renewable portfolio standard on retail electricity market: A system dynamics model of tripartite evolutionary game. Energy Policy 2020, 136, 111072. [Google Scholar] [CrossRef]
- Dong, J.; Jiang, Y.; Liu, D.; Dou, X.; Liu, Y.; Peng, S. Promoting dynamic pricing implementation considering policy incentives and electricity retailers’ behaviors: An evolutionary game model based on prospect theory. Energy Policy 2022, 167, 113059. [Google Scholar] [CrossRef]
- Cheng, L.; Yin, L.; Wang, J.; Shen, T.; Chen, Y.; Liu, G.; Yu, T. Behavioral decision-making in power demand-side response management: A multi-population evolutionary game dynamics perspective. Int. J. Electr. Power Energy Syst. 2021, 129, 106743. [Google Scholar] [CrossRef]
- Szabó, G.; Tőke, C. Evolutionary prisoner’s dilemma game on a square lattice. Phys. Rev. E 1998, 58, 69–73. [Google Scholar] [CrossRef]
- Ohtsuki, H.; Hauert, C.; Lieberman, E.; Nowak, M.A. A simple rule for the evolution of cooperation on graphs and social networks. Nature 2006, 441, 502–505. [Google Scholar] [CrossRef] [PubMed]
- Hauert, C.; Doebeli, M. Spatial structure often inhibits the evolution of cooperation in the snowdrift game. Nature 2004, 428, 643–646. [Google Scholar] [CrossRef]
- Watts, D.; Strogatz, S. Collective dynamics of ‘small-world’ networks. Nature 1998, 393, 440–442. [Google Scholar] [CrossRef]
- Barabási, A.-L.; Albert, R. Emergence of Scaling in Random Networks. Science 1999, 286, 509–512. [Google Scholar] [CrossRef]
- Jia, C.; Zhang, R.; Wang, D. Evolutionary game of cooperative behavior among social capitals in PPP projects: A complex network perspective. Ain Shams Eng. J. 2023, 14, 102006. [Google Scholar] [CrossRef]
- Fan, R.; Wang, Y.; Chen, F.; Du, K.; Wang, Y. How do government policies affect the diffusion of green innovation among peer enterprises?—An evolutionary-game model in complex networks. J. Clean. Prod. 2022, 364, 132711. [Google Scholar] [CrossRef]
- Zhao, D.; Ji, S.; Wang, H.; Jiang, L. How do government subsidies promote new energy vehicle diffusion in the complex network context? A three-stage evolutionary game model. Energy 2021, 230, 120899. [Google Scholar] [CrossRef]
- Han, J.; Tan, Q.; Ji, Q.; Li, Y.; Liu, Y.; Wang, Y. Simulating the CCUS technology diffusion in thermal power plants: An agent-based evolutionary game model in complex networks. J. Clean. Prod. 2023, 421, 138515. [Google Scholar] [CrossRef]
- Yue, X.; Wang, C.; Sun, B.; Ren, H.; Tan, Y.; Huang, L.; Feng, D.; Li, X. Synergistic effects of carbon cap-and-trade and renewable portfolio standards on renewable energy diffusion. J. Clean. Prod. 2023, 423, 138717. [Google Scholar] [CrossRef]
- Pang, Y.; Chi, Y.; Tian, B. Economic evaluation of flexible transformation in coal-fired power plants with multi price links. J. Clean. Prod. 2023, 402, 136851. [Google Scholar] [CrossRef]
- Friedman, D. Evolutionary Games in Economics. Econometrica 1991, 59, 637–666. [Google Scholar] [CrossRef]
- Du, W.-B.; Cao, X.-B.; Hu, M.-B.; Yang, H.-X.; Zhou, H. Effects of expectation and noise on evolutionary games. Phys. Stat. Mech. Its Appl. 2009, 388, 2215–2220. [Google Scholar] [CrossRef]









| Major Elements | Descriptions |
|---|---|
| Game Framework |
|
| Fitness Function |
|
| Replicator Dynamics |
|
| Evolutionarily Stable Strategy (ESS)/Evolutionarily Stable Equilibrium (ESE) |
|
| Main Elements | Descriptions |
|---|---|
| Game Framework |
|
| Fitness Function |
|
| Update Mechanism |
|
| Population Status |
|
| Group B | |||
| Y (y) | N (1 − y) | ||
| Group A | Y (x) | {EA_AYBY, EB_AYBY} | {EA_AYBN, EB_AYBN} |
| N (1 − x) | {EA_ANBY, EB_ANBY} | {EA_ANBN, EB_ANBN} | |
| Eig | |||
|---|---|---|---|
| Parameter | Value | Parameter | Value |
|---|---|---|---|
| Q | 1500 MW, 1000 MW, 600 MW | h1 | 4600 H |
| h2 | 730 H | p1 | 400 CNY/MW |
| p2 | 600 CNY/MW | α | 30% |
| γ | 1 | G1 | 1,000,000 CNY/MW |
| Nt | 500,000 | r | 2 |
| Pd | 45% Q | Pdc | 30% Q |
| S | 3,000,000 CNY/MW | η | 0.55 |
Disclaimer/Publisher’s Note: The statements, opinions and data contained in all publications are solely those of the individual author(s) and contributor(s) and not of MDPI and/or the editor(s). MDPI and/or the editor(s) disclaim responsibility for any injury to people or property resulting from any ideas, methods, instructions or products referred to in the content. |
© 2024 by the authors. Licensee MDPI, Basel, Switzerland. This article is an open access article distributed under the terms and conditions of the Creative Commons Attribution (CC BY) license (https://creativecommons.org/licenses/by/4.0/).
Share and Cite
Cheng, L.; Peng, P.; Lu, W.; Huang, P.; Chen, Y. Study of Flexibility Transformation in Thermal Power Enterprises under Multi-Factor Drivers: Application of Complex-Network Evolutionary Game Theory. Mathematics 2024, 12, 2537. https://doi.org/10.3390/math12162537
Cheng L, Peng P, Lu W, Huang P, Chen Y. Study of Flexibility Transformation in Thermal Power Enterprises under Multi-Factor Drivers: Application of Complex-Network Evolutionary Game Theory. Mathematics. 2024; 12(16):2537. https://doi.org/10.3390/math12162537
Chicago/Turabian StyleCheng, Lefeng, Pan Peng, Wentian Lu, Pengrong Huang, and Yang Chen. 2024. "Study of Flexibility Transformation in Thermal Power Enterprises under Multi-Factor Drivers: Application of Complex-Network Evolutionary Game Theory" Mathematics 12, no. 16: 2537. https://doi.org/10.3390/math12162537
APA StyleCheng, L., Peng, P., Lu, W., Huang, P., & Chen, Y. (2024). Study of Flexibility Transformation in Thermal Power Enterprises under Multi-Factor Drivers: Application of Complex-Network Evolutionary Game Theory. Mathematics, 12(16), 2537. https://doi.org/10.3390/math12162537

