System-of-Systems Resilience Analysis and Design Using Bayesian and Dynamic Bayesian Networks
Abstract
1. Introduction
2. Hierarchy Structure of an SoS
2.1. Hierarchical Representation of an SoS
2.2. Challenges of Inter-Dependency Analysis of the SoS under Uncertainty
- It allows an intuitive and visual representation of inter-dependency in the SoS and provides a way for fusing field data, statistical analysis results, simulation outputs, analytical equations, and expert opinions in one summary model;
- It takes into account the uncertainty state of the constituent system, which also influences the completion of activities and achievement of SoS capabilities;
- It can fuse new observations with prior information to update the state of the system in real time;
- Uncertainty of the SoS can be explicitly calculated through the system state values and by propagating the uncertainty through the network.
3. Bayesian and Dynamic Bayesian Networks
3.1. Bayesian Network
3.2. Dynamic Bayesian Network
- Anchor node (A): a node outside the temporal plate of a DBN that only affects the nodes in the first time step;
- Terminal nodes (T): a node outside the temporal plate of a DBN that only affects the nodes in the last time step.
4. Resilience Metric and Resilience-Based System Importance
4.1. Resilience Analysis Metric
4.2. Resilience-Based System Importance
| Algorithm 1 Resilience-based System Importance Algorithm. |
| Input: the system of SoS Output: 1: Calculate the resilience of the system () 2: Calculate the resilience of the system () 3: Calculate the resilience-based system importance ( = − ) 4: Return |
5. Design Resilience under Budgetary Constraint
5.1. Single System Functionality Curve
- : The maximum of loss in the functionality of the system;
- : Recovery time of the system;
- : Improvement in the absorption of the system (in percent);
- : Improvement in the recovery time of the system (in percent);
- : The total budget limit for the system.
5.2. System Functionality Optimization under Budgetary Constraint
6. Numerical Example and Results
6.1. Hierarchical Representation of the NextGen
6.2. Using BN to Evaluate the Capability of NextGen
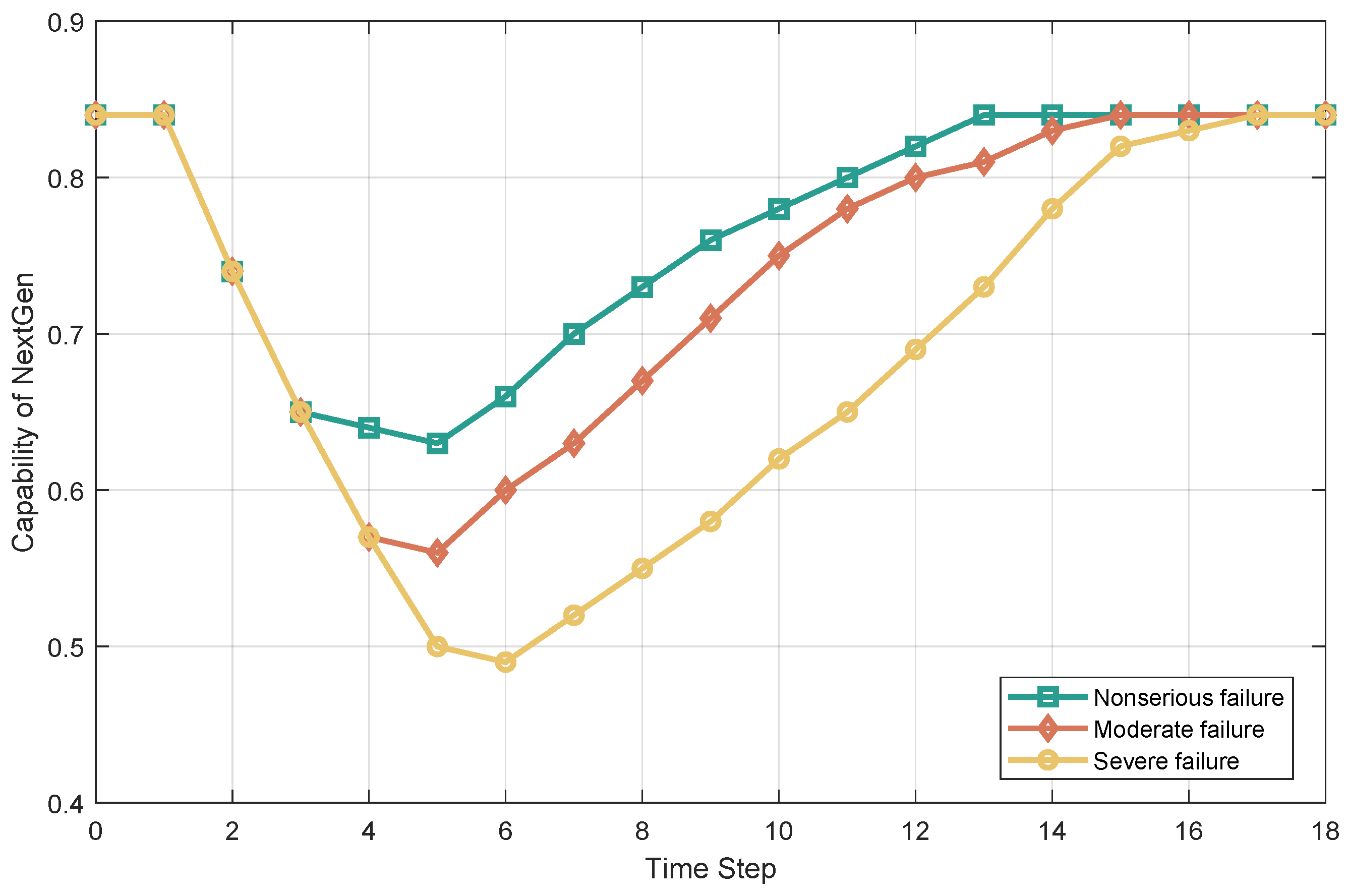
6.3. Using DBN to Analyze the Resilience of NextGen
- (1)
- The development failures of system , , lead to the reduction in the functionalities at the same time step T in the temporal plate;
- (2)
- The functionalities of the system , , decline to the minimum and then recover slowly; the functions of their functionality have been known.
6.4. Resilience Design under Budget Constraint
7. Discussion and Conclusions
Author Contributions
Funding
Data Availability Statement
Acknowledgments
Conflicts of Interest
Abbreviations
| SoS | System-of-System |
| BN | Bayesian Network |
| DBN | Dynamic Bayesian Network |
| LCS | littoral combat ship |
| RSI | resilience system importance |
| NextGen | Next Generation Air Transportation |
References
- Zhou, H.; Mao, Y.; Guo, X. An Improved Multi-Objective Particle Swarm Optimization-Based Hybrid Intelligent Algorithm for Index Screening of Underwater Manned/Unmanned Cooperative System of Systems Architecture Evaluation. Mathematics 2023, 11, 4389. [Google Scholar] [CrossRef]
- Konur, D.; Farhangi, H.; Dagli, C.H. On the flexibility of systems in system of systems architecting. Procedia Comput. Sci. 2014, 36, 65–71. [Google Scholar] [CrossRef]
- Ed-daoui, I.; Itmi, M.; Hami, A.E.; Hmina, N. Systems-of-Systems and Regional Resilience Assessment. Complex Syst. Smart Territ. Mobil. 2021, 12, 127–144. [Google Scholar]
- Koo, J.I.; Jeong, S.J. Improved Technology Readiness Assessment Framework for System-of-Systems from a System Integration Perspective. IEEE Access 2024, 12, 23827–23853. [Google Scholar] [CrossRef]
- He, H.; Wang, W.; Zhu, Y.; Li, X.; Wang, T. Function Chain-Based Mission Planning Method for Hybrid Combat SoS. IEEE Access 2019, 7, 100453–100466. [Google Scholar] [CrossRef]
- Hynes, W.; Trump, B.D.; Kirman, A.; Haldane, A.; Linkov, I. Systemic resilience in economics. Nat. Phys. 2022, 18, 381–384. [Google Scholar] [CrossRef]
- Shen, Z.; Ji, C.; Lu, S. Transportation network resilience response to the spatial feature of hazards. Transp. Res. Part D Transp. Environ. 2024, 128, 104121. [Google Scholar] [CrossRef]
- Shpak, N.; Dvulit, Z.; Maznyk, L.; Mykytiuk, O.; Sroka, W. Validation of ecologists in enterprise management system: A case study analysis. Pol. J. Manag. Stud. 2019, 19, 376–390. [Google Scholar] [CrossRef]
- Jackson, S. Overview of resilience and theme issue on the resilience of systems. Insight 2015, 18, 7–9. [Google Scholar] [CrossRef]
- Farhangi, H.; Konur, D.; Dagli, C.H. Combining Max-min and Max-max Approaches for Robust SoS Architecting. Procedia Comput. Sci. 2016, 95, 103–110. [Google Scholar] [CrossRef]
- Cuong, T.N.; Ngoc, L.L.; Kim, H.S.; You, S.S. Data analytics and throughput forecasting in port management systems against disruptions: A case study of Busan Port. Marit. Econ. Logist. 2023, 25, 61. [Google Scholar] [CrossRef]
- Hosseini, S.; Barker, K.; Ramirez-Marquez, J.E. A review of definitions and measures of system resilience. Reliab. Eng. Syst. Saf. 2016, 145, 47–61. [Google Scholar] [CrossRef]
- Pregenzer, A. Joseph A. Burton Forum Award Lecture: Managing Nuclear and Biological Risks: Building Resilience through International Cooperation. In Proceedings of the APS April Meeting Abstracts, Atlanta, GA, USA, 31 March–3 April 2012. [Google Scholar]
- Allenby, B.; Fink, J. Toward inherently secure and resilient societies. Science 2005, 309, 1034–1036. [Google Scholar] [CrossRef]
- Haimes, Y.Y. On the definition of resilience in systems. Risk Anal. Int. J. 2009, 29, 498–501. [Google Scholar] [CrossRef] [PubMed]
- Sheffi, Y. The Power of Resilience: How the Best Companies Manage the Unexpected; MIT Press: Cambridge, MA, USA, 2015. [Google Scholar]
- Adger, W.N. Social and ecological resilience: Are they related? Prog. Hum. Geogr. 2000, 24, 347–364. [Google Scholar] [CrossRef]
- Rose, A. Economic resilience to natural and man-made disasters: Multidisciplinary origins and contextual dimensions. Environ. Hazards 2007, 7, 383–398. [Google Scholar] [CrossRef]
- Wears, R. Resilience Engineering: Concepts and Precepts; Ashgate Publishing, Ltd.: Aldershot, UK, 2006. [Google Scholar]
- Yushi, L. Construction Mechanism and Implementation of Resilient Command Information Systems. J. Command Control 2015, 1, 284–291. [Google Scholar]
- Speranza, C.I.; Wiesmann, U.; Rist, S. An indicator framework for assessing livelihood resilience in the context of social–ecological dynamics. Glob. Environ. Chang. 2014, 28, 109–119. [Google Scholar] [CrossRef]
- Cutter, S.L.; Barnes, L.; Berry, M.; Burton, C.; Evans, E.; Tate, E.; Webb, J. A place-based model for understanding community resilience to natural disasters. Glob. Environ. Chang. 2008, 18, 598–606. [Google Scholar] [CrossRef]
- Bruneau, M.; Chang, S.E.; Eguchi, R.T.; Lee, G.C.; O’Rourke, T.D.; Reinhorn, A.M.; Shinozuka, M.; Tierney, K.; Wallace, W.A.; Von Winterfeldt, D. A framework to quantitatively assess and enhance the seismic resilience of communities. Earthq. Spectra 2003, 19, 733–752. [Google Scholar] [CrossRef]
- Yodo, N.; Wang, P. Resilience modeling and quantification for engineered systems using Bayesian networks. J. Mech. Des. 2016, 138, 031404. [Google Scholar] [CrossRef]
- Hossain, N.U.I.; Jaradat, R.; Hosseini, S.; Marufuzzaman, M.; Buchanan, R.K. A framework for modeling and assessing system resilience using a Bayesian network: A case study of an interdependent electrical infrastructure system. Int. J. Crit. Infrastruct. Prot. 2019, 25, 62–83. [Google Scholar] [CrossRef]
- DeLaurentis, D.; Callaway, R.K. A system-of-systems perspective for public policy decisions. Rev. Policy Res. 2004, 21, 829–837. [Google Scholar] [CrossRef]
- Groote, J.F.; Mousavi, M.R.; Reniers, M.A. A hierarchy of SOS rule formats. Electron. Notes Theor. Comput. Sci. 2006, 156, 3–25. [Google Scholar] [CrossRef]
- DeLaurentis, D.A.; Crossley, W.A.; Mane, M. Taxonomy to guide systems-of-systems decision-making in air transportation problems. J. Aircr. 2011, 48, 760–770. [Google Scholar] [CrossRef]
- Han, S.Y. System-of-Systems Architecture Analysis and Design Using Bayesian Networks. Ph.D. Thesis, Purdue University, West Lafayette, IN, USA, 2014. [Google Scholar]
- Fletcher, S. Electric power interruptions curtail California oil and gas production. Oil Gas J. 2001, 99, 10–12. [Google Scholar]
- de Rouffignac, A. Refineries could be subject to rolling blackouts. Oil Gas J. 2001. [Google Scholar]
- Elhabbash, A.; Elkhatib, Y.; Nundloll, V.; Marco, V.S.; Blair, G.S. Principled and automated system of systems composition using an ontological architecture. Future Gener. Comput. Syst. 2024, 157, 499–515. [Google Scholar] [CrossRef]
- Derhamy, H.; Eliasson, J.; Delsing, J. System of system composition based on decentralized service-oriented architecture. IEEE Syst. J. 2019, 13, 3675–3686. [Google Scholar] [CrossRef]
- Sharkov, G.; Todorova, C.; Koykov, G.; Zahariev, G. A System-of-Systems Approach for the Creation of a Composite Cyber Range for Cyber/Hybrid Exercising. Inf. Secur. Int. J. 2021, 50, 129–148. [Google Scholar] [CrossRef]
- Mathlouthi, W.; Saoud, N.B.B. Flexible composition of system of systems on cloud federation. In Proceedings of the 2017 IEEE 5th International Conference on Future Internet of Things and Cloud (FiCloud), Prague, Czech Republic, 21–23 August 2017; pp. 358–365. [Google Scholar]
- Phillis, Y.A.; Kouikoglou, V.S. System-of-Systems hierarchy of biodiversity conservation problems. Ecol. Model. 2012, 235, 36–48. [Google Scholar] [CrossRef]
- Tamazyan, H.A.; Chubaryan, A.A. A hierarchy of determinative sequent systems with different substitution rules. Pattern Recognit. Image Anal. 2024, 34, 20–30. [Google Scholar] [CrossRef]
- Matusik, J.G.; Mitchell, R.L.; Hays, N.A.; Fath, S.; Hollenbeck, J.R. The highs and lows of hierarchy in multiteam systems. Acad. Manag. J. 2022, 65, 1571–1592. [Google Scholar] [CrossRef]
- Manual, J. Manual for the Operation of the Joint Capabilities Integration and Development System; US Department of Defense: Washington, DC, USA, 2012. [Google Scholar]
- O’Rourke, R. Navy Littoral Combat Ship (LCS) Program: Background and Issues for Congress; Congressional Research Service: Washington, DC, USA, 2014. [Google Scholar]
- Work, R.O. The Littoral Combat Ship: How We Got Here, and Why; Undersecretary of the Navy: Arlington, VA, USA, 2014. [Google Scholar]
- Russell, J.C. Littoral Combat Ship: Is the US Navy Assuming Too Much Risk? Ph.D. Thesis, US Army Command and General Staff College, Fort Leavenworth, KS, USA, 2006. [Google Scholar]
- Oakes, M.W. Statistical Inference: A Commentary for the Social and Behavioural Sciences; Wiley: Hoboken, NJ, USA, 1986. [Google Scholar]
- Shafer, G. A Mathematical Theory of Evidence; Princeton University Press: Princeton, NJ, USA, 1976; Volume 42. [Google Scholar]
- Sun, T.; Liu, D.; Liu, D.; Zhang, L.; Li, M.; Khan, M.I.; Li, T.; Cui, S. A new method for flood disaster resilience evaluation: A hidden markov model based on Bayesian belief network optimization. J. Clean. Prod. 2023, 412, 137372. [Google Scholar] [CrossRef]
- Xu, P.C.; Lu, Q.C.; Xie, C.; Cheong, T. Modeling the resilience of interdependent networks: The role of function dependency in metro and bus systems. Transp. Res. Part A Policy Pract. 2024, 179, 103907. [Google Scholar] [CrossRef]
- Chen, Y.; Li, X.; Wang, J.; Liu, M.; Cai, C.; Shi, Y. Research on the Application of Fuzzy Bayesian Network in Risk Assessment of Catenary Construction. Mathematics 2023, 11, 1719. [Google Scholar] [CrossRef]
- Duttweiler, L.; Thurston, S.W.; Almudevar, A. Spectral Bayesian network theory. Linear Algebra Its Appl. 2023, 674, 282–303. [Google Scholar] [CrossRef] [PubMed]
- Hossain, N.U.I.; El Amrani, S.; Jaradat, R.; Marufuzzaman, M.; Buchanan, R.; Rinaudo, C.; Hamilton, M. Modeling and assessing interdependencies between critical infrastructures using Bayesian network: A case study of inland waterway port and surrounding supply chain network. Reliab. Eng. Syst. Saf. 2020, 198, 106898. [Google Scholar] [CrossRef]
- Shunqi, Y.; Ying, Z.; Xiang, L.; Yanfeng, L.; Hongzhong, H. Reliability analysis for wireless communication networks via dynamic Bayesian network. J. Syst. Eng. Electron. 2023, 34, 1368–1374. [Google Scholar] [CrossRef]
- Hulst, J. Modeling Physiological Processes with Dynamic Bayesian Networks. Master’s Thesis, Faculty of Electrical Engineering, Mathematics, and Computer Science, University of Pittsburgh, Pittsburgh, PA, USA, 2006. [Google Scholar]
- Cimellaro, G.P.; Reinhorn, A.M.; Bruneau, M. Seismic resilience of a hospital system. Struct. Infrastruct. Eng. 2010, 6, 127–144. [Google Scholar] [CrossRef]
- Tabandeh, A.; Jia, G.; Gardoni, P. A review and assessment of importance sampling methods for reliability analysis. Struct. Saf. 2022, 97, 102216. [Google Scholar] [CrossRef]
- Uday, P.; Marais, K.B. Resilience-based system importance measures for system-of-systems. Procedia Comput. Sci. 2014, 28, 257–264. [Google Scholar] [CrossRef]
















| Symbols of Systems | System Name | Supported Technologies |
|---|---|---|
| Free flight traffic management | ||
| Airport surface detection equipment | , | |
| En route automation modernization | ,, | |
| Next Generation air-to-ground communication | – | |
| Standard terminal automation replacement | , | |
| Airport surveillance radar | , | |
| Aviation surface weather observation network | ||
| Integrated terminal weather system | , | |
| Instrument flight procedures automation | ,, | |
| Terminal automation modernization replacement | , | |
| Automatic dependent surveillance broadcast | ,– | |
| Traffic flow management infrastructure | – | |
| System-wide information management | ,, | |
| En route control center system modernization | , | |
| Airport movement area safety system | ||
| Traffic management advisor | – | |
| Precision runway monitor | , | |
| En route communication gateway | , |
| Failure Degree | Capability Loss () | Recovery Time () | Resilience |
|---|---|---|---|
| Nonserious failure | 8.75 | 12 | 0.729 |
| Moderate failure | 9.74 | 14 | 0.696 |
| Severe failure | 10.16 | 16 | 0.635 |
| System | ||||||
|---|---|---|---|---|---|---|
| 40% | 10 | 4.23 | 3.52 | 40% | 7 | |
| 60% | 10 | 7.71 | 6.53 | 40% | 7 | |
| 50% | 10 | 6.25 | 7.45 | 40% | 7 | |
| 70% | 10 | 6.23 | 6.54 | 40% | 7 | |
| 60% | 10 | 5.22 | 5.58 | 40% | 7 | |
| 60% | 10 | 7.23 | 9.37 | 40% | 7 | |
| 50% | 10 | 6.65 | 7.16 | 40% | 7 | |
| 50% | 10 | 6.17 | 5.11 | 40% | 7 | |
| 50% | 10 | 5.64 | 6.22 | 40% | 7 | |
| 50% | 10 | 6.20 | 5.43 | 40% | 7 | |
| 70% | 10 | 7.25 | 9.41 | 40% | 7 | |
| 70% | 10 | 9.71 | 7.28 | 40% | 7 | |
| 60% | 10 | 8.28 | 7.50 | 40% | 7 | |
| 40% | 10 | 5.79 | 6.37 | 40% | 7 | |
| 40% | 10 | 4.24 | 4.44 | 40% | 7 | |
| 70% | 10 | 3.23 | 5.62 | 40% | 7 | |
| 60% | 10 | 4.82 | 6.97 | 40% | 7 | |
| 40% | 10 | 6.29 | 5.25 | 40% | 7 |
| 0.020 | 0.087 | 0.067 | 0.110 | 0.083 | 0.103 | 0.053 | 0.083 | 0.080 | 0.083 | 0.127 | 0.140 | 0.090 | 0.040 | 0.027 | 0.130 | 0.103 | 0.030 | |
| 10.98 | 47.60 | 36.61 | 60.41 | 45.77 | 56.56 | 29.30 | 45.77 | 43.94 | 45.77 | 69.57 | 76.89 | 49.43 | 21.97 | 14.65 | 71.40 | 56.75 | 16.48 | |
| 0 | 20% | 20% | 60% | 50% | 30% | 10% | 10% | 40% | 10% | 50% | 30% | 20% | 0 | 0 | 60% | 50% | 0 | |
| 30% | 40% | 30% | 30% | 30% | 30% | 30% | 70% | 30% | 70% | 30% | 60% | 40% | 30% | 30% | 30% | 30% | 30% | |
| 10.56 | 41.54 | 34.85 | 57.00 | 42.84 | 49.80 | 28.13 | 41.94 | 41.22 | 44.21 | 64.48 | 72.81 | 46.56 | 19.11 | 13.32 | 66.24 | 53.01 | 15.75 |
Disclaimer/Publisher’s Note: The statements, opinions and data contained in all publications are solely those of the individual author(s) and contributor(s) and not of MDPI and/or the editor(s). MDPI and/or the editor(s) disclaim responsibility for any injury to people or property resulting from any ideas, methods, instructions or products referred to in the content. |
© 2024 by the authors. Licensee MDPI, Basel, Switzerland. This article is an open access article distributed under the terms and conditions of the Creative Commons Attribution (CC BY) license (https://creativecommons.org/licenses/by/4.0/).
Share and Cite
Jiao, T.; Yuan, H.; Wang, J.; Ma, J.; Li, X.; Luo, A. System-of-Systems Resilience Analysis and Design Using Bayesian and Dynamic Bayesian Networks. Mathematics 2024, 12, 2510. https://doi.org/10.3390/math12162510
Jiao T, Yuan H, Wang J, Ma J, Li X, Luo A. System-of-Systems Resilience Analysis and Design Using Bayesian and Dynamic Bayesian Networks. Mathematics. 2024; 12(16):2510. https://doi.org/10.3390/math12162510
Chicago/Turabian StyleJiao, Tianci, Hao Yuan, Jing Wang, Jun Ma, Xiaoling Li, and Aimin Luo. 2024. "System-of-Systems Resilience Analysis and Design Using Bayesian and Dynamic Bayesian Networks" Mathematics 12, no. 16: 2510. https://doi.org/10.3390/math12162510
APA StyleJiao, T., Yuan, H., Wang, J., Ma, J., Li, X., & Luo, A. (2024). System-of-Systems Resilience Analysis and Design Using Bayesian and Dynamic Bayesian Networks. Mathematics, 12(16), 2510. https://doi.org/10.3390/math12162510

