Abstract
The present study investigates hybrid nanofluid (HNF) behavior at the stagnation point near a stretching/shrinking sheet using the Tiwari and Das model. The governing equations were transformed into a boundary layer flow model and simulated using COMSOL Multiphysics 6.0. This research examines flow characteristics, temperature profiles, and distributions by varying parameters: stretching/shrinking (, −2 to 2), slip flow (, 0 to 1 m), suction (, 0 to 1), and similarity variables (, 0 to 5). The HNF comprised equal ratios of copper and alumina with total concentrations ranging from 0.01 to 0.1. The results showed that velocity profiles increased with distance from the stagnation point, escalated in shrinking cases, and decayed in stretching cases. Increased suction consistently reduced velocity profiles. Temperature distribution was slightly slower in shrinking compared to stretching cases, with expansion along the sheet directly proportional to estimates but controllable through suction adjustments. The findings were applied to enhance photovoltaic thermal (PV/T) system performance. Stretching sheets proved crucial for improving electricity production efficiency. Non-slip wall conditions and increased copper volume fractions in the presence of suction effects led to notable improvements in electrical efficiency. The maximum average efficiency was achieved when = 0.4, = 2, = 0.7, and = 0.01, which was of about 10%. The present numerical work also aligned well with the experimental results when evaluating the thermal efficiency of conventional fluids. These insights contribute to optimizing PV/T system parameters and advancing solar energy conversion technology, with potential implications for broader applications in the field.
MSC:
97N80; 35Q30; 76D05; 65M60
1. Introduction
Nanofluids are a type of fluid material in which certain base fluids, such as water and ethylene glycol, are combined with very small metallic particles. These metallic particles are either in an unaltered state or can be understood as particles that do not dissolve in the base fluids. The combination of these components forms a fluid material known as nanofluid, which exhibits high-level heat transport properties and has proven to be beneficial in various heat transport applications. The nanoparticles present in base fluids are typically oxides or metallic oxides that, when added to the base fluids, greatly enhance thermal conductivity. They can be utilized in both conduction- and convection-based applications, with a significant focus on cooling applications [1,2,3,4]. The concept of nanofluids was first introduced by Choi [5], who demonstrated through experiments that when nanoparticles were added to certain base fluids, their thermal conductivity escalated, making them suitable for various heat transport applications. The size of nanofluids is significantly small, often in the nano range, and they can easily pass through various channels without being stopped. It is believed that their extremely small size is the reason why they do not react with water or the molecules of base fluids and remain suspended in them [6].
Ethylene glycol and water are commonly used fluids for heat transport applications, and they are referred to as conventional fluids. However, their thermal performance is not very satisfactory. On the other hand, certain solids and oxides exhibit significantly better thermal performance, approximately three times higher than that of conventional fluids. Therefore, it is expected that combining these two types of fluids would be beneficial in enhancing heat transport rates based on experimental observations [7]. Due to the properties of nanofluids, they have a wide range of present and future applications, including industrial applications, transportation, nuclear reactors, electronics, and applications related to biosciences [8]. Many different types of nanofluid models have been applied to various applications, addressing complexity issues. Two notable models used in these applications are the Buongiorno model [9] and the Tiwari and Das model [10]. These models have been extensively utilized in numerous articles, employing different mechanisms [11,12,13,14]. In the Buongiorno model [9], the effects of Brownian motion and thermophoresis are combined in the heat equation. This model incorporates the total velocity of the material as a sum of the base fluid velocity and the relative velocity. On the other hand, the Tiwari and Das nanofluid model [10] examines the characteristics of nanofluids by incorporating the solid volume fraction.
Khan and Pop [15] were the first to write a paper in which they observed the behavior of nanofluids on a stretching flat surface, assuming laminar flow and steady-state conditions. In this study, the authors used the Buongiorno model to observe the characteristics of nanofluids, incorporating thermophoretic effects and Brownian motion in the heat equation. It was found in this study that both the Nusselt number and the Sherwood number are functions of the Prandtl number, Lewis number, and Brownian motion parameter. Increasing the Prandtl number led to a decay in the Nusselt number, while the Sherwood number escalated. Finally, the authors suggested that similar studies could be conducted using other nanoparticles such as alumina, copper, and titanium oxide.
The observation of nanofluid characteristics using the Buongiorno model has been investigated in several articles, such as by Nield and Kuznetsov [16,17], Kuznetsov and Nield [18,19], Bachok et al. [20,21], Khan and Aziz [22], Hayat et al. [23], and Khan et al. [24]. A study conducted by Hayat et al. [25,26] and Mohammad et al. [27,28] focused on the three-dimensional boundary layer flow under the influence of a constant magnetic field. Various boundary conditions were applied in this study, including convective boundary conditions, heat generation, heat absorption, and the assumption of a viscoelastic fluid. As mentioned earlier, the Buongiorno model has been extensively studied, but for the present study, we chose to use the Tiwari and Das [10] nanofluid model due to its widespread use in numerous research articles, as mentioned in [29,30,31,32,33].
With the increasing importance and application of fluid flow at the stagnant point in the presence of a shrinking sheet, its significance is growing on the application side, and it has become a subject of great attention among researchers. Initially, Miklavcic and Wang [34] studied fluid flow under the influence of a stretching and shrinking sheet and concluded that reattachment length could not exist under the boundary layer condition, and steady flow could not be observed until a sufficient suction condition was applied along the boundary. This finding led to numerous researchers writing articles on this topic. Due to its common applications in aerodynamics and space science [35], this topic has been a significant focus for researchers in the last few decades. Several researchers have explored boundary flow in the presence of suction or injection boundary conditions [36]. Zhang et al. [37] conducted an investigation using a two-dimensional square cylinder and applied a wall suction boundary condition at the base of the square cylinder. It was observed that increasing the initial flow speed stabilized the overall flow. Suction wall boundary conditions were first applied by Prandtl to reduce flow speed or decay flow separation time. In some experiments [38], suction boundary conditions were commonly applied to enhance the efficiency and lift system. Sheikholeslami [39] conducted a study where uniform suction conditions were applied to a circular cylinder to investigate the transport applications of nanofluids. The study concluded that projecting the Reynolds number and suction parameter stabilized skin friction and the heat transport rate. Similarly, slip flow conditions have been observed in various places and industries, such as providing slip effects to pipe and wall boundaries and dealing with curved surfaces [40].
To enhance heat transport through various channels, numerous studies have explored the use of mono and hybrid nanofluids containing copper and alumina nanoparticles. One study [41] applied the Corcione model to examine a heated deep cavity using copper and alumina nanofluids, observing significant temperature enhancement. In a numerical study [42], a three-dimensional L-shaped channel was investigated, demonstrating that the transport of copper and alumina nanofluids significantly improved the heat transfer rate. A study [43] explored an annulus-type system using alumina-water nanofluids, further validating the potential of these nanofluids in thermal applications. In another study [44], water-based copper and alumina nanofluids were employed to enhance heat transfer in a three-dimensional rectangular channel containing perpendicular blocks. Additionally, one numerical work [45] focused on a PV/T system, demonstrating that the electrical efficiency of the system could be enhanced using the cooling properties of copper and alumina nanofluids. These studies collectively indicate that copper and alumina nanoparticles can be effectively combined to improve the thermal performance and efficiency of PV/T systems across various configurations. Therefore, the present study will leverage the transport and cooling properties of these nanofluids to achieve the desired thermal and electrical enhancements.
The motivation behind this work stems from a novel approach to investigating HNFs employing the Tiwari and Das model [10] at the stagnant point in the presence of a stretching/shrinking sheet. A unique aspect of this study lies in the conversion of the governing system of ODEs into a model utilizing a boundary layer flow model similarity transformation. The simulations were conducted using COMSOL Multiphysics 6.0, representing a cutting-edge application. This research explores the flow behavior, temperature outline, and temperature distribution of HNFs, considering various parameters. The stretching/shrinking parameter, denoted by , ranged from −2 to 2; the suction parameter varied from 0 to 1 m; and the slip flow parameter ranged from 0 to 1. An HNF, consisting of copper and alumina with equal volume fractions of 0.01, 0.05, and 0.1, was examined. The results revealed interesting patterns in velocity and temperature outlines. The velocity outline escalated with the normalized distance from the stagnant point, particularly in the shrinking case, and decayed in the stretching case. Meanwhile, an escalation in the suction parameter consistently led to a decay in the velocity outline. This study further delves into the temperature distribution, noting that it progressed more slowly in the shrinking case compared to the stretching case. The temperature expansion along the sheet was directly proportional to the stretching/shrinking parameter , with the suction parameter acting as a control factor.
Beyond the fluid dynamics exploration, this research extends its impact by applying the insights gained from photovoltaic thermal (PV/T) systems. Notably, the utilization of a stretching sheet emerged as a key factor in enhancing system efficacy for electricity production. Additionally, this study highlights improvements in system efficiency when a non-slip condition was applied to the wall. The investigation into the influence of a suction effect further emphasized that the highest elevation in electrical efficiency was achieved by manipulating the volume fraction of copper materials.
In summary, this work not only contributes to the understanding of nanofluid dynamics but also extends its implications to the optimization of PV/T systems, showcasing the multifaceted applications and potential advancements in the realm of solar energy conversion.
2. Problem Formulation
A complete scenario is defined for observing the HNF flow at the stagnant point in Figure 1. One can observe the stretching/shrinking sheet attached at = 0. The fluid is assumed to be in a steady state and incompressible. Let the velocity of the wall located at = 0 be , denoted as ‘’. If the estimation of ‘’ is positive, it refers to the sheet as a stretching sheet; if the estimation of ‘’ is negative, it refers to it as a shrinking sheet.

Figure 1.
Schematic diagram of the flow channel (a) stretching sheet and (b) shrinking sheet [46].
The ambient velocity and air temperature ’ are assumed estimations, which can be seen in Figure 1. Table 1 lists some parameters, referred to as the stretching and shrinking parameters, along with their calculated expressions. If this parameter is positive, the sheet will stretch, and if it is negative, the sheet will shrink. Here, its estimations were tested from −2 to 2. When ‘’ is equal to 0, the sheet will be stationary. In Table 1, the operator is referred to as the suction parameter, which remained positive throughout this study within the range given in Table 1, from 0 to 1.
Table 1.
Stretching/shrinking and suction parameters [47].
However, the suction parameter could also be negative, in which case it would be referred to as an injection parameter, but this case was not considered here. Also, δ refers to the slip flow parameter, which ranged from 0 to 1 for our study.
Figure 1, provided above, is a two-dimensional sketch. The governing equations for this model are outlined in Equations (1)–(5). By applying the similarity approach, these governing PDEs (Equations (1)–(5)) were transformed into ODEs, as given in Equations (6)–(10). This transformation reduced the problem from a two-dimensional to a one-dimensional one. To implement the model depicted in Figure 1 using COMSOL, it was necessary to create a line or interval and specify the boundary conditions, which are detailed in Figure 2. For the successful implementation of this one-dimensional problem, it was crucial to utilize the COMSOL interface under ‘Coefficient Form ODEs’.
Figure 2.
A sketch of the geometry while it was processed in COMSOL Multiphysics 6.0.
To observe this phenomenon, the transportation properties of HNFs were utilized for studying forced convection. This problem involved forced convection, where HNFs were composed of copper and aluminum, which were observed in various articles. When these nanoparticles are suspended in a base fluid such as water, they form a powerful fluid material with heat transport properties that were extensively studied in articles. Table 2 includes the thermophysical properties of nanofluids, which could be determined using empirical equations to calculate density, viscosity, heat capacity, constant pressure, and thermal conductivity [44].
Table 2.
Properties of nanofluids that will tackle the thermal process.
2.1. Governing PDEs and Boundary Conditions
The Tiwari and Das [10] model was utilized to observe this phenomenon, which is a boundary layer flow equation. FEM-based software, COMSOL Multiphysics 6.0, was used to obtain a numerical solution. The model equations are given below as (1)–(3), along with the corresponding boundary conditions provided in (4) and (5) [46]. Firstly, a conversion from these PDEs into ODEs was made using similarity variables. Then, these equations were implemented using the mathematics module and the coefficient from the PDE interface in COMSOL 6.0 software.
The boundary equations are given for the flow at stagnation point using the Tiwari and Das [10] nanofluids:
Here, and represent the horizontal and vertical components of the velocity field, respectively. The estimations of and are provided in Table 2, but note that these temperatures were only used for a test case. To solve this problem, it was necessary to convert these PDEs into ODEs. To convert Equations (1)–(3) into ODEs, it was essential to apply similarity variables. Let us assume that the similarity variables used were given in the references [4,46].
The given variable will be referred to as the similarity variable and as the derivatives of the stream function . The similarity approach will be described below in short and more detail can be seen in [4,10].
2.2. Similarity Approach
Similarity variables were already defined above and are given as the following:
Express velocity components in terms of similarity variables.
Transform the given equations using the similarity variables.
Convert the continuity equation with the usage of these similarity variables.
Since , then the continuity equation will be automatically corrected.
Examine the x-momentum in Equation (2):
Now, (2) will be transformed to
and this will transform into
Rewriting this in terms of dimensionless variables gives the following:
After adjusting the constants and non-dimensionalization, we achieve the following form [48]:
The energy Equation (3) is
Substituting the similarity variables that are assumed above gives
Now, expression (vi) will finally be transformed into
Now, rewriting this in terms of the dimensionless form of (g) gives
After applying (6) to (1)–(5), the system of partial differential equations will be converted into a system of ODEs. The converted ODE system is provided below, along with the corresponding converted boundary conditions [48]:
When the similarity variables are applied, the boundary equations given as Equations (4) and (5) will be transformed into the following form:
Here is the list of computational parameters that are necessary for observing forced convection [46].
Also, using the transformation given in (6) and then taking a long (10) and (11), the following computational parameters will also have [48]
where
3. Mesh Independence Study and Verification
Since this problem was solved using a numerical method, it was necessary to ensure its accuracy or degree of belief. The beauty of numerical schemes lies in their ability to divide an entire domain into multiple parts, calculate the numerical solution for each part separately, and then combine them to present a unified solution. This process is referred to as meshing. The higher the density of the meshing procedure, meaning the greater the number of elements, the better the accuracy will be. The accuracy level of this particular numerical scheme for solving the forced convection problem of nanofluids also depends on the mesh density.
To ensure accuracy in computational schemes, a mesh independence study is essential, see mesh structure in Figure 3. An excellent mesh independence study was conducted and explained in [49]. Motivated by this study, a mesh independence study will be performed for the present numerical computational scheme to achieve optimized accuracy. In Figure 4, an attempt was made to demonstrate the mesh independence procedure by computing Equation (8). Approximately 1000 to 20,000 elements were used to obtain solutions and satisfy this equation. It is noted in Figure 4 that as we escalated the number of elements, the solution improved. After using around 8000 elements, one can see that the error did not propagate significantly. Additionally, the estimations on the vertical axis in Figure 4 could be easily ignored. However, a highly accurate result with minimal error for practical use is desired when it comes to the degree of belief in the solution to a problem. A numerical solution for the nanofluid phenomenon was obtained using 20,000 elements. Displaying these elements in a single line could have been challenging, so a zoomed-in figure was created to show the structure of the 20,000 elements along the line vs. .
Figure 3.
Schematic diagram of the finite element meshing procedure.
Figure 4.
The mesh independence study for Equation (8) by fixing the estimations = 1, = 2, = 0.1, and = 1.
In Table 3, an attempt to satisfy Equations (7) and (8) was made by using different parametric estimations, achieving satisfactory results. One can observe that the computations for Equations (7) and (8) had minimum errors of 1 10−10 and 1 10−14, respectively.
Table 3.
Verification with the ODEs that were transformed from the governing partial differential equations with the method of similarity.
In Figure 5, a comparison is provided between our numerical results with those of Yashkun et al. [46]. Here, one can see that the current numerical code, which was based on previous work using a numerical method, closely resembled their results. Figure 5 shows the conduction for validation by putting up some special cases. One can observe that the assumed HNF was a mono-nanofluid by setting the volume fraction of alumina to zero. The results, obtained using a numerical scheme called the finite element method, validated the previous numerical results. This means that we could proceed with the current problem and discuss the results for post-processing.
Figure 5.
A comparison of the present numerical work with the previous work performed by Yashkun et al. [46] when = 0.1, = 0, = −2, and = 1.
4. Discussion of Results
After verifying the stagnant point flow model with the previous numerical work in the presence of a shrinking and stretching sheet using HNFs, the patterns of the velocity outline, temperature outline , temperature distribution for a special case, and Nusselt number at the starting point will now be discussed. Herein is an examination of how the variables such as , , , and estimations impacted these patterns and which parameters could be effective in addressing any application. Careful observation of these numerical results was performed to gain control over the convection and conduction processes.
4.1. Velocity Outline
In Figure 6a,b, we plotted the numerically calculated velocity profile. For each graph, we fixed the estimations of , and we used only copper nanofluids with a concentration of 0.1. In Figure 6a, we set the estimation of to zero, while in Figure 6b, we set the estimation of to 1. These two graphs allowed us to observe the patterns of the velocity profile.
Figure 6.
Velocity outlines for different estimations of when = 0.1, = 0, (a) = 0, and (b) = 1.
In Figure 6a, one can see that when the estimation of was negative, the velocity profile was at a minimum at = 0. As the estimation of escalated, the velocity of the transport material also escalated. This means that in the shrinking case, the velocity profile escalated. One can also observe that even for the = 0 case, increasing the estimation of led to an escalation in the velocity profile. Similarly, in the = 2 case in Figure 6a, one can see that as the estimation of escalated, the velocity profile decayed. This indicates that in the stretching case, the velocity of the material decayed. In Figure 6b, graphs were developed for the same cases but with = 1. Here, one can observe that the minimum and maximum estimations at = 0 slightly decayed. In the shrinking case, it was noted that when the estimation of was less than −2, the velocity profile decayed. Similarly, it is evident that when there was an escalation in , which is a suction parameter, the velocity profile decayed in both the stretching and shrinking cases.
In the shrinking case, the sheet shrank, causing the entire fluid material to accumulate in one place, leading to an escalation in velocity. On the other hand, in the stretching case, the fluid material spread, resulting in a decay in velocity. γ is referred to as the suction parameter because it allows fluid to leave the boundary, thereby causing a decay in the velocity profile.
In Figure 7a–c, we also wanted to observe the pattern of the velocity profile of HNFs using the slip flow parameter . For this purpose, we fixed the volume fraction of copper at 0.1 and set as 0, which represents the suction parameter. In Figure 7a, it was noted that when the estimation of was −2, as the slip flow parameter escalated from 0 to 1, the velocity profile at = 0 decayed. From observing all the subgraphs in Figure 7a, one can see that increasing the estimations of also escalated the velocity profile.

Figure 7.
Velocity outlines for all estimations of , when = 0.1, = 0, (a) = −2, (b) = 0, and (c) = 2.
In Figure 7b, we set the estimation of to zero, indicating a stationary sheet. Here, it was noted that as the estimation of escalated, the velocity profile at = 0 escalated. However, if we consider an overall escalation in the estimation of , it became apparent that the velocity profile was escalating.
In Figure 7c, one can see that we fixed the estimation of as 2, indicating a stretching sheet. Here, it was noted that as the slip parameter escalated, the velocity decayed at = 0 in the stretching case. It is quite clear in this stretching case that the velocity profile decayed as the estimation of escalated. From this discussion, it became evident that the pattern of the slip flow parameter was different for the stretching and shrinking cases. Even when the sheet was stationary, i.e., = 0, increasing the slip flow parameter led to an escalation in the velocity profile at = 0.
In Figure 8a–c, we created graphs to observe the velocity profiles of the HNFs, and this time, we wanted to escalate the volume fraction of copper. We fixed = 1 and = 0 (no suction), and then from Figure 8a–c, we escalated the estimation of to check its effect.

Figure 8.
Velocity outlines for all estimations of when = 1, = 0, (a) = −2, (b) = 0, and (c) = 2.
Looking at Figure 8a, where is −2, one can observe a shrinking sheet. In these graphs, it was noted that as the volume fraction of copper escalated, the velocity profile at = 0 also escalated. Overall, increasing the estimation of also escalated the velocity profile for each fixed estimation of the volume fraction of the hybrid mixture. It was noted that when the volume fraction was 0.05 or 0.1, there was a nearly negligible difference in the velocity profile, while keeping the volume fraction at 0.01 showed a significant difference with a notable decay in the velocity profile.
In Figure 8b, where was set to 0, representing a stationary sheet, it was also clear that the velocity outline escalated at = 0, when the volume fraction was increased. In Figure 8a,b, one can observe the cases where the volume fraction was 0.01. In Figure 8a, the velocity escalated but at a decreasing rate, while in Figure 8b, the velocity field escalated at an increasing rate.
In Figure 8c, it is evident that increasing the volume fraction of the nanofluid led to an upgrade in the velocity outline at = 0, where was set to 2, representing the stretching case. This indicates that increasing the volume fraction of HNFs provided significant benefits to the velocity outline in the shrinking and stationary cases observed in Figure 8a and Figure 8b, respectively. However, in Figure 8c, which discusses the stretching case, it was noted that for higher estimations of the volume fraction, the velocity outline decayed as the estimations of escalated. Finally, one can also observe that in both the stretching and shrinking cases, the velocity outline escalated when the volume fraction of the HNF was kept at 0.01.
Physical Reasons: In the shrinking case (negative ), the sheet contracted, causing the fluid to be drawn toward the surface. This accumulation of fluid led to an increase in velocity as (a dimensionless distance parameter) increased. The fluid was compressed, resulting in a higher velocity near the surface. Conversely, in the stretching case (positive ), the sheet expanded, causing the fluid to spread out. This spreading resulted in a decrease in velocity as increased because the fluid was being pulled away from the surface, leading to a lower velocity near the surface. The suction parameter introduces a mechanism that allows fluid to leave the boundary layer. This suction effect causes a decrease in the velocity profile in both shrinking and stretching cases. As increases, the boundary layer thickness decreases, leading to a reduction in velocity.
The slip flow parameter influences the velocity profile differently in shrinking, stationary, and stretching cases. In the shrinking case (negative ), increasing reduces the velocity at equal zero but increases the overall velocity profile with increasing . In the stationary case ( equals zero), increasing increases the velocity at equals zero and the overall velocity profile with increasing . In the stretching case (positive ), increasing reduces the velocity at equals zero and the overall velocity profile with increasing . Increasing the volume fraction of copper nanofluids enhanced the velocity profile in the shrinking and stationary cases. A higher concentration of nanoparticles increased the effective thermal conductivity and viscosity, leading to a more pronounced velocity profile. However, in the stretching case, while increasing the volume fraction initially enhanced the velocity profile, it eventually caused a decrease as increased due to the increased resistance and reduced momentum diffusion caused by the higher nanoparticle concentration.
4.2. Temperature Outline
This section will discuss the temperature outline and analyze its pattern by observing it through various parameters. We produced Figure 9a–c, in which we wanted to observe the temperature outline () and examine the pattern as we varied the estimations. In these graphs, we set = 0 and = 0.1, while in Figure 9a–c, we varied the estimations of .
Figure 9.
Temperature outlines for all estimations of when = 0, = 0.1, (a) = 0, (b) = 0.7, and (c) = 1.
In Figure 9a, it was noted that regardless of the estimations, the temperature outline decayed as the estimations escalated, and the temperature outline was maximum at = 0. In Figure 6a, it was noted that when = 2, the temperature decrement occurred rapidly. Furthermore, in Figure 9a, it was noted that when = 0, the temperature decrement was much slower. In Figure 9a, it was noted that when = −2, the temperature decrement was faster than in the case of = 2. Here, = 0 indicated a no-suction condition.
Moving on to Figure 9b, where had an estimation of 0.7, it was noted that in the stretching case with = 2, the temperature decayed rapidly, and the least decrement occurred at = −1, which represented a shrinking case. This implies that adjusting the slip flow parameter can significantly affect the temperature decrement. In Figure 9b, it was noted that = 0 had a faster decrement compared to the case after = 2.
In Figure 9c, where the slip flow parameter δ was set to 1, and λ estimations ranged from −2 to 2, the temperature outline showed the fastest decay. Additionally, for the stretching case, the temperature decrement was the fastest among all cases, regardless of the estimation of the slip flow parameter.
In Figure 10a,b, we observed the pattern of the temperature outline, where we set = 0 and the volume fraction of copper to 0.1. We fixed the estimation of for each graph. It was noted in both Figure 10a,b that for almost every graph, the temperature outline decayed as the estimations escalated.
Figure 10.
Temperature outlines against the for all estimations of when = 0, = 0.1, (a) = −2, and (b) = 2.
In Figure 10a, where is −2, it was noted that increasing the slip flow parameter resulted in a significant temperature decrement. This means that the temperature decayed rapidly as the estimation escalated from 0 to 1. Now let us examine Figure 10b, where was 2 and represented the stretching case. It was also evident here that increasing the slip flow parameter led to a rapid decline in temperature. This indicates that maintaining a high slip condition is essential for developing a cooling process.
It is now clear that whether it is a stretching sheet or a shrinking sheet, increasing the slip flow parameter results in a significant decay in the temperature outline, initiating the cooling process. In Figure 11a–c, we wanted to observe the temperature outline, where we set = 0 and kept the estimation of as 1. Figure 11a–c were developed specifically to observe the temperature outline with varying estimations of . In Figure 11a, where = −2, it was noted that the temperature outline decayed for all estimations of as the estimation of escalated. However, when the estimation of was 0.05, the temperature declined at a faster rate compared to other estimations.

Figure 11.
Temperature outlines for all estimations of when = 1, = 0, (a) = −2, (b) = 0, and (c) = 2.
Let us observe Figure 11b, where was 0. Here, it was noted that for = 0.05, the temperature decay was the highest, while for = 0.01, the temperature outline declined at a slower rate. Moving on to Figure 11c, it was noted that for = 0.05, the temperature decline was the most significant, and the cooling process was rapid. Here, had an estimation of 2. Based on these results, one can understand that in shrinking cases, the temperature decline is faster for almost all estimations.
4.3. Temperature Distribution
In this section, we will discuss the temperature distribution over the domain. For this purpose, we imposed a cold temperature Tw on the wall, and the ambient temperature Tinf, provided in Table 2, represents the hot temperature. Here, we examined the temperature distribution with the variation in parameters used in the flow. We will discuss our observations of the temperature patterns here.
In Figure 12a, it was noted that we kept as 1 and as 0.1. In Figure 12a, it was noted that when v was −2, the temperature increment was slower compared to other estimations. One can observe a faster temperature increment for the stretching case in almost all other cases compared to the shrinking case. Moving on to Figure 12b, we set as 1, and it was noted that this change almost brought the temperature increment close to each estimation of . This means that by increasing the slip parameter’s estimations, we could control the temperature increment for different estimations. This discussion also proves that in stretching cases, the temperature increment is the highest. In Figure 13a–c, we examined the pattern of temperature distribution by changing the suction slip flow parameter . Here, we kept the estimation of as 0. In Figure 13a, it was noted that at = 0, the temperature increment was very fast compared to other estimations. As the estimations escalated, the temperature increment slowed down. Here, had an estimation of −2, and this represents a shrinking case.
Figure 12.
Temperature distribution vs. at different estimations , = 1, = 0.1, (a) = 0, and (b) = 1.

Figure 13.
Temperature distribution vs. for all estimations of when = 0, = 0.1, (a) =−2, (b) = 0, and (c) = 2.
Moving on to Figure 13b, was 0 and the sheet was stationary. In this case, it was noted that as the slip flow parameter was raised, the temperature increment escalated rapidly. This case was completely different from the shrinking case described in Figure 13a. In Figure 13c, we developed these graphs by setting as 2. In these graphs, similar to the shrinking case, an escalation in estimation had a negative impact on the temperature increment, meaning that the temperature increment declined. In all the graphs of Figure 13a–c, it was noted that the temperature distribution increment was directly proportional to the estimations, but it could be easily controlled by estimations.
In Figure 14a–c, the temperature distribution along the shrinking or stretching sheet was examined with and set to 1. These graphs were developed to analyze the pattern of temperature distribution with varying estimations. In Figure 14a, where was estimated at −2, it was observed that when was 0.05, the temperature increment was significantly higher compared to other estimations. Specifically, when was 0.05, there was a sudden escalation in temperature increment after equalled 2. In Figure 14b, where the sheet was stationary, equaling 0.05 again showed the highest temperature increment. The temperature increment was very slow when was estimated at 0.01. In Figure 14c, which represents the stretching case, it can also be observed that the same estimation provided a significant temperature increment. Thus, it can be concluded that only the shrinking sheet benefits from lower volume fractions, resulting in better temperature increments.

Figure 14.
Temperature distribution vs. for all when = 1, = 1, (a) = −2, (b) = 0, and (c) = 2.
Validation: To validate the results above for the temperature, the numerical results from a recent article [48] were considered for the percentage change in the temperature due to an ambient temperature. The formula for the percentage change in temperature (T%) is given below and referenced in [48]:
According to [48], with a settled = 323.15 K and = 293.15 K for the present code, and while setting up that equals equals 0 and equals 0.1, the percentage change in temperature was calculated using the formula given above. Therefore, Figure 15 can be seen for a comparison showing that the values of vs. correlate for these two studies in a similar pattern. The difference in these results is due to the reason that in [48], a ternary nanofluid was used, whereas in the present numerical scheme, the fluid flow and heat transfer in the stretching and shrinking sheet were evaluated using hybrid nanofluids. Nevertheless, both numerical formulations showed good agreement with each other.
Figure 15.
The comparison with [48] of the percentage change in the temperature due to ambient temperature.
4.4. Nusselt Number and Skin Friction Coefficient
In Table 4, we performed calculations for the Nusselt number considering specific cases. As we all know, the Nusselt number is a ratio between the convection process and the conduction process. If the Nusselt number is increasing, it means that the convection process is becoming more dominant, while a decreasing Nusselt number indicates an increase in the conduction process. In Table 4, we calculated the Nusselt number at the starting point. It was noted that in some cases, as we increased the estimations, the Nusselt number also increased. However, in cases where the sheet was stationary ( equaled 0), increasing estimations led to a decrease in the Nusselt number. These cases are highlighted in the table. Additionally, in cases where the volume fraction was 0.01, it was often observed that increasing the slip flow parameter led to a decrease in the Nusselt number. In Table 4, it can also be seen that for the same estimations of , whether it was 0.05 or 0.1, increasing estimations resulted in an increase in the Nusselt number, indicating a rise in the convection process. From this entire discussion, it became evident that estimations and estimations can significantly influence the pattern of the Nusselt number with the alteration in estimations.
Table 4.
Numerical results of when , , , and .
Physical Reasons: In the shrinking case, where is negative, the fluid accumulates near the surface due to compression, resulting in slower temperature increments. The increased fluid density near the surface reduces heat transfer efficiency, causing a slower rise in temperature. Conversely, in the stretching case, where is positive, the fluid spreads out, allowing more efficient heat transfer and resulting in a faster temperature increment. The expansion of the fluid enhances convection, promoting a rapid rise in temperature. The suction parameter influences the temperature distribution by drawing fluid away from the boundary layer, which reduces the temperature increment. As increases, the suction effect is enhanced, leading to more uniform temperature profiles across different values by reducing the boundary layer thickness. The slip flow parameter also affects heat transfer. For stationary or stretching sheets, increasing enhances the temperature increment by promoting fluid motion and mixing, which improves heat transfer. In contrast, for shrinking sheets, increasing reduces the temperature increment by weakening the heat transfer due to reduced fluid accumulation near the surface. Regarding the volume fraction of nanofluids , higher volume fractions of copper nanofluids increase thermal conductivity and heat capacity, leading to significant temperature increments. In shrinking cases, lower volume fractions are more effective due to better fluid accumulation. In stretching and stationary cases, higher volume fractions enhance heat transfer, resulting in a notable temperature rise.
4.5. An Application of the Results in PV/T
In this section, we employed the present simulation to investigate the enhancement in electrical efficiency in a photovoltaic thermal (PV/T) system, focusing on a specific test case. The PV/T system, designed for harnessing solar radiation to generate electricity, featured a solar panel equipped with a glass layer, a silicon layer, and a copper absorber, alongside a flow channel for coolant passage.
The efficiency of the PV/T system diminished with an escalation in solar radiation-induced heat. To mitigate this, a nanofluid coolant was introduced into the flow channel to decay the system’s temperature, thereby improving the thermal efficiency of the solar panel. The impetus behind this study was derived from pertinent references [45,50,51].
For the sake of simplicity, we assumed adherence to the construction specifications outlined in the references [52], encompassing the use of glass, silicon, and copper as the absorber materials. Assuming a reference efficiency of 12% at a of 0 °C, we permitted HNFs to ingress with an inlet temperature (or wall temperature) = 298.15, positioned at y = 0, while establishing the ambient temperature = 45 °C as y tended toward infinity. Let = 25 °C represent the reference temperature. The ensuing equations govern the dynamic behavior of the system, Equations (18)–(21), encapsulating the intricate interplay of thermal and electrical parameters in this PV/T configuration [52].
where is the temperature coefficient, assumed to be 0.0045 [1/K] in this context, and represents the cell temperature, provided as follows.
After considering Equations (18)–(20), the electrical efficiency for the PV/T channel was determined by the following expression, in which the packing factor p = 0.8.
Electrical efficiency [52]:
After successfully developing the numerical simulation, the numerical results for the electrical efficiency will be explained as follows.
Figure 16a–d depict the variation in cell efficiency with the non-dimensional parameter . Each figure maintained a constant suction parameter , while the stretching and shrinking parameters remained fixed for each curve. The numerical outcomes were generated with fixed estimations of = 1 and the volume fraction of nanomaterials (0.1). In Figure 16a, the electrical efficiency of the PV/T system peaked at approximately 10.16% for = 0, irrespective of the estimations. Notably, a negative correlation between electrical efficiency and the non-dimensional parameter was observed. Under = 0, Figure 16a highlights that, for estimations of −2 and −1 in the shrinking case, differences in electrical efficiency were negligible, with maximum efficiency observed at these estimations. Additionally, a decline in electrical efficiency became asymptotic after reaching = 3.

Figure 16.
The pattern of electrical efficiency of PV/T vs. for all estimations of stretching and shrining parameters.
Figure 16b explores the electrical efficiency pattern against with an escalated suction parameter estimation of 0.4. Here, the impact of estimations on electrical efficiency became more pronounced, underscoring the role of suction in optimizing a PV/T system’s efficiency. Nevertheless, a decline in electrical efficiency was noted with increasing estimations, especially in the presence of a stretching sheet. Once again, the maximum electrical efficiency of 10.16 was observed at = 0. Figure 16c and Figure 16d delve into the influence of suction parameters tested at 0.7 and 1, respectively. The impact of alterations on electrical efficiency diminished in both figures. A consistent decline in electrical efficiency with increasing estimations was observed, reaching an asymptote at = 2. The numerical results consistently indicated the optimization of electrical efficiency for the shrinking sheet in both scenarios. Notably, Figure 16d suggests that in the presence of suction, altering the stretching/shrinking sheet had a minimal impact on electrical efficiency.
In summary, this study concludes that electrical efficiency experiences a decline with increasing . Furthermore, the adoption of a shrinking sheet proves effective in optimizing electrical efficiency. The influence of suction on electrical efficiency is limited when altering estimations in the model.
In Figure 17a–c, we present a comprehensive analysis of electrical efficiency plotted against the non-dimensional parameter . In each figure, we maintained fixed estimations for , , and , while systematically varying the suction parameter () to observe its impact on the electrical efficiency pattern.
Figure 17.
The pattern of electrical efficiency vs. for all estimations of the suction parameter .
In Figure 17a, we examined the scenario of a shrinking sheet with a estimation set to −2. For all fixed estimations of the suction parameter , the electrical efficiency experienced a decline with increasing due to elevated temperatures. Interestingly, the absence of suction at the bottom wall enhanced electrical efficiency against . Notably, the electrical efficiency reached a plateau or became asymptotic when = 3. At the origin ( = 0), the electrical efficiency peaked at approximately 10.16%, gradually decreasing to 8.7% at = 3, reflecting a decrement of 14.3%.
Turning our attention to Figure 17a,b, we explored two cases (0 and 2) to scrutinize the electrical efficiency pattern against while incrementing estimations. Both figures clearly illustrate a decreasing trend in electrical efficiency with rising . Moreover, an accelerated decline was observed as , the suction parameter, escalated. In Figure 17b, where the sheet remained stationary, it was noteworthy that electrical efficiency leveled off or became asymptotic for all estimations when = 3. However, Figure 17c, featuring a stretching sheet with a estimation of 2, revealed a decline in electrical efficiency against , reaching an asymptote at = 2.
In Figure 18a–c, we conducted a detailed examination of the electrical efficiency pattern vis-à-vis the non-dimensional parameter , manipulating the slip flow parameter . In each figure, we maintained fixed estimations for , , and , with each curve representing a constant estimation of . In Figure 18a, a discernible trend emerged as electrical efficiency declined with increasing for each fixed estimation of . The systematic escalation in for fixed estimations led to a consistent decay in electrical efficiency. Notably, the electrical efficiency of the PV/T system exhibited a continuous decline, reaching an asymptotic state at approximately = 3.

Figure 18.
The pattern of electrical efficiency vs. for all estimations of slip flow parameters.
Transitioning to Figure 18b, we introduced a suction effect of 0.4 to assess the numerical results. Here, it became apparent that, in the absence of slip, electrical efficiency could be optimized through the augmentation of estimations. In Figure 18c, a suction effect with = 1 was incorporated to explore the electrical efficiency pattern against while varying the estimations. Intriguingly, a distinct pattern emerged in this figure, showcasing an improvement in electrical efficiency with increasing estimations. The decline in electrical efficiency became asymptotic around = 2.5. This observation underscores that, in the presence of suction, electrical efficiency experiences enhancement with an escalation in the slip flow parameter. Conversely, in the absence of suction, there was a decline in electrical efficiency with an escalation in the slip flow parameter. These findings underscore the nuanced influence of slip flow parameters on electrical efficiency under different conditions, contributing valuable insights to the scientific understanding of photovoltaic-thermal systems.
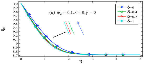
In our investigation of the influence of a copper volume fraction on the performance of photovoltaic thermal (PV/T) systems, we conducted a thorough analysis of the numerical results for electrical efficiency concerning the non-dimensional parameter . These findings were specific to slipping effects and shrinking sheets, with = 1 and = −2. Within each figure, we maintained a fixed estimation for while systematically varying the parameter along each curve. In Figure 19a, where = 0, representing no suction effect, the electrical efficiency of the PV/T system exhibited stability for lower volume fractions of copper nanomaterials up to = 2. Subsequently, a rapid decline ensued, becoming asymptotic at = 4.5. Notably, the decline was more pronounced for = 0.05. Importantly, the figure highlights that the maximum electrical efficiency was achieved at = 0 for all volume fraction estimations of copper.

Figure 19.
The pattern of electrical efficiency vs. for all estimations of the volume fraction of copper.
Moving to Figure 19b, with a slightly escalated suction effect ( = 0.4) at the lower wall, electrical efficiency experienced a decline with increasing . However, for each fixed estimation of , there was an improvement in electrical efficiency with an escalation in the volume fraction of copper in the base fluids. The rate of decrement became asymptotic at = 2.7 for all estimations. A noteworthy observation is that the introduction of suction at the lower wall accelerated the rate of decrement in electrical efficiency against compared to the scenario in Figure 19a. In Figure 19c, with a suction effect estimation of 0.7, a similar trend persisted. The rise in electrical efficiency remained unaffected by an escalation in the copper volume fraction. For all estimations, the electrical efficiency continuously declined, reaching an asymptote at = 2.
Upon comprehensive observation of Figure 19a–c, a consistent pattern emerged, indicating that the maximum electrical efficiency occurred at = 0, gradually declining and reaching an asymptotic state at = 8.7. This entailed a notable 16.8% decrement when the electrical efficiency stabilized or reached a plateau. These findings contribute valuable insights into the intricate interplay between copper volume fractions, suction effects, and non-dimensional parameters in the context of PV/T systems.
Following an in-depth exploration of the electrical efficiency dynamics in photovoltaic/thermal (PV/T) systems, particularly in response to variations in non-dimensional symmetry parameters, we present Table 5 to highlight combinations of non-dimensional parameters that yielded the highest average electrical efficiency within the studied framework. Table 1 revealed that opting for = 0.4, = 2, = 0.7, and = 0.01 resulted in the maximum average electrical efficiency for the PV/T system, reaching an impressive 10%. These discerned non-dimensional parametric combinations served as pivotal insights into optimizing system performance. Moreover, these numerical outcomes opened avenues for comparisons with established references, fostering a comprehensive understanding of the photovoltaic thermal system’s electrical efficiency. These findings also suggest practical recommendations, emphasizing the potential benefits of employing stagnant point flow and HNFs within the system for enhanced efficiency.
Table 5.
Top 50 estimations of the non-dimensional parameters that produce the maximum average electrical efficiency of a PV/T system.
Validation of the Work
Although working with stretching sheets for fluid flow and heat transfer through the cooling application of hybrid nanofluids is a new concept, the work to optimize the thermal and electrical performance of PV/T systems is not new. Several studies can be referenced in this regard [45,50,51,52]. To validate the above results, the thermal efficiency of the PV/T system was also computed and compared with [52]. The formula for computation is given below and is referenced in [52].
In Equation (22), all the parameters were defined in the nomenclature compared to the simple cases of and (simplest case).
Assuming the volume fraction of copper nanofluids is equal to zero (i.e., = 0) and all other parameters remain zero, conventional water is supposed to flow through a fluid channel. The numerical simulation of the present study was then compared with the available literature [53]. In [53], an experimental study was conducted using water as the fluid. In contrast, the present work aimed to enhance the performance of a PV/T system using hybrid nanofluids. To compare both approaches, the thermal efficiency was calculated using the formula mentioned above. In Figure 20, it can clearly be seen that the thermal efficiency of the PV/T system, as determined numerically using COMSOL Multiphysics, correlated somewhat with the experimental work. The trends in thermal efficiency across these two results indicated the validation of the present simulation through COMSOL Multiphysics. Therefore, this work can be further developed for hybrid nanofluids.
Figure 20.
A comparison of the thermal efficiency of the PV/T system with the experimental work [53].
5. Conclusions
This article introduced a discussion of HNFs at their stagnant point, where the forced convection properties of a nanofluid were analyzed by incorporating water as the base fluid and copper and alumina nanoparticles. The fluid at the stagnant point was set to be a shrinking or stretching sheet, and a suction boundary condition was implied in the domain. Using the Tiwari and Das [10] HNF model with boundary layer flow conditions, the entire system of PDEs, including a 2D energy equation, was transformed into a system of ODEs using suitable similarity variables and then solved for the governing PDEs using finite element-based software. The results were compared and verified through mesh independence studies and the previous literature. A particular case was considered to discuss the velocity outline, temperature outline, and temperature distribution. The results were obtained by considering four parameters: the stretching/shrinking, suction, slip flow, and volume fractions of copper, which had ranges of (−2 to 2), (0 to 1), (0 to 1), and (0.01 to 0.1), respectively. After the successful implementation of our numerical simulation, we rigorously analyzed the results to propel the performance of photovoltaic thermal (PV/T) systems. Remarkably, our findings underscored the pivotal role played by a stretching sheet in elevating the system’s efficiency for electricity production. Moreover, substantial enhancements in system efficiency were discerned when implementing a non-slip condition at the wall. Delving into the impact of a suction effect, our investigations revealed that the highest augmentation in electrical efficiency was achieved by increasing the volume fraction of copper materials. These insights provided valuable contributions toward optimizing the operational parameters of PV/T systems, thereby influencing the broader landscape of solar energy conversion research. We were successful in achieving the following points:
- ➢
- The velocity outline escalated as the normalized distance from the stagnant point escalated. It escalated in the shrinking case and decayed in the stretching case, while increasing the suction parameter always led to a decay in the velocity outline.
- ➢
- The temperature outline was negatively related to , and increasing the suction parameter significantly decayed the temperature outline. It was also concluded that in both the stretching and shrinking cases, projecting the estimations of the suction parameter led to a decay in the temperature outline.
- ➢
- When observing a specific case of temperature distribution from a cooling to a hot environment, it was observed that the temperature distribution was slightly slower in the shrinking case compared to the stretching case. Additionally, the temperature increment could be better controlled by increasing the slip flow parameter. The temperature expansion along the sheet was directly proportional to estimations but could be better controlled by increasing or decreasing the suction parameter.
- ➢
- An escalation in the stretching/shrinking parameter from −2 to 2 estimations enhanced the convective process, resulting in an escalated Nusselt number. Especially in the shrinking case, an escalation in the volume fraction of copper stabilized the convection in the domain, leading to an escalated Nusselt number.
- ➢
- Utilizing the application of stagnant point flow to enhance the electrical efficiency of a photovoltaic thermal system, it was observed that electrical efficiency declined with increasing estimations. Additionally, employing a sheet with stretching impact was noted as more effective for optimizing electrical production. Furthermore, it was observed that increasing the suction impact resulted in a decline in the electrical performance of the PV/T system.
- ➢
- In the presence of only a suction effect at the lower end of the sheet, the electrical efficiency of the PV/T system could be optimized by increasing the volume fraction of copper in the base fluid. The maximum average efficiency was achieved when = 0.4, = 2, = 0.7, and = 0.01, which was about 10%.
Future Directions
This numerical study of the heat transfer and fluid dynamics in a stretching and shrinking sheet using hybrid nanofluids, based on the Tiwari–Das model [10], also considered the effects of slip flow and suction. The findings can be leveraged to enhance thermal management and improve the efficiency of solar devices, which often face challenges in maintaining performance and electrical output due to rising temperatures. Additionally, the presented outcomes can serve as a validation benchmark for future studies employing ternary hybrid nanofluids under similar assumptions. While this study focused on spherical-shaped nanoparticles, future research could explore different nanoparticle geometries to further enhance heat transfer capabilities.
Author Contributions
Formal analysis, A.A.A.; Investigation, A.R.R.A.; Resources, A.R.R.A.; Data curation, A.R.R.A.; Writing—original draft, A.A.A.; Writing—review & editing, A.A.A. All authors have read and agreed to the published version of the manuscript.
Funding
This research received no external funding.
Data Availability Statement
The original contributions presented in the study are included in the article, further inquiries can be directed to the corresponding author.
Acknowledgments
The authors extend their appreciation to the Deanship of Scientific Research at Northern Border University, Arar, KSA, for funding this research work through the project number ‘NBU-FFR-2023-0100’.
Conflicts of Interest
The authors declare that they have no known competing financial interests or personal relationships that could have appeared to influence the work reported in this paper.
Nomenclature
| Area of the panel | |
| Stretching/shrinking sheet parameter | |
| Suction and injection parameter | |
| Specific heat of water | |
| Specific heat of nanofluids | |
| Specific heat of nanoparticles | |
| Specific heat of alumina | |
| Specific heat of copper | |
| Solar irradiance | |
| Mass flow rate | |
| Horizontal velocity component | |
| Vertical velocity component | |
| Temperature | |
| Inlet temperature | |
| Outlet temperature | |
| Air temperature | |
| Wall velocity | |
| Ambient velocity | |
| Suction at boundary | |
| Total volume fraction | |
| Volume fraction of alumina | |
| Volume fraction of copper | |
| Slip flow parameter | |
| Suction parameter | |
| Similarity parameter | |
| Viscosity of water | |
| Viscosity of nanofluids | |
| Thermal conductivity of water | |
| Thermal conductivity of nanofluids | |
| Total thermal conductivity of nanoparticles | |
| Thermal conductivity of alumina | |
| Thermal conductivity of copper | |
| Stretching/shrinking parameter | |
| Kinematic viscosity | |
| Temperature profile | |
| Density of base fluid | |
| Density of hybrid nanofluids | |
| Total density of nanoparticles | |
| Density of alumina | |
| Density of copper | |
| Stream functions |
References
- Alghamdi, M.; Memon, A.A.; Muhammad, T.; Ali, M.R. A numerical investigation of a photovoltaic thermal system contained a trapezoidal channel with transport of silver and titanium oxide using the water as base fluids. Case Stud. Therm. Eng. 2023, 47, 103056. [Google Scholar] [CrossRef]
- Usman; Memon, A.A.; Alghamdi, M.; Muhammad, T. A forced convection of water aluminum oxide nanofluid flow and heat transfer study for a three dimensional annular with inner rotated cylinder. Sci. Rep. 2022, 12, 16735. [Google Scholar] [CrossRef]
- Memon, A.A.; Anwaar, H.; Muhammad, T.; Alharbi, A.A.; Alshomrani, A.S.; Aladwani, Y.R. A forced convection of water-aluminum oxide nanofluids in a square cavity containing a circular rotating disk of unit speed with high Reynolds number: A Comsol Multiphysics study. Case Stud. Therm. Eng. 2022, 39, 102370. [Google Scholar]
- Bhattacharyya, K.; Layek, G.C. Effects of suction/blowing on steady boundary layer stagnation-point flow and heat transfer towards a shrinking sheet with thermal radiation. Int. J. Heat Mass Transf. 2011, 54, 302–307. [Google Scholar] [CrossRef]
- Choi, S.U.; Eastman, J.A. Enhancing Thermal Conductivity of Fluids with Nanoparticles; No. ANL/MSD/CP-84938; CONF-951135-29; Argonne National Lab. (ANL): Argonne, IL, USA, 1995. [Google Scholar]
- Gislén, A.; Dacke, M.; Kröger, R.H.; Abrahamsson, M.; Nilsson, D.E.; Warrant, E.J. Superior underwater vision in a human population of sea gypsies. Curr. Biol. 2003, 13, 833–836. [Google Scholar] [CrossRef]
- Bachok, N.; Ishak, A.; Nazar, R.; Senu, N. Stagnation-point flow over a permeable stretching/shrinking sheet in a copper-water nanofluid. Bound. Value Probl. 2013, 2013, 39. [Google Scholar] [CrossRef]
- Deng, S.; Zhou, A.; Yue, D.; Hu, B.; Zhu, L. Distributed intrusion detection based on hybrid gene expression programming and cloud computing in cyber physical power system. IET Control. Theory Appl. 2017, 11, 1822–1829. [Google Scholar] [CrossRef]
- Buongiorno, J. Convective transport in nanofluids. J. Heat Transfer. 2006, 128, 240–250. [Google Scholar] [CrossRef]
- Tiwari, R.K.; Das, M.K. Heat transfer augmentation in a two-sided lid-driven differentially heated square cavity utilizing nanofluids. Int. J. Heat Mass Transf. 2007, 50, 2002–2018. [Google Scholar] [CrossRef]
- Daungthongsuk, W.; Wongwises, S. A critical review of convective heat transfer of nanofluids. Renew. Sustain. Energy Rev. 2007, 11, 797–817. [Google Scholar] [CrossRef]
- Trisaksri, V.; Wongwises, S. Critical review of heat transfer characteristics of nanofluids. Renew. Sustain. Energy Rev. 2007, 11, 512–523. [Google Scholar] [CrossRef]
- Wang, X.Q.; Mujumdar, A.S. A review on nanofluids-part I: Theoretical and numerical investigations. Braz. J. Chem. Eng. 2008, 25, 613–630. [Google Scholar] [CrossRef]
- Kakaç, S.; Pramuanjaroenkij, A. Review of convective heat transfer enhancement with nanofluids. Int. J. Heat Mass Transf. 2009, 52, 3187–3196. [Google Scholar] [CrossRef]
- Khan, W.A.; Pop, I. Boundary-layer flow of a nanofluid past a stretching sheet. Int. J. Heat Mass Transf. 2010, 53, 2477–2483. [Google Scholar] [CrossRef]
- Nield, D.A.; Kuznetsov, A.V. The Cheng–Minkowycz problem for natural convective boundary-layer flow in a porous medium saturated by a nanofluid. Int. J. Heat Mass Transf. 2009, 52, 5792–5795. [Google Scholar] [CrossRef]
- Nield, D.A.; Kuznetsov, A.V. The Cheng–Minkowycz problem for the double-diffusive natural convective boundary layer flow in a porous medium saturated by a nanofluid. Int. J. Heat Mass Transf. 2011, 54, 374–378. [Google Scholar] [CrossRef]
- Kuznetsov, A.V.; Nield, D.A. Natural convective boundary-layer flow of a nanofluid past a vertical plate. Int. J. Therm. Sci. 2010, 49, 243–247. [Google Scholar] [CrossRef]
- Kuznetsov, A.V.; Nield, D.A. Double-diffusive natural convective boundary-layer flow of a nanofluid past a vertical plate. Int. J. Therm. Sci. 2011, 50, 712–717. [Google Scholar] [CrossRef]
- Bachok, N.; Ishak, A.; Pop, I. Boundary-layer flow of nanofluids over a moving surface in a flowing fluid. Int. J. Therm. Sci. 2010, 49, 1663–1668. [Google Scholar] [CrossRef]
- Bachok, N.; Ishak, A.; Pop, I. Unsteady boundary-layer flow and heat transfer of a nanofluid over a permeable stretching/shrinking sheet. Int. J. Heat Mass Transf. 2012, 55, 2102–2109. [Google Scholar] [CrossRef]
- Khan, W.A.; Aziz, A. Natural convection flow of a nanofluid over a vertical plate with uniform surface heat flux. Int. J. Therm. Sci. 2011, 50, 1207–1214. [Google Scholar] [CrossRef]
- Hayat, T.; Khan, M.I.; Waqas, M.; Alsaedi, A.; Khan, M.I. Radiative flow of micropolar nanofluid accounting thermophoresis and Brownian moment. Int. J. Hydrogen Energy 2017, 42, 16821–16833. [Google Scholar] [CrossRef]
- Khan, M.I.; Hayat, T.; Khan, M.I.; Alsaedi, A. Activation energy impact in nonlinear radiative stagnation point flow of Cross nanofluid. Int. Commun. Heat Mass Transf. 2018, 91, 216–224. [Google Scholar] [CrossRef]
- Hayat, T.; Muhammad, T.; Alsaedi, A.; Alhuthali, M.S. Magnetohydrodynamic three-dimensional flow of viscoelastic nanofluid in the presence of nonlinear thermal radiation. J. Magn. Magn. Mater. 2015, 385, 222–229. [Google Scholar] [CrossRef]
- Hayat, T.; Aziz, A.; Muhammad, T.; Alsaedi, A. On magnetohydrodynamic three-dimensional flow of nanofluid over a convectively heated nonlinear stretching surface. Int. J. Heat Mass Transf. 2016, 100, 566–572. [Google Scholar] [CrossRef]
- Hayat, T.; Muhammad, T.; Shehzad, S.A.; Alsaedi, A. An analytical solution for magnetohydrodynamic Oldroyd-B nanofluid flow induced by a stretching sheet with heat generation/absorption. Int. J. Therm. Sci. 2017, 111, 274–288. [Google Scholar] [CrossRef]
- Muhammad, T.; Alsaedi, A.; Hayat, T.; Shehzad, S.A. A revised model for Darcy-Forchheimer three-dimensional flow of nanofluid subject to convective boundary condition. Results Phys. 2017, 7, 2791–2797. [Google Scholar] [CrossRef]
- Muhammad, T.; Alsaedi, A.; Shehzad, S.A.; Hayat, T. A revised model for Darcy-Forchheimer flow of Maxwell nanofluid subject to convective boundary condition. Chin. J. Phys. 2017, 55, 963–976. [Google Scholar] [CrossRef]
- Abu-Nada, E. Application of nanofluids for heat transfer enhancement of separated flows encountered in a backward facing step. Int. J. Heat Fluid Flow 2008, 29, 242–249. [Google Scholar] [CrossRef]
- Ahmad, S.; Rohni, A.M.; Pop, I. Blasius and Sakiadis problems in nanofluids. Acta Mech. 2011, 218, 195–204. [Google Scholar] [CrossRef]
- Bachok, N.; Ishak, A.; Pop, I. Flow and heat transfer over a rotating porous disk in a nanofluid. Phys. B Condens. Matter 2011, 406, 1767–1772. [Google Scholar] [CrossRef]
- Hayat, T.; Khan, M.I.; Waqas, M.; Alsaedi, A.; Farooq, M. Numerical simulation for melting heat transfer and radiation effects in stagnation point flow of carbon–water nanofluid. Comput. Methods Appl. Mech. Eng. 2017, 315, 1011–1024. [Google Scholar] [CrossRef]
- Hayat, T.; Khan, M.I.; Farooq, M.; Alsaedi, A.; Yasmeen, T. Impact of Marangoni convection in the flow of carbon–water nanofluid with thermal radiation. Int. J. Heat Mass Transf. 2017, 106, 810–815. [Google Scholar] [CrossRef]
- Miklavčič, M.; Wang, C. Viscous flow due to a shrinking sheet. Q. Appl. Math. 2006, 64, 283–290. [Google Scholar] [CrossRef]
- Yousefi, K.; Saleh, R. Three-dimensional suction flow control and suction jet length optimization of NACA 0012 wing. Meccanica 2015, 50, 1481–1494. [Google Scholar] [CrossRef]
- Zhang, W.; Jiang, Y.; Li, L.; Chen, G. Effects of wall suction/blowing on two-dimensional flow past a confined square cylinder. SpringerPlus 2016, 5, 1–9. [Google Scholar] [CrossRef] [PubMed]
- Saeed, F.; Selig, M.S. Multipoint inverse airfoil design method for slot-suction airfoils. J. Aircr. 1996, 33, 708–715. [Google Scholar] [CrossRef][Green Version]
- Sheikholeslami, M. Effect of uniform suction on nanofluid flow and heat transfer over a cylinder. J. Braz. Soc. Mech. Sci. Eng. 2015, 37, 1623–1633. [Google Scholar] [CrossRef]
- Mahian, O.; Kolsi, L.; Amani, M.; Estellé, P.; Ahmadi, G.; Kleinstreuer, C.; Marshall, J.S.; Siavashi, M.; Taylor, R.A.; Niazmand, H.; et al. Recent advances in modeling and simulation of nanofluid flows-Part I: Fundamentals and theory. Phys. Rep. 2019, 790, 1–48. [Google Scholar] [CrossRef]
- Memon, A.A.; Memon, M.A.; Fenta, A. A laminar forced convection via transport of water–copper–aluminum hybrid nanofluid through heated deep and shallow cavity with Corcione model. Sci. Rep. 2023, 13, 4915. [Google Scholar] [CrossRef] [PubMed]
- Akkurt, N.; Shedd, T.; Memon, A.A.; Ali, M.R.; Bouye, M. Analysis of the forced convection via the turbulence transport of the hybrid mixture in three-dimensional L-shaped channel. Case Stud. Therm. Eng. 2023, 41, 102558. [Google Scholar] [CrossRef]
- Alqarni, M.S.; Memon, A.A.; Anwaar, H.; Usman and Muhammad, T. The forced convection analysis of water alumina nanofluid flow through a 3D annulus with rotating cylinders via κ−ε turbulence model. Energies 2022, 15, 6730. [Google Scholar] [CrossRef]
- Elhag, S.H.; Memon, A.A.; Memon, M.A.; Bhatti, K.; Jacob, K.; Alzahrani, S.; Seidu, J. Analysis of forced convection with hybrid Cu-Al2O3 nanofluids injected in a three-dimensional rectangular channel containing three perpendicular rotating blocks with turbulent modeling. J. Nanomater. 2022, 2022, 2446972. [Google Scholar] [CrossRef]
- Memon, A.A.; Khan, W.A.; Muhammad, T. Numerical investigation of photovoltaic thermal energy efficiency improvement using the backward step containing Cu-Al2O3 hybrid nanofluid. Alex. Eng. J. 2023, 75, 391–406. [Google Scholar] [CrossRef]
- Yashkun, U.; Zaimi, K.; Bakar, N.A.A.; Ferdows, M. Nanofluid stagnation-point flow using Tiwari and Das model over a stretching/shrinking sheet with suction and slip effects. J. Adv. Res. Fluid Mech. Therm. Sci. 2020, 70, 62–76. [Google Scholar] [CrossRef]
- Alharbi, A.A. Thermal analysis of heat transport in a slip flow of ternary hybrid nanofluid with suction upon a stretching/shrinking sheet. Case Stud. Therm. Eng. 2024, 54, 103965. [Google Scholar] [CrossRef]
- Shaikh, G.M.; Memon, A.A.; Memon, M.A.; Yashkun, U.; Obalalu, A.M.; Koten, H. Numerical study of flow behavior and heat transfer of ternary water-based nanofluids in the presence of suction/injection, stretching/shrinking sheet. J. Therm. Eng. 2024, 10, 1021–1043. [Google Scholar] [CrossRef]
- Joshi, T.; Parkash, O.; Gallegos, R.K.B.; Krishan, G. Parametric investigation of slurry transport: Computational insight into the impact of particle composition and Prandtl numbers. Phys. Fluids 2024, 36, 023308. [Google Scholar] [CrossRef]
- Allehiany, F.M.; Memon, A.A.; Memon, M.A.; Fenta, A. Maximizing electrical output and reducing heat-related losses in photovoltaic thermal systems with a thorough examination of flow channel integration and nanofluid cooling. Sci. Rep. 2023, 13, 16961. [Google Scholar] [CrossRef]
- Akram, M.; Memon, A.A.; Memon, M.A.; Obalalu, A.M.; Khan, U. Investigation of a two-dimensional photovoltaic thermal system using hybrid nanofluids and a rotating cylinder. Nanoscale Adv. 2023, 5, 5529–5542. [Google Scholar] [CrossRef]
- Khanjari, Y.; Pourfayaz, F.; Kasaeian, A.B. Numerical investigation on using of nanofluid in a water-cooled photovoltaic thermal system. Energy Convers. Manag. 2016, 122, 263–278. [Google Scholar] [CrossRef]
- Bhattarai, S.; Oh, J.H.; Euh, S.H.; Kafle, G.K.; Kim, D.H. Simulation and model validation of sheet and tube type photovoltaic thermal solar system and conventional solar collecting system in transient states. Sol. Energy Mater. Sol. Cells 2012, 103, 184–193. [Google Scholar] [CrossRef]
Disclaimer/Publisher’s Note: The statements, opinions and data contained in all publications are solely those of the individual author(s) and contributor(s) and not of MDPI and/or the editor(s). MDPI and/or the editor(s) disclaim responsibility for any injury to people or property resulting from any ideas, methods, instructions or products referred to in the content. |
© 2024 by the authors. Licensee MDPI, Basel, Switzerland. This article is an open access article distributed under the terms and conditions of the Creative Commons Attribution (CC BY) license (https://creativecommons.org/licenses/by/4.0/).