Some Probabilistic Interpretations Related to the Next-Generation Matrix Theory: A Review with Examples
Abstract
1. Introduction
- One, for ODE models, identifies , under conditions specified in [1,9,10], via a three-steps NGM procedure:
- (a)
- Computing a “pre-NGM” matrix which depends only on the infection equations, in which the non-infection variables are fixed to arbitrary positive values. Note that a mathematical algorithm for that is offered in the paper [4], and that, in particular cases, other pre-NGM matrices may be reasonable, as exemplified in [4]. However, the [4] algorithm furnished one acceptable choice in all the examples we know of.
- (b)
- Substituting into the pre-NGM the coordinates of each DFE, which are obtained using only non-infection equations (for an example with two possible DFEs, involving logistic growth, see [11]).
- (c)
- Computing the spectral radius of the NGM matrix (or matrices, if there are several acceptable choices).
- The “renewal” approach adds one further crucial aspect to mathematical epidemiology: The change in infectivity as function of the “age of the infection” (i.e., the time lapsed since the transmission took place, which was assumed to be exponentially distributed under the previous approach). This factor enters the model via an “age of infection kernel”, and the basic reproduction number is computed as the integral of this kernel [9,12]. Now, if the kernel can be written as a matrix-exponential function, an associated ODE, and associated Markov processes, detailed below, are available as well. In the opposite, say with a Pareto-type kernel, this is not the case, and therefore we refer to this situation also as “non-Markovian”.
2. SIR-PH Epidemic Models
- represents the set of individuals susceptible to be infected (the beginning state).
- models recovered individuals (the end state).
- gives the rate at which recovered individuals lose immunity, and gives the rate at which individuals are vaccinated (immunized). These two transfers connect directly the beginning and end states (or classes).
- The row vector represents the set of individuals in different disease states.
- is the per individual death rate, and it equals also the global birth rate (this is due to the fact that this is a model for proportions).
- A is an Markovian sub-generator matrix which describes transfers between the disease classes. Recall that a Markovian sub-generator matrix for which each off-diagonal entry , , satisfies , and such that the row-sums are non-positive, with at least one inequality being strict. (Alternatively, is a non-singular M-matrix [2], i.e., a real matrix V with , and having eigenvalues whose real parts are non-negative [18]).The fact that a Markovian sub-generator appears in our “disease equations” suggests that certain probabilistic concepts intervene in our deterministic model, and this is indeed the case. Note also that typical epidemic models satisfy , , and so this matrix may be arranged to be triangular.
- is a column vector giving the death rates caused by the epidemic in the disease compartments. The matrix , which combines A and the birth and death rates , is also a Markovian sub-generator.
- B is a matrix (called sometimes “new infections” matrix). We will denote by the vector containing the sum of the entries in each row of B, namely . Its components represent the total force of infection of the disease class i, and represents the total flux that must leave class . Finally, each entry , multiplied by , represents the force of infection from the disease class i onto class j. Under the easier rank-one assumption discussed below, it holds thati.e., that all forces of infection are distributed among the infected classes conforming to the same probability vector .
- Note the factorization of the equation for the diseased compartments , which ensures the existence of a fixed point where these compartments vanish, and implies that:This formula may look like representation of in terms of , but in fact is not, since depends on . However, the formula has the virtue of introducing an essential character of our story, the matrix , which is proportional to the next generation matrix . A second representation (10) below will allow us to embed our models in the interesting class of distributed delay/renewal models, in the case when B has rank one.
- We added the first approximation (FA) of an exact model for proportions to the name of these models, following [3], to differentiate them from their version with demography.
3. Associated Markovian Semi-Groups, Age of Infection Kernels, and an Formula for SIR-PH Models with One Susceptible Class and of Rank One
- The solutions of the ODE system (2) also satisfy an integro-differential “SI system” of two scalar equationswherewith (it may be checked that this fits the formula on page 3 of [20] for SEIR when ). ( is called “age of infection/renewal kernel; see [5,19,20,21,22,23,24] for expositions of this concept).
- The basic replacement number has an integral representation
- The fact that DD systems can be approximated by ODE systems, by approximating the delay distribution via one of Erlang, and more generally, of matrix-exponential type, has long been exploited in the epidemic literature, under the name of “linear chain trick” (which has roots in the Erlangization of queuing theory); see, for example, [5,15,19,25,28,29,30,31] for recent contributions and further references. The opposite direction, however (i.e., the solution of the exercise in [20] of identifying the kernels associated with ODE models), seems not to have been resolved in this generality prior to our paper.
- Finally, for DD models, normalizing the kernel by its integral (so that it has integral equal to one) yields precisely the probabilistic law which governs the time spent in all the “infectious states associated with the susceptible compartments”, also called “intrinsic generating interval for the age of infection” in [19,21,32]: ; see ([21], Equation (2.6)).
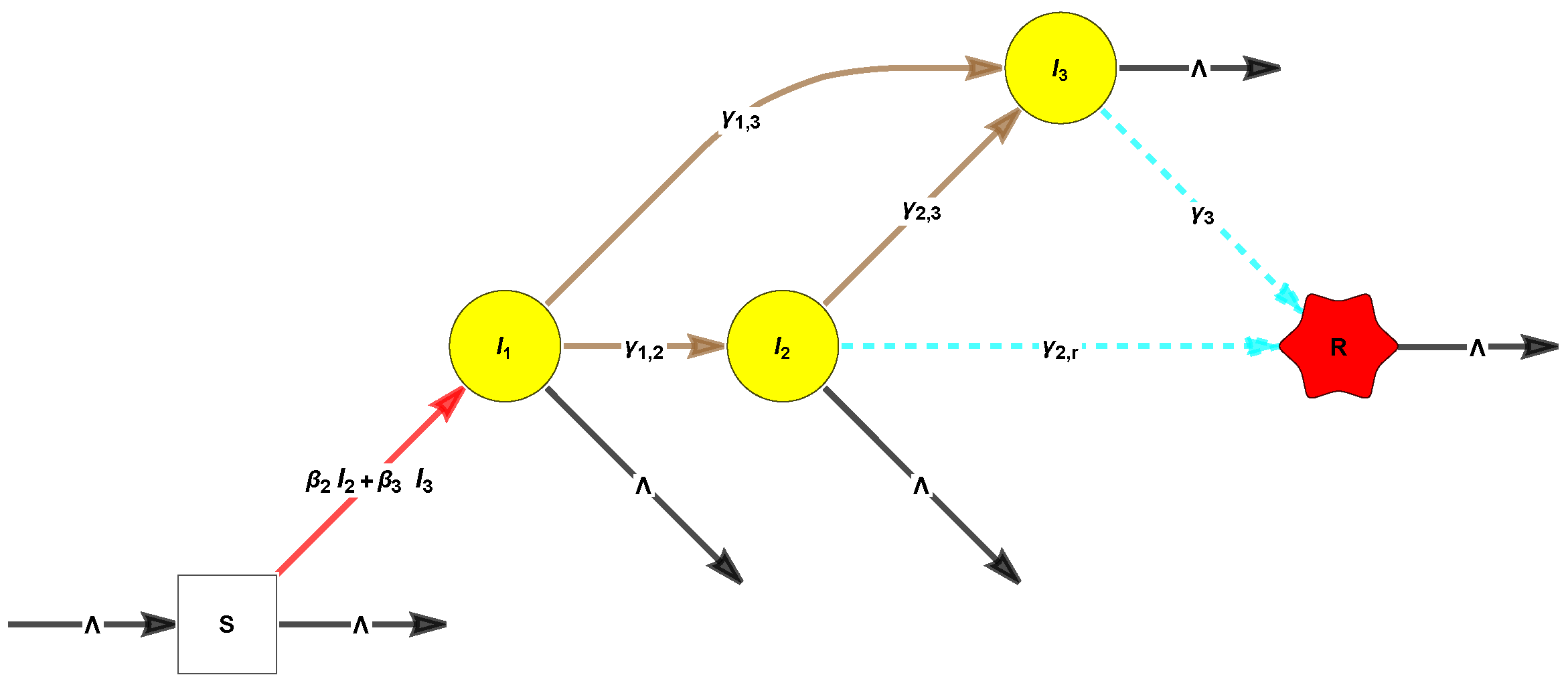
4. Extension to Several Susceptible Compartments
- There is a unique DFE, given by
- If are independent, then the basic reproduction number is the Perron–Frobenius eigenvalue of the two by two matrix(with an obvious generalization to the case of several compartments).
5. Rank One Examples
5.1. The SR/SAIR Epidemic Model
- The classic SEIR model is obtained when . This model maybe viewed as an “Erlangization” of the SIR model, in the sense described by the following definition.
- Erlangization and Coxianization are particular cases of the generalized linear chain trick (see [25] and the full version of this article). Probabilistically, they amount to preceding a compartment I by another compartment E, such that E may transit either to I or outside the infectious/Markovian classes.
5.2. A Generalized SLAIR Epidemic Model
5.3. Further Examples: Models Given in Epidemiological Form
SE2IR Model
6. Two Rank-Two Examples
6.1. The Multistrain SIIS: A Model with One Susceptible Class, and B Matrix of Rank 2
6.2. SIMV/SIRUV Vector-Host Model
7. Conclusions and Further Work
Author Contributions
Funding
Data Availability Statement
Acknowledgments
Conflicts of Interest
References
- Van den Driessche, P.; Watmough, J. Reproduction numbers and sub-threshold endemic equilibria for compartmental models of disease transmission. Math. Biosci. 2002, 180, 29–48. [Google Scholar] [CrossRef] [PubMed]
- Arino, J.; Brauer, F.; van den Driessche, P.; Watmough, J.; Wu, J. A final size relation for epidemic models. Math. Biosci. Eng. 2007, 4, 159. [Google Scholar]
- Avram, F.; Adenane, R.; Basnarkov, L.; Bianchin, G.; Goreac, D.; Halanay, A. An age of infection kernel, an R0 formula and further results for Arino-Brauer A,B matrix epidemic models with varying population, waning immunity, and disease and vaccination fatalities. Mathematics 2023, 11, 1307. [Google Scholar] [CrossRef]
- Avram, F.; Adenane, R.; Basnarkov, L.; Johnston, M.D. Algorithmic approach for a unique definition of the next-generation matrix. Mathematics 2023, 12, 27. [Google Scholar] [CrossRef]
- Diekmann, O.; Gyllenberg, M.; Metz, J. Finite dimensional state representation of linear and nonlinear delay systems. J. Dyn. Differ. Equ. 2018, 30, 1439–1467. [Google Scholar] [CrossRef]
- Brauer, F. A final size relation for epidemic models of vector-transmitted diseases. Infect. Dis. Model. 2017, 2, 12–20. [Google Scholar] [CrossRef] [PubMed]
- Kermack, W.O.; McKendrick, A.G. A contribution to the mathematical theory of epidemics. Proc. R. Soc. Lond. Ser. A Contain. Pap. A Math. Phys. Character 1927, 115, 700–721. [Google Scholar]
- Bacaër, N. The model of Kermack and McKendrick for the plague epidemic in Bombay and the type reproduction number with seasonality. J. Math. Biol. 2012, 64, 403–422. [Google Scholar] [CrossRef]
- Diekmann, O.; Heesterbeek, J.A.P.; Metz, J.A. On the definition and the computation of the basic reproduction ratio R0 in models for infectious diseases in heterogeneous populations. J. Math. Biol. 1990, 28, 365–382. [Google Scholar] [CrossRef]
- Van den Driessche, P.; Watmough, J. Further notes on the basic reproduction number. In Mathematical Epidemiology; Springer: Berlin/Heidelberg, Germany, 2008; pp. 159–178. [Google Scholar]
- Maurício de Carvalho, J.P.; Rodrigues, A.A. SIR model with vaccination: Bifurcation analysis. Qual. Theory Dyn. Syst. 2023, 22, 105. [Google Scholar] [CrossRef]
- Diekmann, O.; Heesterbeek, J.; Roberts, M.G. The construction of next-generation matrices for compartmental epidemic models. J. R. Soc. Interface 2010, 7, 873–885. [Google Scholar] [CrossRef] [PubMed]
- Riaño, G. Epidemic Models with Random Infectious Period. medRxiv 2020. [Google Scholar]
- Avram, F.; Adenane, R.; Ketcheson, D.I. A review of matrix SIR Arino epidemic models. Mathematics 2021, 9, 1513. [Google Scholar] [CrossRef]
- Feng, Z. Final and peak epidemic sizes for SEIR models with quarantine and isolation. Math. Biosci. Eng. 2007, 4, 675–686. [Google Scholar]
- Hurtado, P.J.; Richards, C. Building mean field ODE models using the generalized linear chain trick & Markov chain theory. J. Biol. Dyn. 2021, 15, S248–S272. [Google Scholar]
- Hethcote, H.W. The mathematics of infectious diseases. SIAM Rev. 2000, 42, 599–653. [Google Scholar] [CrossRef]
- Plemmons, R.J. M-matrix characterizations. I—Nonsingular M-matrices. Linear Algebra Its Appl. 1977, 18, 175–188. [Google Scholar] [CrossRef]
- Diekmann, O.; Inaba, H. A systematic procedure for incorporating separable static heterogeneity into compartmental epidemic models. arXiv 2022, arXiv:2207.02339. [Google Scholar] [CrossRef]
- Breda, D.; Diekmann, O.; De Graaf, W.; Pugliese, A.; Vermiglio, R. On the formulation of epidemic models (an appraisal of Kermack and McKendrick). J. Biol. Dyn. 2012, 6, 103–117. [Google Scholar] [CrossRef]
- Champredon, D.; Dushoff, J.; Earn, D.J. Equivalence of the Erlang-distributed SEIR epidemic model and the renewal equation. SIAM J. Appl. Math. 2018, 78, 3258–3278. [Google Scholar] [CrossRef]
- Heesterbeek, J.; Dietz, K. The concept of Ro in epidemic theory. Stat. Neerl. 1996, 50, 89–110. [Google Scholar] [CrossRef]
- Brauer, F. The Kermack–McKendrick epidemic model revisited. Math. Biosci. 2005, 198, 119–131. [Google Scholar] [CrossRef] [PubMed]
- Diekmann, O.; Heesterbeek, H.; Britton, T. Mathematical Tools for Understanding Infectious Disease Dynamics; Princeton University Press: Princeton, NJ, USA, 2013. [Google Scholar]
- Hurtado, P.J.; Kirosingh, A.S. Generalizations of the ‘Linear Chain Trick’: Incorporating more flexible dwell time distributions into mean field ODE models. J. Math. Biol. 2019, 79, 1831–1883. [Google Scholar] [CrossRef] [PubMed]
- Hurtado, P.J.; Richards, C. Finding Reproduction Numbers for Epidemic Models & Predator-Prey Models of Arbitrary Finite Dimension Using The Generalized Linear Chain Trick. arXiv 2020, arXiv:2008.06768. [Google Scholar]
- Bladt, M.; Nielsen, B.F. Matrix-Exponential Distributions in Applied Probability; Springer: Berlin/Heidelberg, Germany, 2017; Volume 81. [Google Scholar]
- Wearing, H.; Rohani, P.; Keeling, M. Appropriate models for the management of infectious diseases. PLoS Med. 2005, 7, 621–627. [Google Scholar] [CrossRef] [PubMed]
- Wang, X.; Shi, Y.; Feng, Z.; Cui, J. Evaluations of interventions using mathematical models with exponential and non-exponential distributions for disease stages: The case of Ebola. Bull. Math. Biol. 2017, 79, 2149–2173. [Google Scholar] [CrossRef] [PubMed]
- Cassidy, T.; Craig, M.; Humphries, A.R. A Recipe for State Dependent Distributed Delay Differential Equations. arXiv 2018, arXiv:1811.05930. [Google Scholar]
- Andò, A.; Breda, D.; Gava, G. How fast is the linear chain trick? A rigorous analysis in the context of behavioral epidemiology. Math. Biosci. Eng. 2020, 17, 5059–5085. [Google Scholar] [CrossRef] [PubMed]
- Champredon, D.; Dushoff, J. Intrinsic and realized generation intervals in infectious-disease transmission. Proc. R. Soc. B Biol. Sci. 2015, 282, 20152026. [Google Scholar] [CrossRef]
- Heffernan, J.M.; Smith, R.J.; Wahl, L.M. Perspectives on the basic reproductive ratio. J. R. Soc. Interface 2005, 2, 281–293. [Google Scholar] [CrossRef]
- Heesterbeek, J.; Roberts, M. The type-reproduction number T in models for infectious disease control. Math. Biosci. 2007, 206, 3–10. [Google Scholar] [CrossRef] [PubMed]
- Li, J.; Blakeley, D.; Smith, R.J. The failure of R0. Comput. Math. Methods Med. 2011, 2011, 527610. [Google Scholar] [CrossRef] [PubMed]
- Van den Driessche, P. Reproduction numbers of infectious disease models. Infect. Dis. Model. 2017, 2, 288–303. [Google Scholar] [CrossRef] [PubMed]
- Robinson, M.; Stilianakis, N.I. A model for the emergence of drug resistance in the presence of asymptomatic infections. Math. Biosci. 2013, 243, 163–177. [Google Scholar] [CrossRef] [PubMed]
- Ansumali, S.; Kaushal, S.; Kumar, A.; Prakash, M.K.; Vidyasagar, M. Modelling a pandemic with asymptomatic patients, impact of lockdown and herd immunity, with applications to SARS-CoV-2. Annu. Rev. Control 2020, 50, 432–447. [Google Scholar] [CrossRef] [PubMed]
- Ottaviano, S.; Sensi, M.; Sottile, S. Global stability of SAIRS epidemic models. Nonlinear Anal. Real World Appl. 2022, 65, 103501. [Google Scholar] [CrossRef]
- Avram, F.; Adenane, R.; Halanay, A. New results and open questions for SIR-PH epidemic models with linear birth rate, waning immunity, vaccination, and disease and vaccination fatalities. Symmetry 2022, 14, 995. [Google Scholar] [CrossRef]
- Yang, C.K.; Brauer, F. Calculation of R_0 for age-of-infection models. Math. Biosci. Eng. 2008, 5, 585. [Google Scholar]
- Arino, J.; Portet, S. A simple model for COVID-19. Infect. Dis. Model. 2020, 5, 309–315. [Google Scholar] [CrossRef]
- Adenane, R.; Avram, F.; Villanueva, R. Calibrating the SIR, SEIR, and SLAIR epidemic models to influenza data, with Mathematica. Math. J. submitted.
- Rashkov, P.; Venturino, E.; Aguiar, M.; Stollenwerk, N.; Kooi, B.W. On the role of vector modeling in a minimalistic epidemic model. Math. Biosci. Eng. 2019, 16, 4314–4338. [Google Scholar] [CrossRef] [PubMed]
- Avram, F.; Adenane, R.; Goreac, D.; Halanay, A. Explicit mathematical epidemiology results on age renewal kernels and R0 formulas are often consequences of the rank one property of the next generation matrix. arXiv 2023, arXiv:2307.04774. [Google Scholar]


Disclaimer/Publisher’s Note: The statements, opinions and data contained in all publications are solely those of the individual author(s) and contributor(s) and not of MDPI and/or the editor(s). MDPI and/or the editor(s) disclaim responsibility for any injury to people or property resulting from any ideas, methods, instructions or products referred to in the content. |
© 2024 by the authors. Licensee MDPI, Basel, Switzerland. This article is an open access article distributed under the terms and conditions of the Creative Commons Attribution (CC BY) license (https://creativecommons.org/licenses/by/4.0/).
Share and Cite
Avram, F.; Adenane, R.; Basnarkov, L. Some Probabilistic Interpretations Related to the Next-Generation Matrix Theory: A Review with Examples. Mathematics 2024, 12, 2425. https://doi.org/10.3390/math12152425
Avram F, Adenane R, Basnarkov L. Some Probabilistic Interpretations Related to the Next-Generation Matrix Theory: A Review with Examples. Mathematics. 2024; 12(15):2425. https://doi.org/10.3390/math12152425
Chicago/Turabian StyleAvram, Florin, Rim Adenane, and Lasko Basnarkov. 2024. "Some Probabilistic Interpretations Related to the Next-Generation Matrix Theory: A Review with Examples" Mathematics 12, no. 15: 2425. https://doi.org/10.3390/math12152425
APA StyleAvram, F., Adenane, R., & Basnarkov, L. (2024). Some Probabilistic Interpretations Related to the Next-Generation Matrix Theory: A Review with Examples. Mathematics, 12(15), 2425. https://doi.org/10.3390/math12152425

